Stability and Activity of Zn/MCM-41 Materials in Toluene Alkylation: Microwave Irradiation vs Continuous Flow
Abstract
:1. Introduction
2. Results
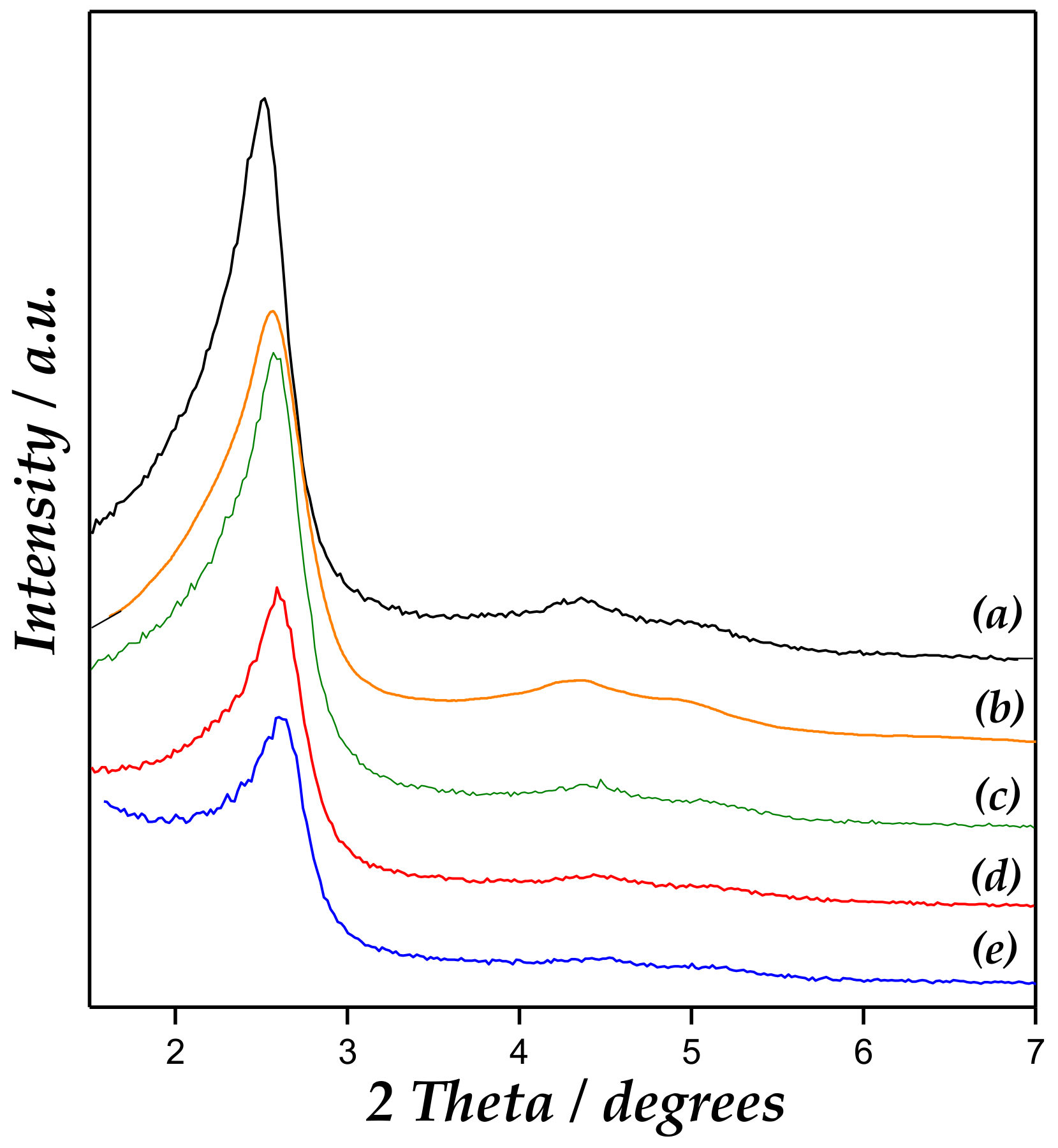
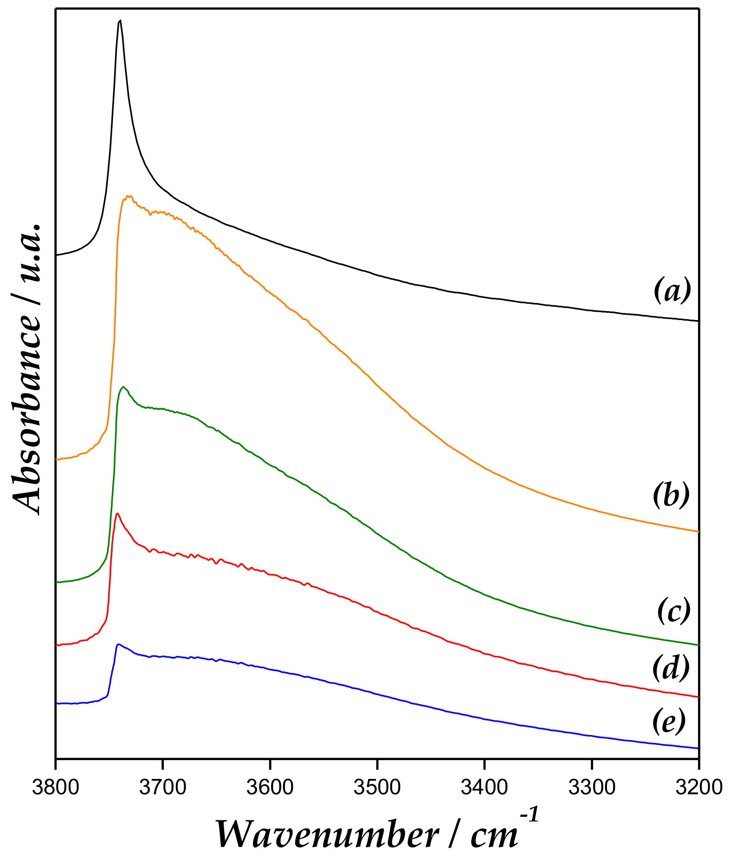
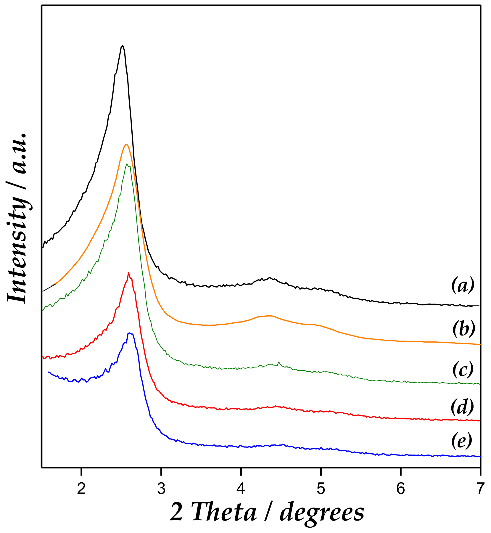
2.1. Physicochemical Characterization
2.2. Catalytic Activity
2.2.1. Alkylation Reaction Under Microwave Irradiation
2.2.2. Catalyst Reuse Studies Under Microwave Irradiation
2.2.3. Continuous Flow Alkylation Reaction: Activity and Stability
3. Materials and Methods
3.1. Catalyst Preparation
3.2. Characterization
3.3. Catalytic Experiments
4. Conclusions
Supplementary Materials
Author Contributions
Funding
Conflicts of Interest
References
- Wang, Y.; Arandiyan, H.; Scott, J.; Bagheri, A.; Dai, H.; Amala, R. Recent advances in ordered meso/macroporous metal oxides for heterogeneous catalysis: A review. J. Mater. Chem. A 2017, 5, 8825–8846. [Google Scholar] [CrossRef]
- Pineda, A.; Balu, A.M.; Campelo, J.M.; Luque, R.; Romero, A.A.; Serrano-Ruiz, J.C. High alkylation activities of ball-milled synthesized low-load supported iron oxide nanoparticles on mesoporous aluminosilicates. Catal. Today 2012, 18, 765–769. [Google Scholar] [CrossRef]
- Jin, H.; Bismillah Ansari, M.; Jeong, E.Y.; Park, S.E. Effect of mesoporosity on selective benzylation of aromatics with benzyl alcohol over mesoporous ZSM-5. J. Catal. 2012, 291, 55–62. [Google Scholar] [CrossRef]
- Salavati-Niasari, M.; Hasanalian, J.; Najafian, H. Alumina-supported FeCl3, MnCl2, CoCl2, NiCl2, CuCl2, and ZnCl2 as catalysts for the benzylation of benzene by benzyl chloride. J. Mol. Catal. A: Chem. 2004, 209, 209–214. [Google Scholar] [CrossRef]
- Olah, G.A. Friedel–Crafts Chemistry; Wiley: New York, NY, USA, 1973. [Google Scholar]
- Olah, G.A.; Prakash, G.K.S.J.; Sommer, J. Superacids; Wiley: New York, NY, USA, 1985. [Google Scholar]
- Narender, N.; Krishna Mohan, K.V.V.; Kulkarni, S.J.; Ajit Kumar Reddy, I. Liquid phase benzylation of benzene and toluene with benzyl alcohol over modified zeolites. Catal. Commun. 2006, 7, 583–588. [Google Scholar] [CrossRef]
- Choudhary, V.R.; Jana, S.K.; Kiran, B.P. Alkylation of benzene by benzyl chloride over H-ZSM-5 zeolite with its framework Al completely or partially substituted by Fe or Ga. Catal. Lett. 1999, 59, 217–219. [Google Scholar] [CrossRef]
- Choudhary, V.R.; Jana, S.K. Benzylation of benzene by benzyl chloride over Fe-, Zn-, Ga- and In-modified ZSM-5 type zeolite catalysts. Appl. Catal. A 2002, 22, 451–462. [Google Scholar] [CrossRef]
- Choudhary, V.R.; Jana, S.K. Benzylation of benzene and substituted benzenes by benzyl chloride over InCl3, GaCl3, FeCl3 and ZnCl2 supported on clays and Si-MCM-41. J. Mol. Catal. A: Chem. 2002, 180, 267–276. [Google Scholar] [CrossRef]
- Choudhary, V.R.; Mulla, S.A.R.; Banerjee, S. Aromatization of n-heptane over H-AlMFI, Ga/H-AlMFI, H-GaMFI and H-GaAlMFI zeolite catalysts: Influence of zeolitic acidity and non-framework gallium. Mesoporous Mater. 2003, 57, 317–322. [Google Scholar] [CrossRef]
- Gracia, M.J.; Losada, E.; Luque, R.; Campelo, J.M.; Luna, D.; Marinas, J.M.; Romero, A.A. Activity of Gallium and Aluminum SBA-15 materials in the Friedel-Crafts alkylation of toluene with benzyl chloride and benzyl alcohol. Appl. Catal. A 2008, 349, 148–155. [Google Scholar] [CrossRef]
- Chiu, J.J.; Pine, D.J.; Bishop, S.T.; Chmelka, B.F. Friedel-Crafts alkylation properties of aluminosilica SBA-15 meso/macroporous monoliths and mesoporous powders. J. Catal. 2004, 221, 400–412. [Google Scholar] [CrossRef]
- El Berrichi, Z.; Cherif, L.; Orsen, O.; Fraissard, J.; Tessonnier, J.P.; Vanhaecke, E.; Louis, B.; Ledoux, M.J.; Pham-Huu, C. Ga doped SBA-15 as an active and stable catalyst for Friedel–Crafts liquid-phase acylation. Appl. Catal. A 2006, 298, 194–202. [Google Scholar] [CrossRef]
- Choudhary, V.R.; Jana, S.K.; Narkhede, V.S. Benzylation and benzoylation of substituted benzenes over solid catalysts containing Ga- and Mg-oxides and/or chlorides derived from Ga–Mg-hydrotalcite by its HCl pre-treatment or calcination. Appl. Catal. A 2002, 235, 207–215. [Google Scholar] [CrossRef]
- Shinde, M.M.; Sawant, M.R. Liquid Phase Friedel-Crafts Alkylation over Mixed Metal Oxide Catalyst. J. Chin. Chem. Soc. 2003, 50, 1221–1226. [Google Scholar] [CrossRef]
- Elías, V.; Crivello, M.; Herrero, E.; Casuscelli, S.; Eimer, G. Some considerations to optimize the synthesis procedure and the structural quality of mesostructured silicas. J. Non-Cryst. Solids 2009, 355, 1269–1273. [Google Scholar] [CrossRef]
- Vaschetto, E.G.; Pecchi, G.A.; Casuscelli, S.G.; Eimer, G.A. Nature of the active sites in Al-MCM-41 nano-structured catalysts for the selective rearrangement of cyclohexanone oxime toward e-caprolactam. Micropor. Mesopor. Mater. 2014, 200, 110–116. [Google Scholar] [CrossRef]
- Balu, A.M.; Pineda, A.; Obermayer, D.; Romero, A.A.; Kappe, C.O.; Luque, R. Versatile low-loaded mechanochemically synthesized supported iron oxide nanoparticles for continuous flow alkylations. RSC Adv. 2013, 3, 16292–16295. [Google Scholar] [CrossRef]
- Corma, A. From microporous to mesoporous molecular sieve materials and their use in catalysis. Chem. Rev. 1997, 97, 2373–2419. [Google Scholar] [CrossRef]
- Carraro, P.M.; Elías, V.R.; García Blanco, A.A.; Sapag, K.; Moreno, S.; Oliva, M.I.; Eimer, G.A. Synthesis and multi-technique characterization of nickel loaded MCM-41 as potential hydrogen-storage materials. Micropor. Mesopor. Mater. 2014, 191, 103–111. [Google Scholar] [CrossRef]
- Lihitkar, P.B.; Violet, S.; Shirolkar, M.; Singh, J.; Srivastava, O.N.; Naik, R.H.; Kulkarni, S.K. Confinement of zinc oxide nanoparticles in ordered mesoporous silica MCM-41. Mater. Chem. Phys. 2012, 133, 850–856. [Google Scholar] [CrossRef]
- Jiang, Q.; Wu, Z.Y.; Wang, Y.M.; Cao, Y.; Zhou, C.F.; Zhu, J.H. Fabrication of photoluminescent ZnO/SBA-15 through directly dispersing zinc nitrate into the as-prepared mesoporous silica occluded with template. Mater. Chem. 2006, 16, 1536–1542. [Google Scholar] [CrossRef]
- Chen, H.G.; Shi, J.L.; Chen, H.R.; Yan, J.N.; Li, Y.S.; Hua, Z.L.; Yang, Y.; Yan, D.S. The preparation and photoluminescence properties of ZnO-MCM-41. Opt. Mater. 2004, 25, 79–84. [Google Scholar] [CrossRef]
- Bengoa, J.; Cagnoli, M.; Gallegos, N.; Alvarez, A.; Mogni, L.; Moreno, M.; Marchetti, S. Iron oxide nanoparticles inside the MCM-41 channels: study of the structural stability of the support. Micropor. Mesopor. Mater. 2005, 84, 153–160. [Google Scholar] [CrossRef]
- Savidha, R.; Pandurangan, A. Vapour phase isopropylation of phenol over zinc- and iron-containing Al-MCM-41 molecular sieves. Appl. Catal. A 2004, 262, 1–11. [Google Scholar] [CrossRef]
- Everett, D.H. Manual of symbols and terminology for physicochemical quantities and units Appendix II. In Definitions, Terminology and Symbols in Colloid and Surface Chemistry; Part I; IUPAC Council: Washington DC, USA, 1971. [Google Scholar]
- Do, Y.; Kim, J.; Park, J.; Park, S.; Hong, S.; Suh, C.; Lee, G. Photocatalytic decomposition of 4-nitrophenol on Ti-containing MCM-41. Catal. Today 2005, 101, 299–305. [Google Scholar] [CrossRef]
- Rouquerol, F.; Rouquerol, J.; Sing, K. Principles, methodology and application. In Adsorption by Powders and Porous Solids; Academic Press: Cambridge, MA, USA, 1999. [Google Scholar]
- Collard, X.; Louette, P.; Fiorilli, S.L.; Aprile, C. High surface area zincosilicates as efficient catalysts for the synthesis of ethyl lactate: An in-depth structural investigation. Phys. Chem. Chem. Phys. 2015, 17, 26756–26765. [Google Scholar] [CrossRef] [PubMed]
- Mihai, G.D.; Meynen, V.; Mertens, M.; Bilba, N.; Cool, P.; Vansant, E.F. ZnO nanoparticles supported on mesoporous MCM-41 and SBA-15: a comparative physicochemical and photocatalytic study. J. Mater. Sci. 2010, 45, 5786–5794. [Google Scholar] [CrossRef]
- Dupin, J.-C.; Gonbeau, D.; Vinatier, P.; Levasseur, A. Systematic XPS studies of metal oxides, hydroxides and peroxides. Phys. Chem. Chem. Phys. 2000, 2, 1319–1324. [Google Scholar] [CrossRef]
- Carlson, T.A. Photoelectron and Auger Spectroscopy; Springer US: New York, NY, USA, 1975. [Google Scholar]
- Shen, S.; Chen, J.; Koodali, R.T.; Hu, Y.; Xiao, Q.; Zhou, J.; Wang, X.; Guo, L. Activation of MCM-41 mesoporous silica by transition-metal incorporation for photocatalytic hydrogen production. Appl. Catal. B 2014, 150–151, 138–146. [Google Scholar] [CrossRef]
- De Stefanis, A.; Kaciulis, S.; Pandolfi, L. Preparation and characterization of Fe-MCM-41 catalysts employed in the degradation of plastic materials. Micropor. Mesopor. Mater. 2007, 99, 140–148. [Google Scholar] [CrossRef]
- Parry, E.P. An Infrared Study of Pyridine Adsorbed on Acidic Solids. J. Catal. 1963, 2, 371–379. [Google Scholar] [CrossRef]
- Eimer, G.A.; Casuscelli, S.G.; Chanquia, C.M.; Elías, V.; Crivello, M.E.; Herrero, E.R. The influence of Ti-loading on the acid behavior and on the catalytic efficiency of mesoporous Ti-MCM-41 molecular sieves. Catal. Today 2008, 133–135, 639–646. [Google Scholar] [CrossRef]
- Chakraborty, B.; Viswanathan, B. Surface acidity of MCM-41 by in situ IR studies of pyridine adsorption. Catal. Today 1999, 49, 253. [Google Scholar] [CrossRef]
- Selvaraj, M.; Lee, T.G. t-Butylation of toluene with t-butyl alcohol over mesoporous Zn-Al-MCM-41 molecular sieves. Micropor. Mesopor. Mater. 2005, 85, 59–74. [Google Scholar] [CrossRef]
- Chanquía, C.; Andrini, L.; Fernandez, J.; Crivello, M.; Requejo, F.; Herrero, E.; Eimer, G. Speciation of Copper in Spherical Mesoporous Silicates: From the Microscale to Angstrom. J. Phys. Chem. C 2010, 114, 12221–12229. [Google Scholar] [CrossRef]
- Gao, F.; Zhang, Y.; Wan, H.; Kong, Y.; Wu, X.; Dong, L.; Li, B.; Chen, Y. The states of vanadium species in V-SBA-15 synthesized under different pH values. Micropor. Mesopor. Mater. 2008, 110, 508. [Google Scholar] [CrossRef]
- Segura, Y.; Cool, P.; Kustroeski, P.P.; Chmielarz, L.; Dziembaj, R.; Vansant, E.F. Characterization of Vanadium and Titanium Oxide Supported SBA-15. J. Phys. Chem. B 2005, 109, 12071. [Google Scholar] [CrossRef]
- Emeis, C.A. Determination of Integrated Molar Extinction Coefficients for Infrared Absorption Bands of Pyridine Adsorbed on Solid Acid Catalysts. J. Catal. 1993, 141, 347–354. [Google Scholar] [CrossRef]
- Milina, M.; Mitchell, S.; Trinidad, Z.D.; Verboekend, D.; Pérez-Ramírez, J. Decoupling porosity and compositional effects on desilicated ZSM-5 zeolites for optimal alkylation performance. Catal. Sci. Tlechno. 2012, 2, 759–766. [Google Scholar] [CrossRef]
- Glasnov, T.N.; Kappe, C.O. The microwave-to-flow paradigm: translating high-temperature batch microwave chemistry to scalable continuous-flow processes. Chem. Eur. J. 2011, 17, 11956–11968. [Google Scholar] [CrossRef] [PubMed]









| Sample | Zn [wt %] (a) | SBET [m2/g] (b) | VPM [cm3/g] (c) | VTP [cm3/g] (d) | Lewis Acidity [µmol Py × g−1] (e) |
|---|---|---|---|---|---|
| MCM-41 | - | 940 | 0.62 | 0.70 | - |
| Zn/MCM-4(1) | 0.09 | 764 | 0.36 | 0.42 | 13 |
| Zn/MCM-41(2.5) | 2.65 | 592 | 0.30 | 0.36 | 14 |
| Zn/MCM-41(10) | 9.87 | 532 | 0.27 | 0.32 | 18 |
| Zn/MCM-41(15) | 14.6 | 370 | 0.22 | 0.27 | 23 |
| Sample | Zn 2p3/2 [eV] | Zn 2p1/2 [eV] | Zn/Si (Surface) (a) | Zn/Si (Bulk) (b) | Zn [at. %] (a) | Bulk Zn [wt %] (b) |
|---|---|---|---|---|---|---|
| Zn/MCM-41(1) | 1022.9 | 1045.7 | 0.003 | <0.001 | 0.10 | 0.09 |
| Zn/MCM-41(2.5) | 1022.1 | 1045.5 | 0.004 | 0.025 | 0.20 | 2.65 |
| Zn/MCM-41(5) | 1022.4 | 1045.7 | 0.007 | 0.041 | 0.20 | 4.29 |
| Zn/MCM-41(10) | 1022.7 | 1045.6 | 0.013 | 0.100 | 0.40 | 9.87 |
| Zn/MCM-41(15) | 1023.1 | 1045.8 | 0.015 | 0.157 | 0.50 | 14.6 |
| ZnO | 1020.0 | 1045.0 | - | - | - | - |
| # | Toluene [mL] | BzCl [mL] | Catalysts [mg] | Time [min] | XT [%] | Sortho [%] | Smeta [%] | Spara [%] |
|---|---|---|---|---|---|---|---|---|
| 1 | 2.0 | 0.1 | MCM-41 (25 mg) | 5 | - | - | - | - |
| 10 | - | - | - | - | ||||
| 2 | 2.0 | 0.1 | - | 5 | - | - | - | - |
| 10 | - | - | - | - | ||||
| 3 | 2.0 | 0.1 | Zn/MCM-41(1) (12.5 mg) | 5 | 25 | 40 | 6 | 54 |
| 10 | 47 | 39 | 6 | 55 | ||||
| 4 | 2.0 | 0.1 | Zn/MCM-41(1) (25 mg) | 5 | 14 | 39 | 7 | 54 |
| 10 | 31 | 35 | 8 | 57 | ||||
| 15 | 52 | 39 | 6 | 55 | ||||
| 5 | 1.0 | 0.1 | Zn/MCM-41(1) (12.5 mg) | 5 | 56 | 40 | 6 | 54 |
| 10 | 63 | 35 | 8 | 57 | ||||
| 6 | 1.0 | 0.1 | Zn/MCM-41(2.5) (12.5 mg) | 5 | 53 | 39 | 6 | 55 |
| 10 | 77 | 38 | 6 | 56 | ||||
| 15 | 81 | 39 | 5 | 56 | ||||
| 7 | 1.0 | 0.1 | Zn/MCM-41(10) (12.5 mg) | 5 | 45 | 41 | 7 | 52 |
| 10 | 69 | 40 | 7 | 53 | ||||
| 15 | 80 | 40 | 6 | 54 | ||||
| 8 | 1.0 | 0.1 | Zn/MCM-41(15) (12.5 mg) | 5 | >99 | 41 | 6 | 53 |
| 10 | >99 | 40 | 6 | 54 | ||||
| 15 | >99 | 41 | 6 | 53 | ||||
| 9 | 1.0 | 0.1 | Zn/MCM-41(15) (6.25 mg) | 5 | 46 | 40 | 6 | 54 |
| 10 | 56 | 39 | 6 | 55 | ||||
| 15 | 58 | 39 | 6 | 55 |
| Catalyst | Time [min] (b) | XT [%] | S2 [%] | S3 [%] | S4 [%] |
|---|---|---|---|---|---|
| Zn/MCM-41(15) | 15 (0.6) | >99 | 40 | 6 | 54 |
| 45 (2.0) | 88 | 41 | 6 | 53 | |
| 75 (3.3) | 89 | 42 | 6 | 52 | |
| 105 (4.6) | 85 | 41 | 7 | 52 | |
| 135 (6.0) | 77 | 43 | 6 | 51 | |
| 165 (7.3) | 80 | 44 | 6 | 50 | |
| 1200 (53.3) | 72 | 42 | 6 | 52 |
© 2019 by the authors. Licensee MDPI, Basel, Switzerland. This article is an open access article distributed under the terms and conditions of the Creative Commons Attribution (CC BY) license (http://creativecommons.org/licenses/by/4.0/).
Share and Cite
Carraro, P.M.; Goldani, B.S.; Alves, D.; Sathicq, A.G.; Eimer, G.A.; Romanelli, G.P.; Luque, R. Stability and Activity of Zn/MCM-41 Materials in Toluene Alkylation: Microwave Irradiation vs Continuous Flow. Catalysts 2019, 9, 136. https://doi.org/10.3390/catal9020136
Carraro PM, Goldani BS, Alves D, Sathicq AG, Eimer GA, Romanelli GP, Luque R. Stability and Activity of Zn/MCM-41 Materials in Toluene Alkylation: Microwave Irradiation vs Continuous Flow. Catalysts. 2019; 9(2):136. https://doi.org/10.3390/catal9020136
Chicago/Turabian StyleCarraro, Paola M., Bruna S. Goldani, Diego Alves, A. Gabriel Sathicq, Griselda A. Eimer, Gustavo P. Romanelli, and Rafael Luque. 2019. "Stability and Activity of Zn/MCM-41 Materials in Toluene Alkylation: Microwave Irradiation vs Continuous Flow" Catalysts 9, no. 2: 136. https://doi.org/10.3390/catal9020136
APA StyleCarraro, P. M., Goldani, B. S., Alves, D., Sathicq, A. G., Eimer, G. A., Romanelli, G. P., & Luque, R. (2019). Stability and Activity of Zn/MCM-41 Materials in Toluene Alkylation: Microwave Irradiation vs Continuous Flow. Catalysts, 9(2), 136. https://doi.org/10.3390/catal9020136

