Compact Wideband Four-Port MIMO Antenna for Sub-6 GHz and Internet of Things Applications
Abstract
1. Introduction
2. Antenna Design
2.1. Single-Port Antenna
2.2. Four-Port MIMO Antenna
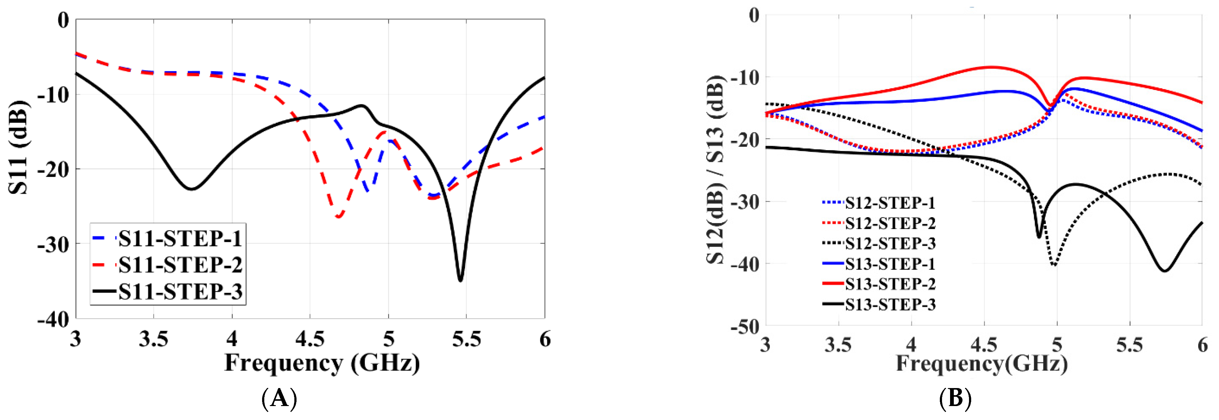
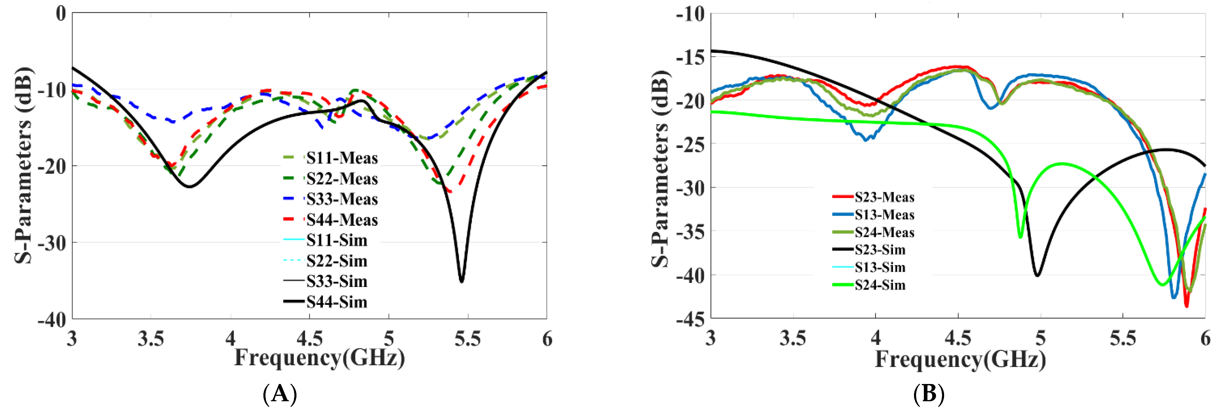
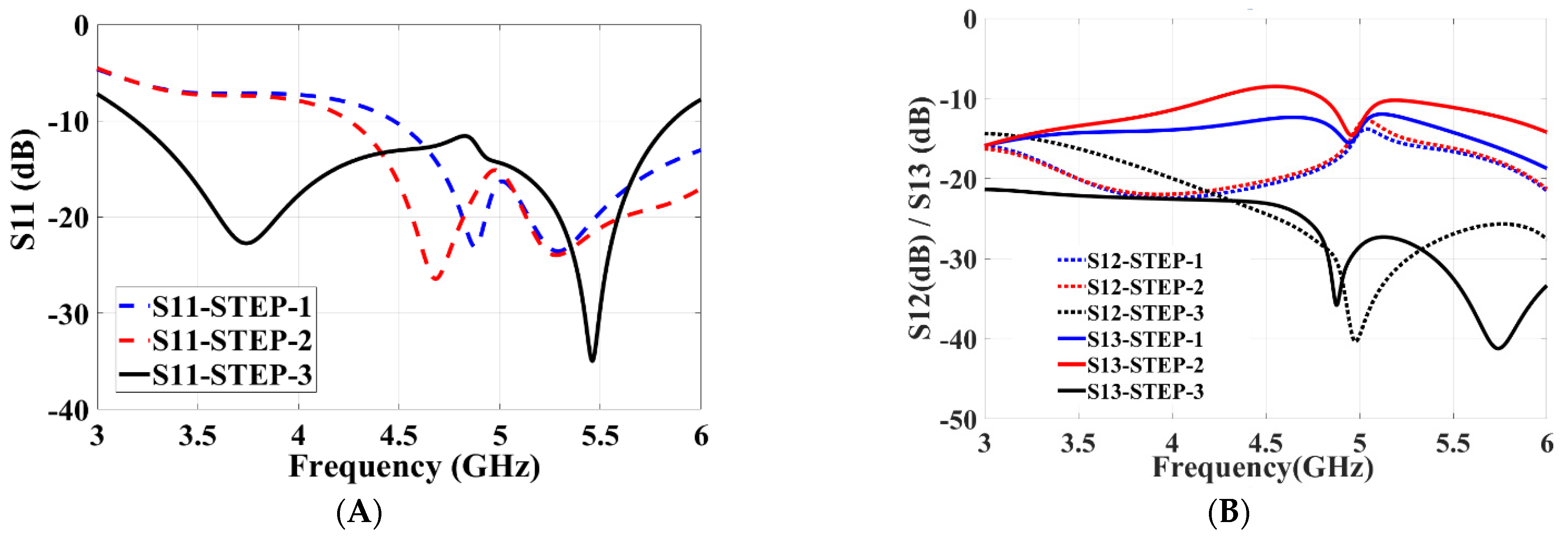
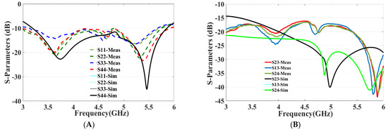
3. Results and Discussion
4. Conclusions
Author Contributions
Funding
Institutional Review Board Statement
Informed Consent Statement
Data Availability Statement
Conflicts of Interest
References
- Liaskos, C.; Mamatas, L.; Pourdamghani, A.; Tsioliaridou, A.; Ioannidis, S.; Pitsillides, A.; Akylidiz, I.F. Software-Defined Reconfigurable Intelligent Surfaces: From Theory to End-to-End Implementation. Proc. IEEE 2022, 110, 1466–1493. [Google Scholar] [CrossRef]
- Shafique, K.; Khawaha, B.A.; Sabir, F.; Qazi, S.; Mustaqim, M. Internet of things (IoT) for next-generation smart systems: A review of current challenges, future trends and prospects for emerging 5G-IoT scenarios. IEEE Access 2020, 8, 23022–23040. [Google Scholar] [CrossRef]
- Hua, Q.; Huang, Y.; Alieldin, A.; Song, C.; Jia, T.; Zhu, X. A Dual-Band Dual-Polarized Base Station Antenna Using a Novel Feeding Structure for 5G Communications. IEEE Access 2020, 8, 63710–63717. [Google Scholar] [CrossRef]
- Ban, Y.-L.; Li, C.; Wu, G.; Wong, K.L. 4G/5G multiple antennas for future multi-mode smartphone applications. IEEE Access 2016, 4, 2981–2988. [Google Scholar] [CrossRef]
- Guo, J.; Cui, L.; Li, C.; Sun, B. Side-edge frame printed eight-port dual-band antenna array for 5G smartphone applications. IEEE Trans. Antennas Propag. 2018, 66, 7412–7417. [Google Scholar] [CrossRef]
- Han, C.-Z.; Xiao, L.; Chen, Z.; Yuan, T. Co-Located Self-Neutralized Handset Antenna Pairs with Complementary Radiation Patterns for 5G MIMO Applications. IEEE Access 2020, 8, 73151–73163. [Google Scholar] [CrossRef]
- Hu, W.; Liu, X.; Gao, S.; Wen, L.H.; Qian, L.; Feng, T.; Liu, Y. Dual-band ten-element MIMO array based on dual-mode IFAs for 5G terminal applications. IEEE Access 2019, 7, 178476–178485. [Google Scholar] [CrossRef]
- Parchin, N.O.; Al-Yasir, Y.I.A.; Ali, A.H.; Elfergani, I.; Noras, J.; Rodriguez, J. Eight-element dual-polarized MIMO slot antenna system for 5G smartphone applications. IEEE Access 2019, 7, 15612–15622. [Google Scholar] [CrossRef]
- Ren, Z.; Zhao, A. Dual-band MIMO antenna with compact self-decoupled antenna pairs for 5G mobile applications. IEEE Access 2019, 7, 82288–82296. [Google Scholar] [CrossRef]
- Sun, L.; Feng, H.; Li, Y.; Zhang, Z. Compact 5G MIMO mobile phone antennas with tightly arranged orthogonal-mode pairs. IEEE Trans. Antennas Propag. 2018, 66, 6364–6369. [Google Scholar] [CrossRef]
- Wang, H.; Zhang, R.; Luo, Y.; Yang, G. Compact Eight-Element Antenna Array for Triple-Band MIMO Operation in 5G Mobile Terminals. IEEE Access 2020, 8, 19433–19449. [Google Scholar] [CrossRef]
- Zhao, A.; Ren, Z. Size reduction of self-isolated MIMO antenna system for 5G mobile phone applications. IEEE Antennas Wirel. Propag. Lett. 2018, 18, 152–156. [Google Scholar] [CrossRef]
- Nadeem, I.; Choi, D.-Y. Study on mutual coupling reduction technique for MIMO antennas. IEEE Access 2018, 7, 563–586. [Google Scholar] [CrossRef]
- Ding, K.; Gao, C.; Qu, D.; Yin, Q. Compact broadband MIMO antenna with parasitic strip. IEEE Antennas Wirel. Propag. Lett. 2017, 16, 2349–2353. [Google Scholar] [CrossRef]
- Ghalib, A.; Sharawi, M.S. TCM analysis of defected ground structures for MIMO antenna designs in mobile terminals. IEEE Access 2017, 5, 19680–19692. [Google Scholar] [CrossRef]
- Nandi, S.; Mohan, A. A compact dual-band MIMO slot antenna for WLAN applications. IEEE Antennas Wirel. Propag. Lett. 2017, 16, 2457–2460. [Google Scholar] [CrossRef]
- Su, S.-W.; Lee, C.-T.; Chang, F.-S. Printed MIMO-antenna system using neutralization-line technique for wireless USB-dongle applications. IEEE Trans. Antennas Propag. 2011, 60, 456–463. [Google Scholar] [CrossRef]
- Li, M.-Y.; Xu, Z.Q.; Ban, Y.L.; Sim, C.Y.D.; Yu, Z.F. Eight-port orthogonally dual-polarised MIMO antennas using loop structures for 5G smartphone. IET Microw. Antennas Propag. 2017, 11, 1810–1816. [Google Scholar] [CrossRef]
- Sun, L.; Li, Y.; Zhang, Z.; Feng, Z. Wideband 5G MIMO antenna with integrated orthogonal-mode dual-antenna pairs for metal-rimmed smartphones. IEEE Trans. Antennas Propag. 2019, 68, 2494–2503. [Google Scholar] [CrossRef]
- Xu, H.; Zhou, H.; Gao, S.; Wang, H.; Cheng, Y. Multimode decoupling technique with independent tuning characteristic for mobile terminals. IEEE Trans. Antennas Propag. 2017, 65, 6739–6751. [Google Scholar] [CrossRef]
- Jiang, W.; Cui, Y.; Liu, B.; Hu, W.; Xi, Y. A dual-band MIMO antenna with enhanced isolation for 5G smartphone applications. IEEE Access 2019, 7, 112554–112563. [Google Scholar] [CrossRef]
- Liu, D.Q.; Zhang, M.; Luo, H.J.; Wen, H.L.; Wang, J. Dual-band platform-free PIFA for 5G MIMO application of mobile devices. IEEE Trans. Antennas Propag. 2018, 66, 6328–6333. [Google Scholar] [CrossRef]
- Votis, C.; Tatsis, G.; Kostarakis, P. Envelope correlation parameter measurements in a MIMO antenna array configuration. Int. J. Commun. Netw. Syst. Sci. 2010, 3, 350. [Google Scholar] [CrossRef]
- Abbas, A.; Hussain, N.; Sufian, M.A.; Jung, J.; Park, S.M.; Kim, N. Isolation and Gain Improvement of a Rectangular Notch UWB-MIMO Antenna. Sensors 2022, 22, 1460. [Google Scholar] [CrossRef] [PubMed]
- Sufian, M.A.; Hussain, N.; Askari, H.; Park, S.G.; Shin, K.S.; Kim, N. Isolation enhancement of a metasurface-based MIMO antenna using slots and shorting pins. IEEE Access 2021, 9, 73533–73543. [Google Scholar] [CrossRef]
- Liu, X.; Amin, M.; Liang, J. Wideband MIMO antenna with enhanced isolation for wireless communication application. IEICE Electron. Express 2018, 15, 20180948. [Google Scholar] [CrossRef]
- Mohammad Saadh, A.; Khangarot, S.; Sravan, B.V.; Aluru, N.; Ramaswamy, P.; Ali, T.; Pai, M.M. A compact four-element MIMO antenna for WLAN/WiMAX/satellite applications. Int. J. Commun. Syst. 2020, 33, e4506. [Google Scholar] [CrossRef]
- Roy, S.; Ghosh, S.; Chakarborty, U. Compact dual wide-band four/eight elements MIMO antenna for WLAN applications. Int. J. RF Microw. Comput. Aided Eng. 2019, 29, e21749. [Google Scholar] [CrossRef]
- Srivastava, K.; Kumar, A.; Kanaujia, B.K.; Dwari, S.; Kumar, S. A CPW-fed UWB MIMO antenna with integrated GSM band and dual band notches. Int. J. RF Microw. Comput. Aided Eng. 2019, 29, e21433. [Google Scholar] [CrossRef]
- Nie, N.S.; Yang, X.S.; Wang, B.Z. A compact four-element multiple-input-multiple-output antenna with enhanced gain and bandwidth. Microw. Opt. Technol. Lett. 2019, 61, 1828–1834. [Google Scholar] [CrossRef]
- Nandi, S.; Mohan, A. A self-diplexing MIMO antenna for WLAN applications. Microw. Opt. Technol. Lett. 2019, 61, 239–244. [Google Scholar] [CrossRef]
- Barani, I.R.R.; Wong, K.L.; Zhang, Y.X.; Li, W.Y. Low-Profile Wideband Conjoined Open-Slot Antennas Fed by Grounded Coplanar Waveguides for 4 × 4 5 G MIMO Operation. IEEE Trans. Antennas Propag. 2019, 68, 2646–2657. [Google Scholar] [CrossRef]
- Megahed, A.A.; Abdelazim, M.; Abdelhay, E.H.; Soliman, H.Y. Sub-6 GHz highly isolated wideband MIMO antenna arrays. IEEE Access 2022, 10, 19875–19889. [Google Scholar] [CrossRef]
- Sarkar, D.; Srivastava, K. Compact four-element SRR-loaded dual-band MIMO antenna for WLAN/WiMAX/WiFi/4G-LTE and 5G applications. Electron. Lett. 2017, 53, 1623–1624. [Google Scholar] [CrossRef]













| Parameter | Dimension (mm) |
|---|---|
| L | 40 |
| W | 40 |
| CSL | 6.5 |
| MSL | 8 |
| l_port | 10 |
| w_port | 2.8 |
| A | 0.8 |
| B | 8 |
| C | 7 |
| D | 8.5 |
| E | 22 |
| W_slot | 10 |
| L_slot | 4 |
| Reference/Year | Isolation (dB) | Bandwidth (GHz) | ECC | Isolation/Diversity Technique | Impedance Bandwidth | Total Antenna Size(mm) | Inter-Element Spacing | Common Ground | Number of Ports |
|---|---|---|---|---|---|---|---|---|---|
| [27]/[2020] | 19 | 4.3–6.5 | 0.004 | Orthogonal placement | 40% | 50 × 50 | ~0.18λ | No | 4 |
| [28]/[2019] | 15 | 2.4, 5.2 and 5.8 | 0.5 | Orthogonal placement | - | 52 × 50 | ~0.10λ | No | 4 |
| [29]/[2019] | 15 | 3–10.74 | 0.1 | Parasitic T-shaped strip | 112% | 81 × 87 | ~0.77λ | No | 4 |
| [30]/[2019] | 17 | 4.58–6.37 | 0.05 | Parasitic C-shaped | 32% | 40 × 36 | ~0.20λ | No | 4 |
| [31]/[2019] | 15 | 5.1–5.7 | 0.05 | DGS/decoupling network | 11% | 50 × 27 | ~0.16λ | No | 4 |
| [32]/[2019] | 13 | 3.3–4.2 | 0.06 | Slots/stubs | 24% | 42 × 42 | ~0.15λ | Yes | 4 |
| [33]/[2022] | 20 | 3.2–5.7 | 0.002 | EBG | 56% | 46 × 46 | ~0.3λ | Yes | 4 |
| [34]/[2017] | 15 | 2.3–3.2 and 5.4–5.6 | 0.05 | Polarization diversity/SRR | 36% | 40 × 40 | ~0.18λ | Yes | 4 |
| This work/[2022] | 15 | 3.2–5.5 | 0.005 | Polarization diversity | 54% | 40 × 40 | ~0.17λ | Yes | 4 |
Publisher’s Note: MDPI stays neutral with regard to jurisdictional claims in published maps and institutional affiliations. |
© 2022 by the authors. Licensee MDPI, Basel, Switzerland. This article is an open access article distributed under the terms and conditions of the Creative Commons Attribution (CC BY) license (https://creativecommons.org/licenses/by/4.0/).
Share and Cite
Sheriff, N.; Kamal, S.; Tariq Chattha, H.; Kim Geok, T.; Khawaja, B.A. Compact Wideband Four-Port MIMO Antenna for Sub-6 GHz and Internet of Things Applications. Micromachines 2022, 13, 2202. https://doi.org/10.3390/mi13122202
Sheriff N, Kamal S, Tariq Chattha H, Kim Geok T, Khawaja BA. Compact Wideband Four-Port MIMO Antenna for Sub-6 GHz and Internet of Things Applications. Micromachines. 2022; 13(12):2202. https://doi.org/10.3390/mi13122202
Chicago/Turabian StyleSheriff, Nathirulla, Sharul Kamal, Hassan Tariq Chattha, Tan Kim Geok, and Bilal A. Khawaja. 2022. "Compact Wideband Four-Port MIMO Antenna for Sub-6 GHz and Internet of Things Applications" Micromachines 13, no. 12: 2202. https://doi.org/10.3390/mi13122202
APA StyleSheriff, N., Kamal, S., Tariq Chattha, H., Kim Geok, T., & Khawaja, B. A. (2022). Compact Wideband Four-Port MIMO Antenna for Sub-6 GHz and Internet of Things Applications. Micromachines, 13(12), 2202. https://doi.org/10.3390/mi13122202

