Pyroelectric and Ferroelectric Properties of Hafnium Oxide Doped with Si via Plasma Enhanced ALD
Abstract
:1. Introduction
2. Materials and Methods
2.1. Atomic Layer Deposition of HSO
2.2. Metrology
3. Results
3.1. Structural and Chemical Analysis
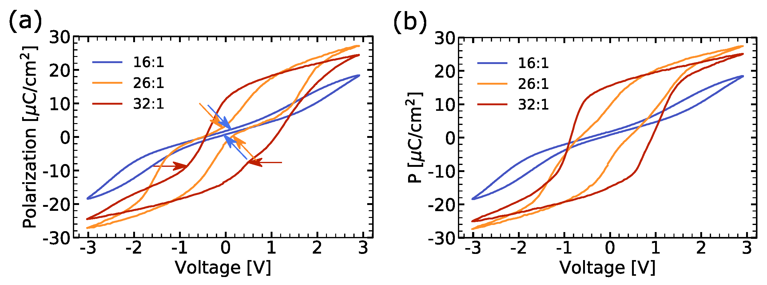
3.2. Ferroelectric Properties
3.3. Pyroelectric Properties
4. Discussion
5. Conclusions
Author Contributions
Funding
Institutional Review Board Statement
Informed Consent Statement
Data Availability Statement
Conflicts of Interest
Abbreviations
| ALD | Atomic layer deposition; |
| CMOS | Complementary-metal-oxide-semiconductor; |
| GIXRD | Grazing incident X-ray diffraction; |
| HKMG | High-k metal-gate; |
| HSO | Si-doped HfO2; |
| PE | Plasma enhanced; |
| PVD | Physical vapour deposition; |
| RMS | Root mean square; |
| XPS | X-ray photoelectron spectroscopy; |
References
- Böscke, T.S.; Müller, J.; Bräuhaus, D.; Schröder, U.; Böttger, U. Ferroelectricity in hafnium oxide thin films. Appl. Phys. Lett. 2011, 99, 102903. [Google Scholar] [CrossRef]
- Müller, J.; Yurchuk, E.; Schlosser, T.; Paul, J.; Hoffmann, R.; Müller, S.; Martin, D.; Slesazeck, S.; Polakowski, P.; Sundqvist, J.; et al. Ferroelectricity in HfO2 enables nonvolatile data storage in 28 nm HKMG. In Proceedings of the IEEE Symposium on VLSI Technology, Honolulu, HI, USA, 12–14 June 2012; Staff, I., Ed.; IEEE: Piscataway, NJ, USA, 2012; pp. 25–26. [Google Scholar] [CrossRef]
- Beyer, S.; Dünkel, S.; Trentzsch, M.; Müller, J.; Hellmich, A.; Utess, D.; Paul, J.; Kleimaier, D.; Pellerin, J.; Müller, S.; et al. FeFET: A versatile CMOS compatible device with game-changing potential. In Proceedings of the IEEE International Memory Workshop, Dresden, Germany, 17–20 May 2020; IEEE: Piscataway, NJ, USA, 2020; pp. 1–4. [Google Scholar] [CrossRef]
- Jerry, M.; Chen, P.Y.; Zhang, J.; Sharma, P.; Ni, K.; Yu, S.; Datta, S. Ferroelectric FET analog synapse for acceleration of deep neural network training. In Proceedings of the IEEE International Electron Devices Meeting, San Francisco, CA, USA, 2–6 December 2017; IEEE: Piscataway, NJ, USA, 2017; pp. 6.2.1–6.2.4. [Google Scholar] [CrossRef]
- Lederer, M.; Kampfe, T.; Ali, T.; Müller, F.; Olivo, R.; Hoffmann, R.; Laleni, N.; Seidel, K. Ferroelectric Field Effect Transistors as a Synapse for Neuromorphic Application. IEEE Trans. Electron. Devices 2021, 68, 2295–2300. [Google Scholar] [CrossRef]
- Ghatge, M.; Walters, G.; Nishida, T.; Tabrizian, R. Atomically Engineered Hf0.5Zr0.5O2 Integrated Nano-Electromechanical Transducers. Nat. Electron. 2019, 2, 506–512. [Google Scholar] [CrossRef]
- Kirbach, S.; Lederer, M.; Eßlinger, S.; Mart, C.; Czernohorsky, M.; Weinreich, W.; Wallmersperger, T. Doping concentration dependent piezoelectric behavior of Si:HfO2 thin-films. Appl. Phys. Lett. 2021, 118, 012904. [Google Scholar] [CrossRef]
- Mart, C.; Kämpfe, T.; Hoffmann, R.; Eßlinger, S.; Kirbach, S.; Kühnel, K.; Czernohorsky, M.; Eng, L.M.; Weinreich, W. Piezoelectric Response of Polycrystalline Silicon–Doped Hafnium Oxide Thin Films Determined by Rapid Temperature Cycles. Adv. Electron. Mater. 2020, 49, 1901015. [Google Scholar] [CrossRef]
- Mart, C.; Abdulazhanov, S.; Czernohorsky, M.; Kampfe, T.; Lehninger, D.; Falidas, K.; Eslinger, S.; Kuhnel, K.; Oehler, S.; Rudolph, M.; et al. Energy Harvesting in the Back-End of Line with CMOS Compatible Ferroelectric Hafnium Oxide. In Proceedings of the IEEE International Electron Devices Meeting, San Francisco, CA, USA, 12–18 December 2020; IEEE: Piscataway, NJ, USA, 2020; pp. 26.3.1–26.3.4. [Google Scholar] [CrossRef]
- Mart, C.; Weinreich, W.; Czernohorsky, M.; Riedel, S.; Zybell, S.; Kühnel, K. CMOS Compatible Pyroelectric Applications Enabled by Doped HfO2 Films on Deep-Trench Structures. In Proceedings of the 48th European Solid-State Device Research Conference (ESSDERC), Dresden, Germany, 3–6 September 2018; IEEE: Piscataway, NJ, USA, 2018; pp. 130–133. [Google Scholar] [CrossRef]
- Mart, C.; Kühnel, K.; Kämpfe, T.; Zybell, S.; Weinreich, W. Ferroelectric and pyroelectric properties of polycrystalline La-doped HfO2 thin films. Appl. Phys. Lett. 2019, 114, 102903. [Google Scholar] [CrossRef]
- Müller, J.; Polakowski, P.; Müller, S.; Mikolajick, T. Ferroelectric Hafnium Oxide Based Materials and Devices: Assessment of Current Status and Future Prospects. ECS J. Solid State Sci. Technol. 2015, 4, N30–N35. [Google Scholar] [CrossRef]
- Park, M.H.; Lee, Y.H.; Kim, H.J.; Kim, Y.J.; Moon, T.; Kim, K.D.; Hyun, S.D.; Mikolajick, T.; Schröder, U.; Hwang, C.S. Understanding the formation of the metastable ferroelectric phase in hafnia-zirconia solid solution thin films. Nanoscale 2018, 10, 716–725. [Google Scholar] [CrossRef]
- Xu, L.; Nishimura, T.; Shibayama, S.; Yajima, T.; Migita, S.; Toriumi, A. Kinetic pathway of the ferroelectric phase formation in doped HfO2 films. J. Appl. Phys. 2017, 122, 124104. [Google Scholar] [CrossRef]
- Lederer, M.; Mertens, K.; Olivo, R.; Kühnel, K.; Lehninger, D.; Ali, T.; Kämpfe, T.; Seidel, K.; Eng, L.M. Substrate-dependent differences in ferroelectric behavior and phase diagram of Si-doped hafnium oxide. J. Mater. Res. 2021, 36, 4370–4378. [Google Scholar] [CrossRef]
- Huan, T.D.; Sharma, V.; Rossetti, G.A.; Ramprasad, R. Pathways towards ferroelectricity in hafnia. Phys. Rev. B 2014, 90, 38. [Google Scholar] [CrossRef]
- Materlik, R.; Künneth, C.; Kersch, A. The origin of ferroelectricity in Hf1-xZrxO2: A computational investigation and a surface energy model. J. Appl. Phys. 2015, 117, 134109. [Google Scholar] [CrossRef]
- Ni, K.; Gupta, A.; Prakash, O.; Thomann, S.; Hu, X.S.; Amrouch, H. Impact of Extrinsic Variation Sources on the Device-to-Device Variation in Ferroelectric FET. In Proceedings of the IEEE International Reliability Physics Symposium, Dallas, TX, USA, 28 April–30 May 2020; IEEE: Piscataway, NJ, USA, 2020; pp. 1–5. [Google Scholar] [CrossRef]
- Khan, A.I.; Keshavarzi, A.; Datta, S. The future of ferroelectric field-effect transistor technology. Nat. Electron. 2020, 3, 588–597. [Google Scholar] [CrossRef]
- Müller, F.; Lederer, M.; Olivo, R.; Ali, T.; Hoffmann, R.; Mulaosmanovic, H.; Beyer, S.; Dünkel, S.; Müller, J.; Müller, S.; et al. Current percolation path impacting switching behavior of ferroelectric FETs. In Proceedings of the International Symposium on VLSI Technology, Systems and Applications (VLSI-TSA), Hsinchu, Taiwan, 19–22 April 2021; IEEE: Piscataway, NJ, USA, 2021; pp. 1–2. [Google Scholar] [CrossRef]
- Lederer, M.; Bagul, P.; Lehninger, D.; Mertens, K.; Reck, A.; Olivo, R.; Kämpfe, T.; Seidel, K.; Eng, L.M. Influence of Annealing Temperature on the Structural and Electrical Properties of Si-Doped Ferroelectric Hafnium Oxide. ACS Appl. Electron. Mater. 2021, 3, 4115–4120. [Google Scholar] [CrossRef]
- Lederer, M.; Kämpfe, T.; Vogel, N.; Utess, D.; Volkmann, B.; Ali, T.; Olivo, R.; Müller, J.; Beyer, S.; Trentzsch, M.; et al. Structural and Electrical Comparison of Si and Zr Doped Hafnium Oxide Thin Films and Integrated FeFETs Utilizing Transmission Kikuchi Diffraction. Nanomaterials 2020, 10, 384. [Google Scholar] [CrossRef]
- Lombardo, S.F.; Tian, M.; Chae, K.; Hur, J.; Tasneem, N.; Yu, S.; Cho, K.; Kummel, A.C.; Kacher, J.; Khan, A.I. Local epitaxial-like templating effects and grain size distribution in atomic layer deposited Hf0.5Zr0.5O2 thin film ferroelectric capacitors. Appl. Phys. Lett. 2021, 119, 092901. [Google Scholar] [CrossRef]
- Lederer, M.; Lehninger, D.; Abdulazhanov, S.; Reck, A.; Olivo, R.; Kampfe, T.; Seidel, K. Process influences on the microstructure of BEoL integrated ferroelectric hafnium zirconium oxide. In Proceedings of the 2021 IEEE International Symposium on Applications of Ferroelectrics (ISAF), Sydney, Australia, 16–21 May 2021; IEEE: Piscataway, NJ, USA, 2021; pp. 1–4. [Google Scholar] [CrossRef]
- Lederer, M.; Reck, A.; Mertens, K.; Olivo, R.; Bagul, P.; Kia, A.; Volkmann, B.; Kämpfe, T.; Seidel, K.; Eng, L.M. Impact of the SiO2 interface layer on the crystallographic texture of ferroelectric hafnium oxide. Appl. Phys. Lett. 2021, 118, 012901. [Google Scholar] [CrossRef]
- De, S.; Qiu, B.H.; Bu, W.X.; Baig, M.A.; Sung, P.J.; Su, C.J.; Lee, Y.J.; Lu, D.D. Uniform Crystal Formation and Electrical Variability Reduction in Hafnium-Oxide-Based Ferroelectric Memory by Thermal Engineering. ACS Appl. Electron. Mater. 2021, 3, 619–628. [Google Scholar] [CrossRef]
- Lederer, M.; Olivo, R.; Lehninger, D.; Abdulazhanov, S.; Kämpfe, T.; Kirbach, S.; Mart, C.; Seidel, K.; Eng, L.M. On the Origin of Wake–Up and Antiferroelectric–Like Behavior in Ferroelectric Hafnium Oxide. Phys. Status Solidi (RRL) 2021, 15, 2100086. [Google Scholar] [CrossRef]
- Liao, J.; Zeng, B.; Sun, Q.; Chen, Q.; Liao, M.; Qiu, C.; Zhang, Z.; Zhou, Y. Grain Size Engineering of Ferroelectric Zr-doped HfO2 for the Highly Scaled Devices Applications. IEEE Electron Device Lett. 2019, 40, 1868–1871. [Google Scholar] [CrossRef]
- Garn, L.E.; Sharp, E.J. Use of low–frequency sinusoidal temperature waves to separate pyroelectric currents from nonpyroelectric currents. Part I. Theory. J. Appl. Phys. 1982, 53, 8974–8979. [Google Scholar] [CrossRef]
- Lederer, M. Material Development of Doped Hafnium Oxide for Non-Volatile Ferroelectric Memory Application. Ph.D. Thesis, Technische Universität Dresden, Dresden, Germany, 2022. [Google Scholar]
- Mart, C.; Kämpfe, T.; Kühnel, K.; Czernohorsky, M.; Kolodinski, S.; Wiatr, M.; Weinreich, W.; Eng, L.M. Enhanced pyroelectric response at morphotropic and field-induced phase transitions in ferroelectric hafnium oxide thin films. APL Mater. 2021, 9, 051120. [Google Scholar] [CrossRef]






| Typ | Hf:Si | d High-k (nm) | 1 High-k | Si/(Hf + Si) |
|---|---|---|---|---|
| Hybrid | 16:1 | 12.7 | 3.3 | 4.5 |
| Hybrid | 26:1 | 11.8 | 3.5 | 2.7 |
| Hybrid | 32:1 | 11.8 | 3.7 | 2.1 |
| Standard | 10:1 | 11.1 | 3.4 | 3.7 |
| Standard | 16:1 | 10.8 | 3.2 | 2.2 |
| Standard | 20:1 | 10.6 | 3.2 | 1.8 |
| Standard | 26:1 | 10.6 | 3.5 | 1.2 |
Publisher’s Note: MDPI stays neutral with regard to jurisdictional claims in published maps and institutional affiliations. |
© 2022 by the authors. Licensee MDPI, Basel, Switzerland. This article is an open access article distributed under the terms and conditions of the Creative Commons Attribution (CC BY) license (https://creativecommons.org/licenses/by/4.0/).
Share and Cite
Neuber, M.; Lederer, M.W.; Mertens, K.; Kämpfe, T.; Czernohorsky, M.; Seidel, K. Pyroelectric and Ferroelectric Properties of Hafnium Oxide Doped with Si via Plasma Enhanced ALD. Crystals 2022, 12, 1115. https://doi.org/10.3390/cryst12081115
Neuber M, Lederer MW, Mertens K, Kämpfe T, Czernohorsky M, Seidel K. Pyroelectric and Ferroelectric Properties of Hafnium Oxide Doped with Si via Plasma Enhanced ALD. Crystals. 2022; 12(8):1115. https://doi.org/10.3390/cryst12081115
Chicago/Turabian StyleNeuber, Markus, Maximilian Walter Lederer, Konstantin Mertens, Thomas Kämpfe, Malte Czernohorsky, and Konrad Seidel. 2022. "Pyroelectric and Ferroelectric Properties of Hafnium Oxide Doped with Si via Plasma Enhanced ALD" Crystals 12, no. 8: 1115. https://doi.org/10.3390/cryst12081115
APA StyleNeuber, M., Lederer, M. W., Mertens, K., Kämpfe, T., Czernohorsky, M., & Seidel, K. (2022). Pyroelectric and Ferroelectric Properties of Hafnium Oxide Doped with Si via Plasma Enhanced ALD. Crystals, 12(8), 1115. https://doi.org/10.3390/cryst12081115

