Low-Temperature NH3-SCR Technology for Industrial Application of Waste Incineration: An Overview of Research Progress
Abstract
1. Introduction

2. Low-Temperature NH3-SCR Catalysts in Waste Incineration
2.1. SO2 Resistance of SCR Catalysts
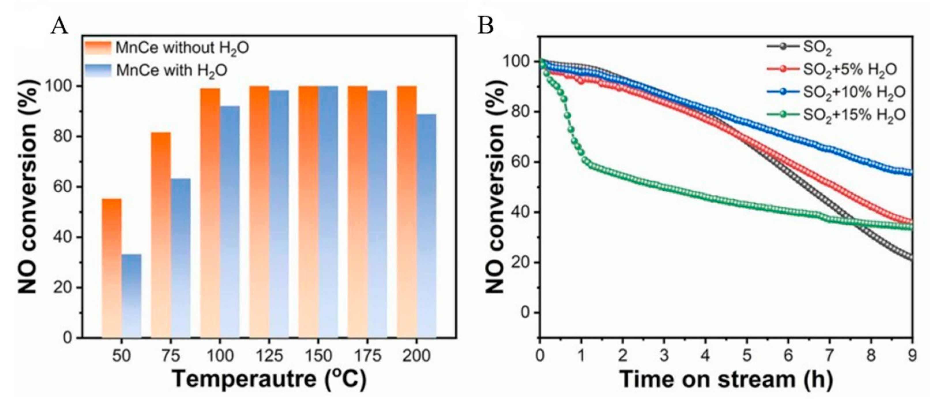
2.2. H2O and SO2 Resistance of SCR Catalysts
2.3. Synergic Removal of PCDD/PCDFs or Chlorobenzene (CBz)
2.4. Effects of Heavy Metals/Alkali Metals/Alkaline Earth Metals
3. Assembled Monolithic Catalysts
4. Pilot-Scale Research
5. Conclusions and Prospects
- (1)
- Low-temperature even ultra-low-temperature SCR technology has been successfully applied in non-electric industries. However, the poisoning effects of high content of H2O combined with low concentration of SO2 on NH3-SCR catalysts still need to be investigated based on the special working conditions of waste incineration.
- (2)
- Traditional methods for assembling monolithic catalysts are extrusion in stationary-source industrial SCR reactors, and coating cordierite catalysts are usually used in mobile source denitrification. High humidity affects the physical strength of monolithic catalysts, which may cause a collapse of catalysts.
- (3)
- For industrial applications, the pilot-scale experiment is an indispensable process. However, actual industrial flue gas may be different from simulated gas components.
Author Contributions
Funding
Data Availability Statement
Conflicts of Interest
References
- Tan, S.; Hashim, H.; Lee, C.; Taib, M.R.; Yan, J. Economical and Environmental Impact of Waste-to-Energy (WTE) Alternatives for Waste Incineration, Landfill and Anaerobic Digestion. Energy Procedia 2014, 61, 704–708. [Google Scholar] [CrossRef]
- Zhao, J.; Chen, Y.; Wang, Y.; Li, Z.; Nkinahamira, F.; Zhu, R.; Zhang, J.; Sun, S.; Zhu, Y.; Li, H.; et al. The poisoning mechanism of H2O/SO2 to In/H-Beta for selective catalytic reduction of NOx with methane. Appl. Catal. Gen. 2023, 649, 118973. [Google Scholar] [CrossRef]
- Zhao, M.; Zhu, R.; Chen, Y.; Lu, S.; Wang, Y.; Qiu, L. Defect engineering and metal confinement on titanium dioxide enhances SO2/H2O tolerance in NOx reduction: Oxygen and metal vacancies. Sep. Purif. Technol. 2024, 346, 127483. [Google Scholar] [CrossRef]
- GB 18485-2014; Standard for Pollution Control on the Municipal Solid Waste Incineration. Ministry of Environmental Protection: Beijing, China, 2014. (In Chinese)
- SZDB/Z 233–2017; Code for Operation of Domestic Waste Treatment Facilities. Code for Operation of Municipal Solid Waste Treatment Facilities. Shenzhen Municipal Administration for Market Regulation: Shenzhen, China, 2017. (In Chinese)
- Hu, C.; Liu, C.; Du, K.; Pang, C.; Zhuo, Z.; Gao, Q. Energy-saving catalyst Fe/Ce-Mn-TiO2 for efficient low temperature NH3-SCR of NOx with high water content. J. Environ. Chem. Eng. 2023, 11, 110440. [Google Scholar] [CrossRef]
- Zhu, H.; Song, L.; Li, K.; Wu, R.; Qiu, W.; He, H. Low-Temperature SCR Catalyst Development and Industrial Applications in China. Catalysts 2022, 12, 341. [Google Scholar] [CrossRef]
- Wang, P.; Yan, F.; Xie, F.; Cai, J.; Shen, X.; Wei, X.; Huang, J.; Li, Z.; Zhong, R.; Zhang, Z. The co-removal of PCDD/Fs by SCR system in a full-scale municipal solid waste incinerator: Migration-transformation and decomposition pathways. Sci. China Technol. Sci. 2022, 65, 2429–2441. [Google Scholar] [CrossRef]
- Qu, C.; Lin, S.; Zhao, D.; Zhu, J.; Zhou, H.; Xu, D. Enhancing SCR activity and anti-poisoning of MnOx/m-ZrO2 catalysts by metal doping. Catal. Commun. 2023, 185, 106809. [Google Scholar] [CrossRef]
- Zhao, T.; Huang, X.; Cui, R.; Zhang, G.; Tang, Z. Unveiling a remarkable enhancement role by designing a confined structure Ho-TNTs@Mn catalyst for low-temperature NH3-SCR reaction. Nanoscale 2023, 15, 12540–12557. [Google Scholar] [CrossRef]
- Yan, D.; Zhao, J.; Li, J.; Abbas, G.; Chen, Z.; Guo, T. Improvement of Sb-Modified Mn-Ce/TiO2 Catalyst for SO2 and H2O Resistance at Low-Temperature SCR. Catal. Lett. 2023, 153, 2838–2852. [Google Scholar] [CrossRef]
- Zhou, T.; Liu, L.; Wang, B.; Ma, S.; Dai, Z.; Jiang, W.; Jiang, X. Insights into the enhanced activity and SO2 resistance of air oxidation treated Mn-Fe doped biochar catalyst in the low-temperature catalytic reduction of NOx with NH3. Fuel 2024, 357, 129989. [Google Scholar] [CrossRef]
- Song, K.; Gao, C.; Lu, P.; Ma, D.; Cheng, Y.; Shi, J.W. Bimetallic modification of MnFeOx nanobelts with Nb and Nd for enhanced low-temperature de-NOx performance and SO2 tolerance. Fuel 2023, 331, 125861. [Google Scholar] [CrossRef]
- Rong, J.; Zhao, W.; Luo, W.; Kang, K.; Long, L.; Chen, Y.; Yao, X. Doping effect of rare earth metal ions Sm3+, Nd3+ and Ce4+ on denitration performance of MnOx catalyst in low temperature NH3-SCR reaction. J. Rare Earths 2023, 41, 1323–1335. [Google Scholar] [CrossRef]
- Zhang, K.; Luo, N.; Huang, Z.; Zhao, G.; Chu, F.; Yang, R.; Tang, X.; Wang, G.; Gao, F.; Huang, X. Recent advances in low-temperature NH3-SCR of NOx over Ce-based catalysts: Performance optimizations, reaction mechanisms and anti-poisoning countermeasures. Chem. Eng. J. 2023, 476, 146889. [Google Scholar] [CrossRef]
- Guo, K.; Ji, J.; Song, W.; Sun, J.; Tang, C.; Dong, L. Conquering ammonium bisulfate poison over low-temperature NH3-SCR catalysts: A critical review. Appl. Catal. B Environ. 2021, 297, 120388. [Google Scholar] [CrossRef]
- Luo, J.; Xu, H.; Liang, X.; Wu, S.; Liu, Z.; Tie, Y.; Li, M.; Yang, D. Research progress on selective catalytic reduction of NOx by NH3 over copper zeolite catalysts at low temperature: Reaction mechanism and catalyst deactivation. Res. Chem. Intermed. 2023, 49, 2321–2357. [Google Scholar] [CrossRef]
- Lian, Z.; Li, Y.; Shan, W.; He, H. Recent Progress on Improving Low-Temperature Activity of Vanadia-Based Catalysts for the Selective Catalytic Reduction of NOx with Ammonia. Catalysts 2020, 10, 1421. [Google Scholar] [CrossRef]
- Xu, G.; Guo, X.; Cheng, X.; Yu, J.; Fang, B. A review of Mn-based catalysts for low-temperature NH3-SCR: NOx removal and H2O/SO2 resistance. Nanoscale 2021, 13, 7052–7080. [Google Scholar] [CrossRef]
- Ye, B.; Jeong, B.; Lee, M.-j.; Kim, T.H.; Park, S.-S.; Jung, J.; Lee, S.; Kim, H.-D. Recent trends in vanadium-based SCR catalysts for NOx reduction in industrial applications: Stationary sources. Nano Converg. 2022, 9, 51. [Google Scholar] [CrossRef]
- Zhao, K.; Sun, X.; Wang, C.; Song, X.; Wang, F.; Li, K.; Ning, P. Supported catalysts for simultaneous removal of SO2, NOx, and Hg0 from industrial exhaust gases: A review. Chin. Chem. Lett. 2021, 32, 2963–2974. [Google Scholar] [CrossRef]
- Zheng, F.; Liu, C.; Ma, X.; Zhou, Z.; Lu, J. Review on NH3-SCR for simultaneous abating NOx and VOCs in industrial furnaces: Catalysts’ composition, mechanism, deactivation and regeneration. Fuel Process Technol. 2023, 247, 107773. [Google Scholar] [CrossRef]
- Yang, W.; Liu, F.; Xie, L.; Lian, Z.; He, H. Effect of V2O5 Additive on the SO2 Resistance of a Fe2O3/AC Catalyst for NH3-SCR of NOx at Low Temperatures. Ind. Eng. Chem. Res. 2016, 55, 2677–2685. [Google Scholar] [CrossRef]
- Xu, L.; Wang, C.; Chang, H.; Wu, Q.; Zhang, T.; Li, J. New Insight into SO2 Poisoning and Regeneration of CeO2-WO3/TiO2 and V2O5-WO3/TiO2 Catalysts for Low-Temperature NH3-SCR. Environ. Sci. Technol. 2018, 52, 7064–7071. [Google Scholar] [CrossRef]
- Zhang, J.; Fan, Y.; Chen, L.; Yang, L.; Zhou, L.; Luo, X.; Zou, J.; Dai, W. Promoting the catalytic activity and SO2 resistance of CeO2 by Ti-doping for low-temperature NH3-SCR: Increasing surface activity and constructing Ce3+ sites. Chem. Eng. J. 2023, 473, 145272. [Google Scholar] [CrossRef]
- Kang, T.H.; Youn, S.; Kim, D.H. Improved catalytic performance and resistance to SO2 over V2O5-WO3/TiO2 catalyst physically mixed with Fe2O3 for low-temperature NH3-SCR. Catal. Today 2021, 376, 95–103. [Google Scholar] [CrossRef]
- Wu, Q.; Chen, X.; Mi, J.; Cai, S.; Ma, L.; Zhao, W.; Chen, J.; Li, J. The Absence of Oxygen in Sulfation Promotes the Performance of the Sulfated CeO2 Catalyst for Low-Temperature Selective Catalytic Reduction of NOx by NH3: Redox Property versus Acidity. ACS Sustain. Chem. Eng. 2021, 9, 967–979. [Google Scholar] [CrossRef]
- Zhao, Q.; Huang, X.; Zhao, T.; Cui, R.; Zhang, J.; Tang, Z. Rationally Designed Confined Structure Ce-Mn-TNTs Catalyst for Low-Temperature NH3-SCR Reaction with Superior Activity and H2O/SO2 Tolerance. ACS Sustain. Chem. Eng. 2024, 12, 9987–10001. [Google Scholar] [CrossRef]
- Kuma, R.; Kitano, T.; Tsujiguchi, T.; Tanaka, T. Deactivation Mechanism and Enhanced Durability of V2O5/TiO2-SiO2-MoO3 Catalysts for NH3-SCR in the Presence of SO2. ChemCatChem 2020, 12, 5938–5947. [Google Scholar] [CrossRef]
- Luo, N.; Gao, F.; Liu, H.; Xiong, T.; Wen, J.; Duan, E.; Wang, C.; Zhao, S.; Yi, H.; Tang, X. Hierarchical structured Ti-doped CeO2 stabilized CoMn2O4 for enhancing the low-temperature NH3-SCR performance within highly H2O and SO2 resistance. Appl. Catal. B-Environ. 2024, 343, 123442. [Google Scholar] [CrossRef]
- Xu, Y.; Wang, P.; Pu, Y.; Jiang, L.; Yang, L.; Jiang, W.; Yao, L. MnCe/GAC-CNTs catalyst with high activity, SO2 and H2O tolerance for low-temperature NH3-SCR. Sep. Purif. Technol. 2023, 305, 122498. [Google Scholar] [CrossRef]
- Wang, C.; Gao, F.; Ko, S.; Liu, H.; Yi, H.; Tang, X. Structural control for inhibiting SO2 adsorption in porous MnCe nanowire aerogel catalysts for low-temperature NH3-SCR. Chem. Eng. J. 2022, 434, 134729. [Google Scholar] [CrossRef]
- Guo, X.; Bartholomew, C.; Hecker, W.; Baxter, L.L. Effects of sulfate species on V2O5/TiO2 SCR catalysts in coal and biomass-fired systems. Appl. Catal. B Environ. 2009, 92, 30–40. [Google Scholar] [CrossRef]
- Li, Z.; Gao, M.; Lv, Z.; Duan, R.; Shan, Y.; Li, H.; He, G.; He, H. Uncovering the Dinuclear Mechanism of NO2-Involved NH3–SCR over Supported V2O5/TiO2 Catalysts. Environ. Sci. Technol. 2023, 57, 17577–17587. [Google Scholar] [CrossRef]
- Li, C.; Shen, M.; Yu, T.; Wang, J.; Wang, J.; Zhai, Y. The mechanism of ammonium bisulfate formation and decomposition over V/WTi catalysts for NH3-selective catalytic reduction at various temperatures. Phys. Chem. Chem. Phys. 2017, 19, 15194–15206. [Google Scholar] [CrossRef] [PubMed]
- Song, K.; Guo, K.; Mao, S.; Ma, D.; Lv, Y.; He, C.; Wang, H.; Cheng, Y.; Shi, J.-W. Insight into the Origin of Excellent SO2 Tolerance and de-NOx Performance of quasi-Mn-BTC in the Low-Temperature Catalytic Reduction of Nitrogen Oxide. ACS Catal. 2023, 13, 5020–5032. [Google Scholar] [CrossRef]
- Song, J.; Liu, S.; Ji, Y.; Xu, W.; Yu, J.; Liu, B.; Chen, W. Dual single-atom Ce-Ti/MnO2 catalyst enhances low-temperature NH3-SCR performance with high H2O and SO2 resistance. Nano Res. 2023, 16, 299–308. [Google Scholar] [CrossRef]
- Zhang, X.; Lv, S.; Zhang, X.; Xiao, K.; Wu, X. Improvement of the activity and SO2 tolerance of Sb-modified Mn/PG catalysts for NH3-SCR at a low temperature. J. Environ. Sci. 2021, 101, 1–15. [Google Scholar] [CrossRef]
- Pu, Y.; Wang, P.; Jiang, W.; Dai, Z.; Yang, L.; Jiang, X.; Jiang, Z.; Yao, L. A novel CNTs functionalized CeO2/CNTs-GAC catalyst with high NO conversion and SO2 tolerance for low temperature selective catalytic reduction of NO by NH3. Chemosphere 2021, 284, 131377. [Google Scholar] [CrossRef]
- Fang, X.; Liu, Y.; Cheng, Y.; Cen, W. Mechanism of Ce-Modified Birnessite-MnO2 in Promoting SO2 Poisoning Resistance for Low-Temperature NH3-SCR. ACS Catal. 2021, 11, 4125–4135. [Google Scholar] [CrossRef]
- Liu, Z.; Wang, M.; Liu, S.; Chen, Z.; Yang, L.; Sun, K.; Chen, Y.; Zeng, L.; Wang, W.; Zhao, J.; et al. Design of assembled composite of Mn3O4@Graphitic carbon porous nano-dandelions: A catalyst for Low-temperature selective catalytic reduction of NOx with remarkable SO2 resistance. Appl. Catal. B-Environ. 2020, 269, 118731. [Google Scholar] [CrossRef]
- Hao, S.; Cai, Y.; Sun, C.; Sun, J.; Tang, C.; Dong, L. High Resistance of SO2 and H2O over Monolithic Mn-Fe-Ce-Al-O Catalyst for Low Temperature NH3-SCR. Catalysts 2020, 10, 1329. [Google Scholar] [CrossRef]
- Gao, F.; Tang, X.; Yi, H.; Zhao, S.; Zhu, W.; Shi, Y. Mn2NiO4 spinel catalyst for high-efficiency selective catalytic reduction of nitrogen oxides with good resistance to H2O and SO2 at low temperature. J. Environ. Sci. 2020, 89, 145–155. [Google Scholar] [CrossRef] [PubMed]
- Gao, F.; Tang, X.; Sani, Z.; Yi, H.; Zhao, S.; Yu, Q.; Zhou, Y.; Shi, Y.; Ni, S. Spinel-structured Mn-Ni nanosheets for NH3-SCR of NO with good H2O and SO2 resistance at low temperature. Catal. Sci. Technol. 2020, 10, 7486–7501. [Google Scholar] [CrossRef]
- Wang, J.; Nie, Z.; An, Z.; Bai, H.; Wang, F.; Zhang, X.; Li, Y.; Wang, C. Improvement of SO2 Resistance of Low-Temperature Mn-Based Denitration Catalysts by Fe Doping. ACS Omega 2019, 4, 3755–3760. [Google Scholar] [CrossRef]
- Zhang, N.; Li, L.; Zhang, B.; Sun, Y.; Song, L.; Wu, R.; He, H. Polytetrafluoroethylene modifying: A low cost and easy way to improve the H2O resistance ability over MnOx for low-temperature NH3-SCR. J. Environ. Chem. Eng. 2019, 7, 103044. [Google Scholar] [CrossRef]
- Li, K.; Zhou, T.; Xu, X.; Han, C.; Zhang, H.; Jin, J. PTFE-Modified Mn-Co-Based Catalytic Ceramic Filters with H2O Resistance for Low-Temperature NH3-SCR. Sustainability 2022, 14, 5353. [Google Scholar] [CrossRef]
- Chitsazi, H.; Wu, R.; Zhang, N.; He, J.; Zhang, G.; He, H. Enhancement of Low-Temperature NH3-SCR Catalytic Activity and H2O Resistance Ability Over MnOx/TiO2 Catalyst by Expanded Graphite. Catal. Lett. 2020, 150, 2688–2694. [Google Scholar] [CrossRef]
- Zhang, N.; Li, L.; Guo, Y.; He, J.; Wu, R.; Song, L.; Zhang, G.; Zhao, J.; Wang, D.; He, H. A MnO2-based catalyst with H2O resistance for NH3-SCR: Study of catalytic activity and reactants-H2O competitive adsorption. Appl. Catal. B Environ. 2020, 270, 118860. [Google Scholar] [CrossRef]
- Zhao, P.; Guo, M.; Liu, Q.; Fan, L.; Han, J.; Liu, C.; Ji, N.; Song, C.; Ma, D.; Li, Z. Novel MnaZrbCrcOx catalysts for low temperature NH3-SCR derived from high H2O content flue gas via natural gas combustion. Chem. Eng. J. 2019, 378, 122100. [Google Scholar] [CrossRef]
- Guo, M.; Zhao, P.; Liu, Q.; Liu, C.; Han, J.; Ji, N.; Song, C.; Ma, D.; Lu, X.; Liang, X.; et al. Improved Low-Temperature Activity and H2O Resistance of Fe-Doped Mn−Eu Catalysts for NO Removal by NH3−SCR. ChemCatChem 2019, 11, 4954–4965. [Google Scholar] [CrossRef]
- Ji, J.; Gao, N.; Song, W.; Tang, Y.; Cai, Y.; Han, L.; Cheng, L.; Sun, J.; Ma, S.; Chu, Y.; et al. Understanding the temperature-dependent H2O promotion effect on SO2 resistance of MnOx-CeO2 catalyst for SCR denitration. Appl. Catal. B-Environ. 2023, 324, 122263. [Google Scholar] [CrossRef]
- Wang, Y.; Xie, H.; Liu, H.; Mu, G.; Yang, C.; Chai, S. La and Co Addition to Mn/TiO2 Catalysts for Enhancing Low-Temperature Denitrification Activity and H2O/SO2 Tolerance. Ind. Eng. Chem. Res. 2023, 62, 18303–18311. [Google Scholar] [CrossRef]
- Yan, M.; Li, X.; Chen, T.; Lu, S.; Yan, J.; Cen, K. Effect of temperature and oxygen on the formation of chlorobenzene as the indicator of PCDD/Fs. J. Environ. Sci. 2010, 22, 1637–1642. [Google Scholar] [CrossRef] [PubMed]
- Lei, S.; Wang, L.; Xu, L.; Wang, B.; Sun, L. Experimental and theoretical studies on effective synergistic low-temperature removal of NO and typical volatile organic compounds (VOCs) from flue gas based on Cu@VWTi catalyst. J. Clean. Prod. 2024, 459, 142567. [Google Scholar] [CrossRef]
- Xu, M.; Liu, T.; Gao, X.; Jin, Q.; Yang, J.; Zhu, C.; Wang, S.; Xu, H. Simultaneous catalytic removal of NO and chlorobenzene over MnCeSmSnOx: Catalytic performance and removal mechanism. Chem. Phys. Impact 2023, 6, 100228. [Google Scholar] [CrossRef]
- Huang, X.; Wang, D.; Yang, Q.; Peng, Y.; Li, J. Multi-pollutant control (MPC) of NO and chlorobenzene from industrial furnaces using a vanadia-based SCR catalyst. Appl. Catal. B Environ. 2021, 285, 119835. [Google Scholar] [CrossRef]
- Jin, Q.; Shen, Y.; Mei, C.; Zhang, Y.; Zeng, Y. Catalytic removal of NO and dioxins over W-Zr-Ox/Ti-Ce-Mn-Ox from flue gas: Performance and mechanism study. Catal. Today 2022, 388–389, 372–382. [Google Scholar] [CrossRef]
- Sam-Cwan, K.; Hwan, J.S.; Il-Rok, J.; Ki-Hun, K.; Myung-Hee, K.; Jae-Hyung, K.; Jun-Heung, Y.; Seung-Jin, K.; Jae-Cheon, Y.; Dong-Hee, J. Removal efficiencies of PCDDs/PCDFs by air pollution control devices in municipal solid waste incinerators. Chemosphere 2001, 43, 773–776. [Google Scholar] [CrossRef]
- Wu, J.; Ying, Y.; Ma, Y.; Zheng, S.; Lin, X.; Li, X.; Yan, J. Influence of different loads on PCDD/F removalby SCRduring municipal solid waste incineration. Chemosphere 2023, 338, 139516. [Google Scholar] [CrossRef]
- Liu, X.; Wang, J.; Wang, X.; Zhu, T. Simultaneous removal of PCDD/Fs and NOx from the flue gas of a municipal solid waste incinerator with a pilot plant. Chemosphere 2015, 133, 90–96. [Google Scholar] [CrossRef]
- Lin, X.; Ma, Y.; Chen, Z.; Li, X.; Lu, S.; Yan, J. Effect of different air pollution control devices on the gas/solid-phase distribution of PCDD/F in a full-scale municipal solid waste incinerator. Environ. Pollut. 2020, 265, 114888. [Google Scholar] [CrossRef]
- Chi, K.H.; Chang, M.B.; Chang-Chien, G.P.; Lin, C. Characteristics of PCDD/F congener distributions in gas/particulate phases and emissions from two municipal solid waste incinerators in Taiwan. Sci. Total Environ. 2005, 347, 148–162. [Google Scholar] [CrossRef] [PubMed]
- Chang, M.B.; Chi, K.H.; Chang-Chien, G.P. Evaluation of PCDD/F congener distributions in MWI flue gas treated with SCR catalysts. Chemosphere 2004, 55, 1457–1467. [Google Scholar] [CrossRef] [PubMed]
- Ma, Y.; Lai, J.; Li, X.; Lin, X.; Li, L.; Jing, H.; Liu, T.; Yan, J. Field study on PCDD/F decomposition over VOx/TiO2 catalyst under low-temperature: Mechanism and kinetics analysis. Chem. Eng. J. 2022, 429, 132222. [Google Scholar] [CrossRef]
- Cao, J.; Tian, S.; Liu, W.; Yao, X.; Liu, Q.; Chen, Y. The combination poisoning effect of KCl and ZnCl2 on V2O5-WO3/TiO2 deNOx catalyst. J. Environ. Chem. Eng. 2024, 12, 112450. [Google Scholar] [CrossRef]
- Yan, Q.; Nie, Y.; Yang, R.; Cui, Y.; O’Hare, D.; Wang, Q. Highly dispersed CuyAlOx, mixed oxides as superior low-temperature alkali metal and SO2 resistant NH3-SCR catalysts. Appl. Catal.-Gen. 2017, 538, 37–50. [Google Scholar] [CrossRef]
- Cao, J.; Nannuzzi, C.; Lagostina, V.; Paganini, M.C.; Liu, W.; Wu, H.; Gao, Y.; Liu, Q.; Berlier, G. Insights into the poisoning mechanisms of zinc compounds on V2O5-WO3/ TiO2 catalyst for NH3-SCR: Effect of the anion species. J. Environ. Chem. Eng. 2023, 11, 109716. [Google Scholar] [CrossRef]
- Cao, J.; Rohani, S.; Liu, W.; Liu, H.; Lu, Z.; Wu, H.; Jiang, L.; Kong, M.; Liu, Q.; Yao, X. Influence of phosphorus on the NH3-SCR performance of CeO2-TiO2 catalyst for NOx removal from co-incineration flue gas of domestic waste and municipal sludge. J. Colloid Interface Sci. 2022, 610, 463–473. [Google Scholar] [CrossRef]
- Long, Y.; Su, Y.; Chen, M.; Lu, S.; Luo, X.; Zhu, Z.; Wu, Z.; Weng, X. Polymerization State of Vanadyl Species Affects the Catalytic Activity and Arsenic Resistance of the V2O5-WO3/TiO2 Catalyst in Multipollutant Control of NOx and Chlorinated Aromatics. Environ. Sci. Technol. 2023, 57, 7590–7598. [Google Scholar] [CrossRef]
- Jin, Q.; Xu, M.; Lu, Y.; Yang, B.; Ji, W.; Xue, Z.; Dai, Y.; Wang, Y.; Shen, Y.; Xu, H. Simultaneous catalytic removal of NO, mercury and chlorobenzene over WCeMnOx/TiO2-ZrO2: Performance study of microscopic morphology and phase composition. Chemosphere 2022, 295, 133794. [Google Scholar] [CrossRef]
- Liu, L.; Wu, X.; Ma, Y.; Wang, J.; Ran, R.; Si, Z.; Weng, D. Tungsten Oxide Modified V2O5-Sb2O3/TiO2 Monolithic Catalyst: NH3-SCR Activity and Sulfur Resistance. Processes 2022, 10, 1333. [Google Scholar] [CrossRef]
- Wang, J.; Miao, J.; Yu, W.; Chen, Y.; Chen, J. Study on the local difference of monolithic honeycomb V2O5-WO3/TiO2 denitration catalyst. Mater. Chem. Phys. 2017, 198, 193–199. [Google Scholar] [CrossRef]
- Huang, Y.; Yu, Z.; Guo, M.; Liu, H.; Liu, X.; Han, J.; Cui, S.; Liu, B.; Zhao, Y.; Wei, J.; et al. Coated monolithic catalysts for better selective catalytic reduction: Concerns about structural integrity, catalytic activity and anti-poisoning performance. Catal. Commun. 2023, 178, 106667. [Google Scholar] [CrossRef]
- Wang, C.; Tian, Z.; Huang, W.; Hu, J.; Xing, X. Investigation of long-term anti-sulfur and deactivation mechanism of monolithic Mn-Fe-Ce/Al2O3 catalysts for NH3-SCR: Changes in physicochemical and adsorption properties. Surf. Interfaces 2024, 48, 104295. [Google Scholar] [CrossRef]
- Zhao, S.; Song, K.; Jiang, R.; Ma, D.; Long, H.; Shi, J.-W. Sm-modified Mn-Ce oxides supported on cordierite as monolithic catalyst for the low-temperature reduction of nitrogen oxides. Catal. Today 2023, 423, 113966. [Google Scholar] [CrossRef]
- Sun, X.; Li, J.; Cui, M.; Wu, W.; Hou, L. Study on denitrification performance of rare earth tailings monolithic catalyst prepared with sulfuric acid. React. Kinet. Mech. Catal. 2024, 137, 1471–1493. [Google Scholar] [CrossRef]
- Zhang, K.; Yu, F.; Zhu, M.; Dan, J.; Wang, X.; Zhang, J.; Dai, B. Enhanced Low Temperature NO Reduction Performance via MnOx-Fe2O3/Vermiculite Monolithic Honeycomb Catalysts. Catalysts 2018, 8, 100. [Google Scholar] [CrossRef]
- Van Dongen, M.T.; Ng, D.; Moura, L.V.; Acharya, D.; Wang, J.; Easton, C.D.; Wang, F.; Xie, Z. Synthesis and characterisation of monolithic PTFE-modified MnOX/FeOX catalysts for selective catalytic reduction (SCR) of NOX at low temperature. J. Chem. Technol. Biotechnol. 2021, 96, 1016–1029. [Google Scholar] [CrossRef]
- Yao, H.; Cai, S.; Yang, B.; Han, L.; Wang, P.; Li, H.; Yan, T.; Shi, L.; Zhang, D. In situ decorated MOF-derived Mn-Fe oxides on Fe mesh as novel monolithic catalysts for NOx reduction. New J. Chem. 2020, 44, 2357–2366. [Google Scholar] [CrossRef]
- Luo, W.; Yang, L.; Zhang, Z.; Cao, G.; Li, J.; Liu, B. Flexible Ti Mesh-Supported MnOx-CuOx/TiO2 Nanosheet Monolithic Catalysts for Low-Temperature Selective Catalytic Reduction of NOx with NH3. ACS Appl. Nano Mater. 2024, 7, 6262–6272. [Google Scholar] [CrossRef]
- Liu, H.P.; Yin, H.B.; Xiong, S.C.; Fang, J.R.; Li, J.H. A pilot scale study of lowtemperature De-NOx in cement furnace. China Environ. Sci. 2021, 41, 3169–3175. [Google Scholar]
- Yang, J.; Ma, H.; Yamamoto, Y.; Yu, J.; Xu, G.; Zhang, Z.; Suzuki, Y. SCR catalyst coated on low-cost monolith support for flue gas denitration of industrial furnaces. Chem. Eng. J. 2013, 230, 513–521. [Google Scholar] [CrossRef]
- Jung, H.; Park, E.; Kim, M.; Jurng, J. Pilot-scale evaluation of a novel TiO2-supported V2O5 catalyst for DeNOx at low temperatures at a waste incinerator. Waste Manag. 2017, 61, 283–287. [Google Scholar] [CrossRef] [PubMed]
- Guo, L.; Lu, J.; Zhao, Y.; Wang, C.; Zhang, C.; Tang, C.; Dong, L.; Kong, W.; Li, Q.; Cao, P. Pilot test of environment-friendly catalysts for the DeNOx of low-temperature flue gas from a coal-fired plant. Catal. Sci. Technol. 2021, 11, 3164–3175. [Google Scholar] [CrossRef]








| Emission of Flue Gas | GB 18485-2014 (mg/m3) | New Facilities in Shenzhen (mg/m3) | Existing Facilities in Shenzhen (mg/m3) |
|---|---|---|---|
| Total dust | 20 | 8 | 10 |
| Organic matter as total C | / | 10 | 10 |
| CO | 80 | 30 | 50 |
| NOx | 250 | 80 | 80 |
| SO2 | 80 | 30 | 50 |
| HCl | 50 | 8 | 10 |
| HF | / | 1 | 1 |
| Hg | 0.05 | 0.02 | 0.05 |
| Total Cd, Ti | 0.1 | 0.04 | 0.05 |
| Total Sb, As, Pb, Cr, Co, Cu, Mn, Ni, V | 1.0 | 0.3 | 0.5 |
| PCDD/PCDF(TEQ-Vaule) doixin | 0.1 | 0.05 | 0.05 |
| Catalyst | Temperature (℃) | SO2 (ppm) | NOx Conversion | Notes | Refs. |
|---|---|---|---|---|---|
| C-O2-MF-O2 Mn/Fe = 1:0 | 150 | 50 | 60% | Calcined under two-stage air atmosphere | [12] |
| CoMn2O4/Ce0.5Ti0.5Ox | 150 | 50/100/150 | 90% | [30] | |
| Mn-Ce-Sb0.2/TiO2 | 150 | 800 | 81% | [11] | |
| Mn0.6Ce/GAC–CNTs | 150 | 50 | 93% | GAC, CNTs | [31] |
| Mn-BTC-335 °C MOF nanorod | 150 | 100 | 60% | [36] | |
| MnFeNb0.2Nd0.1Ox Nanobelt | 120 | 100 | 54% | Electrospinning method | [13] |
| Ce-Ti/MnO2 Dual single-atom | 150 | 50 | 90% | Ball-milling and calcination | [37] |
| MnCe-N | 100–350 | 250 | 90% | MnCe nanowire aerogel | [32] |
| MnSb0.156/PG | 150 | 200 | 80% | Mn-Sb0.156/palygorskite | [38] |
| NixMn3-xO4/T | 150 | 100 | 80% | Carbonaceous | |
| CeO2/CNTs–GAC | 150 | 50 | 89% | Wet impregnation method | [39] |
| Ce-MnO2 | 150 | 250 | 70% | Hydrothermal method | [40] |
| Mn3O4@GA | 160 | 50 | 80% | [41] | |
| Mn-Fe-Ce-Al-O | 100 | 50 | 80% | Monolithic catalyst | [42] |
| Mn2NiO4–CP | 125 | 150 | 60% | Co–precipitation (CP) method | [43] |
| Mn(2)Ni(1)Ox–UHHS | 125 | 50 | 75% | Urea hydrolysis hydrothermal synthesis | [44] |
| Mn-Fe-2/γ-Al2O3 | 150 | 87 | 84% | Wet impregnation method | [45] |
Disclaimer/Publisher’s Note: The statements, opinions and data contained in all publications are solely those of the individual author(s) and contributor(s) and not of MDPI and/or the editor(s). MDPI and/or the editor(s) disclaim responsibility for any injury to people or property resulting from any ideas, methods, instructions or products referred to in the content. |
© 2024 by the authors. Licensee MDPI, Basel, Switzerland. This article is an open access article distributed under the terms and conditions of the Creative Commons Attribution (CC BY) license (https://creativecommons.org/licenses/by/4.0/).
Share and Cite
Guo, Q.; Zhao, M.; Fan, H.; Zhu, R.; Zhong, R.; Bai, X. Low-Temperature NH3-SCR Technology for Industrial Application of Waste Incineration: An Overview of Research Progress. Catalysts 2024, 14, 766. https://doi.org/10.3390/catal14110766
Guo Q, Zhao M, Fan H, Zhu R, Zhong R, Bai X. Low-Temperature NH3-SCR Technology for Industrial Application of Waste Incineration: An Overview of Research Progress. Catalysts. 2024; 14(11):766. https://doi.org/10.3390/catal14110766
Chicago/Turabian StyleGuo, Qiannan, Minghu Zhao, Hongzhao Fan, Rongshu Zhu, Rigang Zhong, and Xianxiang Bai. 2024. "Low-Temperature NH3-SCR Technology for Industrial Application of Waste Incineration: An Overview of Research Progress" Catalysts 14, no. 11: 766. https://doi.org/10.3390/catal14110766
APA StyleGuo, Q., Zhao, M., Fan, H., Zhu, R., Zhong, R., & Bai, X. (2024). Low-Temperature NH3-SCR Technology for Industrial Application of Waste Incineration: An Overview of Research Progress. Catalysts, 14(11), 766. https://doi.org/10.3390/catal14110766

