Next Article in Journal
Editorial for the Special Issue on Advanced Machine Learning Techniques for Sensing and Imaging Applications
Next Article in Special Issue
Correction: Lai et al. Sensitivity Enhancement of Group Refractive Index Biosensor through Ring-Down Interferograms of Microring Resonator. Micromachines 2022, 13, 922
Previous Article in Journal
Planar Optofluidic Integration of Ring Resonator and Microfluidic Channels
Previous Article in Special Issue
Sensitivity Enhancement of Group Refractive Index Biosensor through Ring-Down Interferograms of Microring Resonator
 
 
Font Type:
Arial Georgia Verdana
Font Size:
Aa Aa Aa
Line Spacing:
Column Width:
Background:
Article

High-Frequency and Spectrum-Clean Shear-Horizontal Acoustic Wave Resonators with AlN Overlay

The Key Laboratory for Information Science of Electromagnetic Waves, School of Information Science and Technology, Fudan University, Shanghai 200438, China
*
Author to whom correspondence should be addressed.
Micromachines 2022, 13(7), 1029; https://doi.org/10.3390/mi13071029
Submission received: 25 May 2022 / Revised: 24 June 2022 / Accepted: 24 June 2022 / Published: 29 June 2022
(This article belongs to the Special Issue Micro/Nano Resonators, Actuators, and Their Applications)

Abstract

:
By bonding the sub-wavelength-thick lithium niobate (LiNbO3) layer to high-phase-velocity (vp) substrates, such as Si, the shear-horizontal (SH) modes no longer couple with the bulk modes leaking into substrates. As the propagation loss is no longer the major concern for these types of nonleaky SH wave devices, the YX-LiNbO3 with a low rotation angle providing ultra-large coupling coefficient (keff2) can be used. In addition, by overlaying a high-velocity layer such as AlN on top of LiNbO3/Si, the vp of the SH wave can be significantly enhanced at a small cost of keff2. By a careful design of the stack, both the wide-band spurious (Lamb wave) and near-band spurious (Rayleigh wave) are suppressed successfully. This paper focuses on the design of layered substrate not only to optimize its resonance characteristics—series frequency (fs), quality factor (Q), keff2, and temperature coefficient of frequency (TCF)—but also for eliminating the out-of-band spurious responses. The optimized substrate design demonstrates the minimal propagation loss, high fs of 3 GHz, large keff2 of 14.4% and a spurious-free response at 0–6 GHz. These novel nonleaky SH wave devices can potentially enable the low loss and wideband processing functions, which is promising for the 5G/6G radio frequency (RF) communication systems.

1. Introduction

The propagation-loss mechanisms of shear-horizontal (SH)-type waves on LiNbO3 and LiTaO3 have been intensively studied recently [1,2,3,4,5,6]. By bonding the sub-wavelength-thick LiNbO3 or LiTaO3 layer to a high-velocity substrate, the SH mode no longer couples with the bulk mode in substrate and the leaky component is effectively eliminated [1,2,3,4,5,6]; thus, the SH wave can abandon its traditional name—“leaky-surface acoustic wave (SAW)” but a favorable “nonleaky” feature instead. There are many choices of high-velocity substrates, such as AlN, Si, quartz, diamond, etc. [1,2,3,4,5], and Si is used as an example in this study for its wide availability and cheap price. In addition, given that the acoustic propagation loss no longer dictates the choice of piezoelectric-substrate cut angle and ultra-large effective coupling coefficient (keff2), cuts can be taken advantage of, such as low rotation from YX-LiNbO3 [3,4,5,6,7].
Long-Term Evolution (LTE)—Advancement Pro, 5G sub-6 GHz new radio (NR), and emerging 6G standards require low-loss and wide-bandwidth (fractional bandwidth > 5%) filters that push the frequency limits SAW technology using optical lithography up to more than 2.5 GHz range [8,9,10,11,12,13,14]. That shrinking SAW resonators size enables the high frequency, while the quality-factor (Q) significantly deteriorates. With the keff2 less than 10% and phase velocity (vp) less than 4500 m/s, the current commercially popular standard-SAW and Temperature Compensated Surface Acoustic Wave (TCSAW) devices can hardly meet the requirements. Intriguingly, the low-angle-rotated YX-LiNbO3 provides ultralarge intrinsic keff2 (~30%). After LiNbO3 bonded to Si, the propagation-loss problem is resolved and high Q is achieved [4]. The multilayered LiNbO3 SAW devices with ultralarge keff2 and high Q meet requirements in low frequency (<2.5 GHz). However, the vp is still relatively low (~4000 m/s), limiting its application in LTE high-band (2.5–3.5 GHz, such as band 7, band41, etc.) filters and 5G NR applications. A high-velocity layer beneath the piezoelectric LiNbO3 or LiTaO3 does not effectively increase the phase velocity of the SH mode; rather, by adding a high-velocity layer, such as AlN, overlaid on top of the transducer and LiNbO3, the phase velocity of the SH mode is visibly increased with only minimal trade-off on the keff2, which can be much larger than needed for majority of the bands. In this way, a desirable nonleaky SH wave resonator with low propagation loss, high frequency (f), and large-keff2 can be achieved.
In addition, without a careful design of the substrate, the layered SH potentially has spurious responses in the out-of-band frequencies (Lamb modes) and near-band frequencies. This paper focuses on the design of layered substrate not only to optimize its narrow-band characteristics—f, Q, keff2, temperature coefficient of frequency (TCF)—but also for eliminating the out-of-band spurious responses.
By using the numerical calculation and finite-element-method (FEM) approaches, propagation characteristics of the SH modes in LiNbO3/Si and AlN/LiNbO3/Si are derived with varied substrate designs and the device performance is optimized as well as the presence of spurious modes avoided. Based on the analyses, new stacks with optimized substrate design are obtained, demonstrating the high frequency of 3 GHz at 1 µm interdigital transducer (IDT) pitch, high keff2 (14.4%) and a spurious free response at 0–6 GHz. After optimizations, these novel AlN/LiNbO3/Si nonleaky SH devices, featuring superb performance with high frequency ability and being spurious-free, show great potential for filters in next-generation RF front ends.
Symbols used in this paper are listed in Table 1.

2. Substrate Leakage

Figure 1 depicts the FEM-simulated mode shapes of the SH wave propagating in LiNbO3 substrate, LiNbO3/Si layered substrate, and AlN/LiNbO3/Si layered substrate. Perfect-matched-layer (PML) physics is assigned to bottom layers of the 3D unit cell models to simulate the substrate that is too thick, comparing it to wavelengths to generate wave reflections from its bottom. The periodic conditions are applied to both x (perpendicular to IDT fingers) and y (in parallel with IDT fingers) directions so that the basic semi-infinite plane condition is assumed for the wave propagation. The material constants are from [14,15,16,17] and are listed in Table 2. In the structures shown, hLiNbO3/λ = 0.25, hAlN/λ = 0.2 are assumed; 8%λ-thick aluminum (Al) is used as IDT electrodes here and throughout the paper.
As shown in Figure 1a, the shear component in YX-LiNbO3 substrate still concentrates at the surface, but strong leakage results from coupling to the slow shear bulk acoustic wave and mechanically propagates down obliquely, as shown in uz and ux. The lower-case coordinate x is the propagation direction proportional to IDT, y is the transversal direction parallel to IDT, and z the direction down into substrate. By bonding the high-velocity Si substrate to the sub-wavelength YX-LiNbO3, the SH wave in LiNbO3/Si (Figure 1b) no longer couples with the bulk mode and leaks into the substrate since the bulk velocity is higher than the SH mode on surface. After adding an AlN coating layer, the SH mode still concentrates in the LiNbO3 piezoelectric layer and minimizes the leaky component into the Si substrate (Figure 1c).

3. Propagation Characteristics of SH Wave in LiNbO3/Si

The vp and keff2 of the SH waves propagating in the single and layered piezoelectric substrates can be theoretically calculated using numerical analysis—Adler’s matrix approach [17] or FEM [18]. The material constants for both the calculation and FEM simulation are also listed in Table 2. The numerically calculated propagation characteristics are checked with FEM simulation and agreed well with the FEM results. In the FEM simulation, the model is a 3D building-block cell with periodic boundary conditions (BCs) on both x- and y- directions. All the keff2 are derived from series-resonance frequency (fs) and parallel-resonance frequency (fp) using the IEEE standard definition of the device electromechanical coupling [19]:
k eff 2 = π 2 f s f p [ tan ( π 2 f s f p ) ] 1 .
Comparing to the intrinsic coupling coefficient (k intr2) derived from the difference from the open- and metallized-surface vp:
k intr 2 = v p , o 2 v p , m 2 v p , o 2
the device-level keff2 yields close values to the kintr2 and considers the electric field more accurately. The differences of these two definitions of couplings are discussed and compared in detail in Figure 2 of the reference [18]. Despite the similarity for a standard device, the impact of the actual electrode cross-sectional shape and coverage ratio can be considered in the keff2 derivation but not kintr2, so the keff2 evaluation offers better accuracy and potential for the future device optimization. As a result, the device-level coupling coefficient keff2 is utilized throughout the analysis of this work.

3.1. Cut Angle

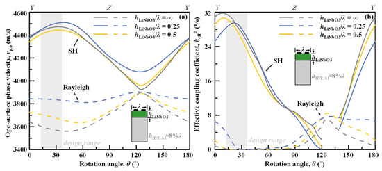
As the propagation loss is no longer the main concern and dictates the cut-angle selection for the nonleaky SH wave in bonded wafers, the optimal cut angle can be chosen to optimize vp and keff2. Figure 2a,b depicts the open-surface phase velocities vp,o and keff2 for LiNbO3/Si across all rotation angles θ from the YX-LiNbO3 with varied thicknesses of LiNbO3 for both the SH main mode and the Rayleigh spurious mode.
The impact of the rotation angle on the propagation characteristics of SH mode in LiNbO3/Si layered substrate is similar to on the LiNbO3 substrate [20], as depicted in Figure 2a. Fortunately, a low rotation angle from YX-LiNbO3 enables high vp,o, large keff2 for the SH main mode, and low keff2 for Rayleigh mode simultaneously. Therefore, the design range of θ is 10–40° for the LiNbO3/Si-based nonleaky SH wave devices for the high frequency, wide band, and clean spectrum, respectively.
In Figure 2b, it can also be noted that hLiNbO3 = 0.25λ enables higher vp,o than hLiNbO3 = 0.5λ of LiNbO3/Si or LiNbO3 substrate, and the optimized rotation angle also shifts up a bit for the optimum keff2. These indicate weak dispersion in the layered substrate due to the sub-wavelength-thick piezo thin film.

3.2. Dispersion and Spurious Modes

As shown in Figure 3a,b, the dispersive curves of the vp,o’s and keff2′s of the SH main mode, Rayleigh spurious mode, and S0 Lamb mode spurious mode propagating in the LiNbO3/Si bonded structure with varied rotation angle of YX-LiNbO3 are presented. Due to the sub-wavelength thick piezo-layer structure, the SH mode and Rayleigh mode show weak dispersive characteristics in the phase velocities. The S0 Lamb wave, however, shows even stronger dispersion due to its plate-wave type whose characteristics are usually impacted a lot by the piezoelectric-layer thickness normalized to wavelength. Although varying LiNbO3 thickness does not move the Rayleigh spurious mode away from the SH main mode in frequency, engineering the LiNbO3 thickness does effectively keep the Lamb modes distant in frequency from the SH mode. Luckily, when the hLiNbO3 < 0.5λ, the closest Lamb mode S0 mode would be 20% higher in frequency than the SH main mode, which makes a distance of at least 500 MHz if the SH passband is at 2.5 GHz.
The dispersive characteristics in keff2 is stronger than in vp,o for the SH mode, as shown in Figure 3b. In other words, the change of keff2 for SH mode with hLiNbO3 is more obvious than that of vp,o. In order to achieve a high keff2, the LiNbO3 cannot be too thin or too thick and the design range is preferred to be > 0.2λ and < 0.5λ. In addition, the Rayleigh and S0 Lamb spurious modes can also be suppressed by choosing the LiNbO3 thickness and cut-angle combination smartly. For the S0 Lamb mode, the case is simpler since its keff2 will lower at smaller LiNbO3 thicknesses under different LiNbO3 cut angle, and the design range of hLiNbO3 < 0.5λ fortunately happens to be able to suppress the S0 Lamb modes. As a contrary, the LiNbO3 thickness and rotation angle have to be optimized together for the Rayleigh mode, and a slightly larger rotation angle is preferred for the 0.2λ < hLiNbO3 < 0.5λ design range, such as 30° YX-LiNbO3.

3.3. Frequency Response

Figure 4a,b show the FEM-simulated narrow-band response compared to LiNbO3 substrate and wide-band response with periodic structure, which is a 1.5-dimension (1.5 D) model based on LiNbO3/Si with 30° YX-LiNbO3 and hLiNbO3 = 0.25. By the 1.5D model we assume an infinite number of IDT fingers (NF) and infinite aperture lengths, but the stack setup in z direction is fully considered (1D), as well as the IDT duty factor (DF = finger width/pitch) and IDT shape in periodicity (0.5D).
Comparing the conductance and admittance curves of the SH modes in LiNbO3 substrate and LiNbO3/Si in Figure 4a, it is clearly seen that in LiNbO3 substrate, as the bulk wave velocity is lower than SH wave, the antiresonance is distorted with low-Q, and from the conductance curve it could be observed that the wave cannot be effectively reflected in the stopband as well. On the contrary, for LiNbO3/Si stack, the parallel resonance features a very sharp response and the conductance level is very deep around the fp and throughout the stopband thanks to the minimal bulk radiation, again indicating the ultra-low propagation loss and the fact of nonleaky characteristics.
In addition, for the LiNbO3/Si and at this LiNbO3 cut angle and LiNbO3 layer thickness designed to lower the Rayleigh keff2 to near-zero, the narrow-band response (Figure 4a) is clean from the Rayleigh mode, which presents in the response based on LiNbO3 substrate. On the other hand, since the LiNbO3 is thin enough, the wide-band response of the LiNbO3/Si resonator also shows an extremely clean spectrum from 0 to 6 GHz.

4. Propagation Characteristics of SH Wave in AlN/LiNbO3/Si

4.1. Cut Angle

Figure 5a,b depict the open-surface phase velocities vp,o for varied normalized thicknesses of AlN overlay layer on top of the IDT transducers sitting on LiNbO3/Si and the piezo-layer is across all rotation angles from the YX-LiNbO3 with hLiNbO3 = 0.25 and hLiNbO3 = 0.5, respectively. The c-axis-oriented AlN material constants are from literature [15] and listed in Table 2. The nonleaky SH wave propagating in the AlN/LiNbO3/Si stack shows a similar trend to that in the LiNbO3/Si layered stack. For both LiNbO3 thickness cases, the phase velocity can be effectively enhanced by the AlN overlay, and the improvement converges when hAlN is larger than 0.2λ. The phase velocities of the SH modes in Figure 5a with hLiNbO3 = 0.25 are in general larger than the case in Figure 5b with hLiNbO3 = 0.5. As can be observed in Figure 5a, with hLiNbO3 = 0.25 and for θ between 20° and 80°, the vp,o can be as high as above 5000 m/s thanks to the AlN coating with hAlN > 0.2λ.
Furthermore, the Rayleigh mode in the case of hLiNbO3 = 0.25 are less coupled with the SH mode at a high rotation angle of around 128°, and also less perturbed by θ than the case of hLiNbO3 = 0.5. At low θ < 30°; however, the Rayleigh spurious mode is slightly closer to the SH mode in the case of hLiNbO3 = 0.25 than in the thicker case, which is in a similar trend with Figure 3a.
Figure 6a and b depict the effective coupling coefficient keff2 for varied thicknesses of AlN overlay layer on LiNbO3/Si across all rotation angles from the YX LiNbO3 with hLiNbO3 = 0.25 and hLiNbO3 = 0.5, respectively. Although the AlN overlay apparently lowers the keff2, the degraded keff2 would still be more than enough and much larger than the current technologies. Moreover, the reduction in keff2 would converge when hAlN is larger than 0.2λ. For both LiNbO3 thickness cases, and for cut angles between 0° and 60°, the keff2 can be as high as above 11%. Comparing two LiNbO3 thicknesses, the peak keff2 of the SH mode in AlN/LiNbO3/Si across a wide rotation-angle range are at similar level.
It is also interesting to note that at θ ~ 10°–30°, the keff2 of SH mode is maximized and at the same time the keff2 of Rayleigh mode is minimized, where the Rayleigh spurious mode can be suppressed in the nonleaky SH SAW resonator or filter. With AlN overlays, the optimized cut angle for Rayleigh mode elimination shifts down a bit. The optimal cut-angle design range would be of 10°–30° for simultaneously achieving high vp,o and large keff2 for the SH mode, as well as low- keff2 for Rayleigh mode.

4.2. Trade-Offs between vp,o and keff2

The trade-offs between the vp,o and keff2 by varying AlN thickness are compared for the nonleaky SH wave propagating in AlN/LiNbO3/Si with two different rotation angles of the piezoelectric LiNbO3, as presented in Figure 7a,b. It can be noted that both the vp,o and keff2 saturate when hAlN > 0.4λ. For both 15° YX-LiNbO3 and 30° YX-LiNbO3, the vp,o is much higher for the case of hLiNbO3 = 0.25λ than hLiNbO3 = 0.5λ, and the keff2 is also slightly higher for the thinner case. At θ = 15°, the saturated vp,o is as high as 5280 m/s when hLiNbO3 = 0.25λ; at θ = 30°, the saturated vp,o is 5240 m/s when hLiNbO3 = 0.25λ. The preferred AlN thickness design range would be between 0.2λ and 0.4λ right before the convergence in order to avoid additional mass loading on the device coupling.
Figure 8 depicts the displacement field as well as the first principal stress field of the nonleaky SH mode on the AlN/LiNbO3/Si with increasing AlN normalized thicknesses. It is most obvious that the mechanical fields become more penetrated and uniform when AlN becomes thicker. It is also intriguing to note that when the AlN layer is thicker than 0.4λ, the vibration becomes off the surface and concentrated in the highly piezo LiNbO3 layer; the AlN film then starts to be free of the mechanical vibration and transduction, indicating a stable mechanical-loading effect only instead of wave perturbation.
Both the saturated values of vp,o and keff2 are larger in the case of hLiNbO3 = 0.25λ compared to hLiNbO3 = 0.5λ for either 15° YX-LiNbO3 or 30° YX-LiNbO3. Note at for the 15° YX-LiNbO3 case, 0.5λ-thick LiNbO3 yields larger keff2 than 0.25λ-thick LiNbO3 when AlN overlay is not applied and hAlN = 0, which can also be observed from Figure 4b. However, even with slight AlN overlay, the keff2 of 0.25λ-thick LiNbO3 becomes similar or larger. As a result, for both rotation-angle cases, the 0.25λ-thick LiNbO3 enables much higher vp,o and similar keff2.
When hLiNbO3 = 0.25λ, the vp,o can be effectively boosted from 4420 m/s to 5280 m/s, showing a near 20% increase when hAlN is up to > 0.4λ. Although the keff2 is decreased by increasing hAlN, the absolute value is still above 14% even with a large hAlN, which is sufficient for most commercial bandwidths, thanks to the super-large intrinsic material electromechanical coupling K2 of the low-angle-rotated YX-LiNbO3.

4.3. Rayleigh Spurious

With the ability of high electromechanical coupling, the Rayleigh mode performs as the major spurious mode for most SH main-mode devices. In addition to the phase velocities of the Rayleigh mode always being very close to the SH mode, the Rayleigh spurious mode could generate prominent passband notches and near-band spikes for the SH wave filters, and pose severe risks for the application of the nonleaky SH waves. Therefore, the suppression of the Rayleigh spurious mode is highly desirable.
Figure 9 depicts the simulated keff2 of the Rayleigh spurious mode versus AlN thicknesses for the AlN/LiNbO3/Si with different rotation angle and hLiNbO3 = 0.25. While the 30° and 35° rotation angles enable near-zero keff2 of the Rayleigh mode, when AlN overlay becomes thicker, the preferred rotation angle is smaller for the low keff2 of the Rayleigh mode. Or, in other words, for different rotation angles of the LiNbO3 layer, the optimized AlN thicknesses for zero-coupling Rayleigh mode are varied: for relatively lower rotation angle, the optimized AlN thickness would be large to diminish the Rayleigh mode.
As concluded in the previous section, 0.2λ–0.4λ thick AlN overlay is preferred for enabling the large velocity and keff2 level at the same time. The optimized cut angle for the near-zero coupling of the Rayleigh spurious mode would be between 10° and 15° YX-LiNbO3, as shown in the yellow and green curves as examples inside the design range marked in Figure 9. Again, from the green and blue curves in Figure 6a, it can be found that 15° YX-LiNbO3 with 0.2λ AlN enables larger keff2 of the main mode than 10° YX-LiNbO3 with 0.3λ AlN. As a result, 15° YX-LiNbO3 with 0.2λ AlN can be chosen for a high suppression of the Rayleigh spurious mode, as well as enabling large vp and high keff2 for the main SH main mode simultaneously.

4.4. Improvement of TCF

In addition, without a careful design of the substrate, the layered SH potentially has spurious responses in the out-of-band frequencies (Lamb modes) and near-band frequencies. This paper focuses on the design of layered substrate not only to optimize its narrow-band characteristics—f, Q, keff2, temperature coefficient of frequency (TCF)—but also for eliminating the out-of-band spurious responses.
The TCF performance measuring the thermal stability of a resonator is set by the temperature dependence of phase velocity and the thermal-expansion coefficient of the wave along the propagation direction. The first-order TCF’s for the series resonance (TCFs,1st) and parallel resonance (TCFp,1st) are calculated as
T C F s , 1 s t = 1 f s f s T = 1 v p , S C v p , S C T α x ,
T C F p , 1 s t = 1 f p f p T = 1 v p , O C v p , O C T α x ,
where vp,SC and vp,OC refer to the phase velocities under short-circuited (SC) and open-circuited (OC) grating BCs, shown in the inset of FIG 10. From the coupling-of-modes (COM) theory, these BCs corresponds to the fs and fp, respectively. Their temperature dependence ∂/∂T is calculated from the temperature coefficients of stiffness constants, temperature coefficients of piezoelectric constants, and temperature coefficients of permittivity of LiNbO3, AlN, Si, and Al listed in Table 3. The αx corresponds to the thermal-expansion coefficient of the substrate in the wave-propagation direction x, also listed in Table 3. Since the Si substrate is much thicker than the LiNbO3 and AlN, the effect of thermal expansion is limited by the clamping substrate Si, and its α11 of 2.6 ppm/°C from literature [19] is used herein for the derivation.
Figure 10 shows the calculated TCFs,1st and TCFp,1st by varying the AlN thickness for the nonleaky SH waves propagating in AlN/LiNbO3/Si with the 0.25λ- thick 15° YX-LiNbO3 optimized from the previous analysis. Although AlN also becomes softer (contributing to TCV) and larger (contributing to α) when temperature rises, its TCF absolute value is much lower than LiNbO3—~−26 ppm/°C. Thus, the thicker AlN can reduce the thermal dependence of the phase velocity for the SH wave traveling in the composite structure. The TCFp,1st is always lower than TCFs,1st due to the positive Te15 and Te22 of LiNbO3; at a high temperature, keff2 would increase slightly.

4.5. Slowness Curve and Propagation Direction

Although the propagation direction can be lithographically controlled in most cases along the X direction (all the previous analysis assumes the X propagation direction), the polar plots of propagating characteristics versus propagation direction can be good indicators for understanding the wave properties as well as fostering the device design [20]. Figure 11a,b show the slowness (S) curve and the keff2 of the SH wave versus different propagation directions on the LiNbO3 substrate, LiNbO3/Si (hLiNbO3 = 0.25), and AlN/LiNbO3/Si (hLiNbO3 = 0.25, hAlN = 0.2). The slowness curve for the LiNbO3 substrate shows a concave feature, whereas for the LiNbO3/Si and AlN/ LiNbO3/Si stacks it is nearly straight near the x-axis, indicating minimal diffraction of the nonleaky SH wave. Usually, for a well-guided wave with convex slowness curves, a faster region is required at the lateral ends to guide the wave, and for the concave case there might be lateral leakage to the fast regions. For the “straight” type [3], the IDT gap region design would be different and less sensitive to the concave or convex cases. In addition, from Figure 11a, the phase vp’s is largely enhanced in all propagation directions after adding the AlN overlay.
In Figure 11b, the keff2 decreases drastically when the propagation direction deviates from the X-axis. In propagation directions close to X, the keff2 is slightly reduced from LiNbO3 substrate to the LiNbO3/Si nonleaky stack (agreeing with Figure 2b in the X axis case); in propagation directions close to Z, the keff2 is very slightly improved from LiNbO3 substrate to the LiNbO3/Si bonded structure. After adding the AlN overlay on top of the transducer, the keff2 reduces drastically due to the mechanical loading effect, and in the X direction the keff2 falls to between 10% and 15%, which is still more than enough for the advanced LTE bandwidth specification and most of the 5G NR bands.
In summary, the optimized propagation direction for the AlN/LiNbO3/Si resonator is the material X direction of LiNbO3 thanks for the fast wave-travelling velocity and the ultralarge keff2. The wave is also better-guided in the transversal direction compared to the traditional leaky-SH resonator based on LiNbO3 substrate.

4.6. Frequency Response

Combining the previous analysis toward a high-f, large- keff2, and spurious-free response utilizing the nonleaky SH wave, a stack with optimized substrate values is achieved: 5° YX-LiNbO3, hLiNbO3 = 0.25, and hAlN = 0.2. Figure 12a,b plot the FEM-simulated narrow-band responses of the SH wave in the AlN/LiNbO3/Si layered stack compared to LiNbO3/Si and LiNbO3 substrate, as well as wide-band response with periodic structure (1.5D model). Intriguingly, the AlN/LiNbO3/Si layered structure enables frequency as high as 3 GHz while the IDT pitch is as large as 1 μm, ensuing good power handling. The f can further scale up if smaller λ is employed. The frequency or vp has been increased by 18%, breaking the frequency limits for SAW resonators and filters and applicable to high-frequency bands in LTE-Advancement Pro and 5G NR.
Comparing admittance curves of the SH modes in AlN/ LiNbO3/Si, LiNbO3/Si, and LiNbO3 substrate in Figure 12a, it can be noted that the antiresonances for both AlN/LiNbO3/Si and LiNbO3/Si are very sharp, indicating a very high-quality factor at parallel-resonance (Qp) due to the elimination of bulk leakage (quality factor at series resonance (Qs) is usually dominated by the transducer resistance Rs and Qp dominated by the acoustic propagation loss).
In addition, the AlN/ LiNbO3/Si layered substrate with the optimized parameters shows an extremely clean response in both narrow and wide spectrums. The Rayleigh mode and Lamb modes are suppressed with keff2 of near-zero. By the analysis and careful design, the novel stack provides high performance, the ability of high frequency, and an extremely clean spectrum from 0 to 6 GHz simultaneously.

5. Conclusions

In this study, high-frequency nonleaky SH SAW resonators on AlN/LiNbO3/Si are demonstrated with thermal stability, large coupling and spurious-free. The high-velocity Si substrate was used to reduce the propagation leakage into substrate, and 15–30° rotation angles from YX-LiNbO3 were selected to provide the ultralarge keff2. A careful trade-off analysis is provided on the AlN coating thickness between the enhanced vp (f for given transducer) and the cost of extra keff2. Furthermore, the out-of-band and near-band spurious modes in the layered SAW structures were analyzed by using FEM simulations and the requirements for the substrate were derived to avoid the presence of spurious modes. Based on this analysis, a new nonleaky SH resonators with optimized substrate design are obtained, demonstrating the ability with a high frequency of 3 GHz at 1 μm IDT pitch, a high keff2 of 14.4% and a spurious-free response throughout 0–6 GHz, showing a great potential for 5G/6G RF communication systems.

Author Contributions

Conceptualization, Z.W., S.W., F.B. and J.Z.; methodology, Z.W., S.W.; software, Z.W. and J.Z.; formal analysis, Z.W. and S.W.; resources, Z.W. and J.Z.; data curation, Z.W. and S.W.; writing—original draft preparation, Z.W.; supervision, J.Z. and F.B.; project administration, J.Z.; funding acquisition, J.Z. All authors have read and agreed to the published version of the manuscript.

Funding

This research was supported in part by the Natural Science Foundation of Shanghai under Grant No. 21YF1402500.

Data Availability Statement

The data that support the finding of this study are available from the corresponding author upon reasonable request.

Conflicts of Interest

The authors declare no conflict of interest.

References

  1. Takai, T.; Iwamoto, H.; Takamine, Y.; Fuyutsume, T.; Nakao, T.; Hiramoto, M.; Toi, T.; Koshino, M.I.H.P. SAW Technology and Its Application to Microacoustic Components (Invited). In Proceedings of the 2017 IEEE International Ultrasonics Symposium (IUS), Washington, DC, USA, 6–9 September 2017; pp. 1–8. [Google Scholar]
  2. Kadota, M.; Tanaka, S. Wideband Acoustic Wave Resonators Composed of Hetero Acoustic Layer Structure. Jpn. J. Appl. Phys. 2018, 57, 07LD12. [Google Scholar] [CrossRef]
  3. Inoue, S.; Solal, M. Spurious Free SAW Resonators on Layered Substrate with Ultra-High Q, High Coupling and Small TCF. In Proceedings of the 2018 IEEE International Ultrasonics Symposium (IUS), Kobe, Japan, 22–25 October 2018; pp. 1–9. [Google Scholar]
  4. Rei, G.; Zou, J.; Nakamura, H.; Lam, C.S. Elastic Wave Device With Sub-Wavelength Thick Piezoelectric Layer And High Velocity Layer. U.S. Patent 10,778,181, 15 September 2020. [Google Scholar]
  5. Naumenko, N. Suppression of Propagation Losses in TC SAW Resonators Using Thin Plates of LiTaO3 Bonded to Quartz Substrates. In Proceedings of the 2018 IEEE International Ultrasonics Symposium (IUS), Kobe, Japan, 22–25 October 2018; pp. 1–9. [Google Scholar]
  6. Yasue, T.; Komatsu, T.; Nakamura, N.; Hashimoto, K.; Hirano, H.; Esashi, M.; Tanaka, S. Wideband Tunable Love Wave Filter Using Electrostatically-Actuated MEMS Variable Capacitors Integrated on Lithium Niobate. In Proceedings of the 2011 16th International Solid-State Sensors, Actuators and Microsystems Conference, Beijing, China, 5–9 June 2011; pp. 1488–1491. [Google Scholar]
  7. Hashimoto, K.; Asano, H.; Matsuda, K.; Yokoyama, N.; Omori, T.; Yamaguchi, M. Wideband Love Wave Filters Operating in GHz Range on Cu-Grating/Rotated-YX-LiNbO3 Substrate Structure. In Proceedings of the IEEE Ultrasonics Symposium, Montreal, QC, Canada, 23–27 August 2004; Volume 2, pp. 1330–1334. [Google Scholar]
  8. Zou, J.; Yantchev, V.; Iliev, F.; Plessky, V.; Samadian, S.; Hammond, R.B.; Turner, P.J. Ultra-Large-Coupling and Spurious-Free SH0 Plate Acoustic Wave Resonators Based on Thin LiNbO 3. IEEE Trans. Ultrason. Ferroelect. Freq. Contr. 2020, 67, 374–386. [Google Scholar] [CrossRef] [PubMed]
  9. Lam, C.S.; Gao, A.; Lin, C.-M.; Zou, J. A Review of Lamé and Lamb Mode Crystal Resonators for Timing Applications and Prospects of Lamé and Lamb Mode PiezoMEMS Resonators for Filter Applications. In Proceedings of the International Symposium on Acoustic Devices for Future Mobile Communication Systems, Chiba, Japan, 6–7 March 2018. [Google Scholar]
  10. Kadota, M.; Kimura, T.; Ida, Y. Tunable Filters Using Ultrawide-Band Surface Acoustic Wave Resonator Composed of Grooved Cu Electrode on LiNbO3. Jpn. J. Appl. Phys. 2010, 49, 07HD26. [Google Scholar] [CrossRef]
  11. Ogami, T.; Tani, M.; Ikada, K.; Kando, H.; Wada, T.; Obiya, H.; Koshino, M.; Kawashima, M.; Nakajima, N. A New Tunable Filter Using Love Wave Resonators for Reconfigurable RF. In Proceedings of the 2014 IEEE MTT-S International Microwave Symposium (IMS2014), Tampa, FL, USA, 1–6 June 2014; pp. 1–3. [Google Scholar]
  12. Abbott, B.; Chen, A.; Daniels, T.; Gamble, K.; Kook, T.; Solal, M.; Steiner, K.; Aigner, R.; Malocha, S.; Hella, C.; et al. Temperature Compensated SAW with High Quality Factor. In Proceedings of the 2017 IEEE International Ultrasonics Symposium (IUS), Washington, DC, USA, 6–9 September 2017; pp. 1–4. [Google Scholar]
  13. Ruby, R. A Snapshot in Time: The Future in Filters for Cell Phones. IEEE Microw. 2015, 16, 46–59. [Google Scholar] [CrossRef]
  14. Kovacs, G.; Anhorn, M.; Engan, H.E.; Visintini, G.; Ruppel, C.C.W. Improved Material Constants for LiNbO3 and LiTaO3. In Proceedings of the IEEE Symposium on Ultrasonics, Honolulu, HI, USA, 4–7 December 1990; pp. 435–438. [Google Scholar]
  15. Bjurström, J.; Wingqvist, G.; Yantchev, V.; Katardjiev, I. Temperature Compensation of Liquid FBAR Sensors. J. Micromech. Microeng. 2007, 17, 651–658. [Google Scholar] [CrossRef]
  16. Randles, A.B.; Tsai, J.M.; Kropelnicki, P.; Cai, H. Temperature Compensated AlN Based SAW. JOACE 2014, 2, 191–194. [Google Scholar] [CrossRef]
  17. Adler, E.L. SAW and Pseudo-SAW Properties Using Matrix Methods. IEEE Trans. Ultrason. Ferroelect. Freq. Contr. 1994, 41, 699–705. [Google Scholar] [CrossRef] [PubMed]
  18. Zou, J.; Lin, C.-M.; Lam, C.S.; Pisano, A.P. Transducer Design for AlN Lamb Wave Resonators. J. Appl. Phys. 2017, 121, 154502. [Google Scholar] [CrossRef]
  19. Aigner, R. Bringing BAW Technology into Volume Production: The Ten Commandments and the Seven Deadly Sins. In Proceedings of the 3rd International Symposium Acoustic Wave Devices for Future Mobile Communication System, Chiba, Japan, 6–8 March 2007; pp. 85–91. [Google Scholar]
  20. Hashimoto, K. Surface Acoustic Wave Devices in Telecommunications: Modelling and Simulation; Springer: Berlin/Heidelberg, Germany, 2000. [Google Scholar]
  21. Smith, R.T.; Welsh, F.S. Temperature Dependence of the Elastic, Piezoelectric, and Dielectric Constants of Lithium Tantalate and Lithium Niobate. J. Appl. Phys. 1971, 42, 2219–2230. [Google Scholar] [CrossRef]
Figure 1. Comparison of simulated displacement amplitudes of (a) LiNbO3 substrate, (b) LiNbO3/Si, and (c) AlN/ LiNbO3/Si for the SH wave. The insets are the mode shapes at antiresonances simulated with periodic structures using FEM simulation (hLiNbO3/λ = 0.25, hAlN/λ = 0.2, hIDT,Al/λ = 0.08 are used in the plots).
Figure 1. Comparison of simulated displacement amplitudes of (a) LiNbO3 substrate, (b) LiNbO3/Si, and (c) AlN/ LiNbO3/Si for the SH wave. The insets are the mode shapes at antiresonances simulated with periodic structures using FEM simulation (hLiNbO3/λ = 0.25, hAlN/λ = 0.2, hIDT,Al/λ = 0.08 are used in the plots).
Micromachines 13 01029 g001
Figure 2. Simulated (a) open-surface phase velocities vp,o and (b) effective coupling coefficient keff2 for LiNbO3/Si across all rotation angles from the YX-LiNbO3 with varied thicknesses of LiNbO3 for the SH main mode and Rayleigh spurious mode.
Figure 2. Simulated (a) open-surface phase velocities vp,o and (b) effective coupling coefficient keff2 for LiNbO3/Si across all rotation angles from the YX-LiNbO3 with varied thicknesses of LiNbO3 for the SH main mode and Rayleigh spurious mode.
Micromachines 13 01029 g002
Figure 3. Calculated dispersion curves of (a) open-surface phase velocities vp,o and (b) effective coupling coefficient keff2 for the LiNbO3/Si with varied rotation angle of YX-LiNbO3.
Figure 3. Calculated dispersion curves of (a) open-surface phase velocities vp,o and (b) effective coupling coefficient keff2 for the LiNbO3/Si with varied rotation angle of YX-LiNbO3.
Micromachines 13 01029 g003
Figure 4. FEM-simulated (a) narrow-band response compared to LiNbO3 substrate, and (b) wide-band response of the SH resonators with periodic structure (1.5D model) based on LiNbO3/Si with 30° YX LiNbO3 and hLiNbO3 = 0.25.
Figure 4. FEM-simulated (a) narrow-band response compared to LiNbO3 substrate, and (b) wide-band response of the SH resonators with periodic structure (1.5D model) based on LiNbO3/Si with 30° YX LiNbO3 and hLiNbO3 = 0.25.
Micromachines 13 01029 g004
Figure 5. Calculated open phase velocities vp,o for varied thicknesses of AlN overlay layer on LiNbO3/Si across all rotation angles from the YX-LiNbO3 with (a) hLiNbO3 = 0.25, and (b) hLiNbO3 = 0.5.
Figure 5. Calculated open phase velocities vp,o for varied thicknesses of AlN overlay layer on LiNbO3/Si across all rotation angles from the YX-LiNbO3 with (a) hLiNbO3 = 0.25, and (b) hLiNbO3 = 0.5.
Micromachines 13 01029 g005
Figure 6. Calculated coupling coefficient keff2 for varied thicknesses of AlN overlay layer on LiNbO3/Si across all rotation angles from the YX-LiNbO3 with (a) hLiNbO3 = 0.25, and (b) hLiNbO3 = 0.5.
Figure 6. Calculated coupling coefficient keff2 for varied thicknesses of AlN overlay layer on LiNbO3/Si across all rotation angles from the YX-LiNbO3 with (a) hLiNbO3 = 0.25, and (b) hLiNbO3 = 0.5.
Micromachines 13 01029 g006
Figure 7. Trade-offs between the open-surface phase velocities vp,o and coupling coefficient keff2 by varying AlN thickness for the SH wave propagating in AlN/ LiNbO3/Si based on (a) 15° YX-LiNbO3 and (b) 30° YX-LiNbO3 with hLiNbO3 = 0.25 and hLiNbO3 = 0.5.
Figure 7. Trade-offs between the open-surface phase velocities vp,o and coupling coefficient keff2 by varying AlN thickness for the SH wave propagating in AlN/ LiNbO3/Si based on (a) 15° YX-LiNbO3 and (b) 30° YX-LiNbO3 with hLiNbO3 = 0.25 and hLiNbO3 = 0.5.
Micromachines 13 01029 g007
Figure 8. FEM-simulated mode shapes and the first principal stress field of the nonleaky SH mode on the AlN/LiNbO3/Si substrate stack with (a) hAlN = 0, (b) hAlN = 0.1, (c) hAlN = 0.2, and (d) hAlN = 0.4.
Figure 8. FEM-simulated mode shapes and the first principal stress field of the nonleaky SH mode on the AlN/LiNbO3/Si substrate stack with (a) hAlN = 0, (b) hAlN = 0.1, (c) hAlN = 0.2, and (d) hAlN = 0.4.
Micromachines 13 01029 g008
Figure 9. Simulated keff2 of the Rayleigh spurious mode versus AlN thicknesses for the AlN/ LiNbO3/Si with different rotation angles and hLiNbO3 = 0.25. The cross labels mark the AlN thicknesses that enables full suppression of the Rayleigh mode.
Figure 9. Simulated keff2 of the Rayleigh spurious mode versus AlN thicknesses for the AlN/ LiNbO3/Si with different rotation angles and hLiNbO3 = 0.25. The cross labels mark the AlN thicknesses that enables full suppression of the Rayleigh mode.
Micromachines 13 01029 g009
Figure 10. Calculated TCFs,1st and TCFp,1st by varying AlN thickness for the SH wave propagating in AlN/LiNbO3/Si. The inset depicts the short-circuited and open-circuited grating conditions, corresponding to resonance and parallel resonance, respectively.
Figure 10. Calculated TCFs,1st and TCFp,1st by varying AlN thickness for the SH wave propagating in AlN/LiNbO3/Si. The inset depicts the short-circuited and open-circuited grating conditions, corresponding to resonance and parallel resonance, respectively.
Micromachines 13 01029 g010
Figure 11. Calculated (a) slowness curve; (b) effective coupling coefficient keff2 of the SH wave versus different propagation direction on the 15° YX-LiNbO3 substrate, LiNbO3/Si (hLiNbO3 = 0.25), and AlN/ LiNbO3/Si (hLiNbO3 = 0.25, hAlN = 0.2).
Figure 11. Calculated (a) slowness curve; (b) effective coupling coefficient keff2 of the SH wave versus different propagation direction on the 15° YX-LiNbO3 substrate, LiNbO3/Si (hLiNbO3 = 0.25), and AlN/ LiNbO3/Si (hLiNbO3 = 0.25, hAlN = 0.2).
Micromachines 13 01029 g011
Figure 12. FEM-simulated (a) narrow-band response based on AlN/LiNbO3/Si (hLiNbO3 = 0.25, hAlN = 0.2) compared to LiNbO3/Si (hLiNbO3 = 0.25) and Si substrate; and (b) wide-band response based on AlN/LiNbO3/Si (hLiNbO3 = 0.25, hAlN = 0.2) for the nonleaky SH resonators with periodic structure (1.5D model).
Figure 12. FEM-simulated (a) narrow-band response based on AlN/LiNbO3/Si (hLiNbO3 = 0.25, hAlN = 0.2) compared to LiNbO3/Si (hLiNbO3 = 0.25) and Si substrate; and (b) wide-band response based on AlN/LiNbO3/Si (hLiNbO3 = 0.25, hAlN = 0.2) for the nonleaky SH resonators with periodic structure (1.5D model).
Micromachines 13 01029 g012
Table 1. Symbols used in this paper.
Table 1. Symbols used in this paper.
SymbolDefinition
QQuality Factor
keff2Electromechanical Coupling Coefficient
λAcoustic Wavelength
fsSeries-frequency
uxx-direction displacement
uyy-direction displacement
uzz-direction displacement
hLiNbO3The thickness of LiNbO3
hAlNThe thickness of AlN
S0 modeThe lowest symmetric mode
vp,oOpen phase velocity
TCFTemperature coefficients of frequency
TCVTemperature coefficients of velocity
Table 2. LiNbO3, AlN, Si, and Al material constants used in the simulations [14,15,16].
Table 2. LiNbO3, AlN, Si, and Al material constants used in the simulations [14,15,16].
ParameterSymbolLiNbO3 [14]AlN [15]Si [16]Al [16]Units
Stiffness constantsC11E198.39345170111(GPa)
C12E54.7212559
C13E65.1312059
C14E7.88
C33E227.90395111
C44E59.6511826
C66E71.8411026
Densityρ4628326023292700(kg/m3)
Piezoelectric constantse153.69−0.48(C/m2)
e222.42
e310.30−0.58
e331.771.55
Dielectric constantsε11S45.68.011.71(10−11 F/m)
ε33S26.39.511.71
Table 3. Temperature coefficients of material constants of LiNbO3, AlN, Si, and Al used in the simulations [15,16,21].
Table 3. Temperature coefficients of material constants of LiNbO3, AlN, Si, and Al used in the simulations [15,16,21].
ParameterSymbolLiNbO3 [21]AlN [15]Si [16]Al [15]Units
Temperature coefficients of stiffness constants (1st order)Tc11−174−37−63−590(10–6 1/°C)
Tc12−252−1.8−80
Tc13−159−1.8−80
Tc14−214
Tc33−153−65−590
Tc44−204−50−520
Tc66−143−57−520
Temperature coefficients of piezoelectric constantsTe15147(10–6 1/°C)
Te2279
Te31221
Te33887
Temperature coefficients of permittivity11323(10–6 1/°C)
33627
Thermal-expansion coefficientsα1115.45.272.618(10–6 1/°C)
α337.54.152.618
Publisher’s Note: MDPI stays neutral with regard to jurisdictional claims in published maps and institutional affiliations.

Share and Cite

MDPI and ACS Style

Wu, Z.; Wu, S.; Bao, F.; Zou, J. High-Frequency and Spectrum-Clean Shear-Horizontal Acoustic Wave Resonators with AlN Overlay. Micromachines 2022, 13, 1029. https://doi.org/10.3390/mi13071029

AMA Style

Wu Z, Wu S, Bao F, Zou J. High-Frequency and Spectrum-Clean Shear-Horizontal Acoustic Wave Resonators with AlN Overlay. Micromachines. 2022; 13(7):1029. https://doi.org/10.3390/mi13071029

Chicago/Turabian Style

Wu, Zonglin, Shuxian Wu, Feihong Bao, and Jie Zou. 2022. "High-Frequency and Spectrum-Clean Shear-Horizontal Acoustic Wave Resonators with AlN Overlay" Micromachines 13, no. 7: 1029. https://doi.org/10.3390/mi13071029

APA Style

Wu, Z., Wu, S., Bao, F., & Zou, J. (2022). High-Frequency and Spectrum-Clean Shear-Horizontal Acoustic Wave Resonators with AlN Overlay. Micromachines, 13(7), 1029. https://doi.org/10.3390/mi13071029

Note that from the first issue of 2016, this journal uses article numbers instead of page numbers. See further details here.

Article Metrics

Back to TopTop