Next Article in Journal
A Theoretical Modeling of Adaptive Mixed CNT Bundles for High-Speed VLSI Interconnect Design
Next Article in Special Issue
Established Model on Polycrystalline Graphene Oxide and Analysis of Mechanical Characteristic
Previous Article in Journal
Patterned-Liquid-Crystal for Novel Displays
 
 
Font Type:
Arial Georgia Verdana
Font Size:
Aa Aa Aa
Line Spacing:
Column Width:
Background:
Article

Electric-Field Induced Doping Polarity Conversion in Top-Gated Transistor Based on Chemical Vapor Deposition of Graphene

1
High-Frequency High-Voltage Device and Integrated Circuits R&D Center, Institute of Microelectronics, Chinese Academy of Sciences, Beijing 100029, China
2
Key Laboratory of Microelectronic Devices & Integrated Technology, Institute of Microelectronics, Chinese Academy of Sciences, Beijing 100029, China
3
College of Information Science and Technology, North China University of Technology, Beijing 100144, China
*
Authors to whom correspondence should be addressed.
Crystals 2022, 12(2), 184; https://doi.org/10.3390/cryst12020184
Submission received: 29 November 2021 / Revised: 26 December 2021 / Accepted: 13 January 2022 / Published: 27 January 2022
(This article belongs to the Special Issue 2D Crystalline Nanomaterials)

Abstract

:
The top-gated graphene field effect transistor (GFET) with electric-field induced doping polarity conversion has been demonstrated. The polarity of channel conductance in GFET can be transition from p-type to n-type through altering the gate electric field scanning range. Further analysis indicates that this complementary doping is attributed to the charge exchange between graphene and interface trap sites. The oxygen vacancies in Al2O3filmare are considered to be the origin of the trap sites. The trapping–detrapping process, which may be tuned by the electric field across the metal/oxide/graphene gate stack, could lead to the changing of the intrinsic electric property of graphene. This study promises to produce the complementary p- and n-type GFET for logic applications.

1. Introduction

As a two-dimensional (2D) sp2 hybridized carbon atomic network, graphene has attracted much interest as a new electronic material. Graphene is considered to be a greatly promising material for future electronic applications because of its high carrier mobility, carrier saturation velocity and thermal conductivity [1,2,3,4,5]. Differing from the traditional bulk semiconductor (Si, Ge, GaAs et al.), the carrier type in graphene can be either hole or electron, which is usually called the ambipolar characteristic. This phenomenon can be due to the unique cone-like zero energy band structure of graphene. In graphene, the valence band intersects with its conduction band on the so-called Dirac point energy. When the Fermi level is shifted below or above the Dirac point, the graphene is either p-type or n-type doping, respectively [1]. For further digital logic application, complementary p- and n-type doping graphene transistors are highly demanded [6,7]. Several methods have been proposed to control the doping type of GFET. For example, the p-type doped GFET can be obtained by the physical adsorption molecular oxygen on the graphene surface. Meanwhile, the GFET can also be n-type doped through NH3 annealing after N+ ion irradiation. The change of the doping polarity can owe to the electron transfer from N atoms decoration [8]. Furthermore, the doping level of graphene can also be tuned by coating the hydrogen silsesquoxane (HSQ). The n-type and p-type doping GFETs were realized due to the carrier injection from the Si-H and Si-O bonds [6]. The titanium (Ti) passivation layer was also utilized as a dopant to acquire the p-type doping graphene transistor. In addition, graphene can be changed to be n-type doped through an annealing process followed by the deposition of silicon nitride (Si3N4) dielectric film. The electron doping is caused by exposure to the NH3 gases involved in the Si3N4 deposition process [9,10]. However, the methods reported in the above literature were all related with back-gated GFET, in which the graphene channel was left uncovered. For realistic device applications, graphene would require a dielectric layer and metal electrode. Some groups have fabricated top-gated GFET, in which the carrier type can be tuned by the back-gate electric potential [11,12,13]. However, the extra global bottom-gate structure makes it impractical for complementary doping application. As a result, the new method of converting the doping polarity of graphene in top-gated GFET is required. In this study, we demonstrated that a complementary doping of top-gate GEFTs from p-type to n-type utilizing O3-based atomic layer deposition Al2O3 as dielectric stack. The doping polarity of the GFET can be controlled by the applied top-gate electric field sweeping range, which indicates that the charge traps in the dielectric layer may be the key factor for this p-type to n-type conversion.

2. Experimental

Figure 1a shows process flow for top-gated GFET fabrication. The graphene film used in this study is grown by chemical vapor deposition (CVD) on copper. Then the graphene was transferred onto a heavily doped Si substrate with 100 nm SiO2. The source-drain contact region was defined by electron beam lithography followed by a Pd/Au (15/50 nm) stack layer evaporation and lift-off process. Next, the sample was carried to the atomic deposition layer (ALD) grown chamber with six cycles of tri-methylaluminium (TMA) and O3 at 25 °C. This process can provide the dangling bonds for the subsequent ALD deposition. Then, the Al2O3 dielectric film was deposited on the simple using ALD process with 200 cycles of TMA/H2O at 200 °C. TheAl2O3 dielectric layer serves as a mask to protect the graphene from the residual resist induced by the subsequent fabrication process. The gate finger stacks of Ti/2 nm Pt/15 nm Au/50 nm were deposited onto the oxide surface. After patterning the channel region of graphene through photolithography, the top gate dielectric film out of the channel region was removed by 1:3 solution of H3PO4:H2O. Oxygen plasma treatment was employed to etch the unwanted graphene below the removed dielectric layer. After the photoresist mask was removed by the acetone, external pads for electrical measurement were formed by a deposition of the Ti/20 nm Au/200 nm and a standard lift-off process. Figure 1b shows the atomic force microscopy (AFM) image of the patterned channel region, which consists of graphene film, Al2O3dielectric layer and residual resist originate from photoresist mask. The thickness of the patterned channel region is 30 nm. Considering the 1–2 nm thick CVD-grown graphene film and 6–8 nm residual resist film, the thickness of Al2O3 layer (tox) is about 20 nm. The value of top-gate capacitance (COX) can be estimated to be 350 nF cm−2 through using the equation, COX=κε0/tox, where κ is the relative dielectric constant with value of 8 and ε0 is the permittivity of free space [5]. Figure 1c shows the evolution of the Raman spectrums of the initial CVD graphene after transfer and Al2O3-cotated graphene. The ratio of 2D and G band of pristine graphene is 2.8 and the shape of the 2D band is symmetrical, confirming the single layer nature. The G band and 2D band position shifts 13 cm−1 and 19 cm−1 higher than Reference [14], respectively, indicating p-type doped in the material [15]. The p-type doping of the graphene can be usually observed in the CVD materials, which can be attributed to oxygen, water and polymer residue induced by the transfer process [16,17,18,19]. However, the characteristics of Raman feature from graphene with Al2O3 are observed as a splitting of G peak, which can be reproduced by assuming two Lorentzian components, centered at ~1531 and ~1590 cm−1. The G-peak splitting in the Raman spectra can be attributed to the presence of the randomly distributed impurities or surface charges [20]. Figure 1d shows the optical micrograph of the completed top-gated graphene transistor. The source/drain separation, the gate length and the total gate width are 1 µm, 500 nm and 40 µm, respectively.

3. Results and Discussion

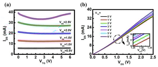
The direct current characteristics of our GFET were measured by HP 4142 in an ambient atmosphere at room temperature. Figure 2a shows the drain current (IDS) as a function of top gate voltage (VTG) at different drain voltages (VDS). The VTG sweeps from 0 V to 6 V. The VDS is changed from 0.5 V to 2.5 V. The Dirac point voltage (VDirac), which is defined as the voltage at IDS minimum, locates at a positive voltage (1.3 V, 2.3 V, 3.2 V, 4 V, 2.6 V). The positive VDirac indicates the p-type behavior of device. It is similar to the performance of most reported GFETs based on CVD grown materials. The p-doping characteristic of GFET may be attributed to the water, oxygen, and residual resist from the transfer and fabricating process [21,22]. Interestingly, it is found that the VDirac suddenly decreases from 4 V to 2.6 V when VDS increases from 2 V to 2.5 V. According to the analysis of X-ray photoelectron spectroscopy (XPS) (seen in the Supplementary Materials), an oxygen deficiency with a Al/O ratio of 1:1.23 at the surface of the Al2O3 film was observed. The deficiency of oxygen in the Al2O3 film can be due to the oxygen vacancies that are formed during hydrolysis and condensation processes. The oxygen vacancies lead to the formation of interface and bulk traps in Al2O3 film. Electrons will transfer from trap sites in Al-rich Al2O3 film to graphene, resulting in n-type doping. When the VDS is biased at 0.5 V, 1.0 V, 1.5V and 2.0 V, the charge trapping/detrapping process only occurs at the interfacial trap sites between graphene and Al2O3 layer based on TMA/O3 ALD process. As the VDS is increased to 2.5 V, extra electrons will be injected into graphene channel from the bulk trap sites in the Al2O3 layer based on TMA/H2O ALD process. The extra injection of electrons results in the n-type doping and moves the VDirac to a more negative direction. Figure 2b shows the output characteristic (IDS-VDS) of the GFET with VTG varying from 0 V to 6 V. The VDS is swept from 0 to 2.5 V. All curves are linear dependence on VDS, indicating the ohmic contact properties. When VDS<1.3 V, the IDS monotonically increases with the increasing VTG. After VDS<1.3 V, the IDS initially decrease and then increase with the increasing gate voltage.
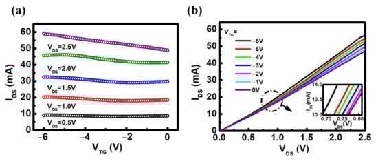
Interestingly, when the sweeping range of VTG changes from −6 V to 0 V, the VDirac of IDS-VDS curve locates at: −2.4 V, −2.2 V, −1.7 V, −0.8 V, 0.7 V (seen in Figure 3a and the Supplementary Materials). The negative shift of VDirac suggests the n-type doping of GFET. The n-type doping in our device can be explained in two aspects. One is the less residual on the graphene surface originated from the lithography process benefiting from the protection of oxide dielectric mask. The other is the extra electron carrier in graphene induced by the impurities and trap sits in Al2O3 layer [22]. Similar to that in p-type doping condition, the position of VDirac also shifts to the positive direction with the increasing VDS. This VTG sweeping range dependent shift of VDirac suggests that the charge trap mechanism may be the main reason for this conversion of the doping polarity [23]. Besides, the current of the transfer curve revels higher compared with that in Figure 2a, indicating an improved field-effect carrier mobility. Figure 3b shows the corresponding output characteristic. Similar to the p-type doping GFET, the output characteristic also shows linear behavior. When VDS<0.8 V, the IDS initially decrease and then increase with the decreasing gate voltage. After VDS>0.8 V, IDS monotonically increases with the decreasing VTG.
Figure 4 shows drain current hysteresis behavior for the GFET at different VDS varying from 0.5 V to 2.5 V. The VTG was swept forward from −6 V to 2 V at first. Then VTG was swept backward from 2 V to −6V. The forward and backward VTG sweeping lead to the positive shift of VDirac, which can be related to the charge exchange between graphene and the interface trap sites. When the VTG starts at negative gate voltage, holes in graphene are slowly trapped into the interface trap sites induced by the oxygen vacancies in Al2O3 film. Hence, after some time the graphene sees a more positive potential than that simply due to the gate voltage.
The mechanism for the p-type to n-type doping conversion in the top-gate GFET is analyzed and discussed below. It is noted that Al2O3 film deposited by atomic layer deposition are usually oxygen deficient. The oxygen vacancies are considered to be the most important defects in ALD oxide layer, which can induce border traps near the interface [24]. Thus, the charge exchange between the graphene in channel and trap sites in the Al2O3 dielectric layer may be the most likely reason for this complementary doping process. To help understand the mechanism of the charge trap-induced doping, we illustrate the energy band profiles of the top-gate GFET at different bias conditions in Figure 5. The potential profiles of gate metal/Al2O3/graphene stack before and after contact in GFET were seen in Figure 5a,b. According to the Aderson model [25], the barrier height Φb (= ΦTi − ΦAl2O3 = 4.3 eV − 1.0 eV) at gate side is 3.3 eV and the conduction band offset ΔΕ (= ΦTi − ΦSLG = 4.3 eV − 4.5 eV) is −0.2 eV. When the positive gate voltage is applied (seen in Figure 5c), the electrons are induced in the graphene channel. In this case, some electrons may be injected into the trap sites at Al2O3/graphene interface from graphene due to external electric field (EEX) across metal/Al2O3/graphene stack. The outflow of electrons shifts the Fermi level of graphene down to the neural point and leads to the p-type doping of GFET. At a steady state, the electrons stored in the trap centers could reduce the electrochemical potential and thus weaken the effective electric field near the interface between Al2O3 and graphene. Therefore, more positive gate voltage will be required to compensate for the reduced effective electric field and the VDirac is shifted to the positive direction [26,27]. Similarly, as the negative gate bias was applied positive, the holes are induced in graphene and injected into the interface trap centers due to EEX, leading to the n-type doping of GFET (seen in Figure 5d). Furthermore, the stored holes increase the chemical potential in Al2O3 layer and reduce the effective electric field near the interface between Al2O3 and graphene. In this case, more negative gate voltage is needed to recover the potential in graphene. As a result, the VDirac is shifted to the negative direction.
In order to deepen the understanding of the electrical properties of GFET from p-type doping to n-type doping, their resistance profiles (RT) can be fitted to the expression [28,29]:
R T = R S + L T G W e μ F E n 0 2 + n 2
where RT is total device resistance, e is the electron charge, n is the carrier concentration controlled by top-gate, n0 is the residual carrier concentration, LTG is length oftop-gate length, the W is the width of graphene channel of covered by top-gate, and µFEis the field-effect carrier mobility of GFET. In addition, RS is the parasitic resistance which consists of the contributions from both the access regions and contact regions.
Figure 6a,b show the plot of the total resistance as a function of VTG for p-type doping and n-type doping GFETs with VDS fixed at 0.5 V. The measured resistance (symbols) is fitted with the modeling results of Equation (1) (solid line), showing good agreement with the experimental data. Fitting the experimental total resistances to the Equation (1) allows for extrapolation of µFE, n0 and RS. From this fitting, the values of µFE, n0 and RS for the p-type doping GFET are extracted to be 720 cm2/Vs, 9.6 × 1012 cm−2 and 75.9 Ω, respectively. However, the µFE of n-type doping GFET increases to 2535 cm2/Vs. The corresponding n0and RS are reduced to 3.0 × 1012 cm−2 and 49.5 Ω. The different carrier transport parameters of p-type doping and n-type doping GFETs can be attributed to the asymmetry of the RT-VTG curves. In our GFET, the graphene under the metal contact will be p-type doped [16,17,30]. When the Fermi level of graphene in channel region is moved upward neural point by the top gate electric field, the p-n junction will be formed between channel and contact region [29,30]. The p-n junction will increase the metal/graphene contact resistance and therefore enhance the value of RS. In addition, the electron conduction branch of the total resistance will be suppressed by the increasing total resistance induced by the p-n junction. As a result, the µFE extracted from the electron branch of RT-VTG curve will be smaller than that of hole branch.

4. Conclusions

In summary, we report the top-gated GFET with electric-field-induced doping polarity conversion. Both p-type and n-type doping GFET can be obtained through altering the gate voltage sweeping range. Further analysis indicates that the charge exchange between graphene and trap sites in Al2O3 lead to the conversion of doping type. The trapping–detrapping process can be modulated by the external electric field across the metal/oxide/graphene stack, thus change the doping polarity of the GFET.

Supplementary Materials

The following are available online at https://www.mdpi.com/article/10.3390/cryst12020184/s1, Figure S1: Transfer characteristic of the GFET with the VDS of 2.5 V, Figure S2: The XPS spectra of Al 2p and O 1s peaks in Al2O3 film, Figure S3: (a) The top-gated transfer characteristics at several back gate voltages (VBG) varying from −20 V to 20 V with a drain bias of 0.5 V. (b) The Dirac voltage varies linearly with the top and back gate voltages. References [12,23,27,31] are cited in the Supplementary Materials.

Author Contributions

Conceptualization, S.P., J.Z. and Z.J.; software, D.Z.; validation, J.S.; formal analysis, S.P.; investigation, S.W.; resources, S.P.; data curation, S.P.; writing—original draft preparation, S.P.; writing—review and editing, S.P.; visualization, Z.J.; supervision, D.Z.; project administration, J.Z.; funding acquisition, S.P. All authors have read and agreed to the published version of the manuscript.

Funding

Youth Innovation Promotion Association of Chinese Academy of Sciences.

Institutional Review Board Statement

Not applicable.

Informed Consent Statement

Not applicable.

Data Availability Statement

Not applicable.

Acknowledgments

This work was financially supported by Youth Innovation Promotion Association of Chinese Academy of Sciences and the Beijing cross-training program of high level talents.

Conflicts of Interest

The authors declare no conflict of interest.

References

  1. Novoselov, K.S.; Geim, A.K.; Morozov, S.V.; Jiang, D.; Zhang, Y.; Dubonos, S.V.; Grigorieva, I.V.; Firsov, A.A. Electric field effect in atomically thin carbon films. Science 2004, 306, 666–669. [Google Scholar] [CrossRef] [PubMed] [Green Version]
  2. Novoselov, K.S.; Fal′ko, V.I.; Colombo, L.; Gellert, P.R.; Schwab, M.G.; Kim, K. A roadmap for graphene. Nature 2012, 490, 192–200. [Google Scholar] [CrossRef] [PubMed]
  3. Schwierz, F. Graphene transistors. Nat. Nanotechnol. 2010, 5, 487–496. [Google Scholar] [CrossRef] [PubMed]
  4. Geim, A.K.; Novoselov, K.S. The rise of graphene. Nat. Mater. 2007, 6, 183–191. [Google Scholar] [CrossRef]
  5. Peng, S.A.; Jin, Z.; Zhang, D.Y.; Shi, J.Y.; Mao, D.; Wang, S.; Yu, G. Carrier-Number-Fluctuation Induced Ultralow 1/f Noise Level in Top-Gated Graphene Field Effect Transistor. ACS Appl. Mater. Interfaces 2017, 9, 6661–6665. [Google Scholar] [CrossRef]
  6. Brenner, K.; Murali., R. Single step, complementary doping of graphene. Appl. Phys. Lett. 2010, 96, 183–191. [Google Scholar] [CrossRef]
  7. Li, S.; Miyazaki, H.; Lee, M.V.; Liu, C.; Kanda, A.; Tsukagoshi, K. Complementary-Like Graphene Logic Gates Controlled by Electrostatic Doping. Small 2011, 7, 1552–1556. [Google Scholar] [CrossRef] [Green Version]
  8. Guo, B.; Liu, Q.; Chen, E.; Zhu, H.; Fang, L.; Gong, J.R. Controllable N-Doping of Graphene. Nano. Lett. 2010, 10, 4975–4980. [Google Scholar] [CrossRef]
  9. Li, H.; Zhang, Q.; Liu, C.; Xu, S.; Gao, P. Ambipolar to Unipolar Conversion in Graphene Field-Effect Transistors. Nano. Lett. 2011, 5, 3198–3203. [Google Scholar] [CrossRef]
  10. Yap, R.C.; Li, H.; Chow, W.; Lu, C.X.; Tay, B.K.; Teo, E.H. Identifying the mechanisms of p-to-n conversion in unipolar graphene field-effect transistors. Nanotechnology 2013, 24, 195202. [Google Scholar] [CrossRef] [Green Version]
  11. Lin, Y.M.; Chiu, H.Y.; Jenkins, K.A.; Farmer, D.B.; Avouris, P.; Valdes-Garcia, A. Dual-Gate Graphene FETs with fT of 50 GHz. IEEE Electron Device Lett. 2010, 31, 68–70. [Google Scholar]
  12. Lee, B.; Mordi, G.; Kim, M.J.; Chabal, Y.J.; Vogel, E.M.; Wallace, R.M.; Cho, K.J.; Colombo, L.; Kim, J. Characteristics of high-k Al2O3 dielectric using ozone-based atomic layer deposition for dual-gated graphene devices. Appl. Phys. Lett. 2010, 97, 043107. [Google Scholar] [CrossRef]
  13. Ferrari, A.C.; Meyer, J.C.; Scardaci, V.; Casiraghi, C.; Lazzeri, M.; Mauri, F.; Piscanec, S.; Jiang, D.; Novoselov, K.S.; Roth, S.; et al. Raman Spectrum of Graphene and Graphene Layers. Phys. Rev. Lett. 2006, 97, 187401. [Google Scholar] [CrossRef] [Green Version]
  14. Das, A.; Pisana, S.; Chakraborty, B.; Piscanec, S.; Saha, S.K.; Waghmare, U.V.; Novoselov, K.S.; Krishnamurthy, H.R.; Geim, A.K.; Ferrari, A.C.; et al. Monitoring dopants by Raman scattering in an electrochemically top-gated graphene transistor. Nat. Nanotech. 2008, 3, 210–215. [Google Scholar] [CrossRef] [PubMed] [Green Version]
  15. Peng, S.A.; Jin, Z.; Ma, P.; Zhang, D.Y.; Shi, J.Y.; Niu, J.B.; Wang, X.Y.; Wang, S.Q.; Li, M.; Liu, X.Y.; et al. The sheet resistance of graphene under contact and its effect on the derived specific contact resistivity. Carbon 2015, 82, 500–505. [Google Scholar] [CrossRef]
  16. Peng, S.A.; Jin, Z.; Zhang, D.Y.; Shi, J.Y.; Zhang, Y.; Yu, G.H. Evidence of electric field tunable tunneling probability in graphene and metal contact. Nanoscale 2017, 9, 9520–9528. [Google Scholar] [CrossRef]
  17. Peng, S.A.; Jin, Z.; Yao, Y.; Huang, X.; Yu, G.H. Controllable p-to-n Type Conductance Transition in Top-Gated Graphene Field Effect Transistor by Interface Trap Engineering. Adv. Electron. Mater. 2020, 6, 2000496. [Google Scholar] [CrossRef]
  18. Peng, S.A.; Jin, Z.; Yao, Y.; Ling, Li.; Zhang, D.Y.; Shi, J.Y.; Huang, X.; Niu, J.B.; Zhang, Y.; Yu, G. Metal-Contact-Induced Transition of Electrical Transport in Monolayer MoS2: From Thermally Activated to Variable-Range Hopping. Adv. Electron. Mater. 2019, 6, 201900042. [Google Scholar] [CrossRef]
  19. Calizo, I.; Bao, W.; Miao, F.; Lau, C.N.; Balandin, A.A. The effect of substrates on the Raman spectrum of graphene: Graphene- on-sapphire and graphene-on-glass. Appl. Phys. Lett. 2007, 91, 201904. [Google Scholar] [CrossRef]
  20. Chan, J.; Venugopal, A.; Prikle, A.; Mcdonnell, S.; Hinogos, D.; Magnuson, C.W.; Ruoff, R.S.; Colombo, L.; Wallace, R.M.; Vogel, E.M. Reducing Extrinsic Performance-Limiting Factors in Graphene Grown by Chemical Vapor Deposition. ACS Nano 2012, 6, 3224–3229. [Google Scholar] [CrossRef]
  21. Wu, Y.; Jenkins, K.A.; Garcia, A.V.; Farmer, D.B.; Zhu, Y.; Bol, A.A.; Dimitrakopoulos, C.; Zhu, W.; Xia, F.; Lin, Y.M. State-of-the-Art Graphene High-Frequency Electronics. Nano. Lett. 2012, 12, 3062–3067. [Google Scholar] [CrossRef] [PubMed]
  22. Wang, H.; Wu, Y.; Cong, C.; Shang, J.; Yu, T. Hysteresis of Electronic Transport in Graphene Transistors. ACS Nano 2010, 4, 7221–7228. [Google Scholar] [CrossRef] [PubMed] [Green Version]
  23. Weber, J.R.; Janotti, A.; Van de Walle, C.G. Native defects in Al2O3 and their impact on III-V/Al2O3 metal-oxide-semiconductor-based devices. J. Appl. Phys. 2011, 109, 033715. [Google Scholar] [CrossRef]
  24. Milines, A.G.; Feucht, D.L. Heterojunctions and Metal-Semiconductor Junctions; Academic: New York, NY, USA, 1972. [Google Scholar]
  25. Lee, S.; Song, E.B.; Kim, S.M.; Lee, Y.; Seo, D.H. Impact of gate work-function on memory characteristics in Al2O3/HfOx/Al2O3/graphene charge-trap memory devices. Appl. Phys. Lett. 2012, 100, 023109. [Google Scholar] [CrossRef]
  26. Lee, S.; Song, E.B.; Kim, S.M.; Lee, Y.; Seo, D.H. Reduced electron back-injection in Al2O3/AlOx/Al2O3/graphene chargetrapmemory devices. Appl. Phys. Lett. 2012, 101, 243109. [Google Scholar] [CrossRef]
  27. Kim, S.; Nah, J.; Jo, I.; Shahrjerdi, D.; Colombo, L.; Yao, Z.; Tutuc, E.; Banerjee, S.K. Realization of a high mobility dual-gated graphene field-effect transistorwith Al2O3 dielectric. Appl. Phys. Lett. 2009, 94, 062107. [Google Scholar] [CrossRef] [Green Version]
  28. Peng, S.A.; Jin, Z.; Zhang, D.Y.; Shi, J.Y.; Niu, J.B.; Huang, X.; Yao, Y.; Zhang, Y.; Yu, G. How Do Contact and Channel Contribute to the Dirac Points in Graphene Field-Effect Transistors? Adv. Electron. Mater. 2018, 4, 201800158. [Google Scholar] [CrossRef]
  29. Peng, S.A.; Jin, Z.; Zhang, D.Y.; Shi, J.Y.; Niu, J.B.; Zhu, C.Y.; Zhang, Y.; Yu, G. The Effect of Metal Contact Doping on the Scaled Graphene Field Effect Transistor. Adv. Eng. Mater. 2021, 202100935. [Google Scholar] [CrossRef]
  30. Chu, H.Y.; Perebeinos, V.; Lin, Y.M.; Avouris, P. Controllable p-n Junction Formation in Monolayer Graphene Using Electrostatic Substrate Engineering. Nano Lett. 2010, 10, 4634–4639. [Google Scholar] [CrossRef]
  31. Ho, P.; Yeh, Y.; Wang, D.; Li, S.; Chen, H.; Chung, Y.; Lin, C.; Wang, W.; Chen, C. Self-Encapsulated Doping of n-Type Graphene Transistors with Extended Air Stability. ACS Nano 2012, 6, 6215–6221. [Google Scholar] [CrossRef]
Figure 1. (a) Process flow for GFET fabrication. (b) AFM image of the patterned graphene and the height profile along the white line marked in the AFM image. (c) Raman spectrum of pristine graphene and graphene with Al2O3 layer. (d) Optical micrograph of the completed top-gated graphene transistor.
Figure 1. (a) Process flow for GFET fabrication. (b) AFM image of the patterned graphene and the height profile along the white line marked in the AFM image. (c) Raman spectrum of pristine graphene and graphene with Al2O3 layer. (d) Optical micrograph of the completed top-gated graphene transistor.
Crystals 12 00184 g001
Figure 2. (a)Transfer characteristic of the p-type doping GFET at different VDS varying from 0.5 V to 2.5 V. (b)The corresponding output characteristic with VTG changing from 0 V to 6 V.
Figure 2. (a)Transfer characteristic of the p-type doping GFET at different VDS varying from 0.5 V to 2.5 V. (b)The corresponding output characteristic with VTG changing from 0 V to 6 V.
Crystals 12 00184 g002
Figure 3. (a) Transfer characteristic of the n-type doping GFET at different VDS varying from 0.5 V to 2.5 V. (b) The corresponding output characteristic with VTG changing from −6 V to 0 V.
Figure 3. (a) Transfer characteristic of the n-type doping GFET at different VDS varying from 0.5 V to 2.5 V. (b) The corresponding output characteristic with VTG changing from −6 V to 0 V.
Crystals 12 00184 g003
Figure 4. The drain current hysteresis behavior for the GFET at different VDS.
Figure 4. The drain current hysteresis behavior for the GFET at different VDS.
Crystals 12 00184 g004
Figure 5. Potential profiles of the tested metal/Al2O3/graphene at different gate bias conditions: (a) before contacts; (b) after contacts; (c) under positive gate bias; (d) under negative gate bias.
Figure 5. Potential profiles of the tested metal/Al2O3/graphene at different gate bias conditions: (a) before contacts; (b) after contacts; (c) under positive gate bias; (d) under negative gate bias.
Crystals 12 00184 g005
Figure 6. (a) Modeling results (solid lines) and measured RT (symbols) for p-type doping GFET. (b) Modeling results (solid lines) and measured RT (symbols) for n-type doping GFET.
Figure 6. (a) Modeling results (solid lines) and measured RT (symbols) for p-type doping GFET. (b) Modeling results (solid lines) and measured RT (symbols) for n-type doping GFET.
Crystals 12 00184 g006
Publisher’s Note: MDPI stays neutral with regard to jurisdictional claims in published maps and institutional affiliations.

Share and Cite

MDPI and ACS Style

Peng, S.; Zhang, J.; Jin, Z.; Zhang, D.; Shi, J.; Wei, S. Electric-Field Induced Doping Polarity Conversion in Top-Gated Transistor Based on Chemical Vapor Deposition of Graphene. Crystals 2022, 12, 184. https://doi.org/10.3390/cryst12020184

AMA Style

Peng S, Zhang J, Jin Z, Zhang D, Shi J, Wei S. Electric-Field Induced Doping Polarity Conversion in Top-Gated Transistor Based on Chemical Vapor Deposition of Graphene. Crystals. 2022; 12(2):184. https://doi.org/10.3390/cryst12020184

Chicago/Turabian Style

Peng, Songang, Jing Zhang, Zhi Jin, Dayong Zhang, Jingyuan Shi, and Shuhua Wei. 2022. "Electric-Field Induced Doping Polarity Conversion in Top-Gated Transistor Based on Chemical Vapor Deposition of Graphene" Crystals 12, no. 2: 184. https://doi.org/10.3390/cryst12020184

APA Style

Peng, S., Zhang, J., Jin, Z., Zhang, D., Shi, J., & Wei, S. (2022). Electric-Field Induced Doping Polarity Conversion in Top-Gated Transistor Based on Chemical Vapor Deposition of Graphene. Crystals, 12(2), 184. https://doi.org/10.3390/cryst12020184

Note that from the first issue of 2016, this journal uses article numbers instead of page numbers. See further details here.

Article Metrics

Back to TopTop