error_outline You can access the new MDPI.com website here. Explore and share your feedback with us.
 
 
Sign in to use this feature.

Years

Between: -

Subjects

remove_circle_outline
remove_circle_outline
remove_circle_outline
remove_circle_outline
remove_circle_outline
remove_circle_outline

Journals

Article Types

Countries / Regions

Search Results (38)

Search Parameters:
Keywords = aquathermolysis

Order results
Result details
Results per page
Select all
Export citation of selected articles as:
18 pages, 13450 KB  
Article
Formation of η-Carbides by Mechanical Alloying of Co25Mo25C50 and Their Performance in Hydrodesulfurization
by Brenda Edith García Caudillo, Ignacio Carvajal-Mariscal, Adriana Isabel Reyes de la Torre, Jesús Noé Rivera Olvera, Vicente Garibay Febles, Leonardo González Reyes and Lucía Graciela Díaz Barriga Arceo
Processes 2025, 13(10), 3080; https://doi.org/10.3390/pr13103080 - 26 Sep 2025
Viewed by 525
Abstract
Cobalt–molybdenum η-carbides are attractive hydrodesulfurization (HDS) catalysts, yet controlling their phase composition and nanostructure remains challenging. Here, a Co25Mo25C50 powder was prepared by mechanical alloying in a horizontal mill, with and without superimposed vertical vibration. Phase composition [...] Read more.
Cobalt–molybdenum η-carbides are attractive hydrodesulfurization (HDS) catalysts, yet controlling their phase composition and nanostructure remains challenging. Here, a Co25Mo25C50 powder was prepared by mechanical alloying in a horizontal mill, with and without superimposed vertical vibration. Phase composition was determined by X-ray diffraction using the reference-intensity-ratio method, and the nanostructure was examined by SEM and HRTEM. Aquathermolysis of a heavy crude was monitored by ATR-FTIR in the window characteristic of S–S and C–S vibrations. Both milling routes produced the η-carbides Co3Mo3C and Co6Mo6C, as well as Co2Mo3, Co7Mo6, and Co3C; vibration-assisted milling increased the Co6Mo6C fraction and generated thin lamellae exhibiting Moiré contrast. In FTIR, the Co6Mo6C-rich powder showed strong attenuation of the disulfide and thioether bands, whereas the Co3Mo3C-rich powder behaved similarly to the water-only baseline under mild conditions (100 °C, 4 h). These results indicate that mechanical alloying with superposed vibration enables control over phase and nanostructure, and that a higher Co6Mo6C fraction correlates with a stronger HDS response under aquathermolysis. The approach offers a scalable route to Co–Mo carbides that are active for desulfurization at 100 °C in water without added H2. Full article
Show Figures

Figure 1

19 pages, 3119 KB  
Article
Aquathermolytic Upgrading of Zarafshanian Extra Heavy Oil Using Ammonium Alum
by Amirjon Ali Akhunov, Firdavs Aliev, Nurali Mukhamadiev, Oscar Facknwie Kahwir, Alexey Dengaev, Mohammed Yasin Majeed, Mustafa Esmaeel, Abdulvahhab Al-Qaz, Oybek Mirzaev and Alexey Vakhin
Molecules 2025, 30(14), 3013; https://doi.org/10.3390/molecules30143013 - 18 Jul 2025
Viewed by 1058
Abstract
The growing global demand for energy necessitates the efficient utilization of unconventional petroleum resources, particularly heavy oil reserves. However, extracting, transporting, and processing these resources remain challenging due to their low mobility, low API gravity, and significant concentrations of resins, asphaltenes, heteroatoms, and [...] Read more.
The growing global demand for energy necessitates the efficient utilization of unconventional petroleum resources, particularly heavy oil reserves. However, extracting, transporting, and processing these resources remain challenging due to their low mobility, low API gravity, and significant concentrations of resins, asphaltenes, heteroatoms, and metals. In recent years, various in situ upgrading techniques have been explored to enhance heavy oil quality, with catalytic aquathermolysis emerging as a promising approach. The effectiveness of this process largely depends on the development of cost-effective, environmentally friendly catalysts. This study investigates the upgrading performance of water-soluble ammonium alum, (NH4)Al(SO4)2·12H2O, for an extra-heavy oil sample from the Zarafshan Depression, located along the Tajikistan–Uzbekistan border. Comprehensive analyses demonstrate that the catalyst facilitates the breakdown of heavy oil components, particularly resins and asphaltenes, into lighter fractions. As a result, oil viscosity was significantly reduced by 94%, while sulfur content decreased from 896 ppm to 312 ppm. Furthermore, thermogravimetric (TG-DTG) analysis, coupled with Fourier-transform infrared spectroscopy (FT-IR), scanning electron microscopy (SEM), and X-ray diffraction (XRD), revealed that the thermal decomposition of ammonium alum produces catalytically active Al2O3 nanoparticles. These findings suggest that ammonium alum is a highly effective water-soluble pre-catalyst for hydrothermal upgrading, offering a viable and sustainable solution for the development of extra-heavy oil fields. Full article
Show Figures

Figure 1

14 pages, 1815 KB  
Article
Influence of Oil-Soluble Catalyst on Composition and Structure of Heavy Oil from Samara Region Field
by Mohammed O. N. Ali, Irek I. Mukhamatdinov, Boudkhil Affane, Rezeda E. Mukhamatdinova, Vladimir E. Katnov and Alexey V. Vakhin
ChemEngineering 2025, 9(1), 11; https://doi.org/10.3390/chemengineering9010011 - 20 Jan 2025
Viewed by 1094
Abstract
In this study, an examination was conducted of the influence of iron tallate on the composition and properties of highly viscous oil from the Strelovskoye deposit in the Samara region under thermal–catalytic treatment (TCT). The research revealed that the dynamic viscosity of the [...] Read more.
In this study, an examination was conducted of the influence of iron tallate on the composition and properties of highly viscous oil from the Strelovskoye deposit in the Samara region under thermal–catalytic treatment (TCT). The research revealed that the dynamic viscosity of the oil following TCT at 300 °C, with a measurement temperature of 20 °C, decreased by a factor of 8 in comparison to the initial sample and nearly 4.5 times compared to the control sample at the 96-h mark. The most promising results in reducing the pour point temperature to 7 °C were identified following a 96-h TCT at 300 °C. This reduction was attributed to the decrease in paraffin content facilitated by the presence of the catalyst. According to the ICP-MS results, the extraction of the catalyst with the oil amounted to only 1%. This indicates that during the implementation of TCT within the reservoir, the catalyst is likely to adsorb onto the rock surfaces. Full article
Show Figures

Figure 1

23 pages, 17524 KB  
Article
Synergistic Catalysis of Water-Soluble Exogenous Catalysts and Reservoir Minerals during the Aquathermolysis of Heavy Oil
by Qian Wang, Shu Zhang, Xiang Chen, Jianjun Ni, Jialu Du, Yongfei Li, Xin Xin, Bin Zhao and Gang Chen
Molecules 2024, 29(16), 3761; https://doi.org/10.3390/molecules29163761 - 8 Aug 2024
Cited by 4 | Viewed by 1549
Abstract
Oil serves as the essential fuel and economic foundation of contemporary industry. However, the use of traditional light crude oil has exceeded its supply, making it challenging to meet the energy needs of humanity. Consequently, the extraction of heavy oil has become crucial [...] Read more.
Oil serves as the essential fuel and economic foundation of contemporary industry. However, the use of traditional light crude oil has exceeded its supply, making it challenging to meet the energy needs of humanity. Consequently, the extraction of heavy oil has become crucial in addressing this demand. This research focuses on the synthesis of several water-soluble catalysts that can work along with reservoir minerals to catalyze the hydrothermal cracking process of heavy oil. The goal is to effectively reduce the viscosity of heavy oil and lower the cost of its extraction. Based on the experimental findings, it was observed that when oil sample 1 underwent hydrothermal cracking at a temperature of 180 °C for a duration of 4 h, the amount of water added and catalyst used were 30% and 0.2% of the oil sample dosage, respectively. It was further discovered that the synthesized Mn(II)C was able to reduce the viscosity of oil sample 1 by 50.38%. The investigation revealed that the combination of Mn(II)C + K exhibited a significant synergistic catalytic impact on reducing viscosity. Initially, the viscosity reduction rate was 50.38%, which climbed to 61.02%. Subsequently, when catalyzed by the hydrogen supply agent isopropanol, the rate of viscosity reduction rose further to 91.22%. Several methods, such as freezing point analysis, thermogravimetric analysis, DSC analysis, component analysis, gas chromatography, wax crystal morphology analysis, and GC-MS analysis, were conducted on aqueous organic matter derived from heavy oil after undergoing different reaction systems. These analyses confirmed that the viscosity of the heavy oil was decreased. By studying the reaction mechanism of the model compound and analyzing the aqueous phase, the reaction largely involves depolymerization between macromolecules, breakdown of heteroatom chains, hydrogenation, ring opening, and other related consequences. These actions diminish the strength of the van der Waals force and hydrogen bond in the recombinant interval, impede the creation of a grid-like structure in heavy oil, and efficiently decrease its viscosity. Full article
Show Figures

Figure 1

13 pages, 3586 KB  
Article
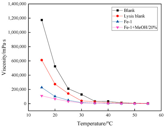
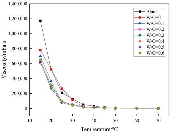
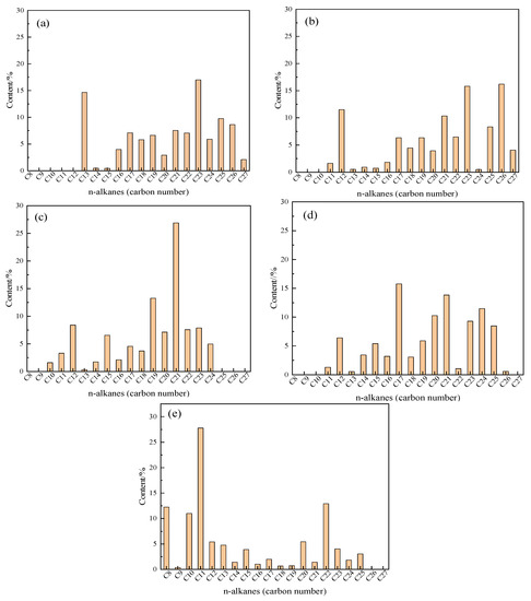
Water-Soluble Fe(III) Complex Catalyzed Coupling Aquathermolysis of Water-Heavy Oil-Methanol
by Shijun Chen, Shu Zhang, Jinchao Feng, Xiaolong Long, Tianbao Hu and Gang Chen
Catalysts 2024, 14(6), 353; https://doi.org/10.3390/catal14060353 - 30 May 2024
Cited by 8 | Viewed by 1355
Abstract
In this experimental study, diverse water-soluble Fe(III) complexes were synthesized and employed to catalyze the aquathermolysis of heavy oil. A ternary reaction system comprising heavy oil, water, and methanol was established to facilitate the process. Viscometry, thermogravimetric analysis, DSC, and elemental analysis were [...] Read more.
In this experimental study, diverse water-soluble Fe(III) complexes were synthesized and employed to catalyze the aquathermolysis of heavy oil. A ternary reaction system comprising heavy oil, water, and methanol was established to facilitate the process. Viscometry, thermogravimetric analysis, DSC, and elemental analysis were utilized to thoroughly investigate the treated heavy oil. The findings reveal that, under optimal conditions of water, catalyst, and methanol dosage, the viscosity of heavy oil can be significantly reduced by up to 88.22% after reacting at 250 °C for 12 h. Notably, apart from viscosity reduction, the catalytic aquathermolysis also effectively removes heteroatoms such as sulfur, nitrogen, and oxygen, enabling in situ modification and viscosity reduction of heavy oil. This study demonstrates the potential of water-soluble Fe(III) complexes in enhancing the efficiency of heavy oil extraction and processing. Full article
(This article belongs to the Section Industrial Catalysis)
Show Figures

Figure 1

15 pages, 5285 KB  
Article
Enhanced Aquathermolysis of Water–Heavy Oil–Ethanol Catalyzed by B@Zn(II)L at Low Temperature
by Zhe Shen, Xiangqing Fang, Wenbo He, Le Zhang, Yongfei Li, Guobin Qi, Xin Xin, Bin Zhao and Gang Chen
Molecules 2024, 29(9), 2057; https://doi.org/10.3390/molecules29092057 - 29 Apr 2024
Cited by 5 | Viewed by 1463
Abstract
In order to study the synergistic effects of exogenous catalysts and in situ minerals in the reservoir during heavy oil aquathermolysis, in this paper, a series of simple supported transition metal complexes were prepared using sodium citrate, chloride salts and bentonite, and their [...] Read more.
In order to study the synergistic effects of exogenous catalysts and in situ minerals in the reservoir during heavy oil aquathermolysis, in this paper, a series of simple supported transition metal complexes were prepared using sodium citrate, chloride salts and bentonite, and their catalytic viscosity reduction performances for heavy oil were investigated. Bentonite complex catalyst marked as B@Zn(II)L appears to be the most effective complex. B@Zn(II)L was characterized by scanning electron microscopy (SEM), Fourier-Transform Infrared (FTIR) spectroscopy, thermo-gravimetric analysis (TGA) and N2 adsorption–desorption isotherms. Under optimized conditions, the viscosity of the heavy oil was decreased by 88.3%. The reaction temperature was reduced by about 70 °C compared with the traditional reaction. The results of the group composition analysis and the elemental content of the heavy oil indicate that the resin and asphaltene content decreases, and the saturated and aromatic HC content increases. The results of TGA and DSC of the heavy oil show that the macromolecular substances in the heavy oil were cracked into small molecules with low boiling points by the reaction. GC-MS examination of water-soluble polar compounds post-reaction indicates that B@Zn(II)L can diminish the quantity of polar substances in heavy oil and lower the aromatic nature of these compounds. Thiophene and quinoline were utilized as model compounds to investigate the reaction mechanism. GC-MS analysis revealed that C-C, C-N and C-S bonds were cleaved during the reaction, leading to a decrease in the viscosity of heavy oil. Full article
Show Figures

Figure 1

19 pages, 6670 KB  
Article
Oil-Soluble Exogenous Catalysts and Reservoir Minerals Synergistically Catalyze the Aquathermolysis of Heavy Oil
by Yongfei Li, Shu Zhang, Ying Wang, Guobin Qi, Tao Yu, Xin Xin, Bin Zhao and Gang Chen
Molecules 2023, 28(19), 6766; https://doi.org/10.3390/molecules28196766 - 22 Sep 2023
Cited by 20 | Viewed by 2058
Abstract
Oil is the “blood” and economic lifeblood of modern industry, but traditional light crude oil has been over-consumed, and it has been difficult to meet human demand for energy, so the exploitation of heavy oil is particularly important. In this paper, an oil-soluble [...] Read more.
Oil is the “blood” and economic lifeblood of modern industry, but traditional light crude oil has been over-consumed, and it has been difficult to meet human demand for energy, so the exploitation of heavy oil is particularly important. In this paper, an oil-soluble catalyst was synthesized to catalyze the pyrolysis reaction of heavy oil in collaboration with reservoir minerals, so as to achieve efficient viscosity reduction of heavy oil and reduce production costs. The experimental results showed that Zn(II)O + K had the best synergistic viscosity reduction effect after the aquathermolysis of No. 1 oil sample under the reaction conditions of 180 °C, 4 h, 30% of water, and 0.2% of catalyst, respectively, and the viscosity reduction rate was 61.74%. Under the catalysis of the isopropanol system, the viscosity reduction rate was increased to 91.22%. A series of characterizations such as freezing point, thermogravimetric analysis, DSC analysis, component analysis, gas chromatography, wax crystal morphology analysis, and GC-MS analysis of aqueous organic matter were carried out on heavy oil after reaction by different reaction systems, and it could be verified that the viscosity of heavy oil was reduced. Finally, through the study of the reaction mechanism of the model compound, combined with the aqueous phase analysis, it can be clearly found that the depolymerization between macromolecules, the breaking of heteroatom chains, hydrogenation, ring opening, and other effects mainly occur during the reaction, thereby weakening the van der Waals force and hydrogen bond of the recombinant interval, inhibiting the formation of grid structure in heavy oil and effectively reducing the viscosity of heavy oil. Full article
Show Figures

Figure 1

14 pages, 3824 KB  
Article
Synergistic Catalysis of Reservoir Minerals and Exogenous Catalysts on Aquathermolysis of Heavy Oil
by Yunlei Zang, Huaizhu Liu, Dong Chen, Shu Zhang, Shanjian Li and Gang Chen
Processes 2023, 11(9), 2635; https://doi.org/10.3390/pr11092635 - 4 Sep 2023
Cited by 12 | Viewed by 1840
Abstract
In this study, based on existing heavy oil extraction technology, combined with the mineral composition in a reservoir, the synergistic catalytic effect of reservoir minerals and exogenous catalysts under the reaction system of a hydrogen-rich environment not only reduces the viscosity of thick [...] Read more.
In this study, based on existing heavy oil extraction technology, combined with the mineral composition in a reservoir, the synergistic catalytic effect of reservoir minerals and exogenous catalysts under the reaction system of a hydrogen-rich environment not only reduces the viscosity of thick oil but also reduces the extraction cost and further improves the recovery rate of heavy oil. In this study, the impacts of different reservoir minerals and exogenous catalysts on the aquathermolysis of heavy oil were investigated. The research results showed that the sodium montmorillonite within the reservoir minerals exhibited an optimal catalytic effect, and the synergistic catalytic effect of sodium montmorillonite and catalyst C-Fe (catechol iron) resulted in a viscosity reduction rate of 60.47%. Furthermore, the efficiency of different alcohols as hydrogen donors was screened, among which ethanol had the best catalytic effect. Under the optimal reaction conditions, the viscosity reduction rate after the addition of ethanol was 75.25%. Infrared spectroscopy, elemental analysis, thermogravimetry, and differential scanning calorimetry were used to study the changes in heavy oil before and after hydrothermal cracking. Element analysis showed that the synergistic catalytic effect of sodium-based montmorillonite and catalyst C-Fe increased the hydrocarbon ratio from 0.116 to 0.117, and the content of S and N elements decreased. This fully confirms the catalytic effect of sodium-based montmorillonite and C-Fe catalyst for he hydrogenation reaction of the unsaturated carbon in heavy oil. Full article
Show Figures

Figure 1

18 pages, 4810 KB  
Article
The Catalytic Upgrading Performance of NiSO4 and FeSO4 in the Case of Ashal’cha Heavy Oil Reservoir
by Yasser I. I. Abdelsalam, Leysan A. Akhmetzyanova, Lilia Kh. Galiakhmetova, Gadel F. Baimukhametov, Rustam R. Davletshin, Aleksey V. Dengaev, Firdavs A. Aliev and Alexey V. Vakhin
Processes 2023, 11(8), 2426; https://doi.org/10.3390/pr11082426 - 11 Aug 2023
Cited by 14 | Viewed by 2806
Abstract
Aquathermolysis is a promising process for improving the quality of heavy oil under reservoir conditions. However, the application of catalysts during the process can significantly promote the transformation of the heavy fragments and heteroatom-containing compounds of crude oil mixtures into low-molecular-weight hydrocarbons. This [...] Read more.
Aquathermolysis is a promising process for improving the quality of heavy oil under reservoir conditions. However, the application of catalysts during the process can significantly promote the transformation of the heavy fragments and heteroatom-containing compounds of crude oil mixtures into low-molecular-weight hydrocarbons. This research paper conducted a comparative analysis of the catalytic effectiveness of water-soluble metal salts like NiSO4 and FeSO4 in the process of aquathermolysis to upgrade heavy oil samples extracted from the Ashal’cha reservoir. The temperature of the experiment was 300 °C for a duration of 24 h. Compared to the viscosity of the native crude oil, the Fe nanoparticles contributed to a 60% reduction in viscosity. The viscosity alteration is explained by the chemical changes observed in the composition of heavy oil after catalytic (FeSO4) aquathermolysis, where the asphaltene and resin contents were altered by 7% and 17%, accordingly. Moreover, the observed aquathermolytic upgrading of heavy oil in the presence of FeSO4 led to an increase in the yield of gasoline fraction by 13% and diesel fraction by 53%. The H/C ratio, which represents the hydrogenation of crude oil, increased from 1.52 (before catalytic upgrading) to 1.99 (after catalytic upgrading). The results of Chromatomass (GC MS) and Fourier-transform infrared spectroscopy (FT-IR) show the intensification of destructive hydrogenation reactions in the presence of water-soluble catalysts. According to the XRD and SEM-EDX results, the metal salts are thermally decomposed during the aquathermolysis process into the oxides of corresponding metals and are particularly sulfided by the sulfur-containing aquathermolysis products. Full article
Show Figures

Figure 1

12 pages, 1372 KB  
Article
Thermochemical Upgrading of Heavy Crude Oil in Reservoir Conditions
by Temurali Kholmurodov, Oybek Mirzaev, Boudkhil Affane, Arash Tajik, Ksenia Romanova, Yuriy Galyametdinov, Aleksey Dengaev and Alexey Vakhin
Processes 2023, 11(7), 2156; https://doi.org/10.3390/pr11072156 - 19 Jul 2023
Cited by 10 | Viewed by 2727
Abstract
The purpose of this study is to enhance the quality of heavy oil through refinement using aquathermolysis with the simultaneous injection of steam and thermally stable nonionic surfactants (NS). To achieve this, the NS R-PPG of the nonionic type was synthesized, and the [...] Read more.
The purpose of this study is to enhance the quality of heavy oil through refinement using aquathermolysis with the simultaneous injection of steam and thermally stable nonionic surfactants (NS). To achieve this, the NS R-PPG of the nonionic type was synthesized, and the optimal product structures were characterized using infrared (IR) methods. Furthermore, the thermal stability of the synthesized NS R-PPG was investigated in line with the requirements for surfactants used in heavy oil applications. Subsequently, the study delved into investigating the hydrothermal upgrading of heavy oil with a catalyst, involving the joint participation of steam and surfactants at a temperature of 250 °C. Additionally, we assessed the improved oil characteristics resulting from the experimental process through SARA analysis, elemental analysis, GC, and viscosity reduction evaluations. The experimental results demonstrated distinct effects concerning the presence and absence of surfactants on heavy oil. Based on these findings, we conclude that surfactants play a crucial role in dispersing asphaltene clusters, thereby facilitating the decomposition process under mild thermobaric conditions, leading to a noticeable increase in the content of light fractions. Furthermore, as per the results of the elemental analysis, surfactants contribute significantly to the desulfurization of heavy oil. Overall, the incorporation of surfactants during hydrothermal upgrading resulted in an irreversible reduction in the viscosity of heavy oil, thereby enhancing its overall quality. Full article
Show Figures

Figure 1

17 pages, 3580 KB  
Article
Aquathermolysis of Heavy Crude Oil: Comparison Study of the Performance of Ni(CH3COO)2 and Zn(CH3COO)2 Water-Soluble Catalysts
by Yasser I. I. Abdelsalam, Firdavs A. Aliev, Oybek O. Mirzayev, Sergey A. Sitnov, Vladimir E. Katnov, Leysan A. Akhmetzyanova, Rezeda E. Mukhamatdinova and Alexey V. Vakhin
Catalysts 2023, 13(5), 873; https://doi.org/10.3390/catal13050873 - 11 May 2023
Cited by 15 | Viewed by 4469
Abstract
Aquathermolysis is one of the crucial processes being considered to successfully upgrade and irreversibly reduce the high viscosity of heavy crude oil during steam enhanced oil recovery technologies. The aquathermolysis of heavy oil can be promoted by transition metal-based catalysts. In this study, [...] Read more.
Aquathermolysis is one of the crucial processes being considered to successfully upgrade and irreversibly reduce the high viscosity of heavy crude oil during steam enhanced oil recovery technologies. The aquathermolysis of heavy oil can be promoted by transition metal-based catalysts. In this study, the catalytic performance of two water-soluble catalysts Ni(CH3COO)2 and Zn(CH3COO)2 on the aquathermolytic upgrading of heavy oil at 300 °C for 24 h was investigated in a high pressure–high temperature (HP-HT) batch reactor. The comparison study showed that nickel acetate is more effective than zinc acetate in terms of viscosity reduction at 20 °C (58% versus 48%). The viscosity alteration can be mainly explained by the changes in the group composition, where the content of resins and asphaltenes in the upgraded heavy crude oil sample in the presence of nickel catalyst was reduced by 44% and 13%, respectively. Moreover, the nickel acetate-assisted aquathermolysis of heavy oil contributed to the increase in the yield of gasoline and diesel oil fractions by 33% and 29%, respectively. The activity of the compared metal acetates in hydrogenation of the crude oil was judged by the results of the atomic H/C ratio. The atomic H/C ratio of crude oil upgraded in the presence of Ni(CH3COO)2 was significantly increased from 1.52 to 2.02. In addition, the catalyst contributed to the desulfurization of crude oil, reducing the content of sulfur in crude oil from 5.55 wt% to 4.51 wt% The destructive hydrogenation of resins and asphaltenes was supported by the results of gas chromatography-mass spectroscopy (GC-MS) and Fourier-transform infrared (FT-IR) spectroscopy analysis methods. The obtained experimental results showed that using water-soluble catalysts is effective in promoting the aquathermolytic reactions of heavy oil and has a great potential for industrial-scale applications. Full article
Show Figures

Figure 1

18 pages, 4037 KB  
Article
Use of Nickel Oxide Catalysts (Bunsenites) for In-Situ Hydrothermal Upgrading Process of Heavy Oil
by Jiménez Padilla Pedro Alonso, Richard Djimasbe, Rustem Zairov, Chengdong Yuan, Ameen A. Al-Muntaser, Alexey Stepanov, Guliya Nizameeva, Alexey Dovzhenko, Muneer A. Suwaid, Mikhail A. Varfolomeev and Almaz L. Zinnatullin
Nanomaterials 2023, 13(8), 1351; https://doi.org/10.3390/nano13081351 - 12 Apr 2023
Cited by 10 | Viewed by 3274
Abstract
In this study, Nickel oxide-based catalysts (NixOx) were synthesized and used for the in-situ upgrading process of heavy crude oil (viscosity 2157 mPa·s, and API gravity of 14.1° at 25 °C) in aquathermolysis conditions for viscosity reduction and heavy [...] Read more.
In this study, Nickel oxide-based catalysts (NixOx) were synthesized and used for the in-situ upgrading process of heavy crude oil (viscosity 2157 mPa·s, and API gravity of 14.1° at 25 °C) in aquathermolysis conditions for viscosity reduction and heavy oil recovery. All characterizations of the obtained nanoparticles catalysts (NixOx) were performed through Scanning Electron Microscopy (SEM), Transmission Electron Microscopy (TEM), Atomic Force Microscopy (AFM), X-Ray and Diffraction (XRD), and ASAP 2400 analyzer from Micromeritics (USA), methods. Experiments of catalytic and non-catalytic upgrading processes were carried out in a discontinuous reactor at a temperature of 300 °C and 72 bars for 24 h and 2% of catalyst ratio to the total weight of heavy crude oil. XRD analysis revealed that the use of nanoparticles of NiO significantly participated in the upgrading processes (by desulfurization) where different activated form catalysts were observed, such as α-NiS, β-NiS, Ni3S4, Ni9S8, and NiO. The results of viscosity analysis, elemental analysis, and 13C NMR analysis revealed that the viscosity of heavy crude oil decreased from 2157 to 800 mPa·s, heteroatoms removal from heavy oil ranged from S—4.28% to 3.32% and N—0.40% to 0.37%, and total content of fractions (ΣC8–C25) increased from 59.56% to a maximum of 72.21%, with catalyst-3 thank to isomerization of normal and cyclo-alkanes and dealkylation of lateral chains of aromatics structures, respectively. Moreover, the obtained nanoparticles showed good selectivity, promoting in-situ hydrogenation-dehydrogenation reactions, and hydrogen redistribution over carbons (H/C) is improved, ranging from 1.48 to a maximum of 1.77 in sample catalyst-3. On the other hand, the use of nanoparticle catalysts have also impacted the hydrogen production, where the H2/CO provided from the water gas shift reaction has increased. Nickel oxide catalysts have the potential for in-situ hydrothermal upgrading of heavy crude oil because of their great potential to catalyze the aquathermolysis reactions in the presence of steam. Full article
Show Figures

Figure 1

15 pages, 3860 KB  
Article
Influence of Sodium Metal Nanoparticles on the Efficiency of Heavy Oil Aquathermolysis
by Vladimir E. Katnov, Sofya A. Trubitsina, Aydar A. Kayumov, Firdavs A. Aliev, Nafis A. Nazimov, Aleksey V. Dengaev and Alexey V. Vakhin
Catalysts 2023, 13(3), 609; https://doi.org/10.3390/catal13030609 - 17 Mar 2023
Cited by 13 | Viewed by 3388
Abstract
In this study, for the first time we investigated the in situ upgrading performance of Na metal nanoparticles, which were obtained by dispersing small pieces of sodium in liquid paraffin up to certain dispersity. In situ aquathermolytic reactions were modeled in a high [...] Read more.
In this study, for the first time we investigated the in situ upgrading performance of Na metal nanoparticles, which were obtained by dispersing small pieces of sodium in liquid paraffin up to certain dispersity. In situ aquathermolytic reactions were modeled in a high pressure–high temperature reactor coupled with a Gas Chromatography (GC) system at a temperature of 250 °C for 24 h using a heavy oil sample, produced from the Ashal’cha reservoir, Republic of Tatarstan (Russia). The mean particle size of Na nanoparticles was 6.5 nm determined by the Dynamic Light Scattering (DLS) method. The nanoparticles were introduced to the reaction medium with a concentration of 2 wt.% The upgrading performance of Na nanoparticles was evaluated by several analytical methods such as Gas Chromatography (GC), elemental analysis (CHNS), SARA, Gas Chromatography–Mass Spectroscopy (GC-MS), FT-IR spectroscopy and viscosity measurements. It was revealed that Na nanoparticles interact with water to yield hydrogen gas, the concentration of which increases from 0.015 to 0.805 wt.% Moreover, the viscosity of upgraded heavy oil was reduced by more than 50% and the content of low-molecular-weight hydrocarbons in saturated and aromatics fractions was increased. The Na nanoparticles contributed to the utilization of hydrogen sulfide and carbon dioxide by 99 and 94 wt.%, respectively. Full article
Show Figures

Figure 1

21 pages, 4127 KB  
Article
The Effect of Sodium Bentonite in the Thermo-Catalytic Reduction of Viscosity of Heavy Oils
by Zhichao Zhou, Wangyuan Zhang, Tao Yu, Yongfei Li, Alena Struhárová, Marián Matejdes, Michal Slaný and Gang Chen
Molecules 2023, 28(6), 2651; https://doi.org/10.3390/molecules28062651 - 15 Mar 2023
Cited by 21 | Viewed by 2877
Abstract
To study the synergistic catalysis of an ex situ catalyst and in situ clay in the aquathermolysis of heavy oil, in this paper, a series of bentonite-supported catechol-metal complexes were prepared, and the catalytic viscosity reduction performance in the aquathermolysis of heavy oil [...] Read more.
To study the synergistic catalysis of an ex situ catalyst and in situ clay in the aquathermolysis of heavy oil, in this paper, a series of bentonite-supported catechol-metal complexes were prepared, and the catalytic viscosity reduction performance in the aquathermolysis of heavy oil was investigated. Under the optimized conditions, the viscosity can be reduced by 73%, and the pour point can be lowered by 15.0 °C at most, showing the synergistic catalysis of the ex situ catalyst and in situ clay in this aquathermolytic reaction. Thermogravimetry, physical adsorption-desorption, and scanning electron microscopy were conducted to characterize the thermal stability and microstructure of the ex situ catalyst. The components of the heavy oil before and after the reaction were fully characterized. Six model compounds were used to simulate the aquathermolysis reaction process. In order to study the mechanism of viscosity reduction after the catalytic aquathermolysis reaction, the compounds were analyzed by GC-MS. It is believed that these results will be beneficial in the future for related research in this field. Full article
(This article belongs to the Special Issue Catalysis by Hybrid Materials)
Show Figures

Figure 1

12 pages, 2094 KB  
Article
Catalytic Low-Temperature Thermolysis of Heavy Oil in the Presence of Fullerene C60 Nanoparticles in Aquatic and N2 Medium
by Yasser I. I. Abdelsalam, Firdavs A. Aliev, Renat F. Khamidullin, Aleksey V. Dengaev, Vladimir E. Katnov and Alexey V. Vakhin
Catalysts 2023, 13(2), 347; https://doi.org/10.3390/catal13020347 - 3 Feb 2023
Cited by 6 | Viewed by 2888
Abstract
Catalytic thermolysis is considered to be an effective process for viscosity reduction, the conversion of high-molecular components of oil (resins and asphaltenes) into light hydrocarbons, and the desulfurization of hydrocarbons. In this paper, we conducted non-catalytic and catalytic thermolysis of a heavy oil [...] Read more.
Catalytic thermolysis is considered to be an effective process for viscosity reduction, the conversion of high-molecular components of oil (resins and asphaltenes) into light hydrocarbons, and the desulfurization of hydrocarbons. In this paper, we conducted non-catalytic and catalytic thermolysis of a heavy oil sample isolated from the Ashalcha oil field (Tatarstan, Russia) at a temperature of 250 °C. Fullerene C60 nanoparticles were applied to promote selective low-temperature thermolytic reactions in the heavy oil, which increase the depth of heavy oil upgrading and enhance the flow behavior of viscous crude oil. In addition, the influence of water content on the performance of heavy oil thermolysis was evaluated. It was found that water contributes to the cracking of high-molecular components such as resins and asphaltenes. The destruction products lead to the improvement of group and fractional components of crude oil. The results of the experiments showed that the content of asphaltenes after the aquatic thermolysis of the heavy oil sample in the presence of fullerene C60 was reduced by 35% in contrast to the initial crude oil sample. The destructive hydrogenation processes resulted in the irreversible viscosity reduction of the heavy oil sample from 3110 mPa.s to 2081 mPa.s measured at a temperature of 20 °C. Thus, the feasibility of using fullerene C60 as an additive in order to increase the yield of light fractions and reduce viscosity is confirmed. Full article
(This article belongs to the Special Issue Catalysis in Aquathermolysis of Heavy Oil)
Show Figures

Graphical abstract

Back to TopTop