Biocatalysis with Unconventional Yeasts
Abstract
1. Introduction
1.1. Biocatalysis
1.2. Non-Conventional Yeasts and Their Application in Biotechnological Processes


1.3. Biocatalysis with Non-Conventional Yeasts
2. Carbonyl-Reduction

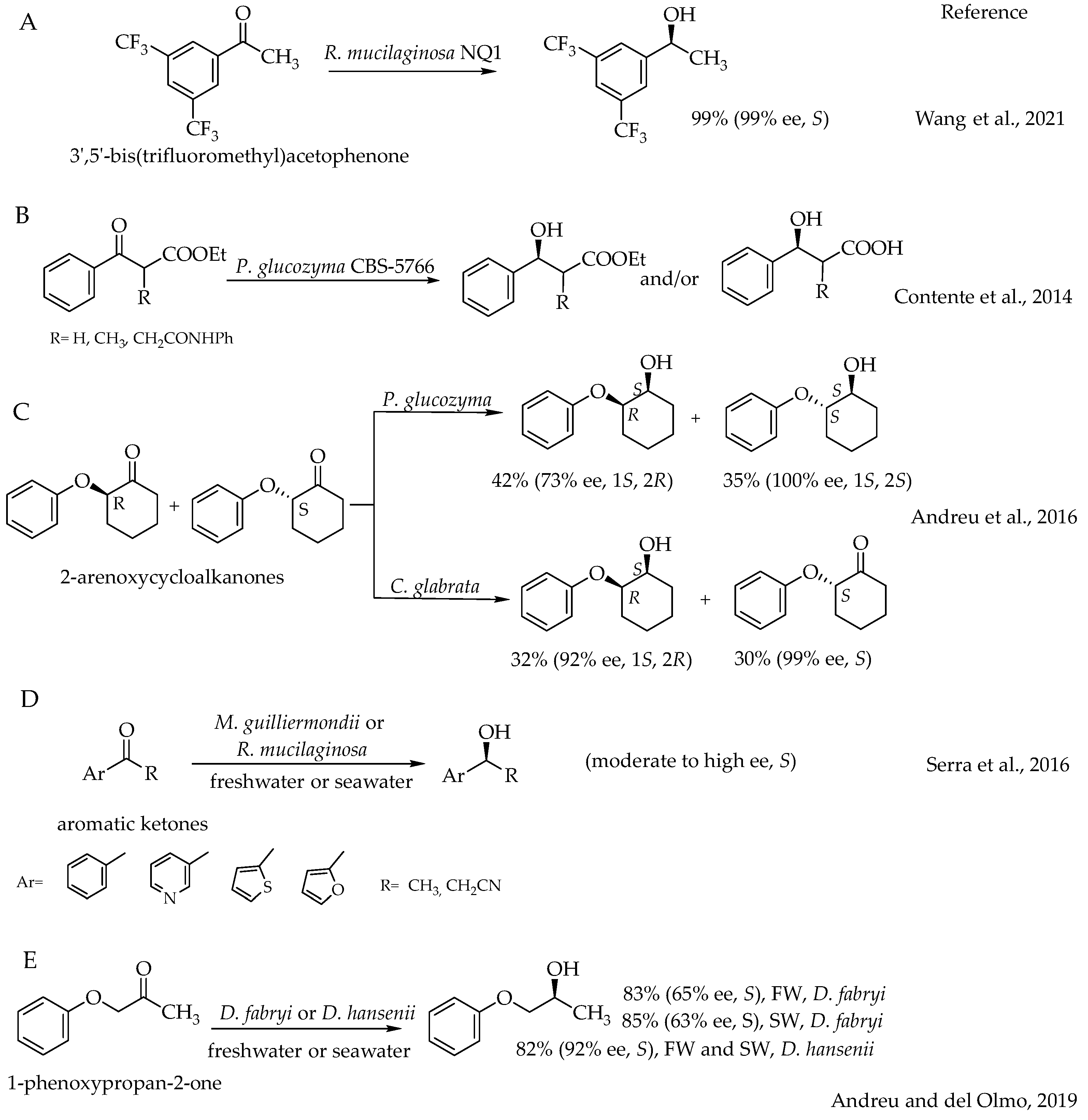
2.1. Carbonyl Reduction with NCYs Using Whole Cells

2.2. Carbonyl Reduction with Wild and Engineering Modified Reductases from NCYs


3. Reduction of Carbonyl-Activated Alkenes

3.1. Hydrogenation of Carbonyl-Activated Alkenes with NCYs Whole Cells

3.2. Hydrogenation of Carbonyl-Activated Alkenes with Wild and Engineering Modified Ene Reductases from NCYs


4. Oxidation Reactions
4.1. Alcohol Oxidation by NCYs
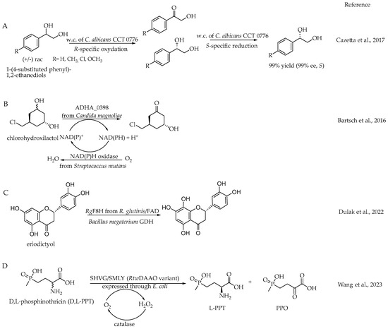
4.2. Other Oxidation Reactions Catalyzed by NCYs
5. Nitrile Hydrolysis
Nitrile Hydrolysis by Whole Cells of NCYs
6. Reactions Catalyzed by Lipases
6.1. Ester Hydrolysis by Isolated Wild-Type and Mutant Lipases
6.2. Ester Synthesis by Wild-Type and Mutant Lipases


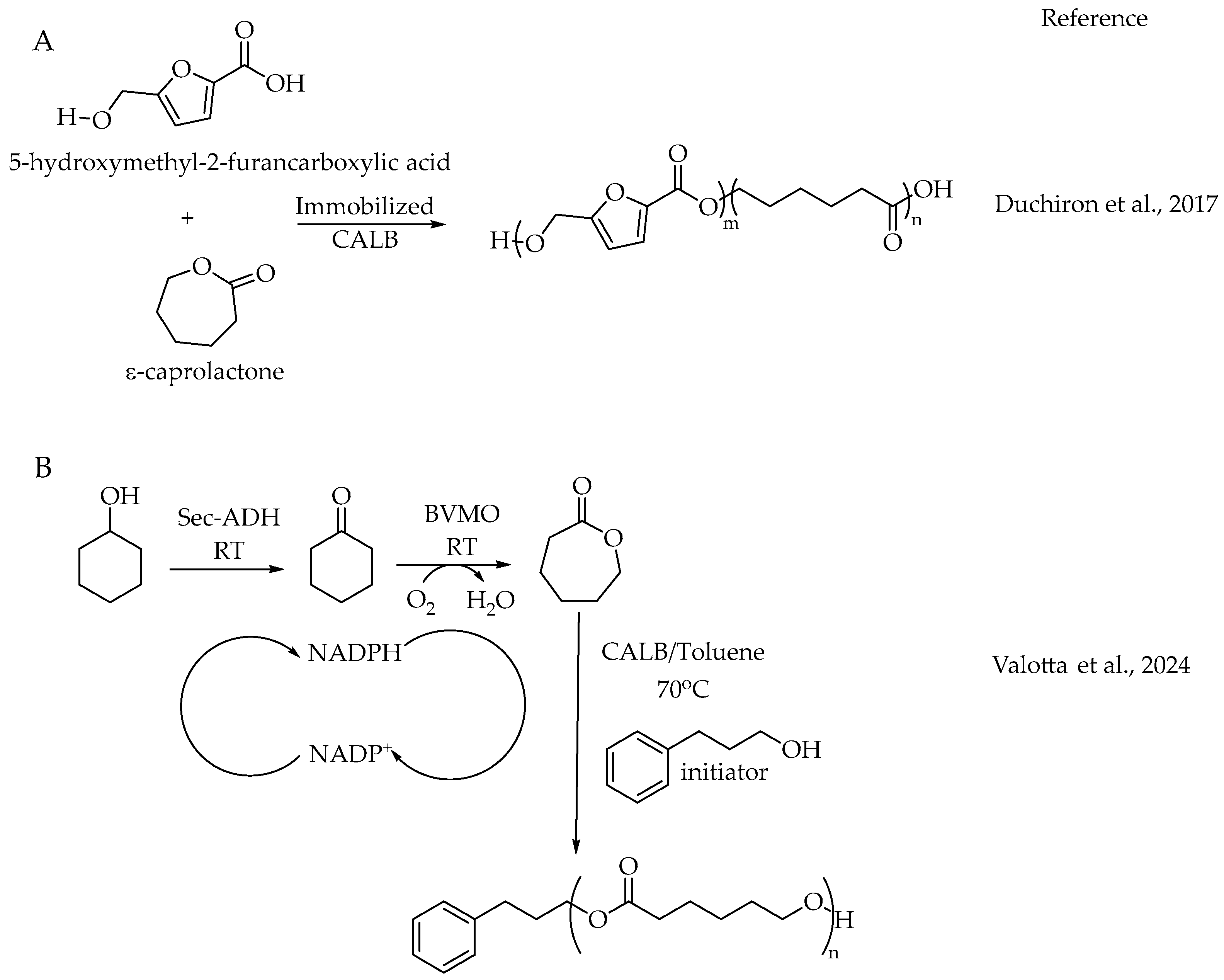
6.3. Ring-Opening Polymerization (ROP) Catalyzed by Lipases from NCYs

7. Other Reactions Catalyzed by NCYs
7.1. C-C Bond Formation: R-(−)-Phenylacetylcarbinol Synthesis
7.2. Phenylethanol Production
7.3. Epoxyde Hydrolysis

8. Conclusions and Future Prospects
Supplementary Materials
Author Contributions
Funding
Data Availability Statement
Conflicts of Interest
References
- Buchholz, K.; Collins, J. The Roots—A Short History of Industrial Microbiology and Biotechnology. Appl. Microbiol. Biotechnol. 2013, 97, 3747–3762. [Google Scholar] [CrossRef]
- Sheldon, R.A.; Pereira, P.C. Biocatalysis Engineering: The Big Picture. Chem. Soc. Rev. 2017, 46, 2678–2691. [Google Scholar] [CrossRef] [PubMed]
- Jiang, W.; Fang, B. Synthesizing Chiral Drug Intermediates by Biocatalysis. Appl. Biochem. Biotechnol. 2020, 192, 146–179. [Google Scholar] [CrossRef] [PubMed]
- Hernáiz, M.J.; Alcántara, A.R.; García, J.I.; Sinisterra, J.V. Applied Biotransformations in Green Solvents. Chem. Eur. J. 2010, 16, 9422–9437. [Google Scholar] [CrossRef]
- Ni, Y.; Holtmann, D.; Hollmann, F. How Green Is Biocatalysis? To Calculate Is To Know. ChemCatChem 2014, 6, 930–943. [Google Scholar] [CrossRef]
- Alcántara, A.R.; Domínguez De María, P.; Littlechild, J.A.; Schürmann, M.; Sheldon, R.A.; Wohlgemuth, R. Biocatalysis as Key to Sustainable Industrial Chemistry. ChemSusChem 2022, 15, e202102709. [Google Scholar] [CrossRef]
- McLoughlin, E.C.; Twamley, B.; O’Boyle, N.M. Candida antarctica Lipase B Mediated Kinetic Resolution: A Sustainable Method for Chiral Synthesis of Antiproliferative β-Lactams. Eur. J. Med. Chem. 2024, 276, 116692. [Google Scholar] [CrossRef] [PubMed]
- Garzón-Posse, F.; Becerra-Figueroa, L.; Hernández-Arias, J.; Gamba-Sánchez, D. Whole Cells as Biocatalysts in Organic Transformations. Molecules 2018, 23, 1265. [Google Scholar] [CrossRef]
- Hancu, G.; Modroiu, A. Chiral Switch: Between Therapeutical Benefit and Marketing Strategy. Pharmaceuticals 2022, 15, 240. [Google Scholar] [CrossRef]
- Patel, R.N. Biocatalysis for Synthesis of Pharmaceuticals. Bioorg. Med. Chem. 2018, 26, 1252–1274. [Google Scholar] [CrossRef]
- Kinner, A.; Nerke, P.; Siedentop, R.; Steinmetz, T.; Classen, T.; Rosenthal, K.; Nett, M.; Pietruszka, J.; Lütz, S. Recent Advances in Biocatalysis for Drug Synthesis. Biomedicines 2022, 10, 964. [Google Scholar] [CrossRef] [PubMed]
- Rossino, G.; Robescu, M.S.; Licastro, E.; Tedesco, C.; Martello, I.; Maffei, L.; Vincenti, G.; Bavaro, T.; Collina, S. Biocatalysis: A Smart and Green Tool for the Preparation of Chiral Drugs. Chirality 2022, 34, 1403–1418. [Google Scholar] [CrossRef] [PubMed]
- Remonatto, D.; Lerin, L.A. Biocatalysis and Bioactive Molecules: Future and Development. Int. J. Mol. Sci. 2023, 24, 5571. [Google Scholar] [CrossRef]
- Dalby, P. Engineering Enzymes for Biocatalysis. Recent Pat. Biotechnol. 2007, 1, 1–9. [Google Scholar] [CrossRef] [PubMed]
- Pollard, D.J.; Woodley, J.M. Biocatalysis for Pharmaceutical Intermediates: The Future Is Now. Trends Biotechnol. 2007, 25, 66–73. [Google Scholar] [CrossRef]
- De Miranda, A.S.; Milagre, C.D.F.; Hollmann, F. Alcohol Dehydrogenases as Catalysts in Organic Synthesis. Front. Catal. 2022, 2, 900554. [Google Scholar] [CrossRef]
- Wachtmeister, J.; Rother, D. Recent Advances in Whole Cell Biocatalysis Techniques Bridging from Investigative to Industrial Scale. Curr. Opin. Biotechnol. 2016, 42, 169–177. [Google Scholar] [CrossRef]
- Segal-Kischinevzky, C.; Romero-Aguilar, L.; Alcaraz, L.D.; López-Ortiz, G.; Martínez-Castillo, B.; Torres-Ramírez, N.; Sandoval, G.; González, J. Yeasts Inhabiting Extreme Environments and Their Biotechnological Applications. Microorganisms 2022, 10, 794. [Google Scholar] [CrossRef]
- Kurtzman, C.P.; Sugiyama, J. 1 Saccharomycotina and Taphrinomycotina: The Yeasts and Yeastlike Fungi of the Ascomycota. In Systematics and Evolution; McLaughlin, D.J., Spatafora, J.W., Eds.; Springer: Berlin/Heidelberg, Germany, 2015; pp. 3–33. ISBN 978-3-662-46010-8. [Google Scholar]
- Kurtzman, C.P.; Fell, J.W.; Boekhout, T. The Yeasts: A Taxonomic Study, 5th ed.; Elsevier: Amsterdam, The Netherlands, 2011; ISBN 978-0-444-52149-1. [Google Scholar]
- Kurtzman, C.P.; Boekhout, T. Yeasts as Distinct Life Forms of Fungi. In Yeasts in Natural Ecosystems: Ecology; Buzzini, P., Lachance, M.-A., Yurkov, A., Eds.; Springer International Publishing: Cham, Switzerland, 2017; pp. 1–37. ISBN 978-3-319-61574-5. [Google Scholar]
- Vyas, A.; Freitas, A.V.; Ralston, Z.A.; Tang, Z. Fission Yeast Schizosaccharomyces pombe: A Unicellular “Micromammal” Model Organism. Curr. Protoc. 2021, 1, e151. [Google Scholar] [CrossRef]
- Spencer, J.; Ragout De Spencer, A.; Laluce, C. Non-Conventional Yeasts. Appl. Microbiol. Biotechnol. 2002, 58, 147–156. [Google Scholar] [CrossRef]
- Johnson, E.A. Biotechnology of Non-Saccharomyces Yeasts—The Ascomycetes. Appl. Microbiol. Biotechnol. 2013, 97, 503–517. [Google Scholar] [CrossRef]
- Johnson, E.A. Biotechnology of Non-Saccharomyces Yeasts—The Basidiomycetes. Appl. Microbiol. Biotechnol. 2013, 97, 7563–7577. [Google Scholar] [CrossRef]
- Geijer, C.; Ledesma-Amaro, R.; Tomás-Pejó, E. Unraveling the Potential of Non-Conventional Yeasts in Biotechnology. FEMS Yeast Res. 2022, 22, foab071. [Google Scholar] [CrossRef]
- Boekhout, T.; Amend, A.S.; El Baidouri, F.; Gabaldón, T.; Geml, J.; Mittelbach, M.; Robert, V.; Tan, C.S.; Turchetti, B.; Vu, D.; et al. Trends in Yeast Diversity Discovery. Fungal Divers. 2022, 114, 491–537. [Google Scholar] [CrossRef]
- Hernández, A.; Pérez-Nevado, F.; Ruiz-Moyano, S.; Serradilla, M.J.; Villalobos, M.C.; Martín, A.; Córdoba, M.G. Spoilage Yeasts: What Are the Sources of Contamination of Foods and Beverages? Int. J. Food Microbiol. 2018, 286, 98–110. [Google Scholar] [CrossRef]
- Buzzini, P.; Turchetti, B.; Yurkov, A. Extremophilic Yeasts: The Toughest Yeasts Around? Yeast 2018, 35, 487–497. [Google Scholar] [CrossRef] [PubMed]
- Elleuche, S.; Schröder, C.; Sahm, K.; Antranikian, G. Extremozymes—Biocatalysts with Unique Properties from Extremophilic Microorganisms. Curr. Opin. Biotechnol. 2014, 29, 116–123. [Google Scholar] [CrossRef]
- Ibrahim, N.E.; Ma, K. Industrial Applications of Thermostable Enzymes from Extremophilic Microorganisms. Curr. Eng. J. 2017, 4, 75–98. [Google Scholar] [CrossRef]
- Löbs, A.-K.; Schwartz, C.; Wheeldon, I. Genome and Metabolic Engineering in Non-Conventional Yeasts: Current Advances and Applications. Synth. Syst. Biotechnol. 2017, 2, 198–207. [Google Scholar] [CrossRef]
- Patra, P.; Das, M.; Kundu, P.; Ghosh, A. Recent Advances in Systems and Synthetic Biology Approaches for Developing Novel Cell-Factories in Non-Conventional Yeasts. Biotechnol. Adv. 2021, 47, 107695. [Google Scholar] [CrossRef]
- Karbalaei, M.; Rezaee, S.A.; Farsiani, H. Pichia pastoris: A Highly Successful Expression System for Optimal Synthesis of Heterologous Proteins. J. Cell. Physiol. 2020, 235, 5867–5881. [Google Scholar] [CrossRef]
- De Brabander, P.; Uitterhaegen, E.; Delmulle, T.; De Winter, K.; Soetaert, W. Challenges and Progress towards Industrial Recombinant Protein Production in Yeasts: A Review. Biotechnol. Adv. 2023, 64, 108121. [Google Scholar] [CrossRef]
- Wang, W.; Blenner, M.A. Engineering Heterologous Enzyme Secretion in Yarrowia lipolytica. Microb. Cell Factories 2022, 21, 134. [Google Scholar] [CrossRef]
- Zhang, L.; Sun, Z.; Xu, G.; Ni, Y. Classification and Functional Origins of Stereocomplementary Alcohol Dehydrogenases for Asymmetric Synthesis of Chiral Secondary Alcohols: A Review. Int. J. Biol. Macromol. 2024, 270, 132238. [Google Scholar] [CrossRef]
- Prelog, V. Specification of the Stereospecificity of Some Oxido-Reductases by Diamond Lattice Sections. Pure Appl. Chem. 1964, 9, 119–130. [Google Scholar] [CrossRef]
- Shanbhag, A.P. Stairway to Stereoisomers: Engineering Short- and Medium-Chain Ketoreductases To Produce Chiral Alcohols. ChemBioChem 2023, 24, e202200687. [Google Scholar] [CrossRef] [PubMed]
- Wang, X.; Saba, T.; Yiu, H.H.P.; Howe, R.F.; Anderson, J.A.; Shi, J. Cofactor NAD(P)H Regeneration Inspired by Heterogeneous Pathways. Chem 2017, 2, 621–654. [Google Scholar] [CrossRef]
- Matsuyama, A.; Kobayashi, Y.; Ohnishi, H. Microbial Production of Optically Active 1,3-Butanediol from 4-Hydroxy-2-Butanone. Biosci. Biotechnol. Biochem. 1993, 57, 348–349. [Google Scholar] [CrossRef] [PubMed][Green Version]
- Wang, N.; Xu, Y.; Peng, C.; Wang, X.; Wei, Y.; Li, K.; Wang, S.; Xu, A.; Gao, J. Identification of a Newly Isolated Rhodotorula mucilaginosa NQ1 and Its Development for the Synthesis of Bulky Carbonyl Compounds by Whole-cell Bioreduction. Lett. Appl. Microbiol. 2021, 72, 399–407. [Google Scholar] [CrossRef]
- Contente, M.L.; Molinari, F.; Zambelli, P.; De Vitis, V.; Gandolfi, R.; Pinto, A.; Romano, D. Biotransformation of Aromatic Ketones and Ketoesters with the Non-Conventional Yeast Pichia glucozyma. Tetrahedron Lett. 2014, 55, 7051–7053. [Google Scholar] [CrossRef]
- Şahin, E.; Dertli, E. Highly Enantioselective Production of Chiral Secondary Alcohols with Candida zeylanoides as a New Whole Cell Biocatalyst. Chem. Biodivers. 2017, 14, e1700121. [Google Scholar] [CrossRef] [PubMed]
- Andreu, C.; Peña, M.; Del Olmo, M. Biocatalytic Reduction of Racemic 2-Arenoxycycloalkanones by Yeasts P. glucozyma and C. glabrata: One Way of Achieving Chiral 2-Arenoxycycloalcohols. Appl. Microbiol. Biotechnol. 2016, 100, 4865–4873. [Google Scholar] [CrossRef] [PubMed]
- Serra, I.; Guidi, B.; Burgaud, G.; Contente, M.L.; Ferraboschi, P.; Pinto, A.; Compagno, C.; Molinari, F.; Romano, D. Seawater-Based Biocatalytic Strategy: Stereoselective Reductions of Ketones with Marine Yeasts. ChemCatChem 2016, 8, 3254–3260. [Google Scholar] [CrossRef]
- Andreu, C.; del Olmo, M. Improved Biocatalytic Activity of the Debaryomyces Species in Seawater. ChemCatChem 2019, 11, 3085–3092. [Google Scholar] [CrossRef]
- Andreu, C.; Del Olmo, M. Whole-Cell Biocatalysis in Seawater: New Halotolerant Yeast Strains for the Regio- and Stereoselectivity Reduction of 1-Phenylpropane-1,2-Dione in Saline-Rich Media. ChemBioChem 2020, 21, 1621–1628. [Google Scholar] [CrossRef] [PubMed]
- Chen, X.; Liu, Z.-Q.; Lin, C.-P.; Zheng, Y.-G. Chemoenzymatic Synthesis of (S)-Duloxetine Using Carbonyl Reductase from Rhodosporidium toruloides. Bioorg. Chem. 2016, 65, 82–89. [Google Scholar] [CrossRef]
- Jiang, W.; Fu, X.; Wu, W. Gene Mining, Codon Optimization and Analysis of Binding Mechanism of an Aldo-Keto Reductase with High Activity, Better Substrate Specificity and Excellent Solvent Tolerance. PLoS ONE 2021, 16, e0260787. [Google Scholar] [CrossRef]
- Chen, L.-F.; Zhang, Y.-P.; Fan, H.-Y.; Wu, K.; Lin, J.-P.; Wang, H.-L.; Wei, D.-Z. Efficient Bioreductive Production of (R)-N-Boc-3-Hydroxypiperidine by a Carbonyl Reductase. Catal. Commun. 2017, 97, 5–9. [Google Scholar] [CrossRef]
- Zhu, F.-Y.; Zhong, J.; Shen, Q.; Jia, D.-X.; Ma, S.-J.; Du, J.; Wu, H.; Yang, Q.; Cao, M.; Liu, Z.-Q.; et al. Development of an Escherichia coli Whole Cell Catalyst Harboring Conjugated Polyketone Reductase from Candida glabrata for Synthesis of D-(−)-Pantolactone. Process Biochem. 2022, 112, 223–233. [Google Scholar] [CrossRef]
- Sellés Vidal, L.; Isalan, M.; Heap, J.T.; Ledesma-Amaro, R. A Primer to Directed Evolution: Current Methodologies and Future Directions. RSC Chem. Biol. 2023, 4, 271–291. [Google Scholar] [CrossRef] [PubMed]
- Nguyen, D.T.; Mitchell, D.A.; Van Der Donk, W.A. Genome Mining for New Enzyme Chemistry. ACS Catal. 2024, 14, 4536–4553. [Google Scholar] [CrossRef]
- Liu, Z.-Q.; Wu, L.; Zhang, X.-J.; Xue, Y.-P.; Zheng, Y.-G. Directed Evolution of Carbonyl Reductase from Rhodosporidium toruloides and Its Application in Stereoselective Synthesis of Tert-Butyl (3R,5S)-6-Chloro-3,5-Dihydroxyhexanoate. J. Agric. Food Chem. 2017, 65, 3721–3729. [Google Scholar] [CrossRef]
- Liu, Z.-Q.; Wu, L.; Zheng, L.; Wang, W.-Z.; Zhang, X.-J.; Jin, L.-Q.; Zheng, Y.-G. Biosynthesis of Tert-Butyl (3R,5S)-6-Chloro-3,5-Dihydroxyhexanoate by Carbonyl Reductase from Rhodosporidium toruloides in Mono and Biphasic Media. Bioresour. Technol. 2018, 249, 161–167. [Google Scholar] [CrossRef] [PubMed]
- Cheng, F.; Chen, Y.; Qiu, S.; Zhai, Q.-Y.; Liu, H.-T.; Li, S.-F.; Weng, C.-Y.; Wang, Y.-J.; Zheng, Y.-G. Controlling Stereopreferences of Carbonyl Reductases for Enantioselective Synthesis of Atorvastatin Precursor. ACS Catal. 2021, 11, 2572–2582. [Google Scholar] [CrossRef]
- Honda, K.; Ono, T.; Okano, K.; Miyake, R.; Dekishima, Y.; Kawabata, H. Expression of Engineered Carbonyl Reductase from Ogataea minuta in Rhodococcus opacus and Its Application to Whole-Cell Bioconversion in Anhydrous Solvents. J. Biosci. Bioeng. 2019, 127, 145–149. [Google Scholar] [CrossRef] [PubMed]
- Zallot, R.; Oberg, N.; Gerlt, J.A. Discovery of New Enzymatic Functions and Metabolic Pathways Using Genomic Enzymology Web Tools. Curr. Opin. Biotechnol. 2021, 69, 77–90. [Google Scholar] [CrossRef]
- Anello, A.L.; Aguilera, L.; Kurina-Sanz, M.; Juri Ayub, M.; Mascotti, M.L. Broadening the Repertoire of Microbial Aldo-Keto Reductases: Cloning and Characterization of AKR3B4 from Rhodotorula mucilaginosa LSL Strain. Enzyme Microb. Technol. 2020, 132, 109415. [Google Scholar] [CrossRef]
- Kumar Roy, T.; Sreedharan, R.; Ghosh, P.; Gandhi, T.; Maiti, D. Ene-Reductase: A Multifaceted Biocatalyst in Organic Synthesis. Chem. Eur. J. 2022, 28, e202103949. [Google Scholar] [CrossRef]
- Parmeggiani, F.; Brenna, E.; Colombo, D.; Gatti, F.G.; Tentori, F.; Tessaro, D. “A Study in Yellow”: Investigations in the Stereoselectivity of Ene-Reductases. ChemBioChem 2022, 23, e202100445. [Google Scholar] [CrossRef] [PubMed]
- Dobrijevic, D.; Benhamou, L.; Aliev, A.E.; Méndez-Sánchez, D.; Dawson, N.; Baud, D.; Tappertzhofen, N.; Moody, T.S.; Orengo, C.A.; Hailes, H.C.; et al. Metagenomic Ene-Reductases for the Bioreduction of Sterically Challenging Enones. RSC Adv. 2019, 9, 36608–36614. [Google Scholar] [CrossRef]
- Fan, X.-Y.; Yu, Y.; Yao, Y.; Li, W.-D.; Tao, F.-Y.; Wang, N. Applications of Ene-Reductases in the Synthesis of Flavors and Fragrances. J. Agric. Food Chem. 2024, 72, 18305–18320. [Google Scholar] [CrossRef] [PubMed]
- Goretti, M.; Turchetti, B.; Cramarossa, M.; Forti, L.; Buzzini, P. Production of Flavours and Fragrances via Bioreduction of (4R)-(-)-Carvone and (1R)-(-)-Myrtenal by Non-Conventional Yeast Whole-Cells. Molecules 2013, 18, 5736–5748. [Google Scholar] [CrossRef]
- Goretti, M.; Ponzoni, C.; Caselli, E.; Marchegiani, E.; Cramarossa, M.R.; Turchetti, B.; Forti, L.; Buzzini, P. Bioreduction of α,β-Unsaturated Ketones and Aldehydes by Non-Conventional Yeast (NCY) Whole-Cells. Bioresour. Technol. 2011, 102, 3993–3998. [Google Scholar] [CrossRef]
- Filippucci, S.; Tasselli, G.; Kenza Labbani, F.-Z.; Turchetti, B.; Cramarossa, M.R.; Buzzini, P.; Forti, L. Non-Conventional Yeasts as Sources of Ene-Reductases for the Bioreduction of Chalcones. Fermentation 2020, 6, 29. [Google Scholar] [CrossRef]
- Łużny, M.; Krzywda, M.; Kozłowska, E.; Kostrzewa-Susłow, E.; Janeczko, T. Effective Hydrogenation of 3-(2″-Furyl)- and 3-(2″-Thienyl)-1-(2′-Hydroxyphenyl)-Prop-2-En-1-One in Selected Yeast Cultures. Molecules 2019, 24, 3185. [Google Scholar] [CrossRef] [PubMed]
- Łużny, M.; Kozłowska, E.; Kostrzewa-Susłow, E.; Janeczko, T. Highly Effective, Regiospecific Hydrogenation of Methoxychalcone by Yarrowia lipolytica Enables Production of Food Sweeteners. Catalysts 2020, 10, 1135. [Google Scholar] [CrossRef]
- Gonçalves, A.E.; Malheiros, Â.; Casarin, C.A.; De França, L.; Palomino-Salcedo, D.L.; Ferreira, L.L.G.; Andricopulo, A.D.; Dávila-Rodríguez, M.J.; Lacava, L.C.; De Oliveira, A.S.; et al. 2′,6′-Dihydroxy-4′-Methoxy Dihydrochalcone Improves the Cognitive Impairment of Alzheimer’s Disease: A Structure-Activity Relationship Study. Curr. Top. Med. Chem. 2021, 21, 1167–1185. [Google Scholar] [CrossRef] [PubMed]
- Łużny, M.; Kaczanowska, D.; Gawdzik, B.; Wzorek, A.; Pawlak, A.; Obmińska-Mrukowicz, B.; Dymarska, M.; Kozłowska, E.; Kostrzewa-Susłow, E.; Janeczko, T. Regiospecific Hydrogenation of Bromochalcone by Unconventional Yeast Strains. Molecules 2022, 27, 3681. [Google Scholar] [CrossRef]
- Chlipała, P.; Janeczko, T.; Mazur, M. Bioreduction of 4′-Hydroxychalcone in Deep Eutectic Solvents: Optimization and Efficacy with Various Yeast Strains. Int. J. Mol. Sci. 2024, 25, 7152. [Google Scholar] [CrossRef]
- Long, Z.; Li, K.; Xue, Y.; Sun, Y.; Li, J.; Su, Z.; Sun, J.; Liu, Q.; Liu, H.; Wei, T. Purification and Biochemical Characterization of a Novel Ene- Reductase from Kazachstania exigua HSC6 for Dihydro-β-Ionone from β-Ionone. Biotechnol. Lett. 2023, 45, 499–508. [Google Scholar] [CrossRef]
- Zhang, B.; Zheng, L.; Lin, J.; Wei, D. Characterization of an Ene-Reductase from Meyerozyma guilliermondii for Asymmetric Bioreduction of α,β-Unsaturated Compounds. Biotechnol. Lett. 2016, 38, 1527–1534. [Google Scholar] [CrossRef]
- Li, Z.; Wang, Z.; Meng, G.; Lu, H.; Huang, Z.; Chen, F. Identification of an Ene Reductase from Yeast Kluyveromyces marxianus and Application in the Asymmetric Synthesis of (R)-Profen Esters. Asian J. Org. Chem. 2018, 7, 763–769. [Google Scholar] [CrossRef]
- Zhang, B.; Sun, J.; Zheng, Y.; Mao, X.; Lin, J.; Wei, D. Identification of a Novel Ene Reductase from Pichia angusta with Potential Application in (R)-Levodione Production. RSC Adv. 2022, 12, 13924–13931. [Google Scholar] [CrossRef] [PubMed]
- Shi, Q.; Wang, H.; Liu, J.; Li, S.; Guo, J.; Li, H.; Jia, X.; Huo, H.; Zheng, Z.; You, S.; et al. Old Yellow Enzymes: Structures and Structure-Guided Engineering for Stereocomplementary Bioreduction. Appl. Microbiol. Biotechnol. 2020, 104, 8155–8170. [Google Scholar] [CrossRef] [PubMed]
- Amato, E.D.; Stewart, J.D. Applications of Protein Engineering to Members of the Old Yellow Enzyme Family. Biotechnol. Adv. 2015, 33, 624–631. [Google Scholar] [CrossRef] [PubMed]
- Klepach, H.M.; Zakalskiy, A.E.; Zakalska, O.M.; Gayda, G.Z.; Smutok, O.V.; Gonchar, M.V. Alcohol Oxidase from the Methylotrophic Yeast Ogataea polymorpha: Isolation, Purification, and Bioanalytical Application. In Flavins and Flavoproteins; Barile, M., Ed.; Methods in Molecular Biology; Springer: New York, NY, USA, 2021; Volume 2280, pp. 231–248. ISBN 978-1-07-161285-9. [Google Scholar]
- Ribeaucourt, D.; Bissaro, B.; Lambert, F.; Lafond, M.; Berrin, J.-G. Biocatalytic Oxidation of Fatty Alcohols into Aldehydes for the Flavors and Fragrances Industry. Biotechnol. Adv. 2022, 56, 107787. [Google Scholar] [CrossRef]
- Schober, L.; Dobiašová, H.; Jurkaš, V.; Parmeggiani, F.; Rudroff, F.; Winkler, M. Enzymatic Reactions towards Aldehydes: An Overview. Flavour Fragr. J. 2023, 38, 221–242. [Google Scholar] [CrossRef]
- Mangkorn, N.; Kanokratana, P.; Roongsawang, N.; Laobuthee, A.; Laosiripojana, N.; Champreda, V. Synthesis and Characterization of Ogataea thermomethanolica Alcohol Oxidase Immobilized on Barium Ferrite Magnetic Microparticles. J. Biosci. Bioeng. 2019, 127, 265–272. [Google Scholar] [CrossRef]
- Li, Q.; Wang, H.; Zhang, W.; Wang, W.; Ren, X.; Wu, M.; Shi, G. Structure-Guided Evolution Modulate Alcohol Oxidase to Improve Ethanol Oxidation Performance. Appl. Biochem. Biotechnol. 2024, 196, 1948–1965. [Google Scholar] [CrossRef]
- Cazetta, T.; Moran, P.J.S.; Rodrigues, J.A.R. Highly Enantioselective Deracemization of 1-Phenyl-1,2-Ethanediol and Its Derivatives by Stereoinversion Using Candida albicans in a One-Pot Process. J. Mol. Catal. B Enzym. 2014, 109, 178–183. [Google Scholar] [CrossRef]
- Chadha, A.; Venkataraman, S.; Preetha, R.; Padhi, S.K. Candida parapsilosis: A Versatile Biocatalyst for Organic Oxidation-Reduction Reactions. Bioorg. Chem. 2016, 68, 187–213. [Google Scholar] [CrossRef] [PubMed]
- Bartsch, S.; Brummund, J.; Köpke, S.; Straatman, H.; Vogel, A.; Schürmann, M. Optimization of Alcohol Dehydrogenase for Industrial Scale Oxidation of Lactols. Biotechnol. J. 2020, 15, 2000171. [Google Scholar] [CrossRef] [PubMed]
- Bordewick, S.; Beier, A.; Balke, K.; Bornscheuer, U.T. Baeyer-Villiger Monooxygenases from Yarrowia lipolytica Catalyze Preferentially Sulfoxidations. Enzyme Microb. Technol. 2018, 109, 31–42. [Google Scholar] [CrossRef] [PubMed]
- Dulak, K.; Sordon, S.; Matera, A.; Kozak, B.; Huszcza, E.; Popłoński, J. Novel Flavonoid C-8 Hydroxylase from Rhodotorula glutinis: Identification, Characterization and Substrate Scope. Microb. Cell Factories 2022, 21, 175. [Google Scholar] [CrossRef]
- Pollegioni, L.; Molla, G.; Sacchi, S.; Rosini, E.; Verga, R.; Pilone, M.S. Properties and Applications of Microbial D-Amino Acid Oxidases: Current State and Perspectives. Appl. Microbiol. Biotechnol. 2008, 78, 1–16. [Google Scholar] [CrossRef]
- Wang, L.; Tang, H.; Zhu, H.; Xue, Y.; Zheng, Y. Enhancement of the Substrate Specificity of D-amino Acid Oxidase Based on Tunnel-pocket Engineering. Biotechnol. Bioeng. 2023, 120, 3557–3569. [Google Scholar] [CrossRef] [PubMed]
- Wang, L.; Tang, H.; Zhao, J.-Q.; Wang, M.-N.; Xue, Y.-P.; Zheng, Y.-G. Correlation Analysis of Key Residue Sites between Computational-Aided Design Thermostability d -Amino Acid Oxidase and Ancestral Enzymes. J. Agric. Food Chem. 2023, 71, 20177–20186. [Google Scholar] [CrossRef]
- Thuku, R.N.; Brady, D.; Benedik, M.J.; Sewell, B.T. Microbial Nitrilases: Versatile, Spiral Forming, Industrial Enzymes. J. Appl. Microbiol. 2009, 106, 703–727. [Google Scholar] [CrossRef] [PubMed]
- Shen, J.-D.; Cai, X.; Liu, Z.-Q.; Zheng, Y.-G. Nitrilase: A Promising Biocatalyst in Industrial Applications for Green Chemistry. Crit. Rev. Biotechnol. 2021, 41, 72–93. [Google Scholar] [CrossRef]
- Zhou, S.-P.; Xue, Y.-P.; Zheng, Y.-G. Maximizing the Potential of Nitrilase: Unveiling Their Diversity, Catalytic Proficiency, and Versatile Applications. Biotechnol. Adv. 2024, 72, 108352. [Google Scholar] [CrossRef]
- Bhalla, T.C.; Sharma, M.; Sharma, N.N. Nitrile Metabolizing Yeasts. In Yeast Biotechnology: Diversity and Applications; Satyanarayana, T., Kunze, G., Eds.; Springer: Dordrecht, The Netherlands, 2009; pp. 715–735. ISBN 978-1-4020-8291-7. [Google Scholar]
- Gong, J.-S.; Lu, Z.-M.; Li, H.; Shi, J.-S.; Zhou, Z.-M.; Xu, Z.-H. Nitrilases in Nitrile Biocatalysis: Recent Progress and Forthcoming Research. Microb. Cell Factories 2012, 11, 142. [Google Scholar] [CrossRef] [PubMed]
- Rustler, S.; Stolz, A. Isolation and Characterization of a Nitrile Hydrolysing Acidotolerant Black Yeast—Exophiala oligosperma R1. Appl. Microbiol. Biotechnol. 2007, 75, 899–908. [Google Scholar] [CrossRef] [PubMed]
- Prasad, S.; Sharma, D.R.; Bhalla, T.C. Nitrile- and Amide-Hydrolysing Activity in Kluyveromyces thermotolerans MGBY 37. World J. Microbiol. Biotechnol. 2005, 21, 1447–1450. [Google Scholar] [CrossRef]
- Dias, J.C.; Rezende, R.P.; Rosa, C.A.; Lachance, M.-A.; Linardi, V.R. Enzymatic Degradation of Nitriles by a Candida guilliermondii UFMG-Y65. Can. J. Microbiol. 2000, 46, 525–531. [Google Scholar] [CrossRef] [PubMed]
- Zhang, Q.; Gong, J.-S.; Dong, T.-T.; Liu, T.-T.; Li, H.; Dou, W.-F.; Lu, Z.-M.; Shi, J.-S.; Xu, Z.-H. Nitrile-Hydrolyzing Enzyme from Meyerozyma guilliermondii and Its Potential in Biosynthesis of 3-Hydroxypropionic Acid. Bioprocess Biosyst. Eng. 2017, 40, 901–910. [Google Scholar] [CrossRef] [PubMed]
- Serra, I.; Capusoni, C.; Molinari, F.; Musso, L.; Pellegrino, L.; Compagno, C. Marine Microorganisms for Biocatalysis: Selective Hydrolysis of Nitriles with a Salt-Resistant Strain of Meyerozyma guilliermondii. Mar. Biotechnol. 2019, 21, 229–239. [Google Scholar] [CrossRef]
- Chandra, P.; Enespa; Singh, R.; Arora, P.K. Microbial Lipases and Their Industrial Applications: A Comprehensive Review. Microb. Cell Factories 2020, 19, 169. [Google Scholar] [CrossRef]
- Soni, S. Trends in Lipase Engineering for Enhanced Biocatalysis. Biotechnol Appl. Biochem. 2022, 69, 265–272. [Google Scholar] [CrossRef]
- Kuncharoen, N.; Techo, S.; Savarajara, A.; Tanasupawat, S. Identification and Lipolytic Activity of Yeasts Isolated from Foods and Wastes. Mycology 2020, 11, 279–286. [Google Scholar] [CrossRef]
- Atalah, J.; Cáceres-Moreno, P.; Espina, G.; Blamey, J.M. Thermophiles and the Applications of Their Enzymes as New Biocatalysts. Bioresour. Technol. 2019, 280, 478–488. [Google Scholar] [CrossRef]
- Chen, M.; Jin, T.; Nian, B.; Cheng, W. Solvent Tolerance Improvement of Lipases Enhanced Their Applications: State of the Art. Molecules 2024, 29, 2444. [Google Scholar] [CrossRef] [PubMed]
- Wang, H.H.; Zhang, Q.; Yu, X.; Liang, J.; Zhang, Y.; Jiang, Y.; Su, W. Application of Lipase B from Candida antarctica in the Pharmaceutical Industry. Ind. Eng. Chem. Res. 2023, 62, 15733–15751. [Google Scholar] [CrossRef]
- Wu, Z.; Shi, W.; Jin, M.; Zhou, W. Efficient Enzymatic Synthesis of Chiral 2,3-Dihydro-1,4-Benzodioxane Motif Using Engineered Candida antarctica Lipase B. RSC Adv. 2023, 13, 18953–18959. [Google Scholar] [CrossRef]
- Nietz, D.; Bode, R.; Kunze, G.; Rauter, M. A New Lipase (Alip2) with High Potential for Enzymatic Hydrolysis of the Diester Diethyladipate to the Monoester Monoethyladipate. Enzyme Microb. Technol. 2022, 153, 109898. [Google Scholar] [CrossRef] [PubMed]
- Deng, L.; Wang, X.; Nie, K.; Wang, F.; Liu, J.; Wang, P.; Tan, T. Synthesis of Wax Esters by Lipase-catalyzed Esterification with Immobilized Lipase from Candida sp. 99–125. Chin. J. Chem. Eng. 2011, 19, 978–982. [Google Scholar] [CrossRef]
- Kuo, C.H.; Ju, H.Y.; Chu, S.W.; Chen, J.H.; Chang, C.M.J.; Liu, Y.C.; Shie, C.J. Optimization of Lipase-Catalyzed Synthesis of Cetyl Octanoate in Supercritical Carbon Dioxide. J. Am. Oil Chem. Soc. 2012, 89, 103–110. [Google Scholar] [CrossRef]
- De Souza, C.E.C.; Ribeiro, B.D.; Coelho, M.A.Z. Characterization and Application of Yarrowia lipolytica Lipase Obtained by Solid-State Fermentation in the Synthesis of Different Esters Used in the Food Industry. Appl. Biochem. Biotechnol. 2019, 189, 933–959. [Google Scholar] [CrossRef]
- De Menezes, L.H.S.; Do Espírito Santo, E.L.; Dos Santos, M.M.O.; De Carvalho Tavares, I.M.; Mendes, A.A.; Franco, M.; De Oliveira, J.R. Candida rugosa Lipase Immobilized on Hydrophobic Support Accurel MP 1000 in the Synthesis of Emollient Esters. Biotechnol. Lett. 2022, 44, 89–99. [Google Scholar] [CrossRef]
- Wagner, K.; Hummel, A.; Yang, J.; Horino, S.; Kanomata, K.; Akai, S.; Gröger, H. Protein Engineering of Lipase A from Candida antarctica to Improve Esterification of Tertiary Alcohols. ChemBioChem 2024, 25, e202400082. [Google Scholar] [CrossRef]
- Zhang, H.; Sang, J.; Zhang, Y.; Sun, T.; Liu, H.; Yue, R.; Zhang, J.; Wang, H.; Dai, Y.; Lu, F.; et al. Rational Design of a Yarrowia lipolytica Derived Lipase for Improved Thermostability. Int. J. Biol. Macromol. 2019, 137, 1190–1198. [Google Scholar] [CrossRef]
- Duchiron, S.W.; Pollet, E.; Givry, S.; Avérous, L. Enzymatic Synthesis of Poly(ε-Caprolactone-Co-ε-Thiocaprolactone). Eur. Polym. J. 2017, 87, 147–158. [Google Scholar] [CrossRef]
- Todea, A.; Bîtcan, I.; Aparaschivei, D.; Păușescu, I.; Badea, V.; Péter, F.; Gherman, V.D.; Rusu, G.; Nagy, L.; Kéki, S. Biodegradable Oligoesters of ε-Caprolactone and 5-Hydroxymethyl-2-Furancarboxylic Acid Synthesized by Immobilized Lipases. Polymers 2019, 11, 1402. [Google Scholar] [CrossRef] [PubMed]
- Valotta, A.; Stelzer, D.; Reiter, T.; Kroutil, W.; Gruber-Woelfler, H. A Multistep (Semi)-Continuous Biocatalytic Setup for the Production of Polycaprolactone. React. Chem. Eng. 2024, 9, 713–727. [Google Scholar] [CrossRef]
- Andreu, C.; Del Olmo, M. Potential of Some Yeast Strains in the Stereoselective Synthesis of (R)-(−)-Phenylacetylcarbinol and (S)-(+)-Phenylacetylcarbinol and Their Reduced 1,2-Dialcohol Derivatives. Appl. Microbiol. Biotechnol. 2014, 98, 5901–5913. [Google Scholar] [CrossRef]
- Andreu, C.; ·Lí Del Olmo, M. Biotransformation Using Halotolerant Yeast in Seawater: A Sustainable Strategy to Produce R-(−)-Phenylacetylcarbinol. Appl. Microbiol. Biotechnol. 2018, 102, 4717–4727. [Google Scholar] [CrossRef]
- Yan, W.; Zhang, X.; Qian, X.; Zhou, J.; Dong, W.; Ma, J.; Zhang, W.; Xin, F.; Jiang, M. Comprehensive Investigations of 2-Phenylethanol Production by High 2-Phenylethanol Tolerating Meyerozyma sp. Strain YLG18. Enzyme Microb. Technol. 2020, 140, 109629. [Google Scholar] [CrossRef]
- Dai, J.; Li, K.; Song, N.; Yao, W.; Xia, H.; Yang, Q.; Zhang, X.; Li, X.; Wang, Z.; Yao, L.; et al. Zygosaccharomyces rouxii, an Aromatic Yeast Isolated From Chili Sauce, Is Able to Biosynthesize 2-Phenylethanol via the Shikimate or Ehrlich Pathways. Front. Microbiol. 2020, 11, 597454. [Google Scholar] [CrossRef] [PubMed]
- Zhou, R.; Song, Q.; Xia, H.; Song, N.; Yang, Q.; Zhang, X.; Yao, L.; Yang, S.; Dai, J.; Chen, X. Isolation and Identification of Non-Saccharomyces Yeast Producing 2-Phenylethanol and Study of the Ehrlich Pathway and Shikimate Pathway. J. Fungi 2023, 9, 878. [Google Scholar] [CrossRef]
- Hu, D.; Jia, X.-W.; Lu, J.-L.; Lu, Z.-Y.; Tang, C.-D.; Xue, F.; Huang, C.; Ren, Q.-G.; He, Y.-C. Chemoenzymatic Asymmetric Synthesis of Chiral Triazole Fungicide (R)-Tebuconazole in High Optical Purity Mediated by an Epoxide Hydrolase from Rhodotorula paludigensis. J. Agric. Food Chem. 2024, 72, 10428–10438. [Google Scholar] [CrossRef]
- Krahe, N.-K.; Berger, R.G.; Ersoy, F. A DyP-Type Peroxidase of Pleurotus Sapidus with Alkene Cleaving Activity. Molecules 2020, 25, 1536. [Google Scholar] [CrossRef]
- Krahe, N.-K.; Berger, R.G.; Witt, M.; Zorn, H.; Omarini, A.B.; Ersoy, F. Monokaryotic Pleurotus Sapidus Strains with Intraspecific Variability of an Alkene Cleaving DyP-Type Peroxidase Activity as a Result of Gene Mutation and Differential Gene Expression. Int. J. Mol. Sci. 2021, 22, 1363. [Google Scholar] [CrossRef] [PubMed]
- Szczepańska, P.; Rychlicka, M.; Moroz, P.; Janek, T.; Gliszczyńska, A.; Lazar, Z. Elevating Phospholipids Production Yarrowia lipolytica from Crude Glycerol. Int. J. Mol. Sci. 2022, 23, 10737. [Google Scholar] [CrossRef] [PubMed]
- Wu, Y.; Li, S.; Sun, B.; Guo, J.; Zheng, M.; Li, A. Enhancing Gastrodin Production in Yarrowia lipolytica by Metabolic Engineering. ACS Synth. Biol. 2024, 13, 1332–1342. [Google Scholar] [CrossRef] [PubMed]
- Guo, F.; Dai, Z.; Peng, W.; Zhang, S.; Zhou, J.; Ma, J.; Dong, W.; Xin, F.; Zhang, W.; Jiang, M. Metabolic Engineering of Pichia pastoris for Malic Acid Production from Methanol. Biotechnol. Bioeng. 2021, 118, 357–371. [Google Scholar] [CrossRef]
- Zhang, J.; Saerens, K.M.J.; Van Bogaert, I.N.A.; Soetaert, W. Vegetable Oil Enhances Sophorolipid Production by Rhodotorula bogoriensis. Biotechnol. Lett. 2011, 33, 2417–2423. [Google Scholar] [CrossRef] [PubMed]
- Zhu, L.; Zhou, L.; Huang, N.; Cui, W.; Liu, Z.; Xiao, K.; Zhou, Z. Efficient Preparation of Enantiopure D-Phenylalanine through Asymmetric Resolution Using Immobilized Phenylalanine Ammonia-Lyase from Rhodotorula glutinis JN-1 in a Recirculating Packed-Bed Reactor. PLoS ONE 2014, 9, e108586. [Google Scholar] [CrossRef]
- Bettio, G.; Zardo, L.C.; Rosa, C.A.; Záchia Ayub, M.A. Bioconversion of Ferulic Acid into Aroma Compounds by Newly Isolated Yeast Strains of the Latin American Biodiversity. Biotechnol. Progr. 2021, 37, e3067. [Google Scholar] [CrossRef]
- Shrikhande, G.; Mulay, P.; Puskas, J.E. PEGylation of Fluorescein by Enzyme-Catalyzed “Click” Michael Addition. Macromol. Rapid Commun. 2020, 41, 2000163. [Google Scholar] [CrossRef]
- Liang, C.; Duan, X.; Gao, H.; Shahab, M.; Zheng, G. Chemoenzymatic Synthesis of (1R,3R)-3-Hydroxycyclopentanemethanol: An Intermediate of Carbocyclic-ddA. J. Biosci. Bioeng. 2024, 138, 111–117. [Google Scholar] [CrossRef]
- Hualpa-Cutipa, E.; Solórzano Acosta, R.A.; Luis-Alaya, B.; León, J.M. Extremophilic Yeasts and Their Potential in Bioremediation of Polluted Environments. In Advances in Yeast Biotechnology for Biofuels and Sustainability; Daverey, A., Dutta, K., Joshi, S., Gea, T., Eds.; Elsevier: Amsterdam, The Netherlands, 2023; pp. 521–542. ISBN 978-0-323-95449-5. [Google Scholar]
- Correa, H.T.; Vieira, W.F.; Pinheiro, T.M.A.; Cardoso, V.L.; Silveira, E.; Sette, L.D.; Pessoa, A.; Filho, U.C. L-Asparaginase and Biosurfactants Produced by Extremophile Yeasts from Antarctic Environments. Ind. Biotechnol. 2020, 16, 107–116. [Google Scholar] [CrossRef]
- Bezus, B.; Cavello, I.; Contreras-Esquivel, J.C.; Cavalitto, S. Pectinases Produced by Extremophilic Yeasts. In Value-Addition in Food Products and Processing Through Enzyme Technology; Kuddus, M., Aguilar, C.M., Eds.; Elsevier: Amsterdam, The Netherlands, 2022; pp. 437–452. ISBN 978-0-323-89929-1. [Google Scholar]
- Vashist, S.; Sharma, R. Why Settle for Mediocre, When Extremophiles Exist? In Extremophiles in Eurasian Ecosystems: Ecology, Diversity, and Applications; Egamberdieva, D., Birkeland, N.-K., Panosyan, H., Li, W.-J., Eds.; Microorganisms for Sustainability; Springer: Singapore, 2018; Volume 8, pp. 435–451. ISBN 9789811303289. [Google Scholar]
| Enzyme/Yeast | Reaction | Reference |
|---|---|---|
| Dye-decolorizing peroxidase of Pleurotus sapidus (PsaPOX) | Cleavage of alkenes for the production of aldehydes with olfactory properties for the fragrance and flavor industry | [125,126] |
| Genetically modified Y. lipolytica | Production of phospholipids (PL) used in replacement therapy for enrichment damaged cell membranes, food, cosmetic and pharmaceutical products and as lipid liposome components | [127] |
| Genetically modified Y. lipolytica | Synthesis of Gastrodin (4-hydroxybenzyl alcohol-4-O-β-D-glucopyranoside), which is widely used in the treatment of neurogenic and cardiovascular diseases | [128] |
| Recombinant P. pastoris | Production of malic acid from methanol. Malic acid is one of the top 12 building block chemicals, used extensively in the chemical, pharmaceutical, food, and agricultural industries | [129] |
| Rhodotorula bogorensis | Production of sophorolipids, glycolipid biosurfactants that have good biodegradability and low ecotoxicity. They are produced based on renewable resource substrates and are useful for various industries | [130] |
| Immobilized Phenylalanine ammonia-lyase (RgPal) from R. glutinis JN-1 | Production of optically pure D-phenylalanine through asymmetric resolution of the racemic DL-phenylalanine | [131] |
| R. mucilaginosa UFMG-CM-Y3647 | Ferulic acid (FA) consumption and conversion into aroma compounds such as vanillin, vanillic acid (VA), and 4-vinylguaiacol (VG) | [132] |
| C. antarctica lipase B (CALB) | “Click” Michael addition catalyzed between fluorescein o-acrylate and thiol-functionalized poly(ethylene glycol)s | [133] |
| CrS enoate reductase from Thermus scotoductus SA-01 | Synthesis of (1R,3R)-3-hydroxycyclopentanemethanol (intermediate of the antiviral agent carbocyclic-ddA) | [134] |
Disclaimer/Publisher’s Note: The statements, opinions and data contained in all publications are solely those of the individual author(s) and contributor(s) and not of MDPI and/or the editor(s). MDPI and/or the editor(s) disclaim responsibility for any injury to people or property resulting from any ideas, methods, instructions or products referred to in the content. |
© 2024 by the authors. Licensee MDPI, Basel, Switzerland. This article is an open access article distributed under the terms and conditions of the Creative Commons Attribution (CC BY) license (https://creativecommons.org/licenses/by/4.0/).
Share and Cite
Andreu, C.; del Olmo, M. Biocatalysis with Unconventional Yeasts. Catalysts 2024, 14, 767. https://doi.org/10.3390/catal14110767
Andreu C, del Olmo M. Biocatalysis with Unconventional Yeasts. Catalysts. 2024; 14(11):767. https://doi.org/10.3390/catal14110767
Chicago/Turabian StyleAndreu, Cecilia, and Marcel·lí del Olmo. 2024. "Biocatalysis with Unconventional Yeasts" Catalysts 14, no. 11: 767. https://doi.org/10.3390/catal14110767
APA StyleAndreu, C., & del Olmo, M. (2024). Biocatalysis with Unconventional Yeasts. Catalysts, 14(11), 767. https://doi.org/10.3390/catal14110767

