Longitudinal FDG-PET Radiomics for Early Prediction of Treatment Response to Chemoradiation in Locally Advanced Cervical Cancer: A Pilot Study
Simple Summary
Abstract
1. Introduction
2. Materials and Methods
2.1. PET Imaging and Patient Population
2.2. Radiomics Analysis and Feature Extraction
2.3. Feature Selection and Model Construction
2.4. Statistical Analysis
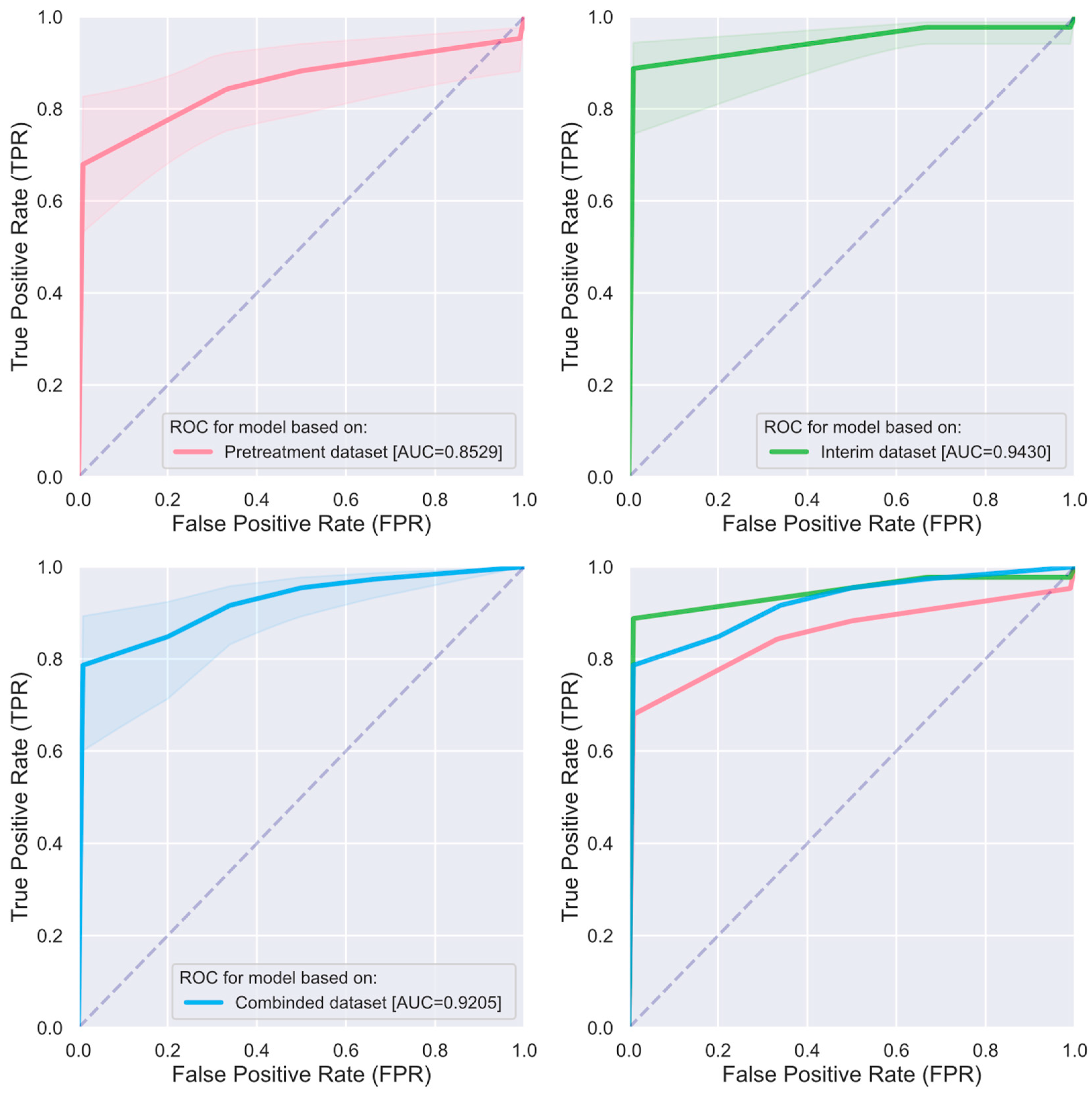
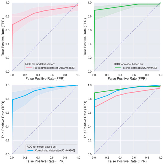
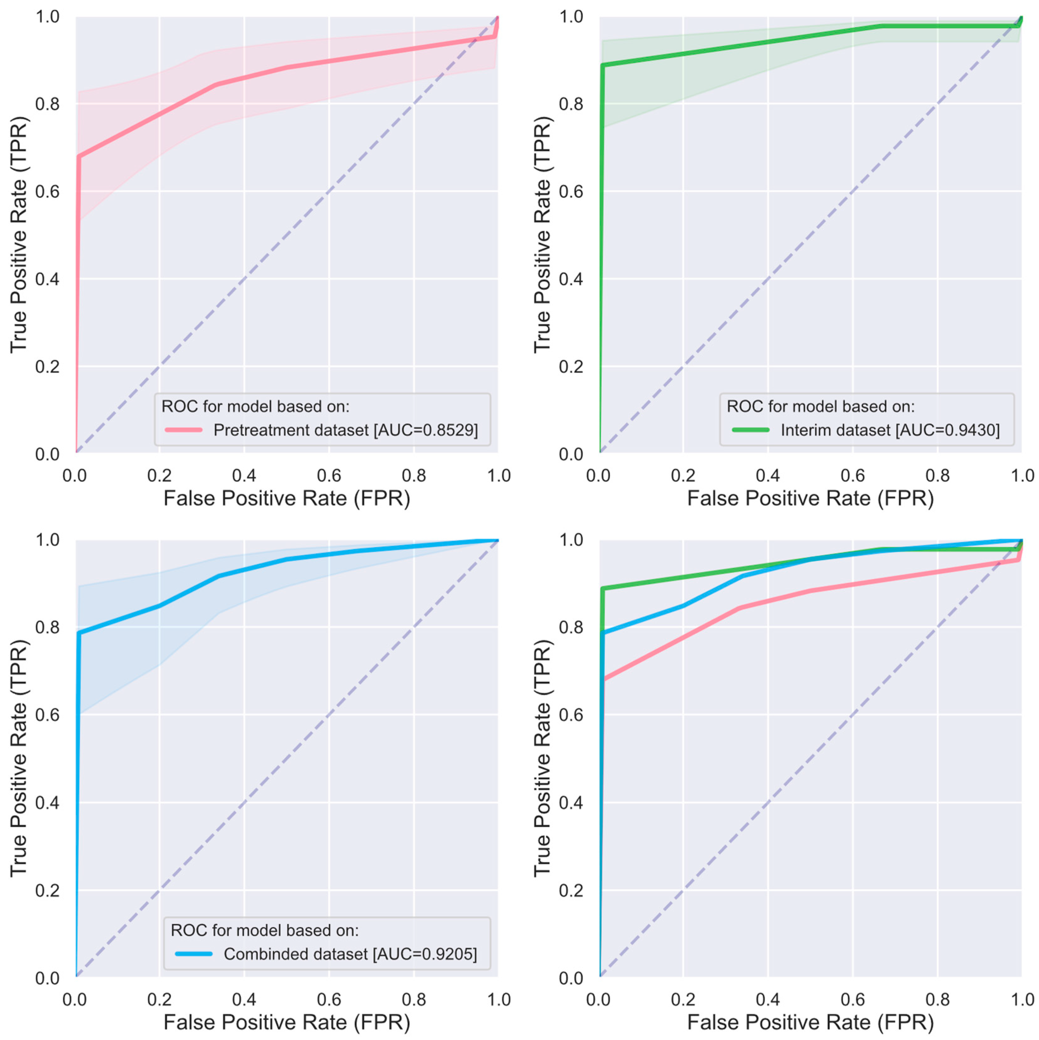
3. Results
4. Discussion
5. Conclusions
Author Contributions
Funding
Institutional Review Board Statement
Informed Consent Statement
Data Availability Statement
Conflicts of Interest
References
- Zhang, X.; Zeng, Q.; Cai, W.; Ruan, W. Trends of cervical cancer at global, regional, and national level: Data from the Global Burden of Disease study 2019. BMC Public Health 2021, 21, 894. [Google Scholar] [CrossRef] [PubMed]
- Barwick, T.D.; Taylor, A.; Rockall, A. Functional imaging to predict tumor response in locally advanced cervical cancer. Curr. Oncol. Rep. 2013, 15, 549–558. [Google Scholar] [CrossRef] [PubMed]
- Yang, F.; Thomas, M.A.; Dehdashti, F.; Grigsby, P.W. Temporal analysis of intratumoral metabolic heterogeneity characterized by textural features in cervical cancer. Eur. J. Nucl. Med. Mol. Imaging 2013, 40, 716–727. [Google Scholar] [CrossRef]
- Rohren, E.M.; Turkington, T.G.; Coleman, R.E. Clinical applications of PET in oncology. Radiology 2004, 231, 305–332. [Google Scholar] [CrossRef]
- Herrera, F.G.; Prior, J.O. The role of PET/CT in cervical cancer. Front. Oncol. 2013, 3, 34. [Google Scholar] [CrossRef]
- Roberts, C.; Liyanage, S.H.; Harry, V.N.; Rockall, A.G. Functional imaging for assessing tumor response in cancer of the cervix. Womens Health 2011, 7, 487–497. [Google Scholar] [CrossRef]
- Yang, F.; Grigsby, P.W. A segmentation framework towards automatic generation of boost subvolumes for FDG-PET tumors: A digital phantom study. Eur. J. Radiol. 2012, 81, 4123–4130. [Google Scholar] [CrossRef] [PubMed]
- Davidson, S.E.; West, C.M.L.; Roberts, S.A.; Hendry, J.H.; Hunter, R.D. Radiosensitivity testing of primary cervical-carcinoma—Evaluation of intra-tumor and inter-tumor heterogeneity. Radiother. Oncol. 1990, 18, 349–356. [Google Scholar] [CrossRef]
- Gillies, R.J.; Kinahan, P.E.; Hricak, H. Radiomics: Images Are More than Pictures, They Are Data. Radiology 2016, 278, 563–577. [Google Scholar] [CrossRef]
- Tomaszewski, M.R.; Gillies, R.J. The biological meaning of radiomic features. Radiology 2021, 298, 505–516. [Google Scholar] [CrossRef]
- Apostolova, I.; Ego, K.; Steffen, I.G.; Buchert, R.; Wertzel, H.; Achenbach, H.J.; Riedel, S.; Schreiber, J.; Schultz, M.; Furth, C. The asphericity of the metabolic tumour volume in NSCLC: Correlation with histopathology and molecular markers. Eur. J. Nucl. Med. Mol. Imaging 2016, 43, 2360–2373. [Google Scholar] [CrossRef] [PubMed]
- Bundschuh, R.A.; Dinges, J.; Neumann, L.; Seyfried, M.; Zsótér, N.; Papp, L.; Rosenberg, R.; Becker, K.; Astner, S.T.; Henninger, M. Textural parameters of tumor heterogeneity in 18F-FDG PET/CT for therapy response assessment and prognosis in patients with locally advanced rectal cancer. J. Nucl. Med. 2014, 55, 891–897. [Google Scholar] [CrossRef]
- Grabinska, K.; Pelak, M.; Wydmanski, J.; Tukiendorf, A.; d’Amico, A. Prognostic value and clinical correlations of 18-fluorodeoxyglucose metabolism quantifiers in gastric cancer. World J. Gastroenterol. 2015, 21, 5901. [Google Scholar] [CrossRef] [PubMed]
- Yang, F.; Young, L.A.; Johnson, P.B. Quantitative radiomics: Validating image textural features for oncological PET in lung cancer. Radiother. Oncol. 2018, 129, 209–217. [Google Scholar] [CrossRef]
- Alderuccio, J.P.; Kuker, R.A.; Yang, F.; Moskowitz, C.H. Quantitative PET-based biomarkers in lymphoma: Getting ready for primetime. Nat. Rev. Clin. Oncol. 2023, 20, 640–657. [Google Scholar] [CrossRef]
- Burchardt, E.; Bos-Liedke, A.; Serkowska, K.; Cegla, P.; Piotrowski, A.; Malicki, J. Value of [18F] FDG PET/CT radiomic parameters in the context of response to chemotherapy in advanced cervical cancer. Sci. Rep. 2023, 13, 9092. [Google Scholar] [CrossRef]
- Lucia, F.; Visvikis, D.; Desseroit, M.-C.; Miranda, O.; Malhaire, J.-P.; Robin, P.; Pradier, O.; Hatt, M.; Schick, U. Prediction of outcome using pretreatment 18 F-FDG PET/CT and MRI radiomics in locally advanced cervical cancer treated with chemoradiotherapy. Eur. J. Nucl. Med. Mol. Imaging 2018, 45, 768–786. [Google Scholar] [CrossRef] [PubMed]
- Ferreira, M.; Lovinfosse, P.; Hermesse, J.; Decuypere, M.; Rousseau, C.; Lucia, F.; Schick, U.; Reinhold, C.; Robin, P.; Hatt, M. [18 F] FDG PET radiomics to predict disease-free survival in cervical cancer: A multi-scanner/center study with external validation. Eur. J. Nucl. Med. Mol. Imaging 2021, 48, 3432–3443. [Google Scholar] [CrossRef]
- Mayr, N.; Yuh, W.; Bowen, S.; Harkenrider, M.; Knopp, M.; Lee, E.; Leung, E.; Lo, S.; Small, W., Jr.; Wolfson, H. Cervical Cancer—Tumor Heterogeneity: Serial Functional and Molecular Imaging Across the Radiation Therapy Course in Advanced Cervical Cancer (Version 1). Cancer Imaging Arch. 2023. [Google Scholar] [CrossRef]
- Clark, K.; Vendt, B.; Smith, K.; Freymann, J.; Kirby, J.; Koppel, P.; Moore, S.; Phillips, S.; Maffitt, D.; Pringle, M. The Cancer Imaging Archive (TCIA): Maintaining and operating a public information repository. J. Digit. Imaging 2013, 26, 1045–1057. [Google Scholar] [CrossRef]
- Bowen, S.R.; Yuh, W.T.C.; Hippe, D.S.; Wu, W.; Partridge, S.C.; Elias, S.; Jia, G.; Huang, Z.; Sandison, G.A.; Nelson, D.; et al. Tumor radiomic heterogeneity: Multiparametric functional imaging to characterize variability and predict response following cervical cancer radiation therapy. J. Magn. Reson. Imaging 2018, 47, 1388–1396. [Google Scholar] [CrossRef] [PubMed]
- Schaue, D.; Micewicz, E.D.; Ratikan, J.A.; Xie, M.W.; Cheng, G.; McBride, W.H. Radiation and inflammation. Semin. Radiat. Oncol. 2015, 25, 4–10. [Google Scholar] [CrossRef]
- Weichselbaum, R.R.; Liang, H.; Deng, L.; Fu, Y.-X. Radiotherapy and immunotherapy: A beneficial liaison? Nat. Rev. Clin. Oncol. 2017, 14, 365–379. [Google Scholar] [CrossRef]
- Vadi, S.K.; Mittal, B.R. FDG PET/CT in Treatment Response Evaluation of Gynecological Malignancies. In Atlas of Clinical PET-CT in Treatment Response Evaluation in Oncology; Springer: Berlin/Heidelberg, Germany, 2021; pp. 297–332. [Google Scholar]
- Eminowicz, G.; Hall-Craggs, M.; Diez, P.; McCormack, M. Improving target volume delineation in intact cervical carcinoma: Literature review and step-by-step pictorial atlas to aid contouring. Pract. Radiat. Oncol. 2016, 6, e203–e213. [Google Scholar] [CrossRef] [PubMed]
- Leijenaar, R.T.H.; Nalbantov, G.; Carvalho, S.; van Elmpt, W.J.C.; Troost, E.G.C.; Boellaard, R.; Aerts, H.J.W.L.; Gillies, R.J.; Lambin, P. The effect of SUV discretization in quantitative FDG-PET Radiomics: The need for standardized methodology in tumor texture analysis. Sci. Rep. 2015, 5, 11075. [Google Scholar] [CrossRef]
- Johnson, P.B.; Young, L.A.; Lamichhane, N.; Patel, V.; Chinea, F.M.; Yang, F. Quantitative imaging: Correlating image features with the segmentation accuracy of PET based tumor contours in the lung. Radiother. Oncol. 2017, 123, 257–262. [Google Scholar] [CrossRef] [PubMed]
- Haralick, R.M. Statistical and structural approaches to texture. Proc. IEEE 1979, 67, 786–804. [Google Scholar] [CrossRef]
- Yang, F.; Dogan, N.; Stoyanova, R.; Ford, J. Evaluation of radiomic texture feature error due to MRI acquisition and reconstruction: A simulation study utilizing ground truth. Phys. Med. 2018, 50, 26–36. [Google Scholar] [CrossRef]
- Galloway, M.M. Texture analysis using gray level run lengths. Comput. Graphic. Image Process. 1975, 4, 172–179. [Google Scholar] [CrossRef]
- Ford, J.; Dogan, N.; Young, L.; Yang, F. Quantitative Radiomics: Impact of Pulse Sequence Parameter Selection on MRI-Based Textural Features of the Brain. Contrast Media Mol. Imaging 2018, 2018, 1729071. [Google Scholar] [CrossRef]
- Stoecker, W.V.; Chiang, C.S.; Moss, R.H. Texture in skin images: Comparison of three methods to determine smoothness. Comput. Med. Imaging Graph. 1992, 16, 179–190. [Google Scholar] [CrossRef] [PubMed]
- Sun, C.; Wee, W.G. Neighboring gray level dependence matrix for texture classification. Comput. Vis. Graph. Image Process. 1983, 23, 341–352. [Google Scholar] [CrossRef]
- Altmann, A.; Toloşi, L.; Sander, O.; Lengauer, T. Permutation importance: A corrected feature importance measure. Bioinformatics 2010, 26, 1340–1347. [Google Scholar] [CrossRef]
- Breiman, L. Random forests. Mach. Learn. 2001, 45, 5–32. [Google Scholar] [CrossRef]
- Dau, H.A.; Bagnall, A.; Kamgar, K.; Yeh, C.-C.M.; Zhu, Y.; Gharghabi, S.; Ratanamahatana, C.A.; Keogh, E. The UCR time series archive. IEEE/CAA J. Autom. Sin. 2019, 6, 1293–1305. [Google Scholar] [CrossRef]
- Kohavi, R. A study of cross-validation and bootstrap for accuracy estimation and model selection. In Proceedings of the 14th International Joint Conference on Artificial Intelligence, Montreal, QC, Canada, 20–25 August 1995; pp. 1137–1145. [Google Scholar]
- Kruskal, W.H.; Wallis, W.A. Use of ranks in one-criterion variance analysis. J. Am. Stat. Assoc. 1952, 47, 583–621. [Google Scholar] [CrossRef]
- Fawcett, T. An introduction to ROC analysis. Pattern Recognit. Lett. 2006, 27, 861–874. [Google Scholar] [CrossRef]
- Hosmer, D.W., Jr.; Lemeshow, S.; Sturdivant, R.X. Applied Logistic Regression; John Wiley & Sons: Hoboken, NJ, USA, 2013; Volume 398. [Google Scholar]
- DeLong, E.R.; DeLong, D.M.; Clarke-Pearson, D.L. Comparing the areas under two or more correlated receiver operating characteristic curves: A nonparametric approach. Biometrics 1988, 44, 837–845. [Google Scholar] [CrossRef]
- Aerts, H.J.; Velazquez, E.R.; Leijenaar, R.T.; Parmar, C.; Grossmann, P.; Carvalho, S.; Cavalho, S.; Bussink, J.; Monshouwer, R.; Haibe-Kains, B.; et al. Decoding tumour phenotype by noninvasive imaging using a quantitative radiomics approach. Nat. Commun. 2014, 5, 4006. [Google Scholar] [CrossRef]
- Lambin, P.; Rios-Velazquez, E.; Leijenaar, R.; Carvalho, S.; van Stiphout, R.G.; Granton, P.; Zegers, C.M.; Gillies, R.; Boellard, R.; Dekker, A.; et al. Radiomics: Extracting more information from medical images using advanced feature analysis. Eur. J. Cancer 2012, 48, 441–446. [Google Scholar] [CrossRef]
- Yang, F.; Ford, J.C.; Dogan, N.; Padgett, K.R.; Breto, A.L.; Abramowitz, M.C.; Dal Pra, A.; Pollack, A.; Stoyanova, R. Magnetic resonance imaging (MRI)-based radiomics for prostate cancer radiotherapy. Transl. Androl. Urol. 2018, 7, 445–458. [Google Scholar] [CrossRef] [PubMed]
- van Griethuysen, J.J.M.; Fedorov, A.; Parmar, C.; Hosny, A.; Aucoin, N.; Narayan, V.; Beets-Tan, R.G.H.; Fillion-Robin, J.-C.; Pieper, S.; Aerts, H.J.W.L. Computational Radiomics System to Decode the Radiographic Phenotype. Cancer Res. 2017, 77, e104–e107. [Google Scholar] [CrossRef] [PubMed]
- van Timmeren, J.E.; Cester, D.; Tanadini-Lang, S.; Alkadhi, H.; Baessler, B. Radiomics in medical imaging-”how-to” guide and critical reflection. Insights Imaging 2020, 11, 91. [Google Scholar] [CrossRef] [PubMed]
- Park, J.E.; Kim, H.S. Radiomics as a Quantitative Imaging Biomarker: Practical Considerations and the Current Standpoint in Neuro-oncologic Studies. Nucl. Med. Mol. Imaging 2018, 52, 99–108. [Google Scholar] [CrossRef]
- López-Ratón, M.; Rodríguez-Álvarez, M.X.; Cadarso-Suárez, C.; Gude-Sampedro, F. Optimal Cutpoints: An R package for selecting optimal cutpoints in diagnostic tests. J. Stat. Softw. 2014, 61, 1–36. [Google Scholar] [CrossRef]
- Rose, P.G.; Bundy, B.N. Chemoradiation for locally advanced cervical cancer: Does it help? J. Clin. Oncol. 2002, 20, 891–893. [Google Scholar] [CrossRef]
- Keys, H.M.; Bundy, B.N.; Stehman, F.B.; Muderspach, L.I.; Chafe, W.E.; Suggs, C.L.; Walker, J.L.; Gersell, D. Cisplatin, radiation, and adjuvant hysterectomy compared with radiation and adjuvant hysterectomy for bulky stage IB cervical carcinoma. N. Engl. J. Med. 1999, 340, 1154–1161. [Google Scholar] [CrossRef]
- Vittinghoff, E.; McCulloch, C.E. Relaxing the rule of ten events per variable in logistic and Cox regression. Am. J. Epidemiol. 2007, 165, 710–718. [Google Scholar] [CrossRef]
- Concato, J.; Shah, N.; Horwitz, R.I. Randomized, controlled trials, observational studies, and the hierarchy of research designs. In Research Ethics; Routledge: London, UK, 2017; pp. 207–212. [Google Scholar]




| Category | Feature |
|---|---|
| Gray-level Co-occurrence Matrix (GLCM) | Autocorrelation, Cluster prominence, Cluster shade, Cluster tendency, Contrast, Correlation, Difference average, Difference entropy, Inverse difference, Difference variance, Inverse difference moment, Inverse difference moment normalized, Inverse difference normalized, Inverse variance, Joint entropy, Informational measure of correlation 1, Informational measure of correlation 2, Joint average, Joint energy, Maximal correlation coefficient, Maximum probability, Sum average, Sum entropy, Sum squares |
| Gray-level Dependence Matrix (GLDM) | Dependence entropy, Dependence nonuniformity, Dependence nonuniformity normalized, Dependence variance, Gray-level nonuniformity, Gray-level variance, High gray-level emphasis, Large dependence emphasis, Large dependence high gray-level emphasis, Large dependence low gray-level emphasis, Low gray-level emphasis, Small dependence emphasis, Small dependence high gray-level emphasis, Small dependence low gray-level emphasis |
| Gray-level Run Length Matrix (GLRLM) | Gray-level nonuniformity, Gray-level nonuniformity normalized, Gray-level variance, High gray-level run emphasis, Long run emphasis, Long run high gray-level emphasis, Long run low gray-level emphasis, Low gray-level run emphasis, Run entropy, Run length nonuniformity, Run length nonuniformity normalized, Run percentage, Run variance, Short run emphasis, Short run high gray-level emphasis, Short run low gray-level emphasis |
| Neighboring Gray Tone Difference Matrix (NGTDM) | Busyness, Coarseness, Complexity, Contrast, Strength |
Disclaimer/Publisher’s Note: The statements, opinions and data contained in all publications are solely those of the individual author(s) and contributor(s) and not of MDPI and/or the editor(s). MDPI and/or the editor(s) disclaim responsibility for any injury to people or property resulting from any ideas, methods, instructions or products referred to in the content. |
© 2024 by the authors. Licensee MDPI, Basel, Switzerland. This article is an open access article distributed under the terms and conditions of the Creative Commons Attribution (CC BY) license (https://creativecommons.org/licenses/by/4.0/).
Share and Cite
Cepero, A.; Yang, Y.; Young, L.; Huang, J.; Ji, X.; Yang, F. Longitudinal FDG-PET Radiomics for Early Prediction of Treatment Response to Chemoradiation in Locally Advanced Cervical Cancer: A Pilot Study. Cancers 2024, 16, 3813. https://doi.org/10.3390/cancers16223813
Cepero A, Yang Y, Young L, Huang J, Ji X, Yang F. Longitudinal FDG-PET Radiomics for Early Prediction of Treatment Response to Chemoradiation in Locally Advanced Cervical Cancer: A Pilot Study. Cancers. 2024; 16(22):3813. https://doi.org/10.3390/cancers16223813
Chicago/Turabian StyleCepero, Alejandro, Yidong Yang, Lori Young, Jianfeng Huang, Xuemei Ji, and Fei Yang. 2024. "Longitudinal FDG-PET Radiomics for Early Prediction of Treatment Response to Chemoradiation in Locally Advanced Cervical Cancer: A Pilot Study" Cancers 16, no. 22: 3813. https://doi.org/10.3390/cancers16223813
APA StyleCepero, A., Yang, Y., Young, L., Huang, J., Ji, X., & Yang, F. (2024). Longitudinal FDG-PET Radiomics for Early Prediction of Treatment Response to Chemoradiation in Locally Advanced Cervical Cancer: A Pilot Study. Cancers, 16(22), 3813. https://doi.org/10.3390/cancers16223813

