A Study of Reverse Characteristics of GaN-on-Si Quasi-Vertical PiN Diode with Beveled Sidewall and Fluorine Plasma Treatment
Abstract
1. Introduction
2. Experimental Section
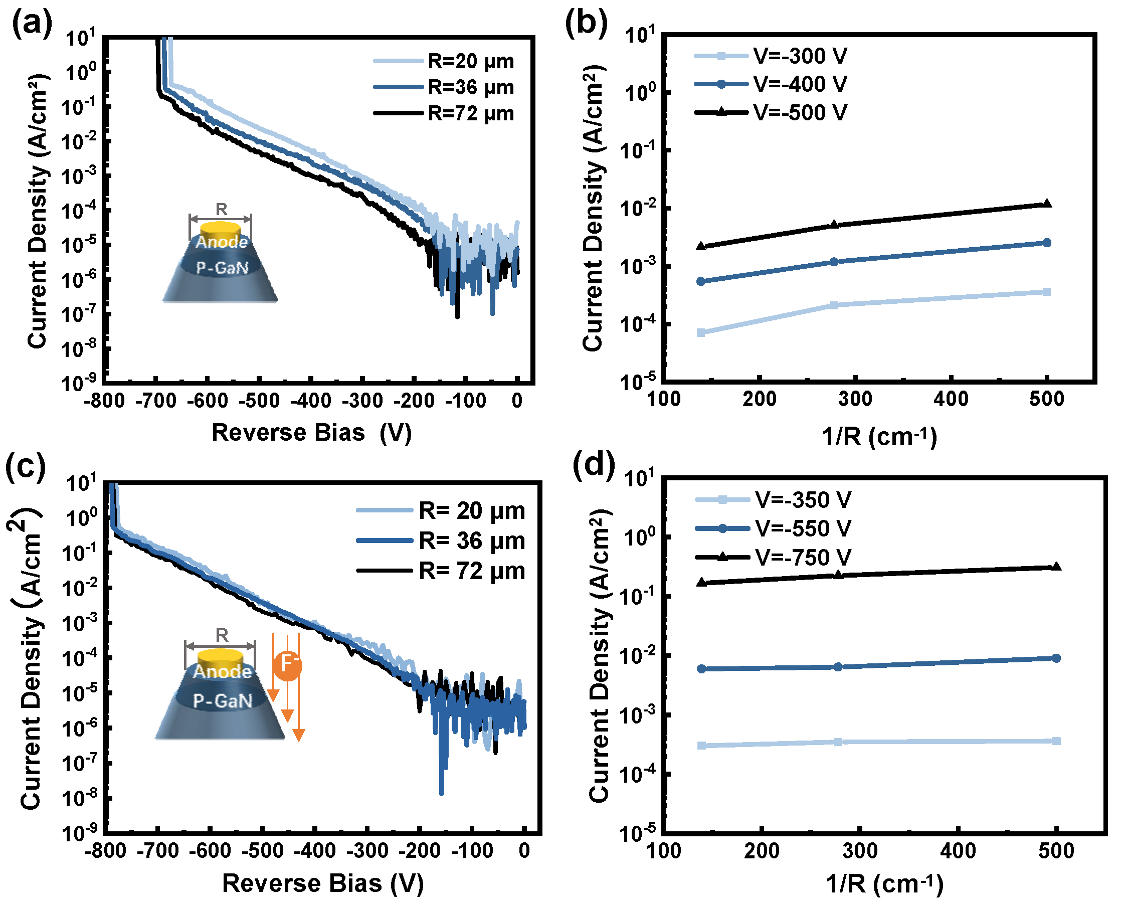
3. Results and Discussion
4. Conclusions and Perspectives
Author Contributions
Funding
Data Availability Statement
Conflicts of Interest
References
- Kodama, M.; Sugimoto, M.; Hayashi, E.; Soejima, N.; Ishiguro, O.; Kanechika, M.; Itoh, K.; Ueda, H.; Uesugi, T.; Kachi, T. GaN-based trench gate metal oxide semiconductor field-effect transistor fabricated with novel wet etching. Appl. Phys. Express 2008, 1, 021104. [Google Scholar] [CrossRef]
- Bandić, Z.Z.; Bridger, P.M.; Piquette, E.C.; McGill, T.C.; Vaudo, R.P.; Phanse, V.M.; Redwing, J.M. High voltage (450 V) GaN schottky rectifiers. Appl. Phys. Lett. 1999, 74, 1266–1268. [Google Scholar] [CrossRef]
- Wang, J.; Zhou, H.; Zhang, J.; Liu, Z.; Xu, S.; Feng, Q.; Ning, J.; Zhang, C.; Ma, P.; Zhang, J.; et al. Demonstration of Al0.85Ga0.15N Schottky barrier diode with >3 kV breakdown voltage and the reverse leakage currents formation mechanism analysis. Appl. Phys. Lett. 2021, 118, 173505. [Google Scholar] [CrossRef]
- Xiao, M.; Ma, Y.; Cheng, K.; Liu, K.; Xie, A.; Beam, E.; Cao, Y.; Zhang, Y. 3.3 kV multi-channel AlGaN/GaN Schottky barrier diodes with P-GaN termination. IEEE Electron Device Lett. 2020, 41, 1177–1180. [Google Scholar] [CrossRef]
- Yang, S.; Han, S.; Sheng, K.; Chen, K.J. Dynamic on-resistance in GaN power devices: Mechanisms, characterizations, and modeling. IEEE J. Emerg. Sel. Top. Power Electron. 2019, 7, 1425–1439. [Google Scholar] [CrossRef]
- Zhou, Q.; Chen, H.; Zhou, C.; Feng, Z.H.; Cai, S.J.; Chen, K.J. Schottky source/drain InAlN/AlN/GaN MISHEMT with enhanced breakdown voltage. IEEE Electron Device Lett. 2011, 33, 38–40. [Google Scholar] [CrossRef]
- Hayashida, T.; Nanjo, T.; Furukawa, A.; Yamamuka, M. Vertical GaN merged PiN Schottky diode with a breakdown voltage of 2 kV. Appl. Phys. Express 2017, 10, 061003. [Google Scholar] [CrossRef]
- Gupta, C.; Lund, C.; Chan, S.H.; Agarwal, A.; Liu, J.; Enatsu, Y.; Keller, S.; Mishra, U.K. In situ oxide, GaN interlayer-based vertical trench MOSFET (OG-FET) on bulk GaN substrates. IEEE Electron Device Lett. 2017, 38, 353–355. [Google Scholar] [CrossRef]
- Gupta, C.; Enatsu, Y.; Gupta, G.; Keller, S.; Mishra, U.K. High breakdown voltage p-n diodes on GaN on sapphire by MOCVD. Phys. Status solidi 2016, 213, 878–882. [Google Scholar] [CrossRef]
- Nie, H.; Diduck, Q.; Alvarez, B.; Edwards, A.P.; Kayes, B.M.; Zhang, M.; Ye, G.; Prunty, T.; Bour, D.; Kizilyalli, I.C. 1.5-kV and 2.2-mΩ·cm2 Vertical GaN Transistors on Bulk-GaN Substrates. IEEE Electron Device Lett. 2014, 35, 939–941. [Google Scholar] [CrossRef]
- Hatakeyama, Y.; Nomoto, K.; Kaneda, N.; Kawano, T.; Mishima, T.; Nakamura, T. 3.0 GW/cm2 Figure-of-Merit GaN pn Junction Diodes on Free-Standing GaN Substrates. IEEE Electron Device Lett. 2011, 32, 1674–1676. [Google Scholar] [CrossRef]
- Zhang, Y.; Sun, M.; Liu, Z.; Piedra, D.; Lee, H.-S.; Gao, F.; Fujishima, T.; Palacios, T. Electrothermal simulation and thermal performance study of GaN vertical and lateral power transistors. IEEE Trans. Electron Devices 2013, 60, 2224–2230. [Google Scholar] [CrossRef]
- Kizilyalli, I.C.; Prunty, T.; Aktas, O. 4-kV and 2.8-mΩ·cm2 Vertical GaN pn Diodes with Low Leakage Currents. IEEE Electron Device Lett. 2015, 36, 1073–1075. [Google Scholar] [CrossRef]
- Aktas, O.; Kizilyalli, I.C. Avalanche capability of vertical GaN pn junctions on bulk GaN substrates. IEEE Electron Device Lett. 2015, 36, 890–892. [Google Scholar] [CrossRef]
- Niwa, H.; Suda, J.; Kimoto, T. 21.7 kV 4H-SiC PiN diode with a space-modulated junction termination extension. Appl. Phys. Express 2012, 5, 064001. [Google Scholar] [CrossRef]
- Niwa, H.; Feng, G.; Suda, J.; Kimoto, T. Breakdown characteristics of 15-kV-class 4H-SiC PiN diodes with various junction termination structures. IEEE Trans. Electron Devices 2012, 59, 2748–2752. [Google Scholar] [CrossRef]
- Khadar, R.A.; Liu, C.; Zhang, L.; Xiang, P.; Cheng, K.; Matioli, E. 820-V GaN-on-Si quasi-vertical pin diodes with BFOM of 2.0 GW/cm2. IEEE Electron Device Lett. 2018, 39, 401–404. [Google Scholar] [CrossRef]
- Han, S.; Yang, S.; Sheng, K. Fluorine-implanted termination for vertical GaN Schottky rectifier with high blocking voltage and low forward voltage drop. IEEE Electron Device Lett. 2019, 40, 1040–1043. [Google Scholar] [CrossRef]
- Chen, J.; Bian, Z.; Liu, Z.; Ning, J.; Duan, X.; Zhao, S.; Wang, H.; Tang, Q.; Wu, Y.; Song, Y.; et al. High-performance quasi-vertical GaN Schottky barrier diode with anode selective fluorine treatment. Semicond. Sci. Technol. 2019, 34, 115019. [Google Scholar] [CrossRef]
- Kaplar, R.J.; Gunning, B.P.; Allerman, A.A.; Crawford, M.H.; Flicker, J.D.; Armstrong, A.M.; Yates, L.; Binder, A.T.; Dickerson, J.R.; Pickrell, G.; et al. Development of high-voltage vertical GaN PN diodes. In Proceedings of the IEEE International Electron Devices Meeting (IEDM), San Francisco, CA, USA, 12–18 December 2020; pp. 5.1.1–5.1.4. [Google Scholar]
- Zhang, Y.; Sun, M.; Piedra, D.; Azize, M.; Zhang, X.; Fujishima, T.; Palacios, T. GaN-on-Si vertical Schottky and pn diodes. IEEE Electron Device Lett. 2014, 35, 618–620. [Google Scholar]
- Zhang, Y.; Sun, M.; Wong, H.Y.; Lin, Y.; Srivastava, P.; Hatem, C.; Azize, M.; Piedra, D.; Yu, L.; Sumitomo, T.; et al. Origin and control of OFF-state leakage current in GaN-on-Si vertical diodes. IEEE Trans. Electron Devices 2015, 62, 2155–2161. [Google Scholar] [CrossRef]
- Wang, M.; Chen, K.J. Improvement of the off-state breakdown voltage with fluorine ion implantation in AlGaN/GaN HEMTs. IEEE Trans. Electron Devices 2010, 58, 460–465. [Google Scholar] [CrossRef]
- Chen, K.J.; Yuan, L.; Wang, M.J.; Chen, H.; Huang, S.; Zhou, Q.; Zhou, C.; Li, B.K.; Wang, J.N. Physics of fluorine plasma ion implantation for GaN normally-off HEMT technology. In Proceedings of the 2011 International Electron Devices Meeting, Washington, DC, USA, 5–7 December 2011; pp. 19.4.1–19.4.4. [Google Scholar]
- Cai, Y.; Zhou, Y.; Chen, K.; Lau, K. High-performance enhancement-mode AlGaN/GaN HEMTs using fluoride-based plasma treatment. IEEE Electron Device Lett. 2005, 26, 435–437. [Google Scholar]
- Zhang, Y.; Piedra, D.; Sun, M.; Hennig, J.; Dadgar, A.; Yu, L.; Palacios, T. High-performance 500 V quasi-and fully-vertical GaN-on-Si pn diodes. IEEE Electron Device Lett. 2016, 38, 248–251. [Google Scholar] [CrossRef]
- Zhang, X.; Zou, X.; Lu, X.; Tang, C.W.; Lau, K.M. Fully-and quasi-vertical GaN-on-Si pin diodes: High performance and comprehensive comparison. IEEE Trans. Electron Devices 2017, 64, 809–815. [Google Scholar] [CrossRef]
- Zou, X.; Zhang, X.; Lu, X.; Tang, C.W.; Lau, K.M. Fully vertical GaN pin diodes using GaN-on-Si epilayers. IEEE Electron Device Lett. 2016, 37, 636–639. [Google Scholar] [CrossRef]
- Mase, S.; Urayama, Y.; Hamada, T.; Freedsman, J.J.; Egawa, T. Novel fully vertical GaN p–n diode on Si substrate grown by metalorganic chemical vapor deposition. Appl. Phys. Express 2016, 9, 111005. [Google Scholar] [CrossRef]
- Zheng, B.S.; Chen, P.Y.; Yu, C.J.; Chang, Y.F.; Ho, C.L.; Wu, M.C.; Hsieh, K.C. Suppression of current leakage along mesa surfaces in GaN-based pin diodes. IEEE Electron Device Lett. 2015, 36, 932–934. [Google Scholar] [CrossRef]
- Guo, X.; Zhong, Y.; Zhou, Y.; Chen, X.; Yan, S.; Liu, J.; Sun, X.; Sun, Q.; Yang, H. 1200-V GaN-on-Si quasi-vertical pn diodes. IEEE Electron Device Lett. 2022, 43, 2057–2060. [Google Scholar] [CrossRef]








| Reference | VBR (V) | Ion/Ioff | IR (200 V) (A/cm2) | IR (700) (A/cm2) |
|---|---|---|---|---|
| [21] MIT,14 | >300 | - | ~10−2 | - |
| [29] NIT,16 | 288 | ~1010 | 10−4–10−3 | - |
| [27] HKUST,16 | 390 | ~107 | 10−3–10−2 | - |
| [26] MIT,16 | >500 | - | 10−4–10−3 | - |
| [17] EPFL,18 | 820 | - | 10−4–10−3 | 100–101 |
| [31] SINANO,22 | 1200 | ~1010 | 10−7–10−6 | 10−3–10−2 |
| This work | 790 | ~1011 | 10−5–10−4 | 10−2–10−1 |
Disclaimer/Publisher’s Note: The statements, opinions and data contained in all publications are solely those of the individual author(s) and contributor(s) and not of MDPI and/or the editor(s). MDPI and/or the editor(s) disclaim responsibility for any injury to people or property resulting from any ideas, methods, instructions or products referred to in the content. |
© 2024 by the authors. Licensee MDPI, Basel, Switzerland. This article is an open access article distributed under the terms and conditions of the Creative Commons Attribution (CC BY) license (https://creativecommons.org/licenses/by/4.0/).
Share and Cite
Jia, F.; Chang, Q.; Li, M.; Liu, Y.; Lu, Z.; Zhang, J.; Lai, J.; Lu, H.; Lu, Y.; Hou, B.; et al. A Study of Reverse Characteristics of GaN-on-Si Quasi-Vertical PiN Diode with Beveled Sidewall and Fluorine Plasma Treatment. Micromachines 2024, 15, 1448. https://doi.org/10.3390/mi15121448
Jia F, Chang Q, Li M, Liu Y, Lu Z, Zhang J, Lai J, Lu H, Lu Y, Hou B, et al. A Study of Reverse Characteristics of GaN-on-Si Quasi-Vertical PiN Diode with Beveled Sidewall and Fluorine Plasma Treatment. Micromachines. 2024; 15(12):1448. https://doi.org/10.3390/mi15121448
Chicago/Turabian StyleJia, Fuchun, Qingyuan Chang, Mengdi Li, Yungang Liu, Ziyan Lu, Jifan Zhang, Jinming Lai, Hao Lu, Yang Lu, Bin Hou, and et al. 2024. "A Study of Reverse Characteristics of GaN-on-Si Quasi-Vertical PiN Diode with Beveled Sidewall and Fluorine Plasma Treatment" Micromachines 15, no. 12: 1448. https://doi.org/10.3390/mi15121448
APA StyleJia, F., Chang, Q., Li, M., Liu, Y., Lu, Z., Zhang, J., Lai, J., Lu, H., Lu, Y., Hou, B., Yang, L., & Ma, X. (2024). A Study of Reverse Characteristics of GaN-on-Si Quasi-Vertical PiN Diode with Beveled Sidewall and Fluorine Plasma Treatment. Micromachines, 15(12), 1448. https://doi.org/10.3390/mi15121448

