Development of New Amphiphilic Catalytic Steam Additives for Hydrothermal Enhanced Oil Recovery Techniques
Abstract
:1. Introduction
2. Materials and Methods
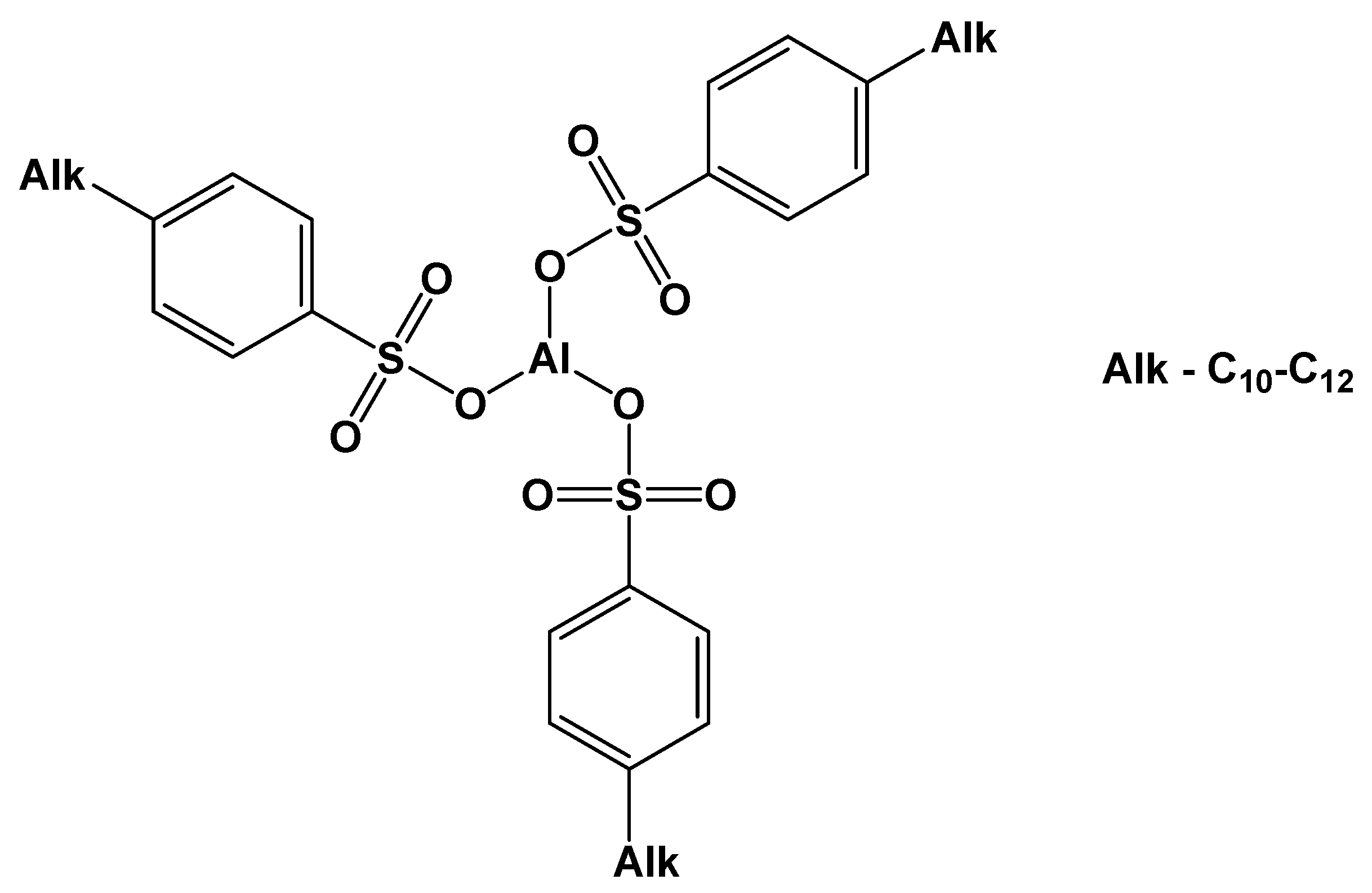
2.1. Synthesis and Characterization of Amphiphilic Catalyst
2.2. Object of Study
2.3. The Catalytic Upgrading Performance of the Developed Catalyst
2.3.1. Viscosity Measurements
2.3.2. The Group Composition of Crude Oil before and after Hydrothermal Upgrading
2.3.3. CHNS-Analysis of Upgraded Crude Oil
2.3.4. FTIR of Crude Oil before and after Upgrading Experiments
2.3.5. Gas Chromatography–Mass Spectroscopy Analysis of Saturates and Aromatics Fractions of Heavy Oil before and after Catalytic Upgrading
3. Results and Discussions
Characterization of the Synthesized Catalysts
4. Conclusions
Author Contributions
Funding
Institutional Review Board Statement
Informed Consent Statement
Data Availability Statement
Conflicts of Interest
Sample Availability
References
- Marafi, A.; Albazzaz, H.; Rana, M.S. Hydroprocessing of heavy residual oil: Opportunities and challenges. Catal. Today 2019, 329, 125–134. [Google Scholar] [CrossRef]
- Beattie, C.I.; Boberg, T.C.; McNab, G.S. Reservoir Simulation of Cyclic Steam Stimulation in the Cold Lake Oil Sands. In Proceedings of the SPE California Regional Meeting, Bakersfield, CA, USA, 5–7 April 1989. [Google Scholar]
- Butler, R. Some recent developments in SAGD. J. Can. Pet. Technol. 2001, 40. [Google Scholar] [CrossRef]
- Vega Riveros, G.; Barrios, H. Steam injection experiences in heavy and extra-heavy oil fields, Venezuela. In Proceedings of the SPE Heavy Oil Conference and Exhibition, Kuwait City, Kuwait, 12–14 December 2011. [Google Scholar]
- Shokrlu, Y.H. Enhancement of Heavy Oil/Bitumen Thermal Recovery Using Nano Metal Particles. Ph.D. Thesis, University of Alberta, Edmonton, AB, Canada, 2014. [Google Scholar]
- Aliev, F.A.; Mukhamatdinov, I.I.; Sitnov, S.A.; Ziganshina, M.R.; Onishchenko, Y.V.; Sharifullin, A.V.; Vakhin, A.V. In-situ heavy oil aquathermolysis in the presence of nanodispersed catalysts based on transition metals. Processes 2021, 9, 127. [Google Scholar] [CrossRef]
- Maity, S.K.; Ancheyta, J.; Marroquín, G. Catalytic aquathermolysis used for viscosity reduction of heavy crude oils: A review. Energy Fuels 2010, 24, 2809–2816. [Google Scholar] [CrossRef]
- Chen, M.; Li, C.; Li, G.-R.; Chen, Y.-L.; Zhou, C.-G. In situ preparation of well-dispersed CuO nanocatalysts in heavy oil for catalytic aquathermolysis. Pet. Sci. 2019, 16, 439–446. [Google Scholar] [CrossRef] [Green Version]
- Clark, P.D.; Hyne, J.B. Steam-oil chemical reactions: Mechanisms for the aquathermolysis of heavy oils. Aostra J. Res. 1984, 1, 15–20. [Google Scholar]
- Fan, H.F.; Liu, Y.J.; Zhao, X.F.; Zhong, L.G. Studies on effect of metal ions on aquathermolysis reaction of Liaohe heavy oils under steam treatment. Ranliao Huaxue Xuebao J. Fuel Chem. Technol. 2001, 29, 430–432. [Google Scholar]
- Petrukhina, N.N.; Sizova, I.A.; Maksimov, A.L. Nickel–molybdenum and cobalt–molybdenum sulfide hydrogenation and hydrodesulphurization catalysts synthesized in situ from bimetallic precursors. Catal. Ind. 2017, 9, 247–256. [Google Scholar] [CrossRef]
- Vakhin, A.V.; Aliev, F.A.; Kudryashov, S.I.; Afanasiev, I.S.; Petrashov, O.V.; Sitnov, S.A.; Mukhamatdinov, I.I.; Varfolomeev, M.A.; Nurgaliev, D.K. Aquathermolysis of heavy oil in reservoir conditions with the use of oil-soluble catalysts: Part I—Changes in composition of saturated hydrocarbons. Pet. Sci. Technol. 2018, 36, 1829–1836. [Google Scholar] [CrossRef]
- Vakhin, A.V.; Mukhamatdinov, I.I.; Aliev, F.A.; Kudryashov, S.I.; Afanasiev, I.S.; Petrashov, O.V.; Sitnov, S.A.; Chemodanov, A.E.; Varfolomeev, M.A.; Nurgaliev, D.K. Aquathermolysis of heavy oil in reservoir conditions with the use of oil-soluble catalysts: Part II—Changes in composition of aromatic hydrocarbons. Pet. Sci. Technol. 2018, 36, 1850–1856. [Google Scholar] [CrossRef]
- Vakhin, A.V.; Sitnov, S.A.; Mukhamatdinov, I.I.; Aliev, F.A.; Kudryashov, S.I.; Afanasiev, I.S.; Petrashov, O.V.; Varfolomeev, M.A.; Nurgaliev, D.K. Aquathermolysis of heavy oil in reservoir conditions with the use of oil-soluble catalysts: Part III—Changes in composition resins and asphaltenes. Pet. Sci. Technol. 2018, 36, 1857–1863. [Google Scholar] [CrossRef]
- Parra-Barraza, H.; Hernández-Montiel, D.; Lizardi, J.; Hernández, J.; Urbina, R.H.; Valdez, M.A. The zeta potential and surface properties of asphaltenes obtained with different crude oil/n-heptane proportions. Fuel 2003, 82, 869–874. [Google Scholar] [CrossRef]
- Zhang, S.; Zhang, L.; Lu, X.; Shi, C.; Tang, T.; Wang, X.; Huang, Q.; Zeng, H. Adsorption kinetics of asphaltenes at oil/water interface: Effects of concentration and temperature. Fuel 2018, 212, 387–394. [Google Scholar] [CrossRef]
- Guo, K.; Li, H.; Yu, Z. In-situ heavy and extra-heavy oil recovery: A review. Fuel 2016, 185, 886–902. [Google Scholar] [CrossRef]
- Wu, C.; Su, J.; Zhang, R.; Lei, G.; Cao, Y. The use of amphiphilic nickel chelate for catalytic aquathermolysis of extra-heavy oil under steam injection conditions. Energy Sour. Part A Recover. Util. Environ. Eff. 2014, 36, 1437–1444. [Google Scholar] [CrossRef]
- Chen, Y.; Wang, Y.; Wu, C.; Xia, F. Laboratory experiments and field tests of an amphiphilic metallic chelate for catalytic aquathermolysis of heavy oil. Energy Fuels 2008, 22, 1502–1508. [Google Scholar] [CrossRef]
- Cao, Y.B.; Zhang, L.L.; Xia, D.H. Catalytic aquathermolysis of Shengli heavy crude oil with an amphiphilic cobalt catalyst. Pet. Sci. 2016, 13, 463–475. [Google Scholar] [CrossRef] [Green Version]
- Yusuf, A.; Al-Hajri, R.S.; Al-Waheibi, Y.M.; Jibril, B.Y. Upgrading of Omani heavy oil with bimetallic amphiphilic catalysts. J. Taiwan Inst. Chem. Eng. 2016, 67, 45–53. [Google Scholar] [CrossRef]
- Padula, L.; da Silveira Balestrin, L.B.; de Oliveira Rocha, N.; de Carvalho, C.H.M.; Westfahl, H., Jr.; Cardoso, M.B.; Sabadini, E.; Loh, W. Role of asphaltenes and additives on the viscosity and microscopic structure of heavy crude oils. Energy Fuels 2016, 30, 3644–3651. [Google Scholar] [CrossRef]
- Akhmetov, B.R.; Evdokimov, I.N.; Eliseev, N.Y. Some features of the supramolecular structures in petroleum media. Chem. Technol. Fuels Oils 2002, 38, 266–270. [Google Scholar] [CrossRef]










| Characteristics | Values |
|---|---|
| Density at 20 °C, kg/m3 | 959.7 |
| Viscosity at 20 °C, mPa·s | 2676 |
| Elemental composition, wt.% | |
| carbon | 83.9 |
| hydrogen | 11.3 |
| oxygen | 1.2 |
| sulfur | 3.2 |
| nitrogen | 0.4 |
| H/C | 1.62 |
| Group composition, wt.% | |
| saturates | 26.33 |
| aromatics | 39.55 |
| resins | 27.37 |
| asphaltenes | 6.75 |
| Samples | C % | H % | N % | S % | H/C |
|---|---|---|---|---|---|
| Initial crude oil | 79.01 | 8.74 | 0.45 | 4.85 | 1.32 |
| Blank sample | 81.92 | 10.21 | 0 | 4.76 | 1.48 |
| Ni ABSA | 81.72 | 11.13 | 0 | 4.72 | 1.62 |
| Al ABSA | 79.77 | 12.46 | 0 | 4.74 | 1.86 |
Publisher’s Note: MDPI stays neutral with regard to jurisdictional claims in published maps and institutional affiliations. |
© 2022 by the authors. Licensee MDPI, Basel, Switzerland. This article is an open access article distributed under the terms and conditions of the Creative Commons Attribution (CC BY) license (https://creativecommons.org/licenses/by/4.0/).
Share and Cite
Aliev, F.; Ali Akhunov, A.; Mirzaev, O.; Vakhin, A. Development of New Amphiphilic Catalytic Steam Additives for Hydrothermal Enhanced Oil Recovery Techniques. Catalysts 2022, 12, 921. https://doi.org/10.3390/catal12080921
Aliev F, Ali Akhunov A, Mirzaev O, Vakhin A. Development of New Amphiphilic Catalytic Steam Additives for Hydrothermal Enhanced Oil Recovery Techniques. Catalysts. 2022; 12(8):921. https://doi.org/10.3390/catal12080921
Chicago/Turabian StyleAliev, Firdavs, Amirjon Ali Akhunov, Oybek Mirzaev, and Alexey Vakhin. 2022. "Development of New Amphiphilic Catalytic Steam Additives for Hydrothermal Enhanced Oil Recovery Techniques" Catalysts 12, no. 8: 921. https://doi.org/10.3390/catal12080921
APA StyleAliev, F., Ali Akhunov, A., Mirzaev, O., & Vakhin, A. (2022). Development of New Amphiphilic Catalytic Steam Additives for Hydrothermal Enhanced Oil Recovery Techniques. Catalysts, 12(8), 921. https://doi.org/10.3390/catal12080921

