Skin Toxicity as a Predictor of Survival in Metastatic Colorectal Cancer Patients Treated with Anti-EGFR: Fact or Fallacy?
Abstract
Simple Summary
Abstract
1. Introduction
2. Material and Methods
2.1. Design and Participants
2.2. Clinicopathological Variables and Measurement Outcomes
2.3. Statistical Analyses
3. Result
3.1. Patients’ Characteristics
3.2. EGFR Expression Levels in CRCs and Skin Reactions with Anti-EGFR Inhibitor
3.3. Association of Variables with OS and PFS
3.4. Association of Skin Reactions with Age and Gender
3.4.1. Acne with Age and Gender
3.4.2. Paronychia with Age and Gender
4. Discussion
5. Limitations
6. Conclusions
Author Contributions
Funding
Institutional Review Board Statement
Informed Consent Statement
Data Availability Statement
Conflicts of Interest
References
- International Agency for Research on Cancer. Estimated Age-Standardized Incidence and Mortality Rates (World) in 2020, Worldwide, Both Sexes, All Ages. Available online: https://gco.iarc.fr/today/online-analysis-multi-bars (accessed on 23 July 2022).
- Health Promotion Administration, Ministry of Health and Welfare. Cancer Registry Annual Report. Taiwan. 2019. Available online: https://www.hpa.gov.tw/Pages/Detail.aspx?nodeid=269&pid=14913 (accessed on 23 July 2022).
- National Cancer Institute. Colon and Rectal Cancer 5-Year Survival. Available online: https://seer.cancer.gov/statistics-network/explorer/application.html?site=20&data_type=4&graph_type=5&compareBy=stage&chk_stage_104=104&chk_stage_105=105&chk_stage_106=106&chk_stage_107=107&series=9&sex=1&race=1&age_range=1&advopt_precision=1&advopt_show_ci=on&hdn_view=1#tableWrap (accessed on 23 July 2022).
- Mousazadeh, N.; Gharbavi, M.; Rashidzadeh, H.; Nosrati, H.; Danafar, H.; Johari, B. Anticancer evaluation of methotrexate and curcumin-coencapsulated niosomes against colorectal cancer cell lines. Nanomedicine 2022, 17, 201–217. [Google Scholar] [CrossRef]
- Bigdelou, Z.; Mortazavi, Y.; Saltanatpour, Z.; Asadi, Z.; Kadivar, M.; Johari, B. Role of Oct4-Sox2 complex decoy oligodeoxynucleotides strategy on reverse epithelial to mesenchymal transition (EMT) induction in HT29-ShE encompassing enriched cancer stem-like cells. Mol. Biol. Rep. 2020, 47, 1859–1869. [Google Scholar] [CrossRef]
- Johari, B.; Rezaeejam, H.; Moradi, M.; Taghipour, Z.; Saltanatpour, Z.; Mortazavi, Y.; Nasehi, L. Increasing the colon cancer cells sensitivity toward radiation therapy via application of Oct4-Sox2 complex decoy oligodeoxynucleotides. Mol. Biol. Rep. 2020, 47, 6793–6805. [Google Scholar] [CrossRef]
- National Comprehensive Cancer Network. NCCN Guidelines of Rectal Cancer. Available online: https://www.nccn.org/guidelines/guidelines-detail?category=1&id=1461 (accessed on 23 July 2022).
- Hino, H.; Shiomi, A.; Hatakeyama, K.; Kagawa, H.; Manabe, S.; Yamaoka, Y.; Nagashima, T.; Ohshima, K.; Urakami, K.; Akiyama, Y.; et al. Comprehensive genetic characterization of rectal cancer in a large cohort of Japanese patients: Differences according to tumor location. J. Gastroenterol. 2022, 57, 476–485. [Google Scholar] [CrossRef] [PubMed]
- Lacouture, M.E.; Anadkat, M.; Jatoi, A.; Garawin, T.; Bohac, C.; Mitchell, E. Dermatologic Toxicity Occurring During Anti-EGFR Monoclonal Inhibitor Therapy in Patients with Metastatic Colorectal Cancer: A Systematic Review. Clin. Color. Cancer 2018, 17, 85–96. [Google Scholar] [CrossRef]
- Panariello, L.; Donnarumma, M.; Iaffaioli, R.V.; Chiodini, P.; Annunziata, M.C.; Peduto, T.; Fabbrocini, G. Skin Toxicities during Colorectal Cancer Chemotherapy: Incidence and Pearls of Treatment in Our Experience. Clin. Color. Cancer 2020, 19, e235–e242. [Google Scholar] [CrossRef]
- Chiang, T.Y.; Hsu, H.C.; Jane, S.W.; Chen, S.C. EGFRI-associated health-related quality of life by severity of skin toxicity in metastatic colorectal cancer patients receiving epidermal growth factor receptor inhibitor target therapy. Support Care Cancer 2020, 28, 4771–4779. [Google Scholar] [CrossRef]
- Kashiwa, M.; Matsushita, R. Cost-effectiveness of preemptive skin treatment to prevent skin-toxicity caused by panitumumab in third-line therapy for KRAS wild type metastatic colorectal cancer in Japan. J. Pharm. Health Care Sci. 2021, 7, 35. [Google Scholar] [CrossRef]
- Lacouture, M.E.; Mitchell, E.P.; Piperdi, B.; Pillai, M.V.; Shearer, H.; Iannotti, N.; Xu, F.; Yassine, M. Skin toxicity evaluation protocol with panitumumab (STEPP), a phase II, open-label, randomized trial evaluating the impact of a pre-Emptive Skin treatment regimen on skin toxicities and quality of life in patients with metastatic colorectal cancer. J. Clin. Oncol. 2010, 28, 1351–1357. [Google Scholar] [CrossRef] [PubMed]
- Kobayashi, Y.; Komatsu, Y.; Yuki, S.; Fukushima, H.; Sasaki, T.; Iwanaga, I.; Uebayashi, M.; Okuda, H.; Kusumi, T.; Miyagishima, T.; et al. Randomized controlled trial on the skin toxicity of panitumumab in Japanese patients with metastatic colorectal cancer: HGCSG1001 study; J-STEPP. Future Oncol. 2015, 11, 617–627. [Google Scholar] [CrossRef] [PubMed]
- Ciardiello, D.; Famiglietti, V.; Napolitano, S.; Esposito, L.; Normanno, N.; Avallone, A.; Latiano, T.; Maiello, E.; Pietrantonio, F.; Cremolini, C.; et al. Skin Toxicity as Predictor of Survival in Refractory Patients with RAS Wild-Type Metastatic Colorectal Cancer Treated with Cetuximab and Avelumab (CAVE) as Rechallenge Strategy. Cancers 2021, 13, 5715. [Google Scholar] [CrossRef] [PubMed]
- Tougeron, D.; Emambux, S.; Favot, L.; Lecomte, T.; Wierzbicka-Hainaut, E.; Samimi, M.; Frouin, E.; Azzopardi, N.; Chevrier, J.; Serres, L.; et al. Skin inflammatory response and efficacy of anti-epidermal growth factor receptor therapy in metastatic colorectal cancer (CUTACETUX). Oncoimmunology 2020, 9, 1848058. [Google Scholar] [CrossRef] [PubMed]
- Raimondi, A.; Fucà, G.; Leone, A.G.; Lonardi, S.; Antoniotti, C.; Smiroldo, V.; Amatu, A.; Tampellini, M.; Ritorto, G.; Murialdo, R.; et al. Impact of age and gender on the efficacy and safety of upfront therapy with panitumumab plus FOLFOX followed by panitumumab-based maintenance: A pre-specified subgroup analysis of the Valentino study. ESMO Open 2021, 6, 100246. [Google Scholar] [CrossRef]
- Wagner, A.D.; Rakez, M.; Chibaudel, B.; Adams, R.; Zalcberg, J.R.; Saltz, L.B.; Venook, A.P.; Schmoll, H.-J.; Douillard, J.-Y.; Tournigand, C.; et al. Sex differences in efficacy and toxicity of first-line treatment of metastatic colorectal cancer (CRC): An analysis of 18,399 patients in the ARCAD database. J. Clin. Oncol. 2020, 38 (Suppl. 15), 4029. [Google Scholar] [CrossRef]
- Karnofsky, D.A.; Abelmann, W.H.; Craver, L.F.; Burchenal, J.H. The use of the nitrogen mustards in the palliative treatment of carcinoma. With particular reference to bronchogenic carcinoma. Cancer 1948, 1, 634–656. [Google Scholar] [CrossRef]
- Milano, A.; Perri, F.; Ciarmiello, A.; Caponigro, F. Targeted-therapy and imaging response: A new paradigm for clinical evaluation? Rev. Recent Clin. Trials 2011, 6, 259–265. [Google Scholar] [CrossRef]
- Tirumani, S.H.; Kim, K.W.; Nishino, M.; Howard, S.A.; Krajewski, K.M.; Jagannathan, J.P.; Cleary, J.M.; Ramaiya, N.H.; Shinagare, A.B. Update on the role of imaging in management of metastatic colorectal cancer. Radiographics 2014, 34, 1908–1928. [Google Scholar] [CrossRef]
- Heinemann, V.; Stintzing, S.; Modest, D.P.; Giessen-Jung, C.; Michl, M.; Mansmann, U.R. Early tumour shrinkage (ETS) and depth of response (DpR) in the treatment of patients with metastatic colorectal cancer (mCRC). Eur. J. Cancer 2015, 51, 1927–1936. [Google Scholar] [CrossRef]
- Spano, J.P.; Lagorce, C.; Atlan, D.; Milano, G.; Domont, J.; Benamouzig, R.; Attar, A.; Benichou, J.; Martin, A.; Morere, J.-F.; et al. Impact of EGFR expression on colorectal cancer patient prognosis and survival. Ann. Oncol. 2005, 16, 102–108. [Google Scholar] [CrossRef]
- Arai, T.; Fujita, Y.; Imai, H.; Matsumoto, H.; Yamazaki, M.; Hiruta, E.; Suzuki, Y.; Ojima, H.; Hosaka, H.; Minato, K.; et al. Effects of Sex and Seasonal Climatic Changes on the Risk of Incidence of Anti-EGFR Therapy-Induced Rash in Cancer Patients: A Retrospective Study. Medicina 2021, 57, 801. [Google Scholar] [CrossRef]
- Fischer, L.E.; Stintzing, S.; von Weikersthal, L.F.; Modest, D.P.; Decker, T.; Kiani, A.; Kaiser, F.; Al-Batran, S.-E.; Heintges, T.; Lerchenmüller, C.; et al. Efficacy of FOLFIRI plus cetuximab vs FOLFIRI plus bevacizumab in 1st-line treatment of older patients with RAS wild-type metastatic colorectal cancer: An analysis of the randomised trial FIRE-3. Br. J. Cancer 2022, 127, 836–843. [Google Scholar] [CrossRef] [PubMed]
- Pontes, F.; Garcia, A.R.; Domingues, I.; Sousa, M.J.; Felix, R.; Amorim, C.; Salgueiro, F.; Mariano, M.; Teixeira, M. Survival predictors and outcomes of patients with recurrent and/or metastatic head and neck cancer treated with chemotherapy plus cetuximab as first-line therapy: A real-world retrospective study. Cancer Treat. Res. Commun. 2021, 27, 100375. [Google Scholar] [CrossRef]
- Antonetti, P.; Fargnoli, M.C.; Porzio, G.; Salvatore, L.; Filippi, R.; Ghidini, M.; Nigro, O.; Gelsomino, F.; Zurlo, I.V.; Dell’Aquila, E.; et al. A multicenter study of skin toxicity management in patients with left-sided, RAS/BRAF wild-type metastatic colorectal cancer treated with first-line anti-EGFR-based doublet regimen: Is there room for improvement? Support Care Cancer 2022, 30, 2455–2465. [Google Scholar] [CrossRef] [PubMed]
- Raimondi, A.; Randon, G.; Prisciandaro, M.; Pagani, F.; Lonardi, S.; Antoniotti, C.; Bozzarelli, S.; Sartore-Bianchi, A.; Tampellini, M.; Fanchini, L.; et al. Early onset metastatic colorectal cancer in patients receiving panitumumab-based upfront strategy: Overall and sex-specific outcomes in the Valentino trial. Int. J. Cancer 2022, 151, 1760–1769. [Google Scholar] [CrossRef]
- Farage, M.A.; Miller, K.W.; Elsner, P.; Maibach, H.I. Characteristics of the Aging Skin. Adv. Wound Care 2013, 2, 5–10. [Google Scholar] [CrossRef] [PubMed]
- Quan, T.; Fisher, G.J. Role of Age-Associated Alterations of the Dermal Extracellular Matrix Microenvironment in Human Skin Aging: A Mini-Review. Gerontology 2015, 61, 427–434. [Google Scholar] [CrossRef]
- Agirgol, S.; Çaytemel, C.; Pilanci, K.N. Dermatological side effects of targeted antineoplastic therapies: A prospective study. Cutan. Ocul. Toxicol. 2020, 39, 380–384. [Google Scholar] [CrossRef]
- De Luca, R.; Lo Coco, G.; Addeo, R.; Fattoruso, S.I.S.; Auriemma, A.; Paci, R.; Mistretta, O.; Epifanio, M.S.; Salvato, A.; D’Agostino, A.; et al. Quality of Life in Patients with Severe Skin Reactions in Course of First-Generation Epidermal Growth Factor Receptor Inhibitors Monoclonal Antibodies (Our Experience With Cetuximab). World J. Oncol. 2021, 12, 104–110. [Google Scholar] [CrossRef]
- Popa, C.M.; Ianoşi, S.L.; Săftoiu, A. Cutaneous Toxicity in Oncologic Patients Receiving Epidermal Growth Factor Receptor Inhibitors. Curr. Health Sci. J. 2021, 47, 516–522. [Google Scholar]
- Raimondi, A.; Corallo, S.; Lonardi, S.; Antoniotti, C.; Rimassa, L.; Amatu, A.; Tampellini, M.; Racca, P.; Murialdo, R.; Clavarezza, M.; et al. Systemic doxycycline for pre-emptive treatment of anti-EGFR-related skin toxicity in patients with metastatic colorectal cancer receiving first-line panitumumab-based therapy: A post hoc analysis of the Valentino study. Support Care Cancer 2021, 29, 3971–3980. [Google Scholar] [CrossRef]
- Tsutsui, K.; Kikuchi, K.; Nozawa, K.; Takashima, A.; Tsuchiyama, K.; Namikawa, K.; Aiba, S.; Yamazaki, N. Efficacy and safety of topical benzoyl peroxide for prolonged acneiform eruptions induced by cetuximab and panitumumab: A multicenter, phase II trial. J. Dermatol. 2021, 48, 1077–1080. [Google Scholar] [CrossRef] [PubMed]
- Kikuchi, K.; Yamazaki, N.; Nozawa, K.; Fukuda, H.; Shibata, T.; Machida, R.; Hamaguchi, T.; Takashima, A.; Shoji, H.; Boku, N.; et al. Topical corticosteroid therapy for facial acneiform eruption due to EGFR inhibitors in metastatic colorectal cancer patients: A randomized controlled trial comparing starting with a very strong or a weak topical corticosteroid (FAEISS study, NCCH1512, colorectal part). Support Care Cancer 2022, 30, 4497–4504. [Google Scholar] [PubMed]
- Baas, J.M.; Krens, L.L.; Guchelaar, H.J.; Ouwerkerk, J.; de Jong, A.F.; Gelderblom, H. Recommendations on management of EGFR inhibitor-induced skin toxicity: A systematic review. Cancer Treat. Rev. 2012, 38, 505–514. [Google Scholar] [CrossRef] [PubMed]
- Brown, J.; Su, Y.; Nelleson, D.; Shankar, P.; Mayo, C. Management of epidermal growth factor receptor inhibitor-associated rash: A systematic review. J. Community Support Oncol. 2016, 14, 21–28. [Google Scholar] [CrossRef] [PubMed]
- Majma Sanaye, P.; Mojaveri, M.R.; Ahmadian, R.; Sabet Jahromi, M.; Bahramsoltani, R. Apigenin and its dermatological applications: A comprehensive review. Phytochemistry 2022, 203, 113390. [Google Scholar] [CrossRef] [PubMed]
- Berardesca, E.; Cameli, N. Vitamin E supplementation in inflammatory skin diseases. Dermatol. Ther. 2021, 34, e15160. [Google Scholar] [CrossRef]
- Ellis, S.R.; Nguyen, M.; Vaughn, A.R.; Notay, M.; Burney, W.A.; Sandhu, S.; Sivamani, R.K. The Skin and Gut Microbiome and Its Role in Common Dermatologic Conditions. Microorganisms 2019, 7, 550. [Google Scholar] [CrossRef]





| Variables | n | % |
|---|---|---|
| Gender | ||
| Female | 42 | 37.8% |
| Male | 69 | 62.2% |
| Age (mean ± SD, range) years 58.88 ± 13.29, 30.6–90.29 | ||
| <40 | 8 | 7.2% |
| 40~49 | 23 | 20.7% |
| 50~59 | 28 | 25.2% |
| 60~69 | 31 | 27.9% |
| >70 | 21 | 18.9% |
| KPS | ||
| 60 | 2 | 1.8% |
| 70 | 10 | 9% |
| 80 | 6 | 5.4% |
| 90 | 93 | 83.8% |
| BMI (kg/m2) mean ± SD | 24.23 ± 4.24 | |
| ≤25 | 71 | 64% |
| >25 | 40 | 36% |
| Primary site | ||
| Colon | 69 | 62.2% |
| Rectum | 42 | 37.8% |
| Line Therapy | ||
| 1 | 73 | 65.80% |
| 3 | 38 | 34.20% |
| Chemotherapy after Surgery | ||
| Yes | 20 | 18% |
| No | 91 | 82% |
| Recurrence | ||
| No | 47 | 42.3% |
| Yes | 64 | 57.7% |
| Score | n | % |
|---|---|---|
| 1 | 19 | 18.6% |
| 2 | 12 | 11.8% |
| 3 | 6 | 5.9% |
| 4 | 5 | 4.9% |
| 6 | 45 | 44.1% |
| 9 | 15 | 14.7% |
| Total | 102 | 100.0% |
| Missing | 9 |
| Variable | n | % |
|---|---|---|
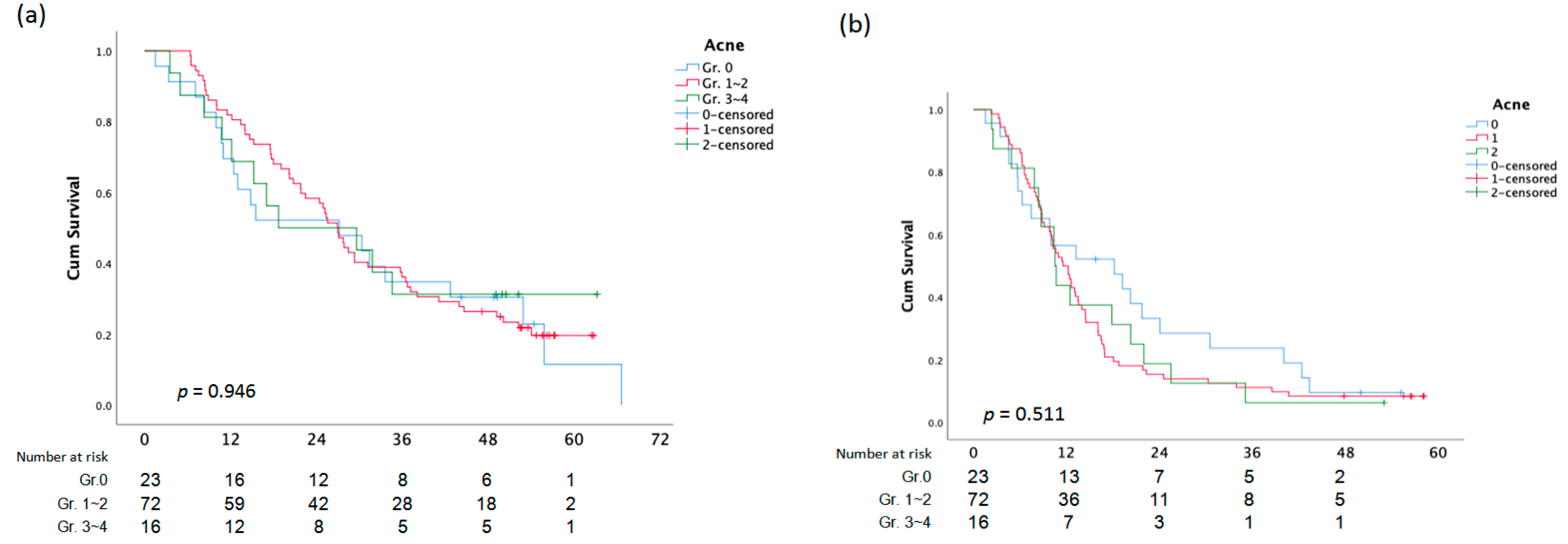
| Acne | ||
| Grade 0 | 23 | 20.7% |
| Grade 1 | 52 | 46.8% |
| Grade 2 | 20 | 18.0% |
| Grade 3 | 15 | 13.5% |
| Grade 4 | 1 | 0.9% |
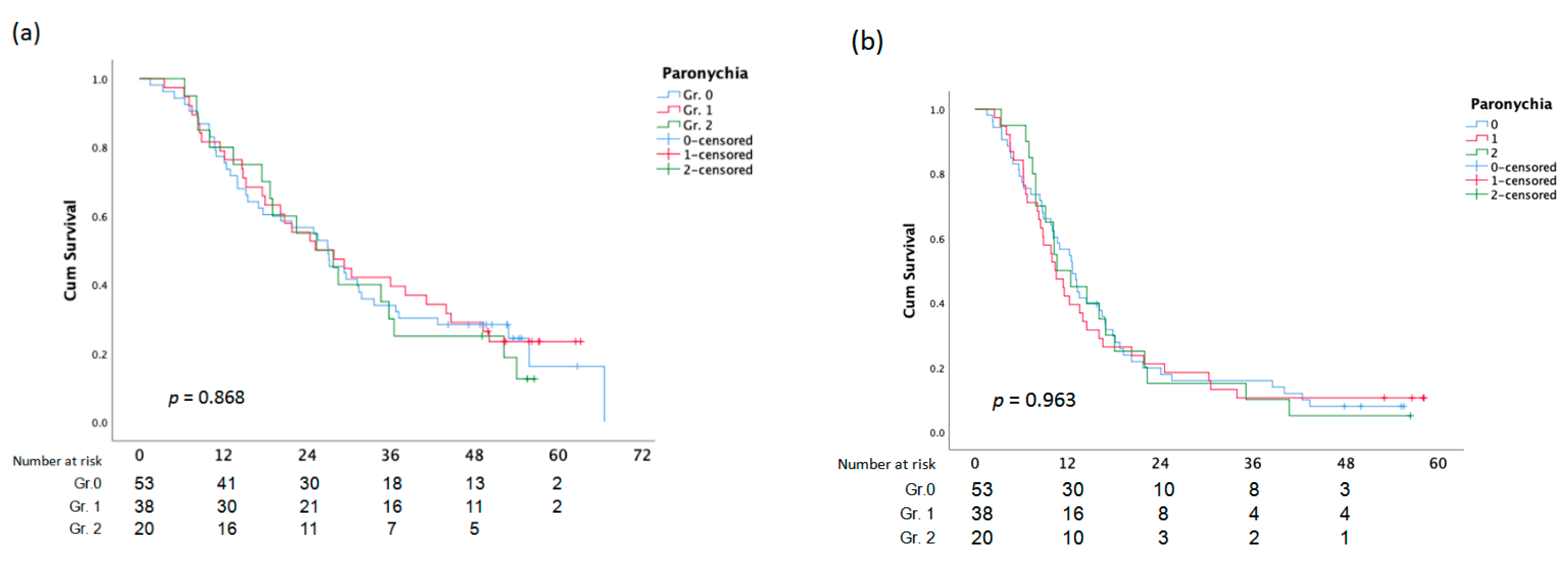
| Paronychia | ||
| Grade 0 | 53 | 47.7% |
| Grade 1 | 38 | 34.2% |
| Grade 2 | 20 | 18.0% |
| Overall Survival | Univariate | |||
|---|---|---|---|---|
| Variable | Mean ± SD | HR | 95% CI | p-Value |
| Gender | ||||
| Female | 33.495 ± 3.449 | 1 | ||
| Male | 30.258 ± 2.444 | 1.175 | 0.757–1.825 | 0.473 |
| Age | ||||
| <40 | 42.951 ± 7.976 | 1 | ||
| 40~49 | 31.318 ± 4.556 | 1.886 | 0.634–5.611 | 0.254 |
| 50~59 | 36.626 ± 4.295 | 1.597 | 0.546–4.677 | 0.393 |
| 60~69 | 25.633 ± 2.946 | 2.574 | 0.894–7.404 | 0.08 |
| >70 | 26.333 ± 3.43 | 2.728 | 0.923–8.062 | 0.069 |
| BMI | ||||
| ≤25 | 34.177 ± 2.707 | 1 | ||
| >25 | 28.339 ± 3.04 | 1.342 | 0.87–2.069 | 0.183 |
| Primary Site | - | |||
| Colon | 30.573 ± 2.613 | 1 | - | |
| Rectum | 34.301 ± 3.259 | 0.836 | 0.534–1.307 | 0.431 |
| Line Therapy | - | |||
| 1 | 38.889 ± 2.644 | 1 | - | |
| 3 | 19.739 ± 2.333 | 2.881 | 1.86–4.464 | <0.001 |
| Recurrence | - | |||
| No | 34.662 ± 3.036 | 1 | - | |
| Yes | 29.931 ± 2.705 | 1.343 | 0.868–2.076 | 0.185 |
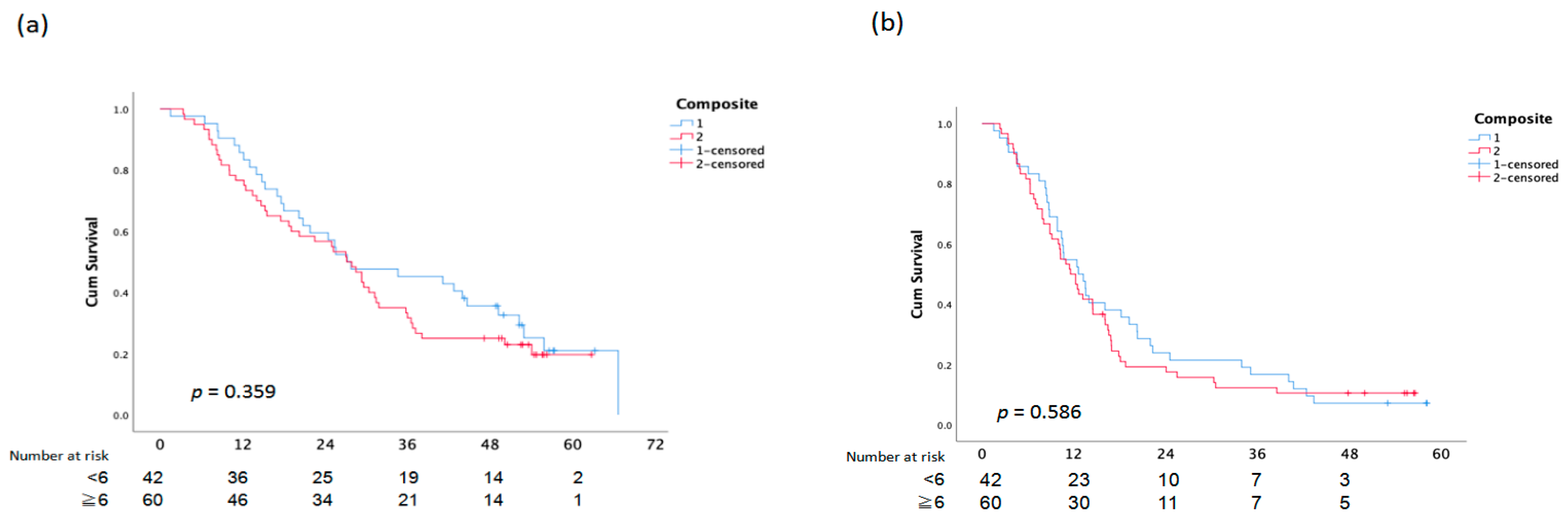
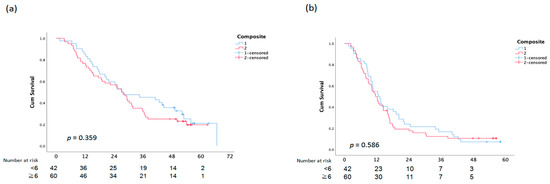
| CS | - | |||
| <6 | 35.819 ± 3.481 | 1 | - | |
| ≥6 | 30.495 ± 2.637 | 1.237 | 0.784–1.952 | 0.360 |
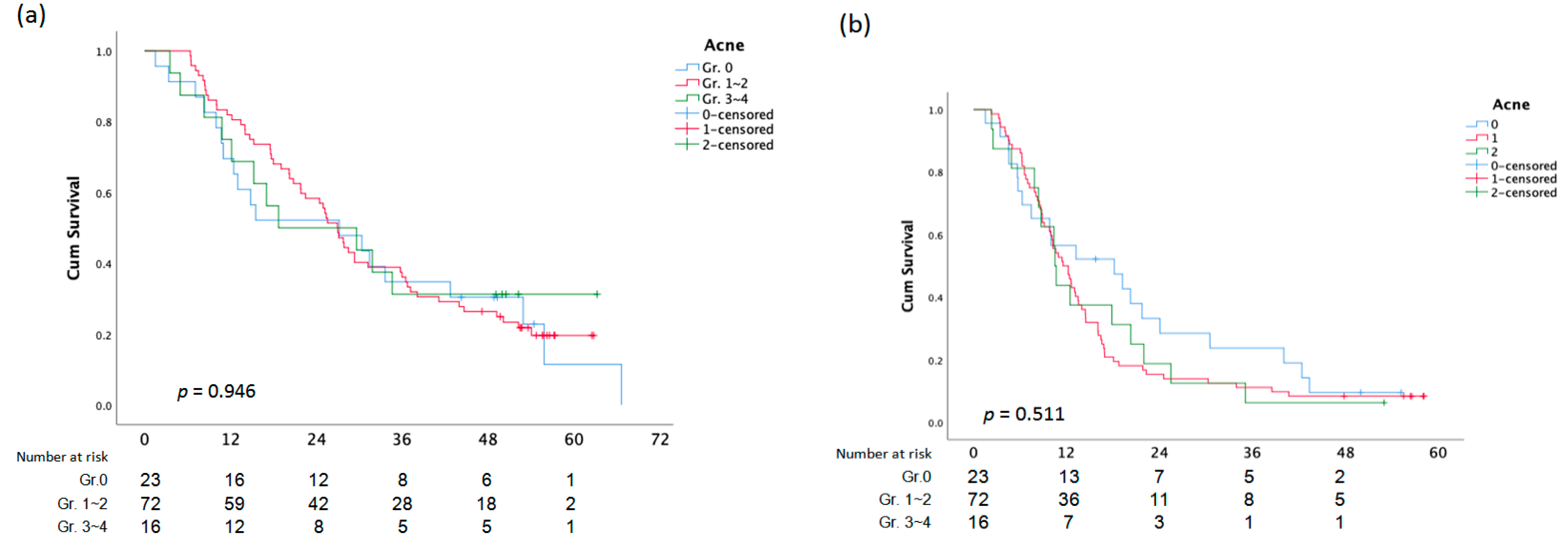
| Skin reaction | - | |||
| Acne | - | |||
| Grade 0 | 30.316 ± 4.833 | 1 | - | |
| Grade 1–2 | 32.105 ± 2.324 | 0.931 | 0.547–1.582 | 0.791 |
| Grade 3–4 | 31.904 ± 5.85 | 0.888 | 0.419–1.881 | 0.756 |
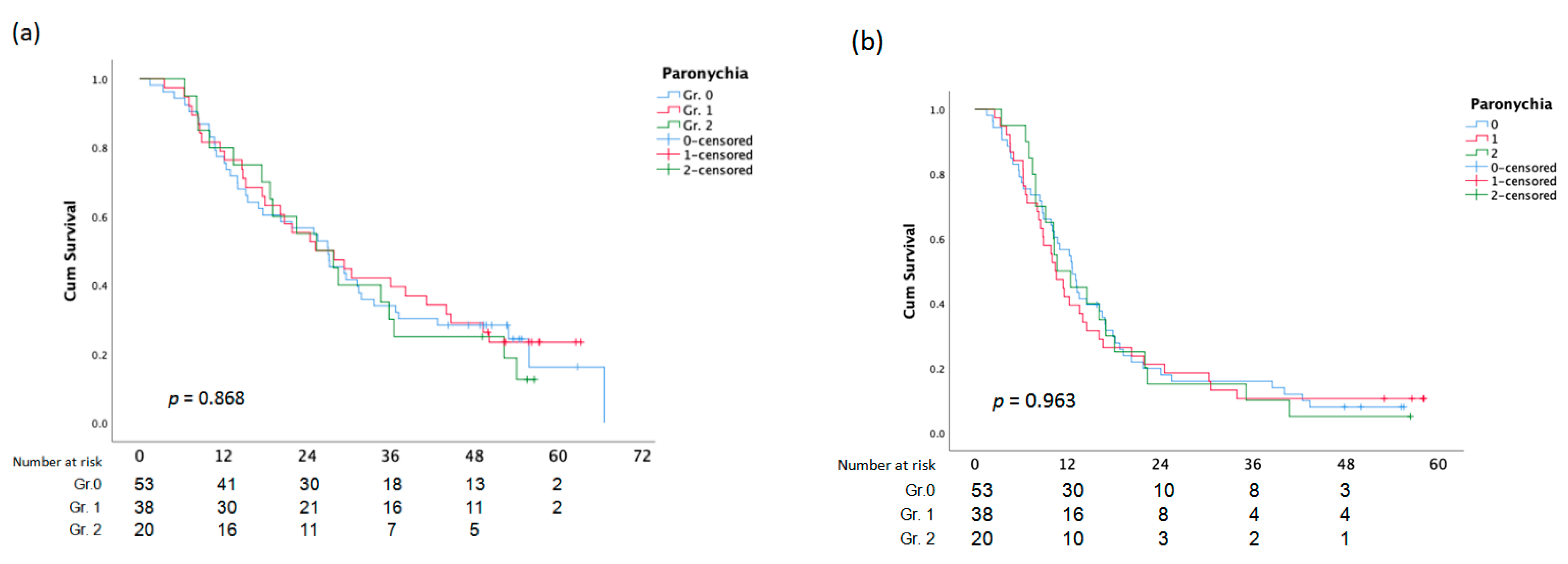
| Paronychia | - | |||
| Grade 0 | 31.633 ± 3.093 | 1 | - | |
| Grade 1 | 32.723 ± 3.451 | 0.941 | 0.583–1.519 | 0.803 |
| Grade 2 | 29.785 ± 3.882 | 1.107 | 0.628–1.954 | 0.725 |
| Univariate | ||||
|---|---|---|---|---|
| Variable | Mean ± SD | HR | 95% CI | p-Value |
| Gender | ||||
| Female | 18.428 ± 2.481 | 1 | ||
| Male | 16.292 ± 1.746 | 1.14 | 0.762–1.707 | 0.523 |
| Age | ||||
| <40 | 11.512 ± 2.469 | 1 | ||
| 40~49 | 15.825 ± 2.474 | 0.772 | 0.343–1.733 | 0.53 |
| 50~59 | 19.25 ± 3.309 | 0.6 | 0.267–1.345 | 0.215 |
| 60~69 | 19.443 ± 3.275 | 0.602 | 0.269–1.343 | 0.215 |
| >70 | 14.05 ± 2.154 | 0.833 | 0.366–1.895 | 0.663 |
| BMI | ||||
| ≤25 | 18.765 ± 1.951 | 1 | ||
| >25 | 14.393 ± 2.023 | 1.363 | 0.909–2.043 | 0.134 |
| Primary Site | ||||
| Colon | 17.988 ± 1.977 | 1 | ||
| Rectum | 16.557 ± 2.246 | 1.107 | 0.738–1.662 | 0.623 |
| Line Therapy | ||||
| 1 | 20.889 ± 1.967 | 1 | ||
| 3 | 10.064 ± 1.375 | 2.666 | 1.751–4.06 | <0.001 |
| Recurrence | ||||
| No | 18.838 ± 2.293 | 1 | ||
| Yes | 16 ± 1.875 | 1.287 | 0.865–1.916 | 0.213 |
| CS | ||||
| <6 | 18.813 ± 2.404 | 1 | ||
| ≥6 | 16.773 ± 2.007 | 1.122 | 0.741–1.7 | 0.586 |
| Skin reaction | ||||
| Acne | ||||
| Grade 0 | 20.706 ± 3.563 | 1 | ||
| Grade 1–2 | 16.231 ± 1.728 | 1.342 | 0.81–2.223 | 0.253 |
| Grade 3–4 | 15.788 ± 3.218 | 1.311 | 0.67–2.567 | 0.429 |
| Paronychia | ||||
| Grade 0 | 17.27 ± 2.066 | 1 | ||
| Grade 1 | 16.931 ± 2.599 | 1.062 | 0.684–1.65 | 0.788 |
| Grade 2 | 16.74 ± 2.902 | 1.038 | 0.61–1.767 | 0.891 |
| Variable | Age | Gender | |||||
|---|---|---|---|---|---|---|---|
| n | Mean ± SD | p-Value | n (%) | p-Value | |||
| 95% CI | F | M | |||||
| Acne | <0.001 | 0.041 | |||||
| Grade 0 | 23 | 66.681 ± 14.138 | 60.567–72.795 | 12 (28.6%) | 11 (15.9%) | ||
| Grade 1–2 | 72 | 59.048 ± 11.712 | 56.295–61.800 | 28 (66.7%) | 44 (63.8%) | ||
| Grade 3–4 | 16 | 46.932 ± 10.329 | 41.427–52.436 | 2 (4.8%) | 14 (20.3%) | ||
| Paronychia | 0.818 | 0.746 | |||||
| Grade 0 | 53 | 59.574 ± 13.972 | 55.723–63.425 | 22 (52.4%) | 31 (44.9%) | ||
| Grade 1 | 38 | 58.714 ± 11.93 | 54.793–62.635 | 13 (31.0%) | 25 (36.2%) | ||
| Grade 2 | 20 | 57.372 ± 14.391 | 50.637–64.108 | 7 (16.6%) | 13 (18.8%) | ||
Disclaimer/Publisher’s Note: The statements, opinions and data contained in all publications are solely those of the individual author(s) and contributor(s) and not of MDPI and/or the editor(s). MDPI and/or the editor(s) disclaim responsibility for any injury to people or property resulting from any ideas, methods, instructions or products referred to in the content. |
© 2023 by the authors. Licensee MDPI, Basel, Switzerland. This article is an open access article distributed under the terms and conditions of the Creative Commons Attribution (CC BY) license (https://creativecommons.org/licenses/by/4.0/).
Share and Cite
Chiang, T.-Y.; Hsu, H.-C.; Chern, Y.-J.; Liao, C.-K.; Hsu, Y.-J.; Tsai, W.-S.; Hsieh, P.-S.; Lin, Y.-F.; Lee, H.-L.; You, J.-F. Skin Toxicity as a Predictor of Survival in Metastatic Colorectal Cancer Patients Treated with Anti-EGFR: Fact or Fallacy? Cancers 2023, 15, 1663. https://doi.org/10.3390/cancers15061663
Chiang T-Y, Hsu H-C, Chern Y-J, Liao C-K, Hsu Y-J, Tsai W-S, Hsieh P-S, Lin Y-F, Lee H-L, You J-F. Skin Toxicity as a Predictor of Survival in Metastatic Colorectal Cancer Patients Treated with Anti-EGFR: Fact or Fallacy? Cancers. 2023; 15(6):1663. https://doi.org/10.3390/cancers15061663
Chicago/Turabian StyleChiang, Ting-Yu, Hung-Chih Hsu, Yih-Jong Chern, Chun-Kai Liao, Yu-Jen Hsu, Wen-Sy Tsai, Pao-Shiu Hsieh, Yu-Fen Lin, Hsiu-Lan Lee, and Jeng-Fu You. 2023. "Skin Toxicity as a Predictor of Survival in Metastatic Colorectal Cancer Patients Treated with Anti-EGFR: Fact or Fallacy?" Cancers 15, no. 6: 1663. https://doi.org/10.3390/cancers15061663
APA StyleChiang, T.-Y., Hsu, H.-C., Chern, Y.-J., Liao, C.-K., Hsu, Y.-J., Tsai, W.-S., Hsieh, P.-S., Lin, Y.-F., Lee, H.-L., & You, J.-F. (2023). Skin Toxicity as a Predictor of Survival in Metastatic Colorectal Cancer Patients Treated with Anti-EGFR: Fact or Fallacy? Cancers, 15(6), 1663. https://doi.org/10.3390/cancers15061663

