Gelatin Microsphere for Cartilage Tissue Engineering: Current and Future Strategies
Abstract
1. Introduction
2. History and Characteristics of Gelatin Microsphere
2.1. Early Adopters
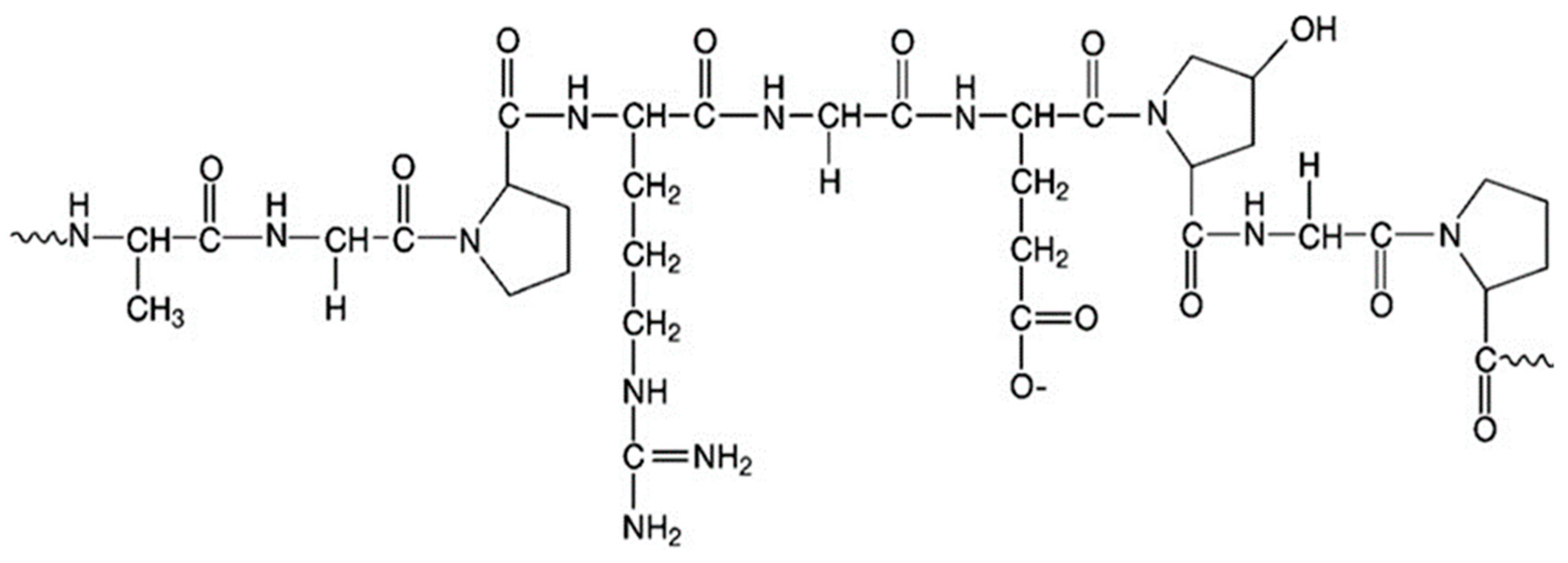
2.2. Characteristics of Gelatin Microsphere
2.2.1. Morphology and Size
2.2.2. Biodegradation
2.2.3. Biocompatibility
2.2.4. Stability
2.3. Fabrication of Gelatin Microsphere
2.3.1. Desolvation
2.3.2. Coacervation Phase Separation
2.3.3. Electric-Field-Assisted Precision Particle Fabrication
2.3.4. Water-in-Oil Emulsification
3. Gelatin Microsphere as an Intraarticular Drug Delivery System
4. Gelatin Microsphere in Cartilage Tissue Engineering Applications
4.1. Cells Delivery
4.2. Biologics Delivery
4.2.1. Basic-Fibroblast Growth Factor
4.2.2. Platelet-Rich Plasma
4.2.3. Transforming Growth Factor-Beta 1
4.2.4. Anti-Inflammatory Cytokines
4.3. Biologics Delivery within Cartilage Constructs
5. Gelatin Microsphere Effect on Chondrocyte Behavior
5.1. Cell Proliferation
5.2. Chondrogenic Differentiation
6. Future Directions
7. Conclusions
Author Contributions
Funding
Conflicts of Interest
References
- Lawrence, R.C.; Felson, D.T.; Helmick, C.G.; Arnold, L.M.; Choi, H.; Deyo, R.A.; Gabriel, S.; Hirsch, R.; Hochberg, M.C.; Hunder, G.G.; et al. Estimates of the prevalence of arthritis and other rheumatic conditions in the United States. Part II. Arthritis Rheum. 2008, 58, 26–35. [Google Scholar] [CrossRef]
- O’Brien, F.J. Biomaterials & scaffolds for tissue engineering. Mater. Today 2011, 14, 88–95. [Google Scholar]
- Liu, Y.; Zhou, G.; Cao, Y. Recent Progress in Cartilage Tissue Engineering—Our Experience and Future Directions. Engineering 2017, 3, 28–35. [Google Scholar] [CrossRef]
- Mollon, B.; Kandel, R.; Chahal, J.; Theodoropoulos, J. The clinical status of cartilage tissue regeneration in humans. Osteoarthr. Cart. 2013, 21, 1824–1833. [Google Scholar] [CrossRef]
- Liu, W.; Cao, Y. Application of scaffold materials in tissue reconstruction in immunocompetent mammals: Our experience and future requirements. Biomaterials 2007, 28, 5078–5086. [Google Scholar] [CrossRef]
- Tharmalingam, T.; Sunley, K.; Spearman, M.; Butler, M. Enhanced production of human recombinant proteins from CHO cells grown to high densities in macroporous microcarriers. Mol. Biotechnol. 2011, 49, 263–276. [Google Scholar] [CrossRef]
- Leong, W.; Wang, D.A. Cell-laden Polymeric Microspheres for Biomedical Applications. Trends Biotechnol. 2015, 33, 653–666. [Google Scholar] [CrossRef]
- Patel, K.; Patel, M. Preparation and evaluation of chitosan microspheres containing nicorandil. Int. J. Pharm. Investig. 2014, 4, 32. [Google Scholar] [CrossRef]
- Baimark, Y.; Srisuwan, Y. Preparation of alginate microspheres by water-in-oil emulsion method for drug delivery: Effect of Ca2+ post-cross-linking. Adv. Powder Technol. 2014, 25, 1541–1546. [Google Scholar] [CrossRef]
- Wang, X.; Wenk, E.; Matsumoto, A.; Meinel, L.; Li, C.; Kaplan, D.L. Silk microspheres for encapsulation and controlled release. J. Control. Release 2007, 117, 360–370. [Google Scholar] [CrossRef]
- Saravanan, M.; Bhaskar, K.; Maharajan, G.; Pillai, K.S. Development of gelatin microspheres loaded with diclofenac sodium for intra-articular administration. J. Drug Target. 2011, 19, 96–103. [Google Scholar] [CrossRef] [PubMed]
- Aldana, A.A.; Abraham, G.A. Current advances in electrospun gelatin-based scaffolds for tissue engineering applications. Int. J. Pharm. 2017, 523, 441–453. [Google Scholar] [CrossRef] [PubMed]
- Kommareddy, S.; Shenoy, D.B.; Amiji, M.M. Gelatin Nanoparticles and Their Biofunctionalization. Nanotechnol. Life Sci. 2007, 1, 330–352. [Google Scholar]
- Farrugia, C.A.; Groves, M.J. Gelatin Behaviour in Dilute Aqueous Solution: Designing a Nanoparticulate Formulation. J. Pharm. Pharm. 1999, 51, 643–649. [Google Scholar] [CrossRef]
- Torchilin, V.P. How do polymers prolong circulation time of liposomes? J. Liposome Res. 1996, 6, 99–116. [Google Scholar] [CrossRef]
- Tanaka, N.; Takino, S.; Utsumi, I. A new oral gelatinized sustained-release dosage form. J. Pharm. Sci. 1963, 52, 664–667. [Google Scholar] [CrossRef]
- Matsuru, H.; Shozo, M.; Hitoshi, S.; Nobuhiko, T.; Kisaku, S.; Yorinori, H. Increased lymphatic delivery of bleomycin by microsphere in oil emulsion and its effect on lymph node metastasis. Int. J. Pharm. 1979, 2, 245–256. [Google Scholar] [CrossRef]
- Hashida, M.; Takahashi, Y.; Muranishi, S.; Sezaki, H. An application of water-in-oil and gelatin-microsphere-in-oil emulsions to specific delivery of anticancer agent into stomach lymphatics. J. Pharm. Biopharm. 1977, 5, 241–255. [Google Scholar] [CrossRef]
- Nixon, J.R.; Khalil, S.A.H.; Carless, J.E. Gelatin coacervate microcapsules containing sulphamerazine: Their preparation and the in vitro release of the drug. J. Pharm. Pharm. 1968, 20, 528–538. [Google Scholar] [CrossRef]
- Nakaoka, R.; Tabata, Y.; Ikada, Y. Potentiality of gelatin microsphere as immunological adjuvant. Vaccine 1995, 13, 653–661. [Google Scholar] [CrossRef]
- Tabata, Y.; Ikada, Y. Synthesis of Gelatin Microspheres Containing Interferon. Pharm. Res. Off. J. Am. Assoc. Pharm. Sci. 1989, 6, 422–427. [Google Scholar]
- Nakas, A.; Dalatsi, A.M.; Kapourani, A.; Kontogiannopoulos, K.N.; Assimopoulou, A.N.; Barmpalexis, P. Quality Risk Management and Quality by Design for the Development of Diclofenac Sodium Intra-articular Gelatin Microspheres. Aaps Pharmscitech 2020, 21, 127. [Google Scholar] [CrossRef]
- Fan, H.; Hu, Y.; Qin, L.; Li, X.; Wu, H.; Lv, R. Porous gelatin–chondroitin–hyaluronate tri-copolymer scaffold containing microspheres loaded with TGF-β1 induces differentiation of mesenchymal stem cellsin vivo for enhancing cartilage repair. J. Biomed. Mater. Res. Part A 2006, 77A, 785–794. [Google Scholar] [CrossRef] [PubMed]
- Yin, F.; Cai, J.; Zen, W.; Wei, Y.; Zhou, W.; Yuan, F.; Singh, S.R.; Wei, Y. Cartilage Regeneration of Adipose-Derived Stem Cells in the TGF-β1-Immobilized PLGA-Gelatin Scaffold. Stem Cell Rev. Rep. 2015, 11, 453–459. [Google Scholar] [CrossRef]
- Lu, Y.; Zhang, G.; Sun, D.; Zhong, Y. Preparation and evaluation of biodegradable flubiprofen gelatin micro-spheres for intra-articular administration. J. Microencapsul. 2007, 24, 515–524. [Google Scholar] [CrossRef]
- Solorio, L.D.; Dhami, C.D.; Dang, P.N.; Vieregge, E.L.; Alsberg, E. Spatiotemporal Regulation of Chondrogenic Differentiation with Controlled Delivery of Transforming Growth Factor-β1 from Gelatin Microspheres in Mesenchymal Stem Cell Aggregates. Stem Cells Transl. Med. 2012, 1, 632–639. [Google Scholar] [CrossRef]
- Lan, L.; Tian, F.R.; ZhuGe, D.L.; ZhuGe, Q.C.; Shen, B.X.; Jin, B.H.; Huang, J.P.; Wu, M.Z.; Fan, L.X.; Zhao, Y.Z.; et al. Implantable porous gelatin microspheres sustained release of bFGF and improved its neuroprotective effect on rats after spinal cord injury. PLoS ONE 2017, 12, 1–16. [Google Scholar] [CrossRef] [PubMed]
- Yang, Z.; Duan, H.; Mo, L.; Qiao, H.; Li, X. The effect of the dosage of NT-3/chitosan carriers on the proliferation and differentiation of neural stem cells. Biomaterials 2010, 31, 4846–4854. [Google Scholar] [CrossRef] [PubMed]
- Qi, F.; Wu, J.; Li, H.; Ma, G. Recent research and development of PLGA/PLA microspheres/nanoparticles: A review in scientific and industrial aspects. Front. Chem. Sci. Eng. 2019, 13, 14–27. [Google Scholar] [CrossRef]
- Nagai, N.; Kumasaka, N.; Kawashima, T.; Kaji, H.; Nishizawa, M.; Abe, T. Preparation and characterization of collagen microspheres for sustained release of VEGF. J. Mater. Sci. Mater. Med. 2010, 21, 1891–1898. [Google Scholar] [CrossRef]
- Liu, G.; Pareta, R.A.; Wu, R.; Shi, Y.; Zhou, X.; Liu, H.; Deng, C.; Sun, X.; Atala, A.; Opara, E.C.; et al. Skeletal myogenic differentiation of urine-derived stem cells and angiogenesis using microbeads loaded with growth factors. Biomaterials 2013, 34, 1311–1326. [Google Scholar] [CrossRef] [PubMed]
- Gorgieva, S.; Kokol, V. Collagen- vs. Gelatine-Based Biomaterials and Their Biocompatibility: Review and Perspectives. In Biomaterials Applications for Nanomedicine; InTech: London, UK, 2011; pp. 17–52. [Google Scholar]
- Tan, H.; Huang, D.; Lao, L.; Gao, C. RGD modified PLGA/gelatin microspheres as microcarriers for chondrocyte delivery. J. Biomed. Mater. Res.–Part B Appl. Biomater. 2009, 91, 228–238. [Google Scholar] [CrossRef]
- Ahearne, M.; Buckley, C.T.; Kelly, D.J. A growth factor delivery system for chondrogenic induction of infrapatellar fat pad-derived stem cells in fibrin hydrogels. Biotechnol. Appl. Biochem. 2011, 58, 345–352. [Google Scholar] [CrossRef]
- Jayan, S.C.; Av, S.; Rifash, M.; Cm, M.; Shamseera, S. Design and In-vitro Evaluation of Gelatin Microspheres of Salbutamol Sulphate. Hygeia 2009, 1, 17–20. [Google Scholar]
- Jin, Y.; Kim, I.Y.; Kim, I.D.; Lee, H.K.; Park, J.Y.; Han, P.L.; Kim, K.K.; Choi, H.; Lee, J.K. Biodegradable gelatin microspheres enhance the neuroprotective potency of osteopontin via quick and sustained release in the post-ischemic brain. Acta Biomater. 2014, 10, 3126–3135. [Google Scholar] [CrossRef]
- Leucuta, S.E. Controlled release of nifedipine from gelatin microspheres and microcapsules: In vitro kinetics and pharmacokinetics in man. J. Microencapsul. 1990, 7, 209–217. [Google Scholar] [CrossRef] [PubMed]
- Elzoghby, A.O. Gelatin-based nanoparticles as drug and gene delivery systems: Reviewing three decades of research. J. Control. Release 2013, 172, 1075–1091. [Google Scholar] [CrossRef]
- Coester, C.J.; Langer, K.; Von Briesen, H.; Kreuter, J. Gelatin nanoparticles by two step desolvation a new preparation method, surface modifications and cell uptake. J. Microencapsul. 2000, 17, 187–193. [Google Scholar] [PubMed]
- Ofokansi, K.; Winter, G.; Fricker, G.; Coester, C. Matrix-loaded biodegradable gelatin nanoparticles as new approach to improve drug loading and delivery. Eur. J. Pharm. Biopharm. 2010, 76, 1–9. [Google Scholar] [CrossRef] [PubMed]
- Mohanty, B.; Aswal, V.K.; Kohlbrecher, J.; Bohidar, H.B. Synthesis of Gelatin Nanoparticles via Simple Coacervation. J. Surf. Sci. Technol. 2005, 21, 149–160. [Google Scholar]
- García Cruz, D.M.; Sardinha, V.; Escobar Ivirico, J.L.; Mano, J.F.; Gómez Ribelles, J.L. Gelatin microparticles aggregates as three-dimensional scaffolding system in cartilage engineering. J. Mater. Sci. Mater. Med. 2013, 24, 503–513. [Google Scholar] [CrossRef]
- Inoue, A.; Takahashi, K.A.; Arai, Y.; Tonomura, H.; Sakao, K.; Saito, M.; Fujioka, M.; Fujiwara, H.; Tabata, Y.; Kubo, T. The therapeutic effects of basic fibroblast growth factor contained in gelatin hydrogel microspheres on experimental osteoarthritis in the rabbit knee. Arthritis Rheum. 2006, 54, 264–270. [Google Scholar] [CrossRef]
- Nikovska, K. Study of olive oil-in-water emulsions with protein emulsifiers. Emir. J. Food Agric. 2012, 24, 17–24. [Google Scholar] [CrossRef]
- Dang, P.N.; Solorio, L.D.; Alsberg, E. Driving Cartilage Formation in High-Density Human Adipose-Derived Stem Cell Aggregate and Sheet Constructs Without Exogenous Growth Factor Delivery. Tissue Eng. Part A 2014, 20, 3163–3175. [Google Scholar] [CrossRef]
- Fan, H.; Zhang, C.; Li, J.; Bi, L.; Qin, L.; Wu, H.; Hu, Y. Gelatin microspheres containing TGF-β3 enhance the chondrogenesis of mesenchymal stem cells in modified pellet culture. Biomacromolecules 2008, 9, 927–934. [Google Scholar] [CrossRef]
- Komura, M.; Komura, H.; Konishi, K.; Ishimaru, T.; Hoshi, K. Promotion of tracheal cartilage growth by intra-tracheal injection of basic fi broblast growth factor ( b-FGF ). J. Pediatr. Surg. 2014, 49, 296–300. [Google Scholar] [CrossRef]
- Nakase, H.; Okazaki, K.; Tabata, Y.; Ozeki, M.; Watanabe, N.; Ohana, M.; Uose, S.; Uchida, K.; Nishi, T.; Mastuura, M.; et al. New cytokine delivery system using gelatin microspheres containing interleukin-10 for experimental inflammatory bowel disease. J. Pharm. Exp. 2002, 301, 59–65. [Google Scholar] [CrossRef]
- Pahuja, P.; Arora, S.; Pawar, P. Ocular drug delivery system: A reference to natural polymers. Expert Opin. Drug Deliv. 2012, 9, 837–861. [Google Scholar] [CrossRef]
- Brown, K.E.; Leong, K.; Huang, C.H.; Dalal, R.; Green, G.D.; Haimes, H.B.; Jimenez, P.A.; Bathon, J. Gelatin/chondroitin 6-sulfate microspheres for the delivery of therapeutic proteins to the joint. Arthritis Rheum. 1998, 41, 2185–2195. [Google Scholar] [CrossRef]
- Kawadkar, J.; Jain, R.; Kishore, R.; Pathak, A.; Chauhan, M.K. Formulation and evaluation of flurbiprofen-loaded genipin cross-linked gelatin microspheres for intra-articular delivery. J. Drug Target. 2013, 21, 200–210. [Google Scholar] [CrossRef]
- Mitsui, H.; Aoyama, T.; Furu, M.; Ito, K.; Jin, Y.; Maruyama, T.; Kanaji, T.; Fujimura, S.; Sugihara, H.; Nishiura, A.; et al. Prostaglandin E2 receptor type 2-selective agonist prevents the degeneration of articular cartilage in rabbit knees with traumatic instability. Arthritis Res. 2011, 13, 1–13. [Google Scholar] [CrossRef]
- Ratanavaraporn, J.; Soontornvipart, K.; Shuangshoti, S.; Shuangshoti, S.; Damrongsakkul, S. Localized delivery of curcumin from injectable gelatin/Thai silk fibroin microspheres for anti-inflammatory treatment of osteoarthritis in a rat model. Inflammopharmacology 2017, 25, 211–221. [Google Scholar] [CrossRef]
- Leong, W.; Lau, T.T.; Wang, D.A. A temperature-cured dissolvable gelatin microsphere-based cell carrier for chondrocyte delivery in a hydrogel scaffolding system. Acta Biomater. 2013, 9, 6459–6467. [Google Scholar] [CrossRef]
- Nimni, M.E. Polypeptide growth factors: Targeted delivery systems. Biomaterials 1997, 18, 1201–1225. [Google Scholar] [CrossRef]
- Miyakoshi, N.; Kobayashi, M.; Nozaka, K.; Okada, K.; Shimada, Y.; Itoi, E. Effects of intraarticular administration of basic fibroblast growth factor with hyaluronic acid on osteochondral defects of the knee in rabbits. Arch. Orthop. Trauma Surg. 2005, 125, 683–692. [Google Scholar] [CrossRef]
- Kuroda, Y.; Akiyama, H.; Kawanabe, K.; Tabata, Y.; Nakamura, T. Treatment of experimental osteonecrosis of the hip in adult rabbits with a single local injection of recombinant human FGF-2 microspheres. J. Bone Min. Metab. 2010, 28, 608–616. [Google Scholar] [CrossRef]
- Nagae, M.; Ikeda, T.; Mikami, Y.; Hase, H.; Ozawa, H.; Matsuda, K.-I.; Sakamoto, H.; Tabata, Y.; Kawata, M.; Kubo, T. Intervertebral Disc Regeneration Using Platelet-Rich Plasma and Biodegradable Gelatin Hydrogel Microspheres. Tissue Eng. 2007, 13, 147–158. [Google Scholar] [CrossRef]
- Saito, M.; Takahashi, K.A.; Arail, Y.; Inoue, A.; Sakao, K.; Tonomura, H.; Honjo, K.; Nakagawa, S.; Inoue, H.; Tabata, Y.; et al. Intraarticular administration of platelet-rich plasma with biodegradable gelatin hydrogel microspheres prevents osteoarthritis progression in the rabbit knee. Proc. Clin. Exp. Rheumatol. 2009, 27, 201–207. [Google Scholar]
- Kudva, A.K.; Dikina, A.D.; Luyten, F.P.; Alsberg, E.; Patterson, J. Gelatin microspheres releasing transforming growth factor drive in vitro chondrogenesis of human periosteum derived cells in micromass culture. Acta Biomater. 2019, 90, 287–299. [Google Scholar] [CrossRef]
- Park, E.; Hart, M.L.; Rolauffs, B.; Stegemann, J.P.; Annamalai, T.R. Bioresponsive microspheres for on-demand delivery of anti-inflammatory cytokines for articular cartilage repair. J. Biomed. Mater. Res.–Part A 2020, 108, 722–733. [Google Scholar] [CrossRef]
- Park, H.; Temenoff, J.S.; Holland, T.A.; Tabata, Y.; Mikos, A.G. Delivery of TGF-β1 and chondrocytes via injectable, biodegradable hydrogels for cartilage tissue engineering applications. Biomaterials 2005, 26, 7095–7103. [Google Scholar] [CrossRef] [PubMed]
- Fan, H.; Hu, Y.; Li, X.; Wu, H.; Lv, R.; Bai, J.; Wang, J.; Qin, L. Ectopic cartilage formation induced by mesenchymal stem cells on porous gelatin-chondroitin-hyaluronate scaffold containing microspheres loaded with TGF-β1. Int. J. Artif. Organs 2006, 29, 602–611. [Google Scholar] [CrossRef] [PubMed]
- Fan, H.; Liu, H.; Zhu, R.; Li, X.; Cui, Y.; Hu, Y.; Yan, Y. Comparison of chondral defects repair with in vitro and in vivo differentiated mesenchymal stem cells. Cell Transpl. 2007, 16, 823–832. [Google Scholar] [CrossRef] [PubMed]
- Sakaki-yumoto, M.; Katsuno, Y.; Derynck, R. Biochimica et Biophysica Acta TGF- β family signaling in stem cells. BBA–Gen. Subj. 2013, 1830, 2280–2296. [Google Scholar] [CrossRef]
- Sulaiman, S.; Chowdhury, S.R.; Fauzi, M.B.; Rani, R.A.; Yahaya, N.H.M.; Tabata, Y.; Hiraoka, Y.; Binti Haji Idrus, R.; Min Hwei, N. 3D Culture of MSCs on a Gelatin Microsphere in a Dynamic Culture System Enhances Chondrogenesis. Int. J. Mol. Sci. 2020, 21, 2688. [Google Scholar] [CrossRef]
- Rattier, B.D.; Hoffman, A.S.; Schoen, F.J.; Lemons, J.E. Biomaterials Science. J. Clin. Eng. 1997, 22, 26. [Google Scholar] [CrossRef]
- Han, Y.; Wei, Y.; Wang, S.; Song, Y. Enhanced chondrogenesis of adipose-derived stem cells by the controlled release of transforming growth factor-β1 from hybrid microspheres. Gerontology 2009, 55, 592–599. [Google Scholar] [CrossRef]
- Lo, C.Y.; Weil, B.R.; Palka, B.A.; Momeni, A.; Canty, J.M.; Neelamegham, S. Cell surface glycoengineering improves selectin-mediated adhesion of mesenchymal stem cells (MSCs) and cardiosphere-derived cells (CDCs): Pilot validation in porcine ischemia-reperfusion model. Biomaterials 2016, 74, 19–30. [Google Scholar] [CrossRef]
- Ko, I.K.; Kean, T.J.; Dennis, J.E. Biomaterials Targeting mesenchymal stem cells to activated endothelial cells. Biomaterials 2009, 30, 3702–3710. [Google Scholar] [CrossRef] [PubMed]
- Dennis, J.E.; Cohen, N.; Goldberg, V.M.; Caplan, A.I. Targeted delivery of progenitor cells for cartilage repair. J. Orthop. Res. 2004, 22, 735–741. [Google Scholar] [CrossRef]





| References | Model | Agent | Analysis | Conclusion | |
|---|---|---|---|---|---|
| Cell delivery | Tan et al. 2009 [24] | in vitro | GM + Chondrocytes | Cell viability assay Biochemical analysis (GAG) | GM with PLGA facilitated chondrocytes adhesion, proliferation, and viability. GM with PLGA improved GAG secretion. |
| Leong et al. 2013 [30] | in vitro | GM + Chondrocytes | Cell viability assay sGAG/DNA analysis Gene Expression (collagen type 2, GAG) Histology IHC | GM promoted cellular proliferation. GM increased the expression of collagen type 2 and GAG. | |
| Cruz et al. 2013 [33] | in vitro | GM + Chondrocytes | Cell viability assay Immunofluorescence (collagen type 1 and aggrecan) Biochemical analysis (collagen type I, GAG) | GM promoted cellular proliferation. | |
| Xu et al. 2019 [55] | in vitro | PCL scaffold + bone marrow MSC + alginate-GM | Cell viability and proliferation sGAG/DNA analysis Gene expression Histologic analysis Mechanical test | Alginate-GM promoted cell proliferation and supported the chondrogenesis of MSC. | |
| Sulaiman et al. 2020 [56] | in vitro | GM + bone marrow MSC | Cell viability assay sGAG/DNA analysis Immunofluorescence (collagen type II) Gene expression Biochemical analysis (GAG) | GM increased proliferation and chondrogenesis of MSC. | |
| Miyakoshi et al. 2005 [47] | in vivo (osteochondral defect) | GM + bFGF | Gross morphology Histologic analysis | GM + bFGF resulted in better subchondral bone restoration (not significant). | |
| Inoue et al. 2006 [36] | in vivo (osteoarthritis) | GM + bFGF | ECM gene expression Gross morphology Histologic analysis | GM + bFGF reduced the progression of OA. | |
| Biologics delivery | Nagae et al. 2007 [49] | in vivo (intervertebral disc (IVD) degeneration) | GM + PRP | Histologic analysis IHC (proteoglycan) | GM + PRP suppressed the progress of IVD degeneration. |
| Saito et al. 2009 [50] | in vivo (osteoarthritis) | GM + PRP | sGAG/DNA analysis Gene expression (ECM protein) Gross morphology Histological analysis | GM + PRP increased the expression of proteoglycan (ECM protein). GM + PRP suppressed the progression of OA. | |
| Kuroda et al. 2010 [48] | in vivo (osteoarthritis) | GM + bFGF | Gross Morphology Histologic analysis Radiological analysis | GM + bFGF promoted repair of OA, inhibited OA progression. GM + bFGF group has lower Mankin score. | |
| Kudva et al. 2019 [51] | in vitro | GM + TGF-β1 | sGAG/DNA analysis Biochemical analysis (collagen type I, II, GAG) Histologic analysis IHC | GM + TGF-β1 promoted chondrogenesis of human periosteum-derived cells. | |
| Hart et al. 2020 [52] | in vitro | GM + IL-4, IL-10, IL013 | Cell viability assay Drug-released study Biochemical analysis (Nitric oxide, Nitrite) | GM loaded with interleukins (IL-4, IL-10, IL013) dramatically reduced inflammation of chondrocytes by 65-80%. | |
| Biologics delivery in tissue scaffold | Park et al. 2005 [38] | in vitro | OPF scaffold + chondrocytes + GM+TGF-β1 | sGAG/DNA analysis Histologic analysis (safranin O) | GM+ TGF-β1 increased cellular proliferation of chondrocytes. |
| Fan et al. 2006 [19] | in vivo (full-thickness defect) | GCH scaffold + MSC + GM+TGF-β1 | Histological analysis Gross morphology | GM+ TGF-β1 promoted tissue integration of MSC. GM+ TGF-β1 showed better chondrocyte morphology while forming new cartilage layer. | |
| Fan et al. 2006 [52] | in vivo | GCH scaffold + MSC + GM+TGF-β1 | GAG/DNA Histological analysis of ectopic cartilage | GM+ TGF-β1 increased chondral differentiation of MSC GM+ TGF-β1 increased cellular proliferation of MSC and GAG synthesis. | |
| Fan et al. 2007 [53] | in vivo (full-thickness defect) | PLGA-GCH scaffold + MSC + GM+TGF-β1 | Cell proliferation sGAG/DNA analysis Histological analysis Gross morphology | GM+ TGF-β1 increased cellular proliferation of MSC and GAG synthesis GM+ TGF-β1 promoted tissue integration of MSC. | |
| Deng et al. 2007 [60] | in vivo (full-thickness defect) | GCH scaffold + chondrocytes + GM+bFGF | Macroscopic observation Histologic analysis | GM+bFGF promoted the retention of chondrocytes and formed cartilaginous tissue in the defect. | |
| Yin et al. 2015 [20] | in vivo | PLGA scaffold + adipose MSC + GM+TGF-β1 | sGAG/DNA analysis Histologic analysis | GM+TGF-β1 achieved better cartilage regeneration in defective articular cartilage. GM+TGF-β1 increased production of ECM protein. |
Publisher’s Note: MDPI stays neutral with regard to jurisdictional claims in published maps and institutional affiliations. |
© 2020 by the authors. Licensee MDPI, Basel, Switzerland. This article is an open access article distributed under the terms and conditions of the Creative Commons Attribution (CC BY) license (http://creativecommons.org/licenses/by/4.0/).
Share and Cite
Sulaiman, S.B.; Idrus, R.B.H.; Hwei, N.M. Gelatin Microsphere for Cartilage Tissue Engineering: Current and Future Strategies. Polymers 2020, 12, 2404. https://doi.org/10.3390/polym12102404
Sulaiman SB, Idrus RBH, Hwei NM. Gelatin Microsphere for Cartilage Tissue Engineering: Current and Future Strategies. Polymers. 2020; 12(10):2404. https://doi.org/10.3390/polym12102404
Chicago/Turabian StyleSulaiman, Shamsul Bin, Ruszymah Binti Haji Idrus, and Ng Min Hwei. 2020. "Gelatin Microsphere for Cartilage Tissue Engineering: Current and Future Strategies" Polymers 12, no. 10: 2404. https://doi.org/10.3390/polym12102404
APA StyleSulaiman, S. B., Idrus, R. B. H., & Hwei, N. M. (2020). Gelatin Microsphere for Cartilage Tissue Engineering: Current and Future Strategies. Polymers, 12(10), 2404. https://doi.org/10.3390/polym12102404

