Effects of Carbonyl Iron Powder (CIP) Content on the Electromagnetic Wave Absorption and Mechanical Properties of CIP/ABS Composites
Abstract
1. Introduction
2. Experimental Setup
2.1. Materials
2.2. Preparation of the CIP/ABS Composites
2.3. Injection Molding of the CIP/ABS Composites
2.4. Compression Molding of the CIP/ABS Composites
2.5. Characterization and Testing
3. Results and Discussion
3.1. Electromagnetic Property Analyses
3.2. Electromagnetic Wave Absorbing Performance Analyses
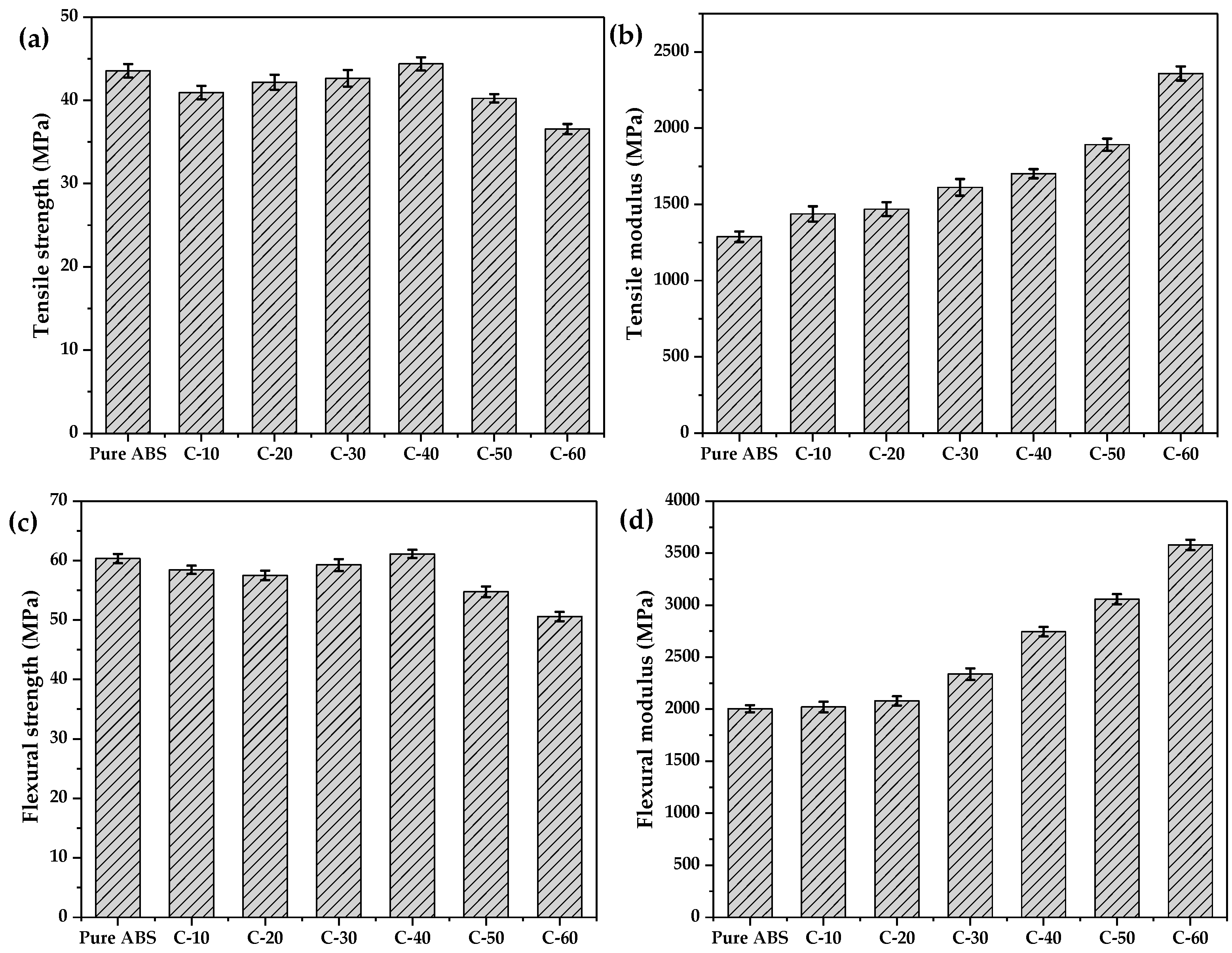
3.3. Mechanical Properties of the CIP/ABS Composites
4. Conclusions
Author Contributions
Funding
Acknowledgments
Conflicts of Interest
References
- Zhai, Y.; Zhu, D.; Zhou, W.; Min, D.; Luo, F. Enhanced impedance matching and microwave absorption properties of the MAMs by using ball-milled flaky carbonyl Iron-BaFe12O19 as compound absorbent. Magn. Mater. 2018, 467, 82–88. [Google Scholar] [CrossRef]
- Yin, X.; Kong, L.; Zhang, L.; Cheng, L.; Travitzky, N.; Greil, P. Electromagnetic properties of Si-C-N based ceramics and composites. Int. Mater. Rev. 2014, 59, 326–355. [Google Scholar] [CrossRef]
- Yang, W.; Zhang, Y.; Qiao, G.; Lai, Y.; Liu, S.; Wang, C.; Han, J.; Du, H.; Zhang, Y.; Yang, Y.; et al. Tunable magnetic and microwave absorption properties of Sm1.5Y0.5Fe17-X six and their composites. Acta Mater. 2018, 145, 331–336. [Google Scholar] [CrossRef]
- Song, Q.; Ye, F.; Yin, X.; Li, W.; Li, H.; Liu, Y.; Li, K.; Xie, K.; Li, X.; Fu, Q.; et al. Carbon nanotube-multilayered graphene edge plane core-shell hybrid foams for ultrahigh-performance electromagnetic-interference shielding. Adv. Mater. 2017, 29, 1701583. [Google Scholar] [CrossRef]
- Chen, Y.; Zhang, H.; Yang, Y.; Wang, M.; Cao, A.; Yu, Z. High-Performance epoxy nanocomposites reinforced with three-dimensional carbon nanotube sponge for electromagnetic interference shielding. Adv. Funct. Mater. 2016, 26, 447–455. [Google Scholar] [CrossRef]
- Jia, X.; Wang, L.; Li, Y.; Yang, F.; Zhang, L.; Liu, L.; Xiao, R.; Yang, H. Synthesis and microwave absorption property of flexible magnetic film based on graphene oxide/carbon nanotubes and Fe3O4 nanoparticles. Mater. Chem. 2014, 2, 14940–14946. [Google Scholar] [CrossRef]
- Feng, W.; Wang, Y.; Chen, J.; Li, B.; Guo, L.; Ouyang, J.; Jia, D.; Zhou, Y. Metal organic framework-derived CoZn alloy/N-doped porous carbon nanocomposites: Tunable surface area and electromagnetic wave absorption properties. Mater. Chem. C 2018, 6, 10–18. [Google Scholar] [CrossRef]
- Liu, P.; Yao, Z.; Ng, V.; Zhou, J.; Kong, L.; Yue, K. Facile synthesis of ultrasmall Fe3O4 nanoparticles on MXenes for high microwave absorption performance. Compos. Part A Appl. Sci. Manuf. 2018, 115, 371–382. [Google Scholar] [CrossRef]
- Sankaran, S.; Deshmukh, K.; Ahamed, M.; Pasha, S. Recent advances in electromagnetic interference shielding properties of metal and carbon filler reinforced flexible polymer composites: A review. Compos. Part A Appl. Sci. Manuf. 2018, 114, 49–71. [Google Scholar] [CrossRef]
- Xie, A.; Zhang, K.; Sun, M.; Xia, Y.; Wu, F. Facile growth of coaxial Ag@polypyrrole nanowires for highly tunable electromagnetic waves absorption. Mater. Des. 2018, 154, 192–202. [Google Scholar] [CrossRef]
- Zhang, N.; Huang, Y.; Wang, M. 3D ferromagnetic graphene nanocomposites with ZnO nanorods and Fe3O4 nanoparticles co-decorated for efficient electromagnetic wave absorption. Compos. B Eng. 2018, 136, 135–142. [Google Scholar] [CrossRef]
- Cao, M.; Han, C.; Wang, X.; Zhang, M.; Zhang, Y.; Shu, J.; Yang, H.; Fang, X.; Yuan, J. Graphene nanohybrids: Excellent electromagnetic properties for the absorbing and shielding of electromagnetic waves. Mater. Chem. C 2018, 6, 4586–4602. [Google Scholar] [CrossRef]
- Almasi-Kashi, M.; Mokarian, M.; Alikhanzadeh-Arani, S. Improvement of the microwave absorption properties in FeNi/PANI nanocomposites fabricated with different structures. Alloy. Compd. 2018, 742, 413–420. [Google Scholar] [CrossRef]
- Liu, X.; Chen, Y.; Cui, X.; Zeng, M.; Yu, R.; Wang, G. Flexible nanocomposites with enhanced microwave absorption properties based on Fe3O4/SiO2 nanorods and polyvinylidene fluoride. Mater. Chem. 2015, 3, 12197–12204. [Google Scholar] [CrossRef]
- Liu, Q.; Liu, X.; Feng, H.; Shui, H.; Yu, R. Metal organic framework-derived Fe/carbon porous composite with low Fe content for lightweight and highly efficient electromagnetic wave absorber. Chem. Eng. 2017, 314, 320–327. [Google Scholar] [CrossRef]
- Xia, L.; Zhang, X.; Yang, Y.; Zhang, J.; Zhong, B.; Zhang, T.; Wang, H. Enhanced electromagnetic wave absorption properties of laminated SiCNW-C-f/lithium- aluminum-silicate (LAS) composites. Alloy Compd. 2018, 748, 154–162. [Google Scholar] [CrossRef]
- Chen, C.; Pu, N.; Liu, Y.; Chen, L.; Wu, C.; Cheng, T.; Lin, M.; Ger, M.; Gong, Y.; Peng, Y. Microwave absorption properties of holey graphene/silicone rubber composites. Compos. B Eng. 2018, 135, 119–128. [Google Scholar] [CrossRef]
- Meng, F.; Wang, H.; Huang, F.; Guo, Y.; Wang, Z.; Hui, D.; Zhou, Z. Graphene-Based microwave absorbing composites: A review and prospective. Compos. B Eng. 2018, 137, 260–277. [Google Scholar] [CrossRef]
- Dai, M.; Zhai, Y.; Wu, L.; Zhang, Y. Magnetic aligned Fe3O4-reduced graphene oxide/waterborne polyurethane composites with controllable structure for high microwaves absorption capacity. Carbon 2019, 152, 661–670. [Google Scholar] [CrossRef]
- He, S.; Wang, G.; Lu, C.; Liu, J.; Wen, B.; Liu, H.; Guo, L.; Cao, M. Enhanced wave absorption of nanocomposites based on the synthesized complex symmetrical CuS nanostructure and poly(vinylidene fluoride). Mater. Chem. A 2013, 1, 4685–4692. [Google Scholar] [CrossRef]
- Yang, L.; Cai, H.; Zhang, B.; Huo, S.; Chen, X. Enhanced microwave absorption property of epoxy nanocomposites based on PANI@ Fe3O4@ CNFs nanoparticles with three-phase heterostructure. Mater. Res. Express 2018, 5, 025304. [Google Scholar] [CrossRef]
- Mohammadkhani, F.; Montazer, M.; Latifi, M. Microwave absorption and photocatalytic properties of magnetic nickel nanoparticles/recycled PET nanofibers web. Text. Inst. 2019, 110, 1606–1614. [Google Scholar] [CrossRef]
- Fan, X.; Guan, J.; Wang, W.; Tong, G. Morphology evolution, magnetic and microwave absorption properties of nano/submicrometre iron particles obtained at different reduced temperatures. Phys. D Appl. Phys. 2009, 42, 075006. [Google Scholar] [CrossRef]
- Tong, G.; Wang, W.; Guan, J.; Zhang, Q. Properties of Fe/SiO2 core-shell composite particles with different nanoshell thickness. Inorg. Mater. 2006, 21, 1461–1466. [Google Scholar] [CrossRef]
- Ni, X.; Zheng, Z.; Xiao, X.; Huang, L.; He, L. Silica-Coated iron nanoparticles: Shape-controlled synthesis, magnetism and microwave absorption properties. Mater. Chem. Phys. 2010, 120, 206–212. [Google Scholar] [CrossRef]
- Wei, X.; Jiang, J.; Zhen, L.; Gong, Y.; Shao, W.; Xu, C. Synthesis of Fe/SiO2 composite particles and their superior electromagnetic properties in microwave band. Mater. Lett. 2010, 64, 57–60. [Google Scholar] [CrossRef]
- Ni, X.; Zheng, Z.; Hu, X.; Xiao, X. Silica-Coated iron nanocubes: Preparation, characterization and application in microwave absorption. Colloid Interface Sci. 2010, 341, 18–22. [Google Scholar] [CrossRef]
- Zhao, H.; Fu, Z.; Chen, H.; Zhong, M.; Wang, C. Excellent electromagnetic absorption capability of Ni/carbon based conductive and magnetic foams synthesized via a green one pot route. ACS Appl. Mater. Interfaces 2016, 8, 1468–1477. [Google Scholar] [CrossRef]
- Jia, S.; Luo, F.; Qing, Y.; Zhou, W.; Zhu, D. Electroless plating preparation and microwave electromagnetic properties of Ni-coated carbonyl iron particle/epoxy coatings. Phys. B Condens. Matter 2010, 405, 3611–3615. [Google Scholar] [CrossRef]
- Zhou, Y.; Zhou, W.; Li, R.; Qing, Y.; Luo, F.; Zhu, D. Electroless plating preparation and electromagnetic properties of Co-coated carbonyl iron particles/polyimide composite. Magn. Magn. Mater. 2016, 401, 251–258. [Google Scholar] [CrossRef]
- Liu, Q.; Cao, B.; Feng, C.; Zhang, W.; Zhu, S.; Zhang, D. High permittivity and microwave absorption of porous graphitic carbons encapsulating Fe nanoparticles. Compos. Sci. Technol. 2012, 72, 1632–1636. [Google Scholar] [CrossRef]
- Qi, X.; Xu, J.; Hu, Q.; Zhong, W.; Du, Y. Preparation, electromagnetic and enhanced microwave absorption properties of Fe nanoparticles encapsulated in carbon nanotubes. Mater. Sci. Eng. B 2015, 198, 108–112. [Google Scholar] [CrossRef]
- Qing, Y.; Zhou, W.; Luo, F.; Zhu, D. Epoxy-Silicone filled with multi-walled carbon nanotubes and carbonyl iron particles as a microwave absorber. Carbon 2010, 48, 4074–4080. [Google Scholar] [CrossRef]
- Liu, L.; Duan, Y.; Ma, L.; Liu, S.; Yu, Z. Microwave absorption properties of a wave-absorbing coating employing carbonyl-iron powder and carbon black. Appl. Surf. Sci. 2010, 257, 842–846. [Google Scholar] [CrossRef]
- Hong, X.; Xie, Y.; Wang, X.; Li, M.; Le, Z.; Gao, Y.; Huang, Y.; Qin, Y.; Ling, Y. A novel ternary hybrid electromagnetic wave-absorbing composite based on BaFe11.92(LaNd)0.04O19-titanium dioxide/multiwalled carbon nanotubes/polythiophene. Compos. Sci. Technol. 2015, 117, 215–224. [Google Scholar] [CrossRef]
- Wang, M.; Duan, Y.P.; Liu, S.H.; Li, X.G.; Ji, Z. Absorption properties of carbonyl-iron/carbon black double-layer microwave absorbers. Magn. Magn. Mater. 2009, 321, 3442–3446. [Google Scholar] [CrossRef]
- Chen, M.; Zhu, Y.; Pan, Y.; Kou, H.; Xu, H.; Guo, J. Gradient multilayer structural design of CNTs/SiO2 composites for improving microwave absorbing properties. Mater. Des. 2011, 32, 3013–3016. [Google Scholar] [CrossRef]
- Shen, G.; Xu, M.; Xu, Z. Double-Layer microwave absorber based on ferrite and short carbon fiber composites. Mater. Chem. Phys. 2007, 105, 268–272. [Google Scholar] [CrossRef]
- Qing, Y.; Zhou, W.; Huang, S.; Huang, Z.; Luo, F.; Zhu, D. Evolution of double magnetic resonance behavior and electromagnetic properties of flake carbonyl iron and multi-walled carbon nanotubes filled epoxy-silicone. J. Alloy. Compd. 2014, 583, 471–475. [Google Scholar] [CrossRef]
- Huynen, I.; Bednarz, L.; Thomassin, J.M.; Pagnoulle, C.; Jerome, R.; Detrembleur, C. Microwave absorbers based on foamed nanocomposites with graded concentration of carbon nanotubes. In Proceedings of the European Microwave Conference, Amsterdam, The Netherlands, 27–31 October 2008; Volume 38, pp. 5–8. [Google Scholar] [CrossRef]
- Wei, C.; Shen, X.; Song, F.; Zhu, Y.; Wang, Y. Double-Layer microwave absorber based on nanocrystalline Zn0.5Ni0.5Fe2O4/α-Fe microfibers. Mater. Des. 2012, 35, 363–368. [Google Scholar] [CrossRef]
- Park, K.; Lee, S.; Kim, C.; Han, J. Fabrication and electromagnetic characteristics of electromagnetic wave absorbing sandwich structures. Compos. Sci. Technol. 2006, 66, 576–584. [Google Scholar] [CrossRef]
- Gao, X.; Li, J.; Gao, Y.; Guo, S.; Wu, H.; Chen, R. Microwave absorbing properties of alternating multilayer composites consisting of poly (vinyl chloride) and multi-walled carbon nanotube filled poly (vinyl chloride) layers. Compos. Sci. Technol. 2016, 130, 10–19. [Google Scholar] [CrossRef]
- Xu, S.; Sun, Q. Study on absorbing properties of electromagnetic wave oblique incidence on honeycomb-structured absorbing materials. Adv. Aeronaut. Sci. Eng. 2013, 4, 119–125. [Google Scholar] [CrossRef]
- Long, X.; Shao, C.; Wang, J. Continuous SiCN Fibers with Interfacial SiCxNy Phase as Structural Materials for Electromagnetic Absorbing Applications. Acs. Appl. Mater. Inter. 2019, 11, 22885–22894. [Google Scholar] [CrossRef] [PubMed]
- Choi, W.; Kim, C. Broadband microwave-absorbing honeycomb structure with novel design concept. Compos. Part B Eng. 2015, 83, 14–20. [Google Scholar] [CrossRef]
- Stansbury, J.; Idacavage, M. 3D printing with polymers: Challenges among expanding options and opportunities. Dent. Mater. 2016, 32, 54–64. [Google Scholar] [CrossRef] [PubMed]
- Wang, X.; Jiang, M.; Zhou, Z.; Gou, J.; Hui, D. 3D printing of polymer matrix composites: A review and prospective. Compos. Part B Eng. 2017, 110, 442–458. [Google Scholar] [CrossRef]
- Hart, L.; Li, S.; Sturgess, C.; Wildman, R.; Jones, J.; Hayes, W. 3D printing of biocompatible supramolecular polymers and their composites. ACS Appl. Mater. Interfaces 2016, 8, 3115–3122. [Google Scholar] [CrossRef]
- Muth, J.; Vogt, D.; Truby, R.; Mengüç, Y.; Kolesky, D.; Wood, R.; Lewis, J.A. Embedded 3D printing of strain sensors within highly stretchable elastomers. Adv. Mater. 2014, 26, 6307–6312. [Google Scholar] [CrossRef]
- Dizon, J.; Espera, A.; Chen, Q.; Advincula, R. Mechanical characterization of 3D-printed polymers. Addit. Manuf. 2018, 20, 44–67. [Google Scholar] [CrossRef]
- Ligon, S.C.; Liska, R.; Stampfl, J.; Gurr, M.; Mülhaupt, R. Polymers for 3D printing and customized additive manufacturing. Chem. Rev. 2017, 117, 10212–10290. [Google Scholar] [CrossRef] [PubMed]
- Schmid, M.; Wegener, K.; Amado, A. Materials perspective of polymers for additive manufacturing with selective laser sintering. J. Mater. Res. 2014, 29, 1824–1832. [Google Scholar] [CrossRef]
- Rocha, C.R.; Shemelya, C.M.; Wicker, R.B.; Perez, A.R.T.; Roberson, D.A.; Macdonald, E. Novel ABS-based binary and ternary polymer blends for material extrusion 3D printing. J. Mater. Res. 2014, 29, 1859–1866. [Google Scholar] [CrossRef]
- Fafenrot, S.; Grimmelsmann, N.; Wortmann, M.; Ehrmann, A. Three-Dimensional (3D) printing of polymer-metal hybrid materials by fused deposition modeling. Materials 2017, 10, 1199. [Google Scholar] [CrossRef] [PubMed]
- Guan, X.; Xu, X.; Kuniyoshi, R.; Zhou, H.; Zhu, Y. Electromagnetic and mechanical properties of carbonyl iron powders-PLA composites fabricated by fused deposition modeling. Mater. Res. Express 2018, 5, 115303. [Google Scholar] [CrossRef]
- Almutairi, M.D.; Aria, A.I.; Thakur, V.K.; Khan, M.A. Self-Healing mechanisms for 3D-printed polymeric structures: From lab to reality. Polymers 2020, 12, 1534. [Google Scholar] [CrossRef]
- Daminabo, S.C.; Goel, S.; Grammatikos, S.A.; Nezhad, H.Y.; Thakur, V.K. Fused deposition modeling-based additive manufacturing (3D printing): Techniques for polymer material systems. Mater. Today Chem. 2020, 16, 100248. [Google Scholar] [CrossRef]
- Joshi, S.; Rawat, K.; Karunakaran, C.; Rajamohan, V.; Mathew, A.T.; Koziol, K.; Thakur, V.K.; Balan, A.S.S. 4D printing of materials for the future: Opportunities and challenges. Appl. Mater. Today 2020, 18, 100490. [Google Scholar] [CrossRef]
- Lai, W.; Wang, Y.; He, J. Electromagnetic wave absorption properties of structural conductive ABS fabricated by fused deposition modeling. Polymers 2020, 12, 1217. [Google Scholar] [CrossRef]
- Fang, L.; Sun, D.; Cao, Y.; Lai, H. Effects of SBS on properties of 3D printing ABS. Eng. Plast. Appl. 2015, 9, 54–59. [Google Scholar] [CrossRef]
- Nikzad, M.; Masood, S.; Sbarski, I. Thermo-Mechanical properties of a highly filled polymeric composites for fused deposition modeling. Mater. Des. 2011, 32, 3448–3456. [Google Scholar] [CrossRef]
- Perez, A.; Roberson, D.; Wicker, R. Fracture surface analysis of 3D-printed tensile specimens of novel ABS-based materials. J. Fail. Anal. Prev. 2014, 14, 343–353. [Google Scholar] [CrossRef]
- Weng, Z.; Wang, J.; Senthil, T.; Wu, L. Mechanical and thermal properties of ABS/montmorillonite nanocomposites for fused deposition modeling 3D printing. Mater. Des. 2016, 102, 276–283. [Google Scholar] [CrossRef]
- Dong, X.; Liu, Z.; Dong, W.; Wang, S.; Chen, G.; Lv, R. Preparation and properties of ABS/PMMA alloy. Sci. Technol. Chem. Ind. 2019, 27, 61–64. [Google Scholar] [CrossRef]
- Li, Q.; Yin, X.; Duan, W.; Kong, L.; Hao, B.; Ye, F. Electrical, dielectric and microwave-absorption properties of polymer derived SiC ceramics in X band. Alloy. Compd. 2013, 565, 66–72. [Google Scholar] [CrossRef]
- Tong, G.; Wu, W.; Hua, Q.; Miao, Y.; Guan, J.; Qian, H. Enhanced electromagnetic characteristics of carbon nanotubes/carbonyl iron powders complex absorbers in 2––18 GHz ranges. Alloy. Compd. 2011, 509, 451–456. [Google Scholar] [CrossRef]
- Feng, Y.; Qiu, T.; Shen, C. Absorbing properties and structural design of microwave absorbers based on carbonyl iron and barium ferrite. Magn. Magn. Mater. 2007, 318, 8–13. [Google Scholar] [CrossRef]
- Tong, G.; Guan, J.; Fan, X.; Wang, W.; Li, W. Influences of pyrolysis temperature on static magnetic and microwave electromagnetic properties of polycrystalline iron fibers. Acta Metall. Sin. Chin. Ed. 2008, 44, 867–870. [Google Scholar] [CrossRef]
- Kraus, J. Helical beam antennas for wide-band applications. Proc. IRE 1948, 36, 1236–1242. [Google Scholar] [CrossRef]
- Li, G.; Wang, L.; Li, W.; Ding, R.; Xu, Y. CoFe2O4 and/or Co3Fe7 loaded porous activated carbon balls as a lightweight microwave absorbent. Phys. Chem. Chem. Phys. 2014, 16, 12385–12392. [Google Scholar] [CrossRef]
- Mei, H.; Zhao, X.; Zhou, S.; Han, D.; Xiao, S.; Cheng, L. 3D-Printed oblique honeycomb Al2O3/SiCw structure for electromagnetic wave absorption. Chem. Eng. J. 2019, 372, 940–945. [Google Scholar] [CrossRef]
- Jia, Z.; Gao, Z.; Lan, D.; Cheng, Y.; Wu, G.; Wu, H. Effects of filler loading and surface modification on electrical and thermal properties of epoxy/montmorillonite composite. Chin. Phys. B 2018, 27, 117806. [Google Scholar] [CrossRef]
- Chen, X.; Zhong, K.; Shi, T.; Meng, X.; Wu, G.; Lu, Y. Urchin-Like polyaniline/magnetic carbon sphere hybrid with excellent electromagnetic wave ab sorption performance. Synth. Met. 2019, 248, 59–67. [Google Scholar] [CrossRef]
- Jia, Z.; Wang, B.; Feng, A.; Liu, J.; Zhang, C.; Zhang, M.; Wu, G. Fabrication of NixCo3-xS4 hollow nanosphere as wideband electromagnetic absorber at thin matched thickness. Ceram. Int. 2019, 45, 15854–15859. [Google Scholar] [CrossRef]
- Li, W.; Wu, T.; Wang, W.; Zhai, P.; Guan, J. Broadband patterned magnetic microwave absorber. Appl. Phys. 2014, 116, 044110. [Google Scholar] [CrossRef]
- Zhang, X.; Zhou, J.; Yao, Z.; Cai, H.; Wei, B. Preparation and mechanical property of CIP/GF/CF/EP absorbing composites. J. Mater. Eng. 2019, 47, 141–147. [Google Scholar] [CrossRef]
- Suresha, B.; Manpinder, S. Influence of organo-modified montmorillonite nanolayers on static mechanical and dynamic mechanical behavior of carbon/epoxy composites. J. Compos. Mater. 2016, 50, 3589–3601. [Google Scholar] [CrossRef]
- Zeng, Y.; Liu, H.; Mai, Y.; Du, X. Improving interlaminar fracture toughness of carbon fibre/epoxy laminates by incorporation of nano-particles. Compos. Part B 2012, 43, 90–94. [Google Scholar] [CrossRef]
- Zheng, G.; Zhang, Q.; Deng, H.; Jiang, W.; Yang, X.; Sui, G. Effect of different functionalized carbon nanotubes on mechanical properties of MWCNTs-carbon fiber/epoxy composites. Acta Mater. Compos. Sin. 2015, 32, 640–648. [Google Scholar] [CrossRef]
- Nayak, R.; Mahato, K.; Ray, B. Water absorption behavior, mechanical and thermal properties of nano TiO2 enhanced glass fiber reinforced polymer composites. Compos. Part A Appl. Sci. Manuf. 2016, 90, 736–747. [Google Scholar] [CrossRef]






| Particle Sizes (μm) | Tap Density | Electromagnetic Parameters (Part of Frequencies) | ||||
|---|---|---|---|---|---|---|
| Frequency (GHz) | ɛ′ | ɛ″ | μ′ | μ″ | ||
| <10 | 2.6–3.1 | 2 | 20.75 | 0.43 | 5.10 | 2.24 |
| 8 | 19.46 | 0.18 | 2.12 | 2.59 | ||
| 18 | 20.88 | 0.66 | 0.65 | 1.52 | ||
| Samples | ABS (wt.%) | CIPs (wt.%) |
|---|---|---|
| Pure ABS | 100 | 0 |
| C-10 | 90 | 10 |
| C-20 | 80 | 20 |
| C-30 | 70 | 30 |
| C-40 | 60 | 40 |
| C-50 | 50 | 50 |
| C-60 | 40 | 60 |
| Samples | RL-Min (dB) | EAB-Max (RL<−10 dB, GHz) |
|---|---|---|
| C-10 | −7.13 | 0 |
| C-20 | −18.37 | 1.8 |
| C-30 | −17.59 | 2.6 |
| C-40 | −48.71 | 3.3 |
| C-50 | −28.99 | 4.1 |
| C-60 | −16.87 | 4.6 |
© 2020 by the authors. Licensee MDPI, Basel, Switzerland. This article is an open access article distributed under the terms and conditions of the Creative Commons Attribution (CC BY) license (http://creativecommons.org/licenses/by/4.0/).
Share and Cite
Lai, W.; Wang, Y.; He, J. Effects of Carbonyl Iron Powder (CIP) Content on the Electromagnetic Wave Absorption and Mechanical Properties of CIP/ABS Composites. Polymers 2020, 12, 1694. https://doi.org/10.3390/polym12081694
Lai W, Wang Y, He J. Effects of Carbonyl Iron Powder (CIP) Content on the Electromagnetic Wave Absorption and Mechanical Properties of CIP/ABS Composites. Polymers. 2020; 12(8):1694. https://doi.org/10.3390/polym12081694
Chicago/Turabian StyleLai, Wenwen, Yan Wang, and Junkun He. 2020. "Effects of Carbonyl Iron Powder (CIP) Content on the Electromagnetic Wave Absorption and Mechanical Properties of CIP/ABS Composites" Polymers 12, no. 8: 1694. https://doi.org/10.3390/polym12081694
APA StyleLai, W., Wang, Y., & He, J. (2020). Effects of Carbonyl Iron Powder (CIP) Content on the Electromagnetic Wave Absorption and Mechanical Properties of CIP/ABS Composites. Polymers, 12(8), 1694. https://doi.org/10.3390/polym12081694

