Heat Transfer Enhancement of Diamond Rib Mounted in Periodic Merging Chambers of Micro Channel Heat Sink
Abstract
1. Introduction
2. Physical Model
2.1. Geometric Model
2.2. Mathematical Model
2.3. Boundary Condition
3. Validation of Numerical Method
3.1. Mesh Independence and Numerical Model Validation
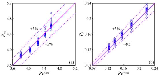
3.2. Theoretical Verification
3.3. Experimental Verification
4. Results and Discussion
4.1. The Local Characteristics
4.1.1. Velocity Fields
4.1.2. Temperature Fields
4.1.3. Local Nusselt Number
4.1.4. Span Local Nusselt Number
4.2. The Averaged Characteristics
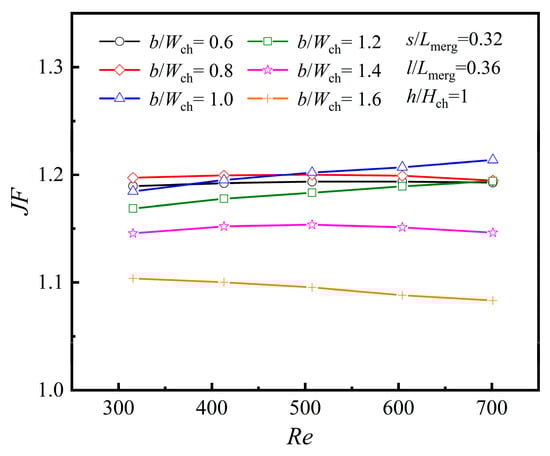
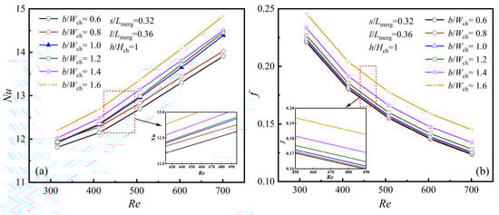
4.2.1. The Averaged Characteristics at Different Rib Widths, [b/Wch]
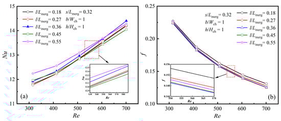
4.2.2. The Averaged Characteristics at Different Rib Lengths, [l/Lmerg]
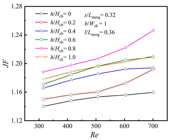
4.2.3. The Averaged Characteristics at Different Rib Heights, [h/Hch]
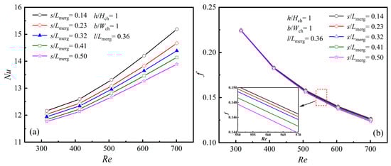
4.2.4. The Averaged Characteristics at Different Rib Mounted Positions, [s/Lmerg]
4.2.5. The Correlations of Nu and f
4.3. Heat Transfer Enhancement and Its Mechanisms
4.3.1. Heat Transfer Enhancement
- Heat transfer enhancement at different rib widths, [b/Wch]
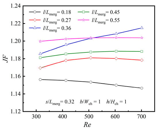
- Heat transfer enhancement at different rib lengths, [l/Lmerg]
- Heat transfer enhancement at different rib heights, [h/Hch]
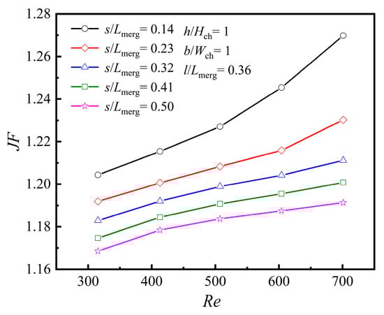
- Heat transfer enhancement at different rib mounted positions, [s/Lmerg]
4.3.2. Heat Transfer Enhancement Mechanism
4.4. Comparison with the Other Ribs
5. Conclusions
Author Contributions
Funding
Data Availability Statement
Acknowledgments
Conflicts of Interest
Nomenclature
| Ab | area of heated bottom wall [m2] |
| Acontact | contact area between the fluid and the substrate [m2] |
| b | ribs width [m] |
| Cp | specific heat [J/(kg·K)] |
| Dh | hydraulic diameter [m] |
| f | average friction factor |
| fapp,ave | Darcy friction coefficient |
| h | ribs height [m] |
| hlocal | local convective heat transfer coefficient [W/(m2.K)] |
| average convective heat transfer coefficient [W/(m2.K)] | |
| Hch | height of MCs [m] |
| JnABS | absolute vorticity [1/s] |
| JF | heat transfer performance factor |
| Kn | Knudsen number |
| Lx, Ly, Lz | overall dimensions of the MC heat sink (width, height, length) [m] |
| l | ribs length [m] |
| Nulocal | local Nusselt number |
| Nu | averaged Nusselt number |
| Nus | span-averaged over the cross-sectional area |
| Δp | pressure drop [Pa] |
| q | heat flux [W/m2] |
| Re | Reynolds number |
| S | distance of transverse MCs [m] |
| s | distance from the rib to the entrance of MC [m] |
| Sev | volumetrically aveaged dimensionless secondary flow strength |
| Ses | Cross-section averaged dimensionless secondary flow strength |
| Tf | fluid temperature [K] |
| averaged fluid temperature [K] | |
| Tw | heated bottom wall temperature [K] |
| Us | characteristic velocity of secondary flow [m/s] |
| win | fluid flow inlet velocity [m/s] |
| wm | average fluid flow velocity [m/s] |
| Wch | MC width [m] |
| Ww | MC wall width [m] |
| Wb | base thickness of the heat sink [m] |
| x,y,z | coordinates (Figure 1) [m] |
| Greeks | |
| ratio of width to height of MC | |
| β | separation angle |
| k | thermal conductivity [W/(m·K)] |
| μ | dynamic viscosity [kg/(m·s)] |
| ρ | density [kg/m3] |
| ω | vorticity component [1/s] |
| Subscripts | |
| ABS | absolute value |
| b | heat sink base |
| f | fluid |
| h | hydraulic |
| in | inlet |
| local | local value |
| m | mean |
| out | outlet |
| s | substrate, span averaged |
| 0 | rectangular straight MCs without microchambers |
| abbreviation list | |
| MC | micro channel |
| MEMS | micro electro-mechanical system |
| CMC | continuous micro channel |
| PMMC | MC having periodically merged chamber |
| PMMC-C | MC having periodically merged chamber mounted with cylindrical ribs |
| PMMC-D | MC having periodically merged chamber mounted with diamond ribs |
| PMMC-R | MC having periodically merged chamber mounted with rectangular ribs |
| PMMC-T | MC having periodically merged chamber mounted with triangular ribs |
References
- Li, C.; Zheng, Y.; Huang, H.; Zhang, W.; Hu, Y.; Shang, Y. Numerical study on hydrothermal performance in a microchannel with gradient array of ribs and pin fins. Int. J. Therm. Sci. 2025, 210, 109562. [Google Scholar] [CrossRef]
- Yin, Y.; Qian, Z.; Cheng, J.; Qiu, Y.; Bi, X.; Wang, Q.; Liu, J. Investigation on the thermohydraulic performance of a microchannel heat exchanger incorporating staggered truncated fins. Int. Commun. Heat Mass. Transf. 2024, 159, 108202. [Google Scholar]
- Du, L.; Hu, W.; Deng, N.; Zhang, Z.; Wang, H. Computational analysis of heat transfer and fluid flow characteristics in a diamond microchannel heat sink with orthogonal ribs. Case Stud. Therm. Eng. 2025, 67, 105850. [Google Scholar] [CrossRef]
- Alfellag, M.A.; Ahmed, H.E.; Fadhil, O.T.; Kherbeet, A.S. Optimal hydrothermal design of microchannel heat sink using trapezoidal cavities and solid/slotted oval pins. Appl. Therm. Eng. 2019, 158, 113765. [Google Scholar] [CrossRef]
- Ma, D.D.; Xia, G.D.; Wang, W.; Jia, Y.T.; Yang, Y.C. Study on thermal performance of microchannel heat sinks with periodic jetting and throttling structures in sidewalls. Appl. Therm. Eng. 2019, 158, 113764. [Google Scholar] [CrossRef]
- Vasilev, M.P.; Abiev, R.S.; Kumar, R. Effect of circular pin-fins geometry and their arrangement on heat transfer performance for laminar flow in microchannel heat sink. Int. J. Therm. Sci. 2021, 170, 107177. [Google Scholar] [CrossRef]
- Tian, S.Y.; Jiao, Y.G.; Sun, H.K.; Liu, B.; Han, F. Study on structure optimization and flow characteristics of discontinuous microchannels. J. Mech. Eng. 2023, 59, 274–282. [Google Scholar]
- Li, Y.F.; Wang, Z.P. Flow and heat transfer characteristics in microchannels with periodic turbulent flow structure. Chem. Ind. Eng. Prog. 2022, 41, 2893–2901. [Google Scholar]
- Pourhammati, S.; Hossainpour, S. Improving the hydrothermal characteristics of wavy microchannel heat sink by modification of wavelength and wave amplitude. Int. Commun. Heat Mass. Transf. 2022, 130, 105805. [Google Scholar] [CrossRef]
- Lin, L.; Zhao, J.; Lu, G.; Wang, X.D.; Yan, W.M. Heat transfer enhancement in microchannel heat sink by wavy channel with changing wavelength/amplitude. Int. J. Therm. Sci. 2017, 118, 423–434. [Google Scholar] [CrossRef]
- Lin, L.; Chen, Y.Y.; Zhang, X.X.; Wang, X.D. Optimization of geometry and flow rate distribution for double-layer microchannel heat sink. Int. J. Therm. Sci. 2014, 78, 158–168. [Google Scholar] [CrossRef]
- Ansari, D.; Kim, K.Y. Hotspot thermal management using a microchannel-pinfin hybrid heat sink. Int. J. Therm. Sci. 2018, 134, 27–39. [Google Scholar] [CrossRef]
- Chai, L.; Xia, G.D.; Zhou, M.Z.; Li, J.; Qi, J.Z. Optimum thermal design of interrupted microchannel heat sink with rectangular ribs in the transverse microchambers. Appl. Therm. Eng. 2013, 51, 880–889. [Google Scholar] [CrossRef]
- Wong, K.; Lee, J. Investigation of thermal performance of microchannel heat sink with triangular ribs in the transverse microchambers. Int. Commun. Heat Mass. Transf. 2015, 65, 103–110. [Google Scholar] [CrossRef]
- Agrawal, A.; Prabhu, S.V. Survey on measurement of tangential momentum accommodation coefficient. J. Vac. Sci. Technol. A 2008, 26, 634–645. [Google Scholar] [CrossRef]
- Brush, G.S.; Hall, S.N. Historical Commentary. In The Kinetic Theory of Gases: An Anthology of Classic Papers with Historical Commentary; Imperial College Press: London, UK, 2003; pp. 1–281. [Google Scholar]
- Zhu, X.; Liao, Q. Heat transfer for laminar slip flow in a microchannel of arbitrary cross section with complex thermal boundary conditions. Appl. Therm. Eng. 2006, 26, 1246–1256. [Google Scholar] [CrossRef]
- Qu, W.; Mudawar, I. Experimental and numerical study of pressure drop and heat transfer in a single-phase micro-channel heat sink. Int. J. Heat Mass. Transf. 2002, 45, 2549–2565. [Google Scholar] [CrossRef]
- Steinke, E.M.; Kandlikar, G.S. Single-phase liquid friction factors in microchannels. Int. J. Therm. Sci. 2006, 45, 1073–1083. [Google Scholar] [CrossRef]
- Chai, L.; Xia, G.D.; Zhou, M.Z.; Yang, R.B. Numerical simulation of liquid flow and heat transfer characteristics in fan-shaped cavity microchannels. J. Harbin Inst. Technol. 2011, 43, 122–126. [Google Scholar]
- Shan, R.K.; London, A.L. Laminar Flow Forced Convection in Ducts; Academic Press: New York, NY, USA, 1978. [Google Scholar]
- Zhai, Y.L.; Xia, G.D.; Cui, Z.Z. Numerical simulation of flow and heat transfer in spaced-sector cavity microchannels. J. Beijing Univ. Technol. 2014, 40, 627–633. [Google Scholar]
- Hong, F.; Cheng, P. Three-dimensional numerical analyses and optimization of offset strip-fin microchannel heat sinks. Int. Commun. Heat Mass. Transf. 2009, 36, 651–656. [Google Scholar] [CrossRef]
- Zhou, J.; Hatami, M.; Song, D.; Jing, D. Design of microchannel heat sink with wavy channel and its time-efficient optimization with combined RSM and FVM methods. Int. J. Heat Mass. Transf. 2016, 103, 715–724. [Google Scholar] [CrossRef]
- Liu, X.; Yang, Z.; Ye, X.; Lu, Q.; Yuan, S.; Jiang, F. Numerical Study and Structural Optimization of Impinging Jet Heat Transfer Performance of Floatation Nozzle. Processes 2024, 12, 106. [Google Scholar] [CrossRef]























| Wb | Ww | Wch | Hch | Sz | Lmerg | l | h | b | s | Lx | Ly | Lz |
|---|---|---|---|---|---|---|---|---|---|---|---|---|
| 0.15 | 0.3 | 0.1 | 0.2 | 3.7 | 1.1 | 0.4 | 0.2 | 0.16 | 0.35 | 2.5 | 0.35 | 10 |
| cp J/(kg·K) | ρ (kg/m3) | λ W/(m·K) |
|---|---|---|
| 700 | 2330 | 148 |
| Scheme | Grid Number | (K) | Nu | f |
|---|---|---|---|---|
| 1 | 1,280,165 | 297.8 | 11.04 | 0.16 |
| 2 | 1,064,070 | 297.8 | 10.99 | 0.15 |
| 3 | 886,439 | 297.8 | 10.83 | 0.15 |
Disclaimer/Publisher’s Note: The statements, opinions and data contained in all publications are solely those of the individual author(s) and contributor(s) and not of MDPI and/or the editor(s). MDPI and/or the editor(s) disclaim responsibility for any injury to people or property resulting from any ideas, methods, instructions or products referred to in the content. |
© 2025 by the authors. Licensee MDPI, Basel, Switzerland. This article is an open access article distributed under the terms and conditions of the Creative Commons Attribution (CC BY) license (https://creativecommons.org/licenses/by/4.0/).
Share and Cite
Lu, X.; Wang, L.; Wang, L.; Hu, Y. Heat Transfer Enhancement of Diamond Rib Mounted in Periodic Merging Chambers of Micro Channel Heat Sink. Micromachines 2025, 16, 533. https://doi.org/10.3390/mi16050533
Lu X, Wang L, Wang L, Hu Y. Heat Transfer Enhancement of Diamond Rib Mounted in Periodic Merging Chambers of Micro Channel Heat Sink. Micromachines. 2025; 16(5):533. https://doi.org/10.3390/mi16050533
Chicago/Turabian StyleLu, Xin, Lu Wang, Liangbi Wang, and Yao Hu. 2025. "Heat Transfer Enhancement of Diamond Rib Mounted in Periodic Merging Chambers of Micro Channel Heat Sink" Micromachines 16, no. 5: 533. https://doi.org/10.3390/mi16050533
APA StyleLu, X., Wang, L., Wang, L., & Hu, Y. (2025). Heat Transfer Enhancement of Diamond Rib Mounted in Periodic Merging Chambers of Micro Channel Heat Sink. Micromachines, 16(5), 533. https://doi.org/10.3390/mi16050533
