Efficiency Droop and Degradation in AlGaN-Based UVB Light-Emitting Diodes
Abstract
:1. Introduction
2. Materials and Methods
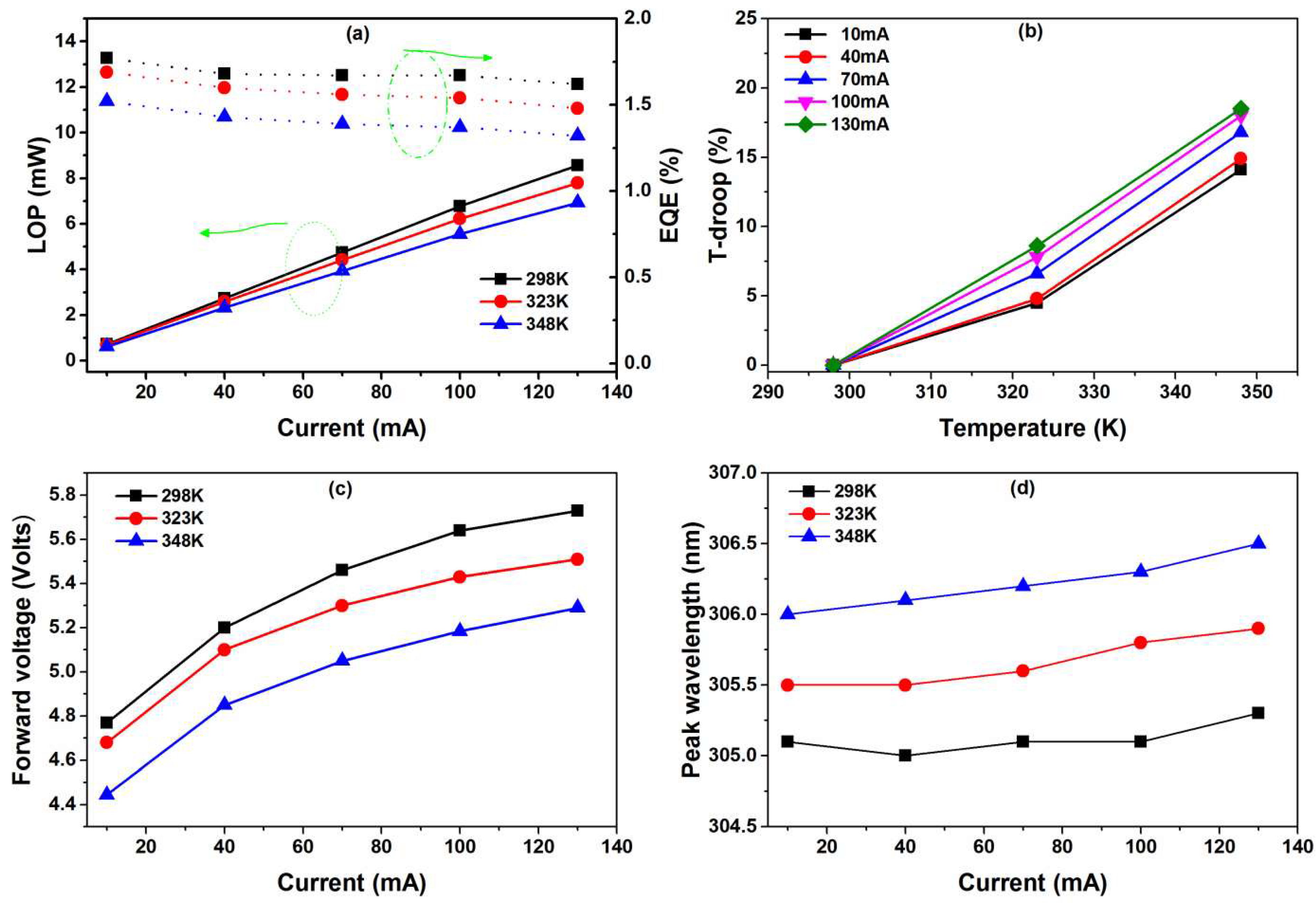
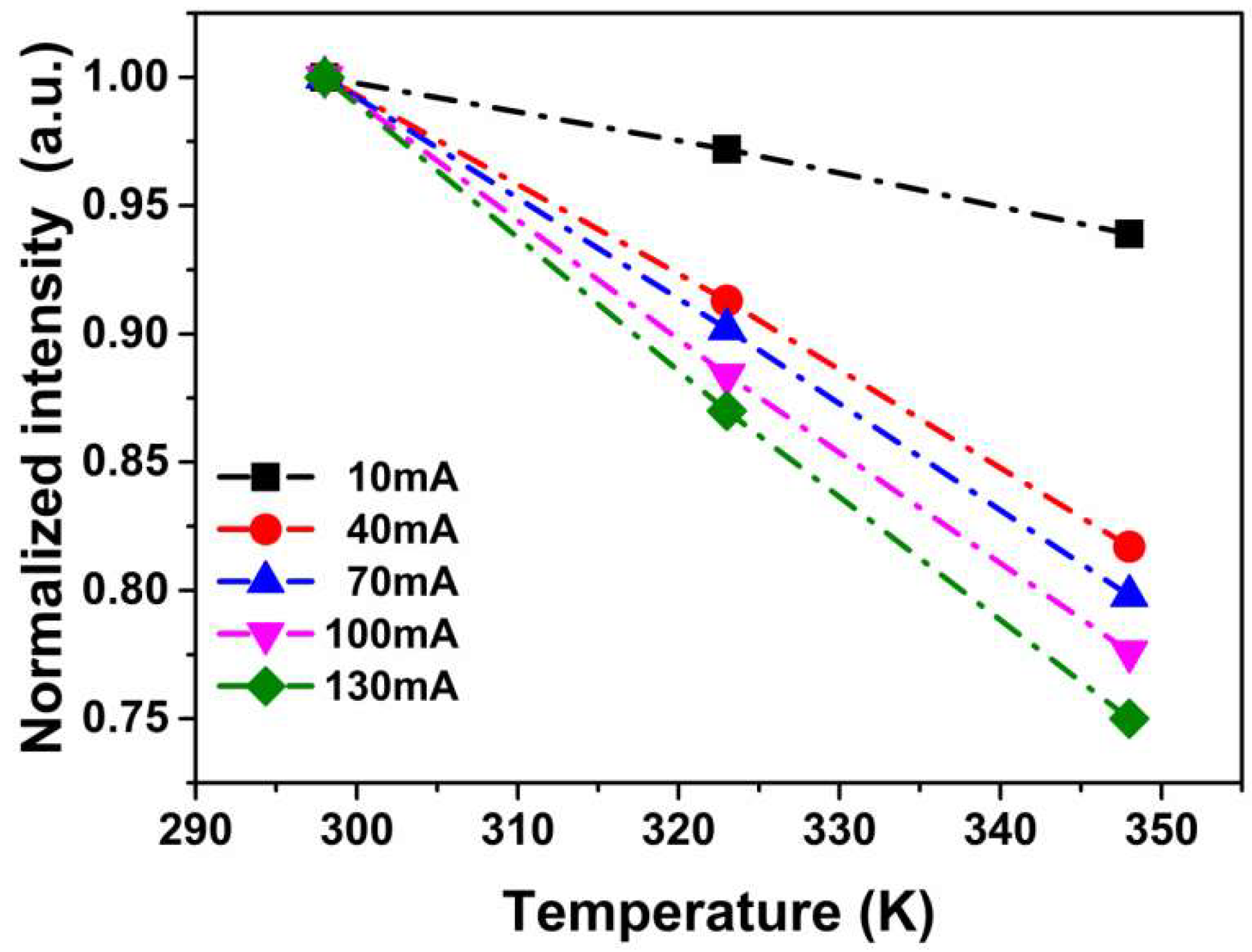
3. Results and Discussion
4. Conclusions
Author Contributions
Funding
Institutional Review Board Statement
Informed Consent Statement
Data Availability Statement
Acknowledgments
Conflicts of Interest
References
- Amano, H.; Collazo, R.; De Santi, C.; Einfeldt, S.; Funato, M.; Glaab, J.; Hagedorn, S.; Hirano, A.; Hirayama, H.; Ishii, R.; et al. The 2020 UV emitter roadmap. J. Phys. D Appl. Phys. 2020, 53, 503001. [Google Scholar] [CrossRef]
- Raeiszadeh, M.; Adeli, B. A Critical Review on Ultraviolet Disinfection Systems against COVID-19 Outbreak: Applicability, Validation, and Safety Considerations. ACS Photon. 2020, 7, 2941–2951. [Google Scholar] [CrossRef]
- Kneissl, M.; Rass, J. III-Nitride Ultraviolet Emitters: Technology and Applications; Springer: New York, NY, USA, 2016. [Google Scholar]
- Matsuura, S.; Ishikura, S. Suppression of Tomato mosaic virus disease in tomato plants by deep ultraviolet irradiation using light-emitting diodes. Lett. Appl. Microbiol. 2014, 59, 457–463. [Google Scholar] [CrossRef] [PubMed]
- Middelkamp-Hup, M.A.; Bos, J.D.; Rius-Diaz, F.; Gonzalez, S.; Westerhof, W. Treatment of vitiligo vulgaris with narrow-band UVB and oral Polypodium leucotomos extract: A randomized double-blind placebo-controlled study. J. Eur. Acad. Dermatol. Venereol. 2010, 21, 942–950. [Google Scholar] [CrossRef] [PubMed]
- Beani, J.C.; Jeanmougin, M. Narrow-band UVB therapy in psoriasis vulgaris: Good practice guideline and recommendations of the French Society of Photodermatology. Ann. Dermatol. Vénéréologie 2010, 137, 21–31. [Google Scholar] [CrossRef]
- Verhaeghe, E.; Lodewick, E.; van Geel, N.; Lambert, J. Intrapatient Comparison of 308-nm Monochromatic Excimer Light and Localized Narrow-Band UVB Phototherapy in the Treatment of Vitiligo: A Randomized Controlled Trial. Dermatology 2011, 223, 343–348. [Google Scholar] [CrossRef]
- Khan, M.A.; Matsumoto, T.; Maeda, N.; Kamata, N.; Hirayama, H. Improved external quantum efficiency of 293 nm AlGaN UVB LED grown on an AlN template. Jpn. J. Appl. Phys. 2018, 58, SAAF01. [Google Scholar] [CrossRef]
- Khan, M.A.; Maeda, N.; Jo, M.; Akamatsu, Y.; Tanabe, R.; Yamada, Y.; Hirayama, H. 13 mW operation of a 295–310 nm AlGaN UV-B LED with a p-AlGaN transparent contact layer for real world applications. J. Mater. Chem. C 2018, 7, 143–152. [Google Scholar] [CrossRef] [Green Version]
- Susilo, N.; Enslin, J.; Sulmoni, L.; Guttmann, M.; Zeimer, U.; Wernicke, T.; Weyers, M.; Kneissl, M. Effect of the GaN:Mg contact layer on the light-output and current–voltage characteristic of UVB LEDs. Phys. Status Solidi A 2017, 215, 1700643. [Google Scholar] [CrossRef]
- Guttmann, M.; Hermann, M.; Enslin, J.; Graupeter, S.; Sulmoni, L.; Kuhn, C.; Wernicke, T.; Kneissl, M. Improved light extraction and quantum efficiencies for UVB LEDs with UV-transparent p-AlGaN superlattices. Proc. SPIE 2017, 10104, 101041S. [Google Scholar] [CrossRef]
- Khan, M.A.; Itokazu, Y.; Maeda, N.; Jo, M.; Yamada, Y.; Hirayama, H. External quantum efficiency of 6.5% at 300 nm emission and 4.7% at 310 nm emission on bare wafer of AlGaN-based UVB LEDs. ACS Appl. Electron. Mater. 2020, 2, 1892–1907. [Google Scholar] [CrossRef]
- Trivellin, N.; Monti, D.; Piva, F.; Buffolo, M.; De Santi, C.; Zanoni, E.; Meneghesso, G.; Meneghini, M. Degradation processes of 280 nm high power DUV LEDs: Impact on parasitic luminescence. Jpn. J. Appl. Phys. 2019, 58, SCCC19. [Google Scholar] [CrossRef]
- Monti, D.; Santi, C.D.; Ruos, S.D.; Piva, F.; Glaab, J.; Rass, J.; Einfeldt, S.; Mehnke, F.; Enslin, J.; Wernicke, T.; et al. High-current stress of UV-B (In)AlGaN-based LEDs: Defect-generation and diffusion processes. IEEE Trans. Electron Dev. 2019, 66, 3387–3392. [Google Scholar] [CrossRef]
- Meneghini, M.; De Santi, C.; Tibaldi, A.; Vallone, M.; Bertazzi, F.; Meneghesso, G.; Zanoni, E.; Goano, M. Thermal droop in III-nitride based light-emitting diodes: Physical origin and perspectives. J. Appl. Phys. 2020, 127, 211102. [Google Scholar] [CrossRef]
- Santi, C.D.; Meneghini, M.; Monti, D.; Glaab, J.; Guttmann, M.; Rass, J.; Einfeldt, S.; Mehnke, F.; Enslin, J.; Wernicke, T.; et al. Recombination mechanisms and thermal droop in AlGaN-based UV-B LEDs. Photonics Res. 2017, 5, A44–A51. [Google Scholar] [CrossRef]
- Wu, T.; Lin, Y.; Peng, Z.; Chen, H.; Shangguan, Z.; Liu, M.; Chen, S.-W.H.; Lin, C.-H.; Kuo, H.-C.; Chen, Z. Interplay of carriers and deep-level recombination centers of 275-nm light-emitting diodes—Analysis on the parasitic peaks over wide ranges of temperature and injection density. Opt. Express 2019, 27, A1060–A1073. [Google Scholar] [CrossRef]
- Oh, C.H.; Shim, J.I.; Shin, D.S. Current- and temperature-dependent efficiency droops in InGaN-based blue and AlGaInP-based red light-emitting diodes. Jpn. J. Appl. Phys. 2019, 58, SCCC08. [Google Scholar] [CrossRef]
- Ploch, N.L.; Einfeldt, S.; Frentrup, M.; Rass, J.; Wernicke, T.; Knauer, A.; Kueller, V.; Weyers, M.; Kneissl, M. Investigation of the temperature dependent efficiency droop in UV LEDs. Semicond. Sci. Technol. 2013, 28, 125021. [Google Scholar] [CrossRef]
- Peng, Z.; Guo, W.; Wu, T.; Guo, Z.; Lu, Y.; Zheng, Y.-C.; Lin, Y.; Chen, Z. Temperature-Dependent Carrier Recombination and Efficiency Droop of AlGaN Deep Ultraviolet Light-Emitting Diodes. IEEE Photonics J. 2020, 12, 8200108. [Google Scholar] [CrossRef]
- Ruschel, J.; Glaab, J.; Beidoun, B.; Ploch, N.L.; Rass, J.; Kolbe, T.; Knauer, A.; Weyers, M.; Einfeldt, S.; Kneissl, M. Current-induced degradation and lifetime prediction of 310 nm ultraviolet light-emitting diodes. Photonics Res. 2019, 7, B36–B40. [Google Scholar] [CrossRef]
- Ruschel, J.; Glaab, J.; Brendel, M.; Kneissl, M. Localization of current-induced degradation effects in (InAlGa)N-based UV-B LEDs. J. Appl. Phys. 2018, 124, 084504. [Google Scholar] [CrossRef]
- Liu, T.-Y.; Huang, S.-M.; Lai, M.-J.; Liu, R.-S.; Zhang, X.; Chang, Y.-T.; Zhang, L.-J.; Lin, R.-M. Narrow-band AlGaN-based UVB light-emitting diodes. ACS Appl. Electron. Mater. 2021, 3, 4121. [Google Scholar] [CrossRef]
- Glaab, J.; Ploch, C.; Kelz, R.; Stölmacker, C.; Lapeyrade, M.; Ploch, N.L.; Rass, J.; Kolbe, T.; Einfeldt, S.; Mehnke, F.; et al. Degradation of (InAlGa)N-based UV-B light emitting diodes stressed by current and temperature. J. Appl. Phys. 2015, 118, 094504. [Google Scholar] [CrossRef]
- Nippert, F.; Mazraehno, M.T.; Davies, M.J.; Hoffmann, M.P.; Lugauer, H.-J.; Kure, T.; Kneissl, M.; Hoffmann, A.; Wagner, M.R. Auger recombination in AlGaN quantum wells for UV light-emitting diodes. Appl. Phys. Lett. 2018, 113, 071107. [Google Scholar] [CrossRef] [Green Version]
- Glaab, J.; Haefke, J.; Ruschel, J.; Brendel, M.; Rass, J.; Kolbe, T.; Knauer, A.; Weyers, M.; Einfeldt, S.; Guttmann, M.; et al. Degradation effects of the active region in UV-C light-emitting diodes. J. Appl. Phys. 2018, 123, 104502. [Google Scholar] [CrossRef]
- Zhu, X.; Su, M.; Chen, Z.; Deng, S.; Yao, H.; Wang, Y.; Chen, Z.; Deng, J.; Sun, W. Degradation analysis with characteristics and simulations of 265 nm UV-C LED. J. Mater. Sci. Mater. Electron. 2021, 32, 17115–17122. [Google Scholar] [CrossRef]
- Su, M.; Zhu, X.; Guo, Q.; Chen, Z.; Deng, S.; Chen, Z.; Wang, Y.; Deng, J.; Sun, W. Characterization and simulation of 280 nm UV-LED degradation. AIP Adv. 2021, 11, 035315. [Google Scholar] [CrossRef]






Publisher’s Note: MDPI stays neutral with regard to jurisdictional claims in published maps and institutional affiliations. |
© 2022 by the authors. Licensee MDPI, Basel, Switzerland. This article is an open access article distributed under the terms and conditions of the Creative Commons Attribution (CC BY) license (https://creativecommons.org/licenses/by/4.0/).
Share and Cite
Chang, Y.-T.; Lai, M.-J.; Liu, R.-S.; Wang, S.-C.; Zhang, X.; Zhang, L.-J.; Lin, Y.-H.; Huang, S.-F.; Chen, L.-C.; Lin, R.-M. Efficiency Droop and Degradation in AlGaN-Based UVB Light-Emitting Diodes. Crystals 2022, 12, 1082. https://doi.org/10.3390/cryst12081082
Chang Y-T, Lai M-J, Liu R-S, Wang S-C, Zhang X, Zhang L-J, Lin Y-H, Huang S-F, Chen L-C, Lin R-M. Efficiency Droop and Degradation in AlGaN-Based UVB Light-Emitting Diodes. Crystals. 2022; 12(8):1082. https://doi.org/10.3390/cryst12081082
Chicago/Turabian StyleChang, Yi-Tsung, Mu-Jen Lai, Rui-Sen Liu, Shu-Chang Wang, Xiong Zhang, Lin-Jun Zhang, Yu-Hsien Lin, Shiang-Fu Huang, Lung-Chien Chen, and Ray-Ming Lin. 2022. "Efficiency Droop and Degradation in AlGaN-Based UVB Light-Emitting Diodes" Crystals 12, no. 8: 1082. https://doi.org/10.3390/cryst12081082
APA StyleChang, Y.-T., Lai, M.-J., Liu, R.-S., Wang, S.-C., Zhang, X., Zhang, L.-J., Lin, Y.-H., Huang, S.-F., Chen, L.-C., & Lin, R.-M. (2022). Efficiency Droop and Degradation in AlGaN-Based UVB Light-Emitting Diodes. Crystals, 12(8), 1082. https://doi.org/10.3390/cryst12081082

