High Power-Conversion Efficiency of Lead-Free Perovskite Solar Cells: A Theoretical Investigation
Abstract
1. Introduction
2. Device Structure and Simulation Methodology
3. Results and Discussion
3.1. The Effect of the Thickness and Doping Concentration of the Absorber Layer
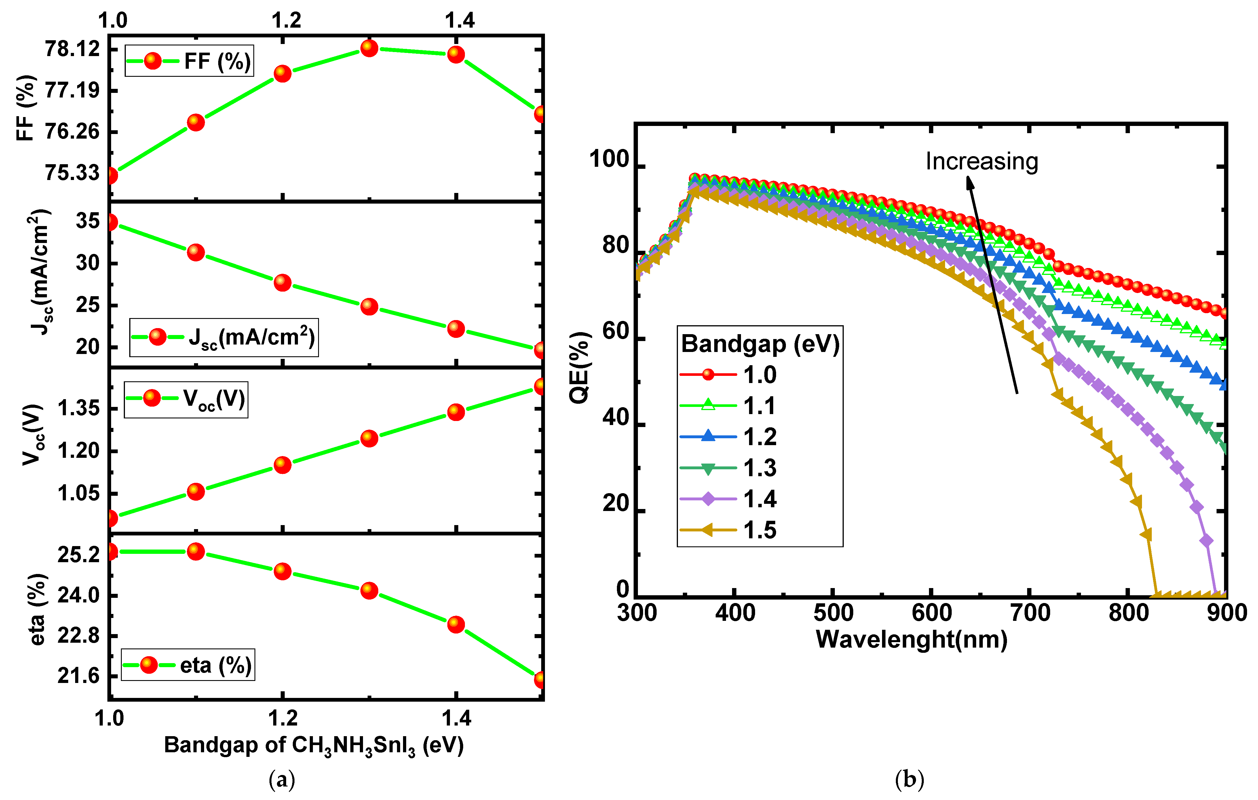
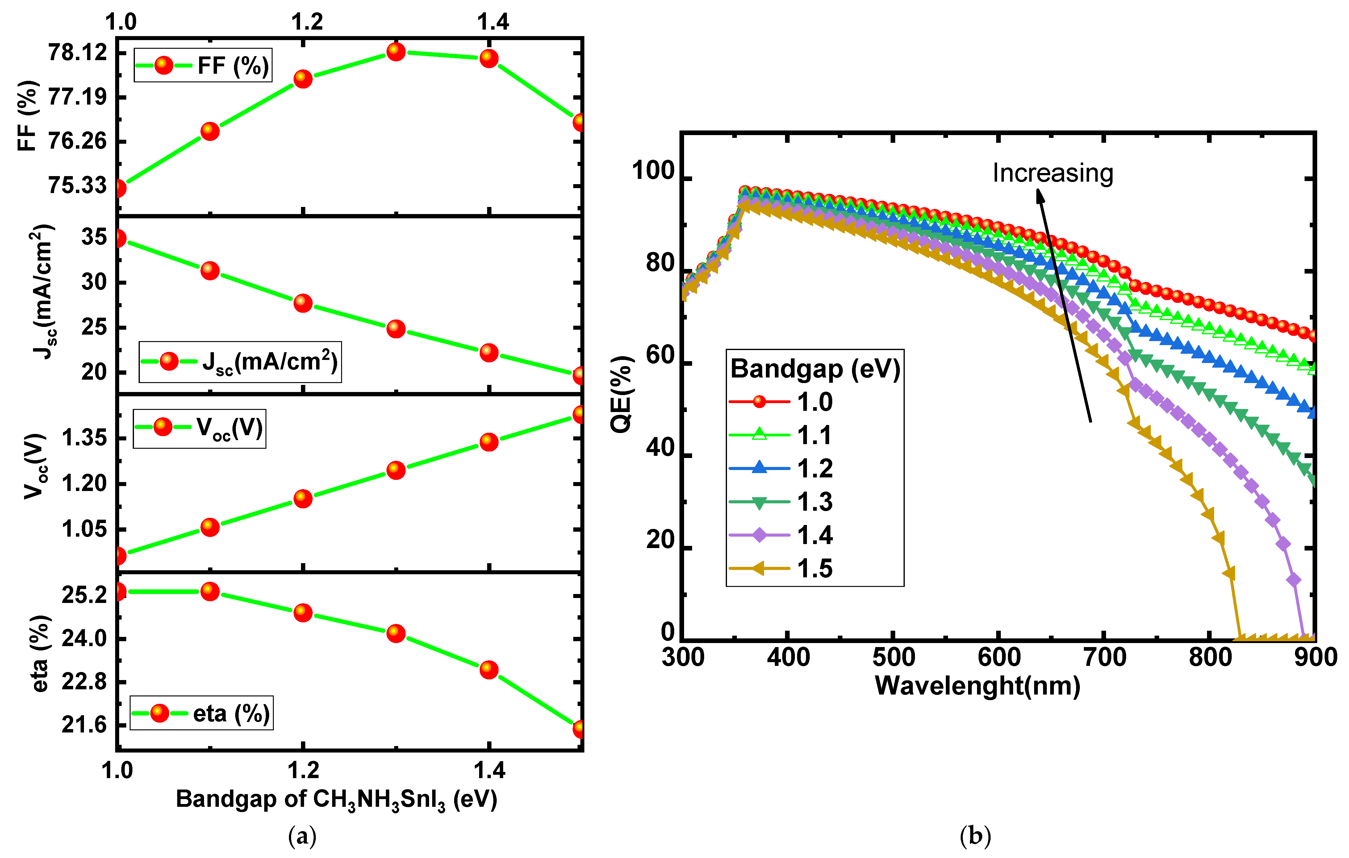
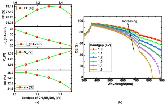
3.2. Effect of Absorber’s Bandgap on Solar Cell Performance
3.3. Effect of Doping Density of ETL
3.4. Effect of Doping Density and Bandgap of HTL
3.5. Optimized Performance
4. Conclusions
Author Contributions
Funding
Acknowledgments
Conflicts of Interest
References
- Mahjabin, S.; Haque, M.M.; Sobayel, K.; Jamal, M.S.; Islam, M.A.; Selvanathan, V.; Assaifan, A.K.; Alharbi, H.F.; Sopian, K.; Amin, N.; et al. Perceiving of Defect Tolerance in Perovskite Absorber Layer for Efficient Perovskite Solar Cell. IEEE Access 2020, 8, 106346–106353. [Google Scholar] [CrossRef]
- Ikram, M.; Malik, R.; Raees, R.; Imran, M.; Wang, F.; Ali, S.; Khan, M.; Khan, Q.; Maqbool, M. Recent advancements and future insight of lead-free non-toxic perovskite solar cells for sustainable and clean energy production: A review. Sustain. Energy Technol. Assess. 2022, 53, 102433. [Google Scholar] [CrossRef]
- Bello, O.O.; Emetere, M.E. Progress and limitation of lead-free inorganic perovskites for solar cell application. Sol. Energy 2022, 243, 370–380. [Google Scholar] [CrossRef]
- Jayan, K.D.; Sebastian, V. Comparative Study on the Performance of Different Lead-Based and Lead-Free Perovskite Solar Cells. Adv. Theory Simul. 2021, 4, 2100027. [Google Scholar] [CrossRef]
- Akhiro, K.; Kenjiro, T.; Yasuo, S.; Tsutomu, M. Organometal Halide Perovskites as Visible-Light Sensitizers for Photovoltaic Cells. J. Am. Chem. Soc. 2009, 131, 6050–6051. [Google Scholar]
- Hima, A.; Lakhdar, N. Enhancement of Efficiency and Stability of CH3NH3GeI3 Solar Cells with CuSbS2. Opt. Mater. 2020, 99, 109607. [Google Scholar] [CrossRef]
- Son, D.Y.; Im, J.H.; Kim, H.S.; Park, N.G. 11% Efficient Perovskite Solar Cell Based on ZnO Nanorods: An Effective Charge Collection System. J. Phys. Chem. C 2014, 118, 16567–16573. [Google Scholar] [CrossRef]
- Yang, W.S.; Noh, J.H.; Jeon, N.J.; Kim, Y.C.; Ryu, S.; Seo, J.; Seok, S.I. High-Performance Photovoltaic Perovskite Layers Fabricated through Intramolecular Exchange. Science 2015, 348, 1234–1237. [Google Scholar] [CrossRef]
- Hima, A.; Lakhdar, N.; Benhaoua, B.; Saadoune, A.; Kemerchou, I.; Rogti, F. An Optimized Perovskite Solar Cell Designs for High Conversion Efficiency. Superlattices Microstruct. 2019, 129, 240–246. [Google Scholar] [CrossRef]
- Wang, Q.; Phung, N.; Di Girolamo, D.; Vivo, P.; Abate, A. Enhancement in Lifespan of Halide Perovskite Solar Cells. Energy Environ. Sci. 2019, 12, 865–886. [Google Scholar] [CrossRef]
- Shi, Z.; Jayatissa, A.H. Perovskites-Based Solar Cells: A Review of Recent Progress, Materials and Processing Methods. Materials 2018, 11, 729. [Google Scholar] [CrossRef] [PubMed]
- Conings, B.; Drijkoningen, J.; Gauquelin, N.; Babayigit, A.; D’Haen, J.; D’Olieslaeger, L.; Ethirajan, A.; Verbeeck, J.; Manca, J.; Mosconi, E.; et al. Intrinsic Thermal Instability of Methylammonium Lead Trihalide Perovskite. Adv. Energy Mater. 2015, 5, 1500477. [Google Scholar] [CrossRef]
- Kagan, C.R.; Mitzi, D.B.; Dimitrakopoulos, C.D. Organic-Inorganic Hybrid Materials as Semiconducting Channels in Thin-Film Field-Effect Transistors. Science 1999, 286, 945–947. [Google Scholar] [CrossRef] [PubMed]
- Peng, L.; Xu, L. Theoretical and Experimental Research Base on the Tin Iodide Organic–Inorganic Hybrid Perovskite (CH3NH3SnI3) Tetragonal and Orthorhombic Phases for Photovoltaics. Sci. Adv. Mater. 2018, 10, 1519–1527. [Google Scholar] [CrossRef]
- Umari, P.; Mosconi, E.; De Angelis, F. Relativistic GW Calculations on CH3NH3PbI3 and CH3NH3SnI3 Perovskites for Solar Cell Applications. Sci. Rep. 2014, 4, 4467. [Google Scholar] [CrossRef]
- Baig, F.; Khattak, Y.H.; Marí, B.; Beg, S.; Ahmed, A.; Khan, K. Efficiency Enhancement of CH3NH3SnI3 Solar Cells by Device Modeling. J. Electron. Mater. 2018, 47, 5275–5282. [Google Scholar] [CrossRef]
- Du, H.J.; Wang, W.C.; Zhu, J.Z. Device Simulation of Lead-Free CH3NH3SnI3 Perovskite Solar Cells with High Efficiency. Chin. Phys. B 2016, 25, 108802. [Google Scholar] [CrossRef]
- Gamal, N.; Sedky, S.H.; Shaker, A.; Fedawy, M. Design of Lead-Free Perovskite Solar Cell Using Zn1-XMgxO as ETL: SCAPS Device Simulation. Optik 2021, 242, 167306. [Google Scholar] [CrossRef]
- Ballif, C.; Regula, M.; Levy, F. Optical and Electrical Properties of Semiconducting WS2 Thin Films: From Macroscopic to Local Probe Measurements. Sol. Energy Mater. Sol. Cells 1999, 57, 189–207. [Google Scholar] [CrossRef]
- Bruno, A.; Borriello, C.; Haque, S.A.; Minarini, C.; Di Luccio, T. Ternary Hybrid Systems of P3HT-CdSe-WS2 Nanotubes for Photovoltaic Applications. Phys. Chem. Chem. Phys. 2014, 16, 17998–18003. [Google Scholar] [CrossRef]
- Macchia, E.; Zak, A.; Picca, R.A.; Manoli, K.; Di Franco, C.; Cioffi, N.; Scamarcio, G.; Tenne, R.; Torsi, L. Improved Performance P-Type Polymer (P3HT)/n-Type Nanotubes (WS2) Electrolyte Gated Thin-Film Transistor. MRS Adv. 2017, 2, 3865–3872. [Google Scholar] [CrossRef]
- Najafi, L.; Romano, V.; Oropesa-Nuñez, R.; Prato, M.; Lauciello, S.; D’Angelo, G.; Bellani, S.; Bonaccorso, F. Hybrid Organic/Inorganic Photocathodes Based on WS 2 Flakes as Hole Transporting Layer Material. Small Struct. 2021, 2, 2000098. [Google Scholar] [CrossRef]
- Hankare, P.P.; Manikshete, A.H.; Sathe, D.J.; Chate, P.A.; Patil, A.A.; Garadkar, K.M. WS2 Thin Films: Opto-Electronic Characterization. J. Alloy. Compd. 2009, 479, 657–660. [Google Scholar] [CrossRef]
- Li, S.; Chen, Z.; Zhang, W. Dye-Sensitized Solar Cells Based on WS2 Counter Electrodes. Mater. Lett. 2012, 72, 22–24. [Google Scholar] [CrossRef]
- Lignier, O.; Couturier, G.; Tedd, J.; Gonbeau, D.; Salardenne, J. Photoactivity Enhancement of WS2 Sputtered Thin Films by Use of Nickel. Thin Solid Film. 1997, 299, 45–52. [Google Scholar] [CrossRef]
- Chatterjee, S.; Jinnai, S.; Ie, Y. Nonfullerene Acceptors for P3HT-Based Organic Solar Cells. J. Mater. Chem. A 2021, 9, 18857–18886. [Google Scholar] [CrossRef]
- Manceau, M.; Rivaton, A.; Gardette, J.L.; Guillerez, S.; Lemaître, N. Light-Induced Degradation of the P3HT-Based Solar Cells Active Layer. Sol. Energy Mater. Sol. Cells 2011, 95, 1315–1325. [Google Scholar] [CrossRef]
- Holliday, S.; Ashraf, R.S.; Wadsworth, A.; Baran, D.; Yousaf, S.A.; Nielsen, C.B.; Tan, C.H.; Dimitrov, S.D.; Shang, Z.; Gasparini, N.; et al. High-Efficiency and Air-Stable P3HT-Based Polymer Solar Cells with a New Non-Fullerene Acceptor. Nat. Commun. 2016, 7, 11585. [Google Scholar] [CrossRef]
- Mor, G.K.; Kim, S.; Paulose, M.; Varghese, O.K.; Shankar, K.; Basham, J.; Grimes, C.A. Visible to Near-Infrared Light Harvesting in TiO2 Nanotube Array-P3HT Based Heterojunction Solar Cells. Nano Lett. 2009, 9, 4250–4257. [Google Scholar] [CrossRef]
- Jacoby, M. Low-Cost Polymer Works Well in Perovskite Solar Cells. Chem. Eng. News 2019, 97, 11. [Google Scholar]
- Hrostea, L.; Girtan, M.; Mallet, R.; Leontie, L. Optical and Morphological Properties of P3HT and P3HT: PCBM Thin Films Used in Photovoltaic Applications. IOP Conf. Ser. Mater. Sci. Eng. 2018, 374, 12015. [Google Scholar] [CrossRef]
- Janasz, L.; Chlebosz, D.; Gradzka, M.; Zajaczkowski, W.; Marszalek, T.; Müllen, K.; Ulanski, J.; Kiersnowski, A.; Pisula, W. Improved Charge Carrier Transport in Ultrathin Poly (3-Hexylthiophene) Films via Solution Aggregation. J. Mater. Chem. C 2016, 4, 11488–11498. [Google Scholar] [CrossRef]
- Rodrigues, A.; Castro, M.C.R.; Farinha, A.S.F.; Oliveira, M.; Tomé, J.P.C.; Machado, A.V.; Raposo, M.M.M.; Hilliou, L.; Bernardo, G. Thermal Stability of P3HT and P3HT: PCBM Blends in the Molten State. Polym. Test. 2013, 32, 1192–1201. [Google Scholar] [CrossRef]
- Brabec, C.J.; Durrant, J.R. Solution-Processed Organic Solar Cells. MRS Bull. 2008, 33, 670–675. [Google Scholar] [CrossRef]
- Wang, X.; Ederth, T.; Inganäs, O. In Situ Wilhelmy Balance Surface Energy Determination of Poly (3-Hexylthiophene) and Poly (3, 4-Ethylenedioxythiophene) during Electrochemical Doping–Dedoping. Langmuir 2006, 22, 9287–9294. [Google Scholar] [CrossRef]
- Jhuma, F.A.; Shaily, M.Z.; Rashid, M.J. Towards High-Efficiency CZTS Solar Cell through Buffer Layer Optimization. Mater. Renew. Sustain. Energy 2019, 8, 6. [Google Scholar] [CrossRef]
- Sadanand; Dwivedi, D.K. Modeling of Photovoltaic Solar Cell Based on CuSbS2 Absorber for the Enhancement of Performance. IEEE Trans. Electron Devices 2021, 68, 1121–1128. [Google Scholar] [CrossRef]
- Sobayel, K.; Akhtaruzzaman, M.; Rahman, K.S.; Ferdaous, M.T.; Al-Mutairi, Z.A.; Alharbi, H.F.; Alharthi, N.H.; Karim, M.R.; Hasmady, S.; Amin, N. A Comprehensive Defect Study of Tungsten Disulfide (WS2) as Electron Transport Layer in Perovskite Solar Cells by Numerical Simulation. Results Phys. 2019, 12, 1097–1103. [Google Scholar] [CrossRef]
- Lin, L.; Jiang, L.; Li, P.; Fan, B.; Qiu, Y.; Yan, F. Simulation of Optimum Band Structure of HTM-Free Perovskite Solar Cells Based on ZnO Electron Transporting Layer. Mater. Sci. Semicond. Process. 2019, 90, 1–6. [Google Scholar] [CrossRef]
- Sadanand; Dwivedi, D.K. Numerical Modeling for Earth-Abundant Highly Efficient Solar Photovoltaic Cell of Non-Toxic Buffer Layer. Opt. Mater. 2020, 109, 110409. [Google Scholar] [CrossRef]
- Sadanand; Dwivedi, D.K. Theoretical Investigation on Enhancement of Output Performance of CZTSSe Based Solar Cell. Sol. Energy 2019, 193, 442–451. [Google Scholar] [CrossRef]
- Ouslimane, T.; Et-taya, L.; Elmaimouni, L.; Benami, A. Impact of Absorber Layer Thickness, Defect Density, and Operating Temperature on the Performance of MAPbI3 Solar Cells Based on ZnO Electron Transporting Material. Heliyon 2021, 7, e06379. [Google Scholar] [CrossRef] [PubMed]
- Singh, P.; Ravindra, N.M. Temperature Dependence of Solar Cell Performance—An Analysis. Sol. Energy Mater. Sol. Cells 2012, 101, 36–45. [Google Scholar] [CrossRef]
- Polman, A.; Atwater, H.A. Photonic Design Principles for Ultrahigh-Efficiency Photovoltaics. Nat. Mater. 2012, 11, 174–177. [Google Scholar] [CrossRef]
- Jeyakumar, R.; Bag, A.; Nekovei, R.; Radhakrishnan, R. Influence of Electron Transport Layer (TiO2) Thickness and Its Doping Density on the Performance of CH3NH3PbI3-Based Planar Perovskite Solar Cells. J. Electron. Mater. 2020, 49, 3533–3539. [Google Scholar] [CrossRef]
- Shaikh, S.F.; Kwon, H.C.; Yang, W.; Mane, R.S.; Moon, J. Performance Enhancement of Mesoporous TiO2-Based Perovskite Solar Cells by ZnS Ultrathin-Interfacial Modification Layer. J. Alloy. Compd. 2018, 738, 405–414. [Google Scholar] [CrossRef]
- Kakherskyi, S.I.; Diachenko, O.V.; Opanasyuk, N.M.; Opanasyuk, A.S. Optical Losses in Glass/ITO (ZnO)/CdS/Cu2ZnSn(SxSe1−x)4 Solar Cells with Different Kesterite Composition. Trans. Electr. Electron. Mater. 2022, 23, 552–562. [Google Scholar] [CrossRef]
- Abdullah, M.F.; Alghoul, M.A.; Naser, H.; Asim, N.; Ahmadi, S.; Yatim, B.; Sopian, K. Research and development efforts on texturization to reduce the optical losses at front surface of silicon solar cell. Renew. Sustain. Energy Rev. 2016, 66, 380–398. [Google Scholar] [CrossRef]
- Selj, J.H.; Mongstad, T.T.; Søndenå, R.; Marstein, E.S. Reduction of optical losses in colored solar cells with multilayer antireflection coatings. Sol. Energy Mater. Sol. Cells 2011, 95, 2576–2582. [Google Scholar] [CrossRef]
- Gabr, A.M.; Trojnar, A.H.; Wilkins, M.; Hall, T.J.; Kleiman, R.N.; Hinzer, K. Optimization of Anti-Reflection Coatings for Bifacial Solar Cells with Upconversion Layers. In Proceedings of the 2014 IEEE 40th Photovoltaic Specialist Conference (PVSC), Denver, CO, USA, 8–13 June 2014; pp. 2230–2233. [Google Scholar] [CrossRef]
- Li, M.; Xie, Y.M.; Xu, X.; Huo, Y.; Tsang, S.W.; Yang, Q.D.; Cheng, Y. Comparison of Processing Windows and Electronic Properties between CH3NH3PbI3 Perovskite Fabricated by One-Step and Two-Step Solution Processes. Org. Electron. 2018, 63, 159–165. [Google Scholar] [CrossRef]
- Kim, D.I.; Lee, J.W.; Jeong, R.H.; Boo, J.H. A High-efficiency and Stable Perovskite Solar Cell Fabricated in Ambient Air Using a Polyaniline Passivation Layer. Sci. Rep. 2022, 12, 694. [Google Scholar] [CrossRef] [PubMed]
- Liu, D.; Traverse, C.J.; Chen, P.; Elinski, M.; Yang, C.; Wang, L.; Young, M.; Lunt, R.R. Aqueous-Containing Precursor Solutions for Efficient Perovskite Solar Cells. Adv. Sci. 2018, 5, 1700484. [Google Scholar] [CrossRef] [PubMed]
- Kumar, M.; Raj, A.; Kumar, A.; Anshul, A. An Optimized Lead-Free Formamidinium Sn-Based Perovskite Solar Cell Design for High Power Conversion Efficiency by SCAPS Simulation. Opt. Mater. 2020, 108, 110213. [Google Scholar] [CrossRef]







| Parameters | P3HT [28] | CH3NH3SnI3 [18] | WS2 [38] | ITO |
|---|---|---|---|---|
| Thickness (nm) | 350 | 350 | 150 | 100 |
| Eg (eV) | 1.700 | 1.3 | 1.800 | 3.500 |
| X (eV) | 3.500 | 4.17 | 3.950 | 4.000 |
| εr | 3.000 | 8.2 | 13.600 | 9.000 |
| Nc (1/cm3) | 2.0 × 1018 | 1 × 1018 | 2.2 × 1017 | 2.2 × 1018 |
| Nv (1/cm3) | 2.0 × 1019 | 1 × 1018 | 2.2 × 1016 | 1.8 × 1018 |
| Ve (cm/s) | 1.0 × 107 | 1.0 × 107 | 1.0 × 107 | 1.0 × 107 |
| Vh (cm/s) | 1.0 × 107 | 1.0 × 107 | 1.0 × 107 | 1.0 × 107 |
| µe (cm2/Vs) | 1.8 × 10−3 | 1.6 | 1.0 × 102 | 2.0 |
| µh (cm2/Vs) | 1.8 × 10−2 | 1.6 | 1.0 × 102 | 1.0 |
| ND (1/cm3) | - | 1.0 × 1017 | 1.0 × 1018 | 2.0 × 1019 |
| NA (1/cm3) | 1.0 × 1019 | 1.0 × 1017 | - | - |
| Device Structure | PCE (%) | FF (%) | Voc (Volt) | Jsc (mA/cm2) | References |
|---|---|---|---|---|---|
| Zn0.75Mg0.25O/CH3NH3SnI3/MASnBr3 (simulated) | 26.33 | 82.01 | 0.95 | 33.85 | [18] |
| ITO/PEDOT: PSS/CH3NH3SnI3/C60/ BCP/Ag (experimental) | 17.1% | 76.41 | 1.00 | 22.95 | [51] |
| FTO/TiO2/Perovskite/ SpiroMeOTAD/Ag(experimental) | 15.1 | 64.2 | 0.99 | 23.71 | [52] |
| ITO/PEDOT: PSS/CH3NH3PbI3−xClx/C60/ BCP/Ag (experimental) | 21.1 | 80.3 | 1.09 | 22.3 | [53] |
| FTO/TiO2/FASnI3/Spiro-OMeTAD/Au (simulated) | 19.08 | 33.72 | 1.18 | 31.20 | [54] |
| FTO/ TiO2-ZnS/Spiro-OMeTAD/Au | 14.90% | 74.43 | 1.02 | 19.07 | [46] |
| WS2/CH3NH3SnI3/P3HT (simulated) | 33.46 | 81.59 | 1.0997 | 37.17 | This work |
Publisher’s Note: MDPI stays neutral with regard to jurisdictional claims in published maps and institutional affiliations. |
© 2022 by the authors. Licensee MDPI, Basel, Switzerland. This article is an open access article distributed under the terms and conditions of the Creative Commons Attribution (CC BY) license (https://creativecommons.org/licenses/by/4.0/).
Share and Cite
Umar, A.; Sadanand; Singh, P.K.; Dwivedi, D.K.; Algadi, H.; Ibrahim, A.A.; Alhammai, M.A.M.; Baskoutas, S. High Power-Conversion Efficiency of Lead-Free Perovskite Solar Cells: A Theoretical Investigation. Micromachines 2022, 13, 2201. https://doi.org/10.3390/mi13122201
Umar A, Sadanand, Singh PK, Dwivedi DK, Algadi H, Ibrahim AA, Alhammai MAM, Baskoutas S. High Power-Conversion Efficiency of Lead-Free Perovskite Solar Cells: A Theoretical Investigation. Micromachines. 2022; 13(12):2201. https://doi.org/10.3390/mi13122201
Chicago/Turabian StyleUmar, Ahmad, Sadanand, Pravin Kumar Singh, D. K. Dwivedi, Hassan Algadi, Ahmed A. Ibrahim, Mohsen A. M. Alhammai, and Sotirios Baskoutas. 2022. "High Power-Conversion Efficiency of Lead-Free Perovskite Solar Cells: A Theoretical Investigation" Micromachines 13, no. 12: 2201. https://doi.org/10.3390/mi13122201
APA StyleUmar, A., Sadanand, Singh, P. K., Dwivedi, D. K., Algadi, H., Ibrahim, A. A., Alhammai, M. A. M., & Baskoutas, S. (2022). High Power-Conversion Efficiency of Lead-Free Perovskite Solar Cells: A Theoretical Investigation. Micromachines, 13(12), 2201. https://doi.org/10.3390/mi13122201

