Survival after Lung Metastasectomy from Esophageal Cancer: Results from a Multi-Institutional Database
Abstract
Simple Summary
Abstract
1. Introduction
2. Materials and Methods
2.1. Database
2.2. Statistical Analysis
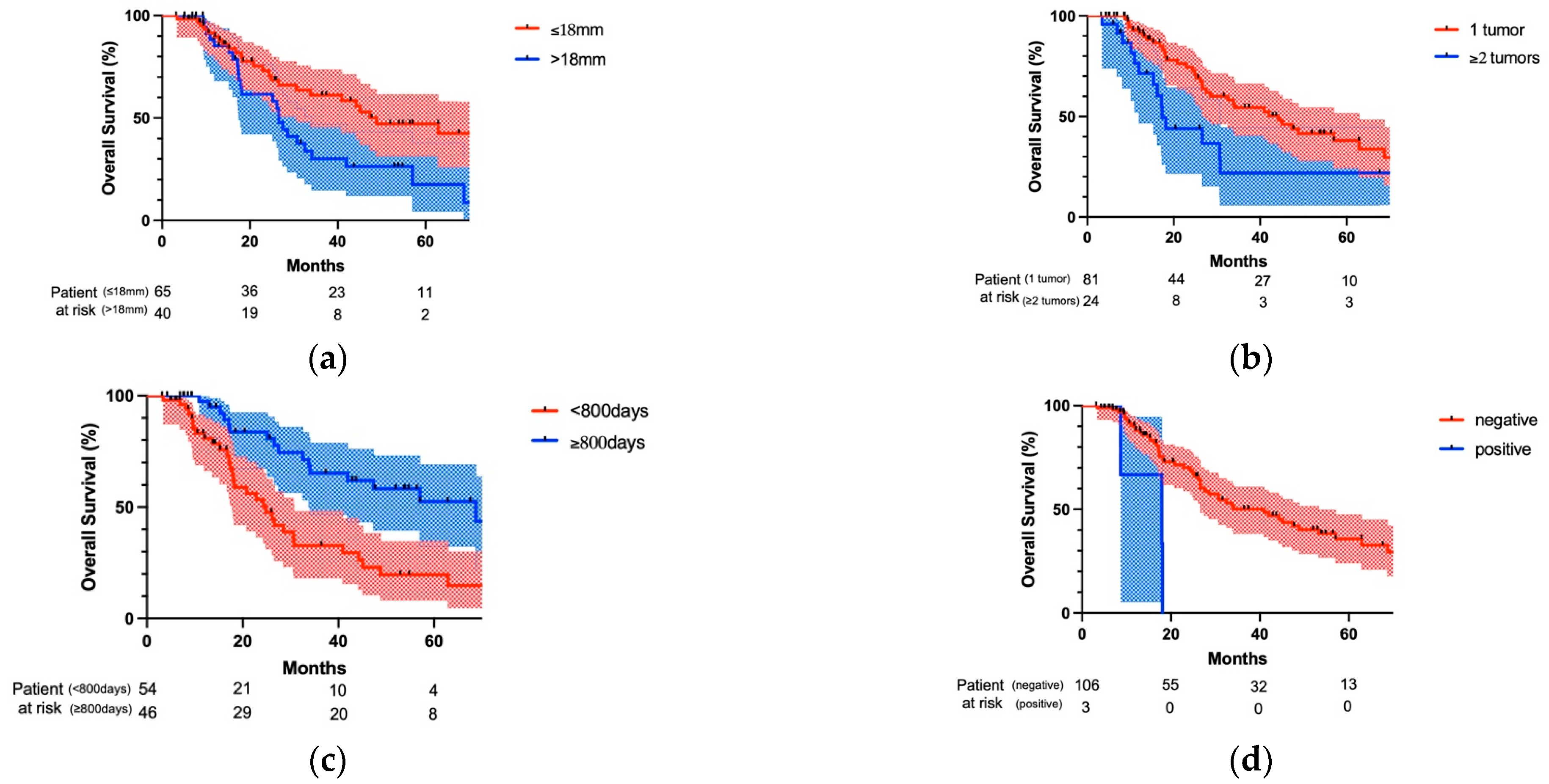
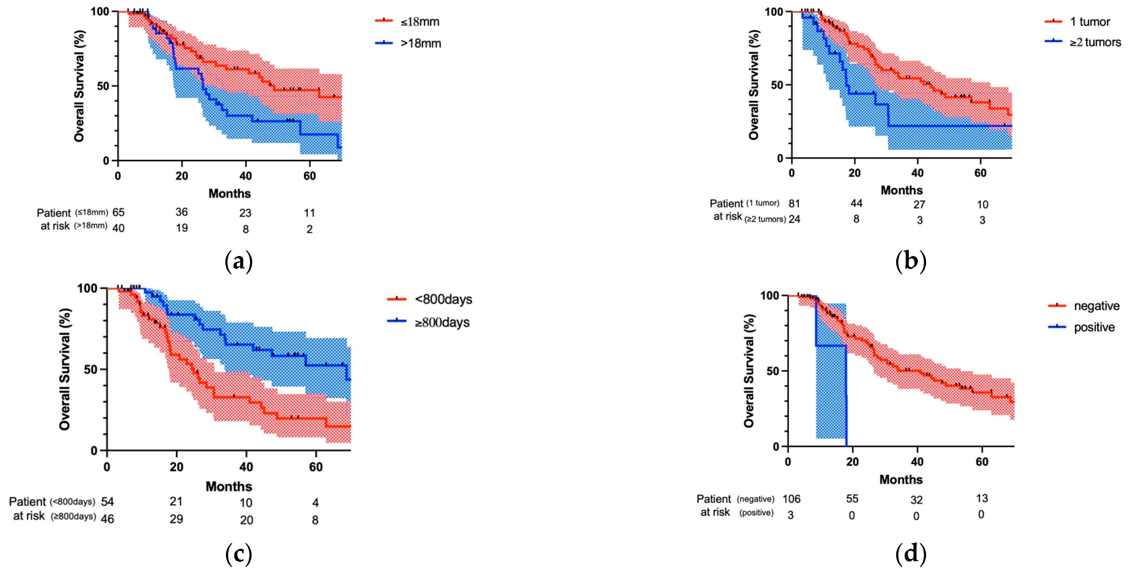
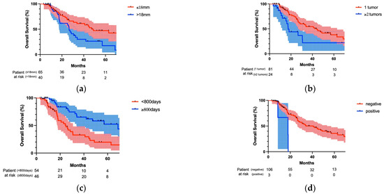
3. Results
4. Discussion
5. Conclusions
Supplementary Materials
Author Contributions
Funding
Institutional Review Board Statement
Informed Consent Statement
Data Availability Statement
Acknowledgments
Conflicts of Interest
References
- Fitzmaurice, C.; Abate, D.; Abbasi, N.; Abbastabar, H.; Abd-Allah, F.; Abdel-Rahman, O.; Abdelalim, A.; Abdoli, A.; Abdollahpour, I.; Abdulle, A.S.M.; et al. Global Burden of Disease Cancer Collaboration. Global, Regional, and National Cancer Incidence, Mortality, Years of Life Lost, Years Lived with Disability, and Disability-Adjusted Life-Years for 29 Cancer Groups, 1990 to 2017: A Systematic Analysis for the Global Burden of Disease Study. JAMA Oncol. 2019, 5, 1749–1768. [Google Scholar] [CrossRef] [PubMed]
- Siegel, R.L.; Miller, K.D.; Fuchs, H.E.; Jemal, A. Cancer Statistics, 2022. CA Cancer J. Clin. 2022, 72, 7–33. [Google Scholar] [CrossRef] [PubMed]
- Watanabe, M.; Otake, R.; Kozuki, R.; Toihata, T.; Takahashi, K.; Okamura, A.; Imamura, Y. Recent Progress in Multidisciplinary Treatment for Patients with Esophageal Cancer. Surg. Today 2020, 50, 12–20. [Google Scholar] [CrossRef] [PubMed]
- Lou, F.; Sima, C.S.; Adusumilli, P.S.; Bains, M.S.; Sarkaria, I.S.; Rusch, V.W.; Rizk, N.P. Esophageal Cancer Recurrence Patterns and Implications for Surveillance. J. Thorac. Oncol. 2013, 8, 1558–1562. [Google Scholar] [CrossRef] [PubMed]
- Ichida, H.; Imamura, H.; Yoshimoto, J.; Sugo, H.; Kajiyama, Y.; Tsurumaru, M.; Suzuki, K.; Ishizaki, Y.; Kawasaki, S. Pattern of Postoperative Recurrence and Hepatic and/or Pulmonary Resection for Liver and/or Lung Metastases from Esophageal Carcinoma. World J. Surg. 2013, 37, 398–407. [Google Scholar] [CrossRef]
- Kudou, K.; Saeki, H.; Nakashima, Y.; Kimura, Y.; Oki, E.; Mori, M.; Shimokawa, M.; Kakeji, Y.; Toh, Y.; Doki, Y.; et al. Clinical Outcomes of Surgical Resection for Recurrent Lesion after Curative Esophagectomy for Esophageal Squamous Cell Carcinoma: A Nationwide, Large-Scale Retrospective Study. Esophagus 2022, 19, 57–68. [Google Scholar] [CrossRef] [PubMed]
- Pastorino, U.; Buyse, M.; Friedel, G.; Ginsberg, R.J.; Girard, P.; Goldstraw, P.; Johnston, M.; McCormack, P.; Pass, H.; Putnam, J.B. Long-Term Results of Lung Metastasectomy: Prognostic Analyses Based on 5206 Cases. J. Thorac. Cardiovasc. Surg. 1997, 113, 37–49. [Google Scholar] [CrossRef]
- Kondo, H.; Okumura, T.; Ohde, Y.; Nakagawa, K. Surgical Treatment for Metastatic Malignancies. Pulmonary Metastasis: Indications and Outcomes. Int. J. Clin. Oncol. 2005, 10, 81–85. [Google Scholar] [CrossRef]
- Hornbech, K.; Ravn, J.; Steinbrüchel, D.A. Current Status of Pulmonary Metastasectomy. Eur. J. Cardio Thorac. Surg. 2011, 39, 955–962. [Google Scholar] [CrossRef]
- Kobayashi, K.; Kawamura, M.; Ishihara, T. Surgical Treatment for Both Pulmonary and Hepatic Metastases from Colorectal Cancer. J. Thorac. Cardiovasc. Surg. 1999, 118, 1090–1096. [Google Scholar] [CrossRef]
- Anraku, M.; Yokoi, K.; Nakagawa, K.; Fujisawa, T.; Nakajima, J.; Akiyama, H.; Nishimura, Y.; Kobayashi, K. Pulmonary Metastases from Uterine Malignancies: Results of Surgical Resection in 133 Patients. J. Thorac. Cardiovasc. Surg. 2004, 127, 1107–1112. [Google Scholar] [CrossRef] [PubMed]
- Matsuguma, H.; Yoshino, I.; Ito, H.; Goya, T.; Matsui, Y.; Nakajima, J.; Ikeda, N.; Okumura, S.; Shiono, S.; Nomori, H. Is There a Role for Pulmonary Metastasectomy with a Curative Intent in Patients with Metastatic Urinary Transitional Cell Carcinoma. Ann. Thorac. Surg. 2011, 92, 449–453. [Google Scholar] [CrossRef] [PubMed]
- Nakajima, J.; Iida, T.; Okumura, S.; Horio, H.; Asamura, H.; Ozeki, Y.; Ikeda, N.; Matsuguma, H.; Chida, M.; Otsuka, H.; et al. Recent Improvement of Survival Prognosis after Pulmonary Metastasectomy and Advanced Chemotherapy for Patients with Colorectal Cancer. Eur. J. Cardiothorac. Surg. 2017, 51, 869–873. [Google Scholar] [CrossRef] [PubMed]
- Kawamura, M.; Nakajima, J.; Matsuguma, H.; Horio, H.; Miyoshi, S.; Nakagawa, K.; Fujisawa, T.; Kobayashi, K. Surgical Outcomes for Pulmonary Metastases from Hepatocellular Carcinoma. Eur. J. Cardio Thorac. Surg. 2008, 34, 196–199. [Google Scholar] [CrossRef] [PubMed]
- Ichikawa, H.; Kosugi, S.; Nakagawa, S.; Kanda, T.; Tsuchida, M.; Koike, T.; Tanaka, O.; Hatakeyama, K. Operative Treatment for Metachronous Pulmonary Metastasis from Esophageal Carcinoma. Surgery 2011, 149, 164–170. [Google Scholar] [CrossRef]
- Matsui, K.; Kawakubo, H.; Matsuda, S.; Hirata, Y.; Irino, T.; Fukuda, K.; Nakamura, R.; Kitagawa, Y. Clinical Features of Recurrence Pattern with Lung Metastasis After Radical Esophagectomy for Thoracic Esophageal Cancer. World J. Surg. 2022, 46, 2270–2279. [Google Scholar] [CrossRef]
- Shiono, S.; Kawamura, M.; Sato, T.; Nakagawa, K.; Nakajima, J.; Yoshino, I.; Ikeda, N.; Horio, H.; Akiyama, H.; Kobayashi, K.; et al. Disease-Free Interval Length Correlates to Prognosis of Patients Who Underwent Metastasectomy for Esophageal Lung Metastases. J. Thorac. Oncol. 2008, 3, 1046–1049. [Google Scholar] [CrossRef]
- Budczies, J.; Klauschen, F.; Sinn, B.V.; Győrffy, B.; Schmitt, W.D.; Darb-Esfahani, S.; Denkert, C. Cutoff Finder: A Comprehensive and Straightforward Web Application Enabling Rapid Biomarker Cutoff Optimization. PLoS ONE 2012, 7, e51862. [Google Scholar] [CrossRef]
- Depypere, L.; Lerut, T.; Moons, J.; Coosemans, W.; Decker, G.; Van Veer, H.; De Leyn, P.; Nafteux, P. Isolated Local Recurrence or Solitary Solid Organ Metastasis after Esophagectomy for Cancer Is Not the End of the Road. Dis. Esophagus 2016, 30, 1–8. [Google Scholar] [CrossRef]
- Ohkura, Y.; Shindoh, J.; Ueno, M.; Iizuka, T.; Udagawa, H. Clinicopathologic Characteristics of Oligometastases from Esophageal Cancer and Long-Term Outcomes of Resection. Ann. Surg. Oncol. 2020, 27, 651–659. [Google Scholar] [CrossRef]
- Schizas, D.; Lazaridis, I.I.; Moris, D.; Mastoraki, A.; Lazaridis, L.-D.; Tsilimigras, D.I.; Charalampakis, N.; Liakakos, T. The Role of Surgical Treatment in Isolated Organ Recurrence of Esophageal Cancer—A Systematic Review of the Literature. World J. Surg. Oncol. 2018, 16, 55. [Google Scholar] [CrossRef]
- Ghaly, G.; Harrison, S.; Kamel, M.K.; Rahouma, M.; Nasar, A.; Port, J.L.; Stiles, B.M.; Altorki, N.K. Predictors of Survival After Treatment of Oligometastases After Esophagectomy. Ann. Thorac. Surg. 2018, 105, 357–362. [Google Scholar] [CrossRef]
- Nobel, T.B.; Sihag, S.; Xing, X.; Eljalby, M.; Hsu, M.; Tan, K.S.; Sewell, D.B.; Bains, M.S.; Janjigian, Y.; Wu, A.; et al. Oligometastases After Curative Esophagectomy Are Not One Size Fits All. Ann. Thorac. Surg. 2021, 112, 1775–1781. [Google Scholar] [CrossRef] [PubMed]
- Tsai, P.-C.; Chien, H.-C.; Hsu, P.-K.; Hung, J.-J.; Huang, C.-S.; Hsu, W.-H.; Hsu, H.-S. Post-Recurrence Survival Analysis in Patients with Oligo-Recurrence after Curative Esophagectomy. BMC Cancer 2022, 22, 637. [Google Scholar] [CrossRef]
- Chen, F.; Sato, K.; Sakai, H.; Miyahara, R.; Bando, T.; Okubo, K.; Hirata, T.; Date, H. Pulmonary Resection for Metastasis from Esophageal Carcinoma. Interact. Cardiovasc. Thorac. Surg. 2008, 7, 809–812. [Google Scholar] [CrossRef] [PubMed]
- Molina, J.R.; Yang, P.; Cassivi, S.D.; Schild, S.E.; Adjei, A.A. Non-Small Cell Lung Cancer: Epidemiology, Risk Factors, Treatment, and Survivorship. Mayo Clin. Proc. 2008, 83, 584–594. [Google Scholar] [CrossRef] [PubMed]
- Pennathur, A.; Gibson, M.K.; Jobe, B.A.; Luketich, J.D. Oesophageal Carcinoma. Lancet 2013, 381, 400–412. [Google Scholar] [CrossRef]
- Geurts, T.W.; Nederlof, P.M.; van den Brekel, M.W.M.; van’t Veer, L.J.; de Jong, D.; Hart, A.A.M.; van Zandwijk, N.; Klomp, H.; Balm, A.J.M.; van Velthuysen, M.-L.F. Pulmonary Squamous Cell Carcinoma Following Head and Neck Squamous Cell Carcinoma: Metastasis or Second Primary. Clin. Cancer Res. 2005, 11, 6608–6614. [Google Scholar] [CrossRef]
- Shao, S.; Song, G.; Wang, Y.; Yi, T.; Li, S.; Chen, F.; Li, Y.; Liu, X.; Han, B.; Liu, Y. Selection of the Surgical Approach for Patients with CStage IA Lung Squamous Cell Carcinoma: A Population-Based Propensity Score Matching Analysis. Front. Oncol. 2022, 12, 946800. [Google Scholar] [CrossRef]
- Saji, H.; Okada, M.; Tsuboi, M.; Nakajima, R.; Suzuki, K.; Aokage, K.; Aoki, T.; Okami, J.; Yoshino, I.; Ito, H.; et al. Segmentectomy versus Lobectomy in Small-Sized Peripheral Non-Small-Cell Lung Cancer (JCOG0802/WJOG4607L): A Multicentre, Open-Label, Phase 3, Randomised, Controlled, Non-Inferiority Trial. Lancet 2022, 399, 1607–1617. [Google Scholar] [CrossRef]




| Variables | Number (%)/Average | |
|---|---|---|
| Sex | ||
| Male | 97 (89.0) | |
| Female | 12 (11.0) | |
| Histology of primary tumor | ||
| SqCC | 103 (94.5) | |
| ADC | 3 (2.8) | |
| Others | 3 (2.8) | |
| Initial treatment for primary tumor | ||
| Surgery alone | 36 (33.0) | |
| Chemotherapy alone | 3 (2.8) | |
| Radiotherapy alone | 1 (0.9) | |
| Surgery and Chemotherapy | 28 (25.7) | |
| Surgery and Radiotherapy | 3 (2.8) | |
| Chemotherapy and Radiotherapy | 21 (19.3) | |
| Surgery, Chemotherapy, and Radiotherapy | 12 (11.0) | |
| Not available | 5 (4.6) | |
| pathological N stage of primary tumor | ||
| N0 | 27 (24.8) | |
| N1–3 | 63 (57.8) | |
| pathological M stage of primary tumor | ||
| M0 | 73 (67.0) | |
| M1 | 19 (17.4) | |
| Initial recurrence site | ||
| Pulmonary | 94 (86.2) | |
| Extrapulmonary | 15 (13.8) | |
| Number of tumors at detection of lung metastasis | ||
| 1 | 81 (74.3) | |
| 2–4 | 24 (22.0) | |
| perioperative chemotherapy for lung metastasis | ||
| Before lung surgery | 14 (12.8) | |
| After Lung surgery | 16 (14.7) | |
| The type of surgery for lung metastasis | ||
| wedge resection | 86 (78.9) | |
| segmentectomy | 9 (8.3) | |
| lobectomy | 14 (12.8) | |
| The side of surgery for lung metastasis | ||
| right | 59 (54.1) | |
| left | 38 (34.9) | |
| both side | 12 (11.0) | |
| Lymph node metastasis found at lung surgery | ||
| None | 106 (97.2) | |
| Hilar lymph node metastasis | 1 (0.9) | |
| Mediastinal lymph node metastasis | 2 (1.8) | |
| Patients’ age at lung surgery | 67 ± 9 | |
| Maximum tumor size of resected lung metastasis (mm) | 16.9 ± 7.7 | |
| Disease free interval from the initial treatment (days) | 664 ± 527 | |
| Duration from primary tumor treatment to lung surgery (days) | 887 ± 684 | |
| Factors | Overall Survival | Disease Free Survival | |||
|---|---|---|---|---|---|
| HR (95% CI) | p-Value | HR (95% CI) | p-Value | ||
| Number of lung metastases at the detection | 1.69 (0.95–3.00) | 0.072 | 1.66 (1.03–2.66) | 0.037 * | |
| Lymph node metastasis found at lung metastasectomy | |||||
| negative | Reference | 0.24 | Reference | 0.503 | |
| positive | 2.33 (0.58–9.42) | 1.57 (0.42–5.92) | |||
| Initial recurrence site | |||||
| pulmonary | Reference | 0.043 * | Reference | 0.008 * | |
| extrapulmonary | 2.65 (1.03–6.80) | 2.89 (1.32–6.36) | |||
| Maximum tumor size of resected lung metastasis | 1.52 (1.00–2.29) | 0.048 * | 1.30 (0.92–1.84) | 0.14 | |
| Duration from primary tumor treatment to lung surgery | 0.99 (0.99–1.00) | 0.037 * | 0.99 (0.99–1.00) | 0.010 * | |
| Preoperative chemotherapy for lung metastasis | |||||
| Undone | Reference | 0.082 | Reference | 0.02 * | |
| Done | 0.38 (0.13–1.13) | 0.33 (0.13–0.84) | |||
Disclaimer/Publisher’s Note: The statements, opinions and data contained in all publications are solely those of the individual author(s) and contributor(s) and not of MDPI and/or the editor(s). MDPI and/or the editor(s) disclaim responsibility for any injury to people or property resulting from any ideas, methods, instructions or products referred to in the content. |
© 2023 by the authors. Licensee MDPI, Basel, Switzerland. This article is an open access article distributed under the terms and conditions of the Creative Commons Attribution (CC BY) license (https://creativecommons.org/licenses/by/4.0/).
Share and Cite
Yamauchi, Y.; Nakajima, J.; Mun, M.; Shintani, Y.; Kuroda, H.; Iwata, T.; Endo, M.; Azuma, Y.; Chida, M.; Sakao, Y.; et al. Survival after Lung Metastasectomy from Esophageal Cancer: Results from a Multi-Institutional Database. Cancers 2023, 15, 1472. https://doi.org/10.3390/cancers15051472
Yamauchi Y, Nakajima J, Mun M, Shintani Y, Kuroda H, Iwata T, Endo M, Azuma Y, Chida M, Sakao Y, et al. Survival after Lung Metastasectomy from Esophageal Cancer: Results from a Multi-Institutional Database. Cancers. 2023; 15(5):1472. https://doi.org/10.3390/cancers15051472
Chicago/Turabian StyleYamauchi, Yoshikane, Jun Nakajima, Mingyon Mun, Yasushi Shintani, Hiroaki Kuroda, Takekazu Iwata, Makoto Endo, Yoko Azuma, Masayuki Chida, Yukinori Sakao, and et al. 2023. "Survival after Lung Metastasectomy from Esophageal Cancer: Results from a Multi-Institutional Database" Cancers 15, no. 5: 1472. https://doi.org/10.3390/cancers15051472
APA StyleYamauchi, Y., Nakajima, J., Mun, M., Shintani, Y., Kuroda, H., Iwata, T., Endo, M., Azuma, Y., Chida, M., Sakao, Y., Yoshino, I., Ikeda, N., Matsuguma, H., Funai, K., Hashimoto, H., Kawamura, M., & on behalf of the Metastatic Lung Tumor Study Group of Japan. (2023). Survival after Lung Metastasectomy from Esophageal Cancer: Results from a Multi-Institutional Database. Cancers, 15(5), 1472. https://doi.org/10.3390/cancers15051472

