Design and Fabrication of an Integrated Hollow Concave Cilium MEMS Cardiac Sound Sensor
Abstract
1. Introduction
2. Materials and Methods
2.1. Principle and Structure
2.2. Encapsulation Method
3. Results
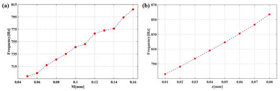
3.1. Simulation and Results
3.2. Experiments and Results
3.3. Performance Results
4. Discussion
5. Conclusions
Author Contributions
Funding
Institutional Review Board Statement
Informed Consent Statement
Data Availability Statement
Conflicts of Interest
References
- Montinari, M.R.; Minelli, S. The first 200 years of cardiac auscultation and future perspectives. J. Multidiscip. Healthc. 2019, 12, 183–189. [Google Scholar] [CrossRef] [PubMed]
- Resnekov, L. Understanding heart sounds and murmurs, with an introduction to lung sounds. JAMA 1985, 254, 124–125. [Google Scholar] [CrossRef]
- Redlarski, G.; Gradolewski, D.; Palkowski, A. A system for heart sounds classification. PLoS ONE 2014, 9, e112673. [Google Scholar] [CrossRef] [PubMed]
- Zhang, G.; Liu, M.; Guo, N.; Zhang, W. Design of the MEMS piezoresistive electronic heart sound sensor. Sensors 2016, 16, 1728. [Google Scholar] [CrossRef]
- Phua, K.; Chen, J.; Dat, T.H.; Shue, L. Heart sound as a biometric. Pattern Recognit. 2008, 41, 906–919. [Google Scholar] [CrossRef]
- Bifulco, P.; Gargiulo, G.D.; d’Angelo, G.; Liccardo, A.; Romano, M.; Clemente, F.; Cesarelli, M. Monitoring of respiration, seismocardiogram and heart sounds by a PVDF piezo film sensor. Measurement 2014, 11, 786–789. [Google Scholar]
- Liu, Y.; Norton, J.J.S.; Qazi, R.; Zou, Z.; Ammann, K.R.; Liu, H.; Yan, L.; Tran, P.L.; Jang, K.-I.; Lee, J.W.; et al. Epidermal mechano-acoustic sensing electronics for cardiovascular diagnostics and human-machine interfaces. Sci. Adv. 2016, 2, e1601185. [Google Scholar] [CrossRef]
- Jain, P.K.; Tiwari, A.K.; Chourasia, V.S. Performance analysis of seismocardiography for heart sound signal recording in noisy scenarios. J. Med. Eng. Technol. 2016, 40, 106–118. [Google Scholar] [CrossRef]
- Anumukonda, M.; Chowdhury, S.R. Heart sound sensing through MEMS microphone. In Sensors for Everyday Life; Springer: Berlin/Heidelberg, Germany, 2017; pp. 121–134. [Google Scholar]
- Fattah, S.A.; Rahman, N.M.; Maksud, A.; Foysal, S.I.; Chowdhury, R.I.; Chowdhury, S.S.; Shahanaz, C. Stetho-phone: Low-cost digital stethoscope for remote personalized healthcare. In Proceedings of the 2017 IEEE Global Humanitarian Technology Conference (GHTC), San Jose, CA, USA, 19–22 October 2017; pp. 1–7. [Google Scholar]
- Choudhary, T.; Sharma, L.N.; Bhuyan, M.K. Heart sound extraction from sternal seismocardiographic signal. IEEE Signal Process. Lett. 2018, 25, 482–486. [Google Scholar] [CrossRef]
- Martinek, R.; Kahankova, R.; Nedoma, J.; Fajkus, M.; Nazeran, H.; Nowakova, J. Adaptive signal processing of fetal PCG recorded by interferometric sensor. In Proceedings of the Fourth Euro-China Conference on Intelligent Data Analysis and Applications, Málaga, Spain, 9–11 October 2017; pp. 235–243. [Google Scholar]
- Lee, K.; Ni, X.; Lee, J.Y.; Arafa, H.; Pe, D.J.; Xu, S.; Avila, R.; Irie, M.; Lee, J.H.; Easterlin, R.L.; et al. Mechano-acoustic sensing of physiological processes and body motions via a soft wireless device placed at the suprasternal notch. Nat. Biomed. Eng. 2020, 4, 148–158. [Google Scholar] [CrossRef]
- Ha, T.; Tran, J.; Liu, S.; Jang, H.; Jeong, H.; Mitbander, R.; Huh, H.; Qiu, Y.; Duong, J.; Wang, R.L.; et al. A chest-laminated ultrathin and stretchable E-Tattoo for the measurement of electrocardiogram, seismocardiogram, and cardiac time intervals. Adv. Sci. 2019, 6, 1900290. [Google Scholar] [CrossRef] [PubMed]
- Gupta, P.; Moghimi, M.J.; Jeong, Y.; Gupta, D.; Inan, O.T.; Ayazi, F. Precision wearable accelerometer contact microphones for longitudinal monitoring of mechano-acoustic cardiopulmonary signals. NPJ Digit. Med. 2020, 3, 19. [Google Scholar] [CrossRef] [PubMed]
- Andreozzi, E.; Gargiulo, G.D.; Esposito, D.; Bifulco, P. A novel broadband forcecardiography sensor for simultaneous monitoring of respiration, infrasonic cardiac vibrations and heart sounds. Front. Physiol. 2021, 12, 725716. [Google Scholar] [CrossRef] [PubMed]
- Centracchio, J.; Andreozzi, E.; Esposito, D.; Gargiulo, G.D.; Bifulco, P. Detection of Aortic Valve Opening and Estimation of Pre-Ejection Period in Forcecardiography Recordings. Bioengineering 2022, 9, 89. [Google Scholar] [CrossRef] [PubMed]
- Andreozzi, E.; Centracchio, J.; Esposito, D.; Bifulco, P. A Comparison of Heart Pulsations Provided by Forcecardiography and Double Integration of Seismocardiogram. Bioengineering 2022, 9, 167. [Google Scholar] [CrossRef] [PubMed]
- Li, H.; Ren, Y.; Zhang, G.; Wang, R.; Zhang, X.; Zhang, T.; Zhang, L.; Cui, J.; Xu, Q.; Duan, S. Design of a high SNR electronic heart sound sensor based on a MEMS bionic hydrophone. AIP Adv. 2019, 9, 015005. [Google Scholar] [CrossRef]
- Everest, F.A.; Pohlmann, K.C. Master Handbook of Acoustics; McGraw-Hill Education: New York, NY, USA, 2022. [Google Scholar]
- Lv, N.; Jiang, W.; Hu, K.; Lyu, Z. Synchronous construction of piezoelectric elements and nanoresistance networks for pressure sensing based on the wheatstone bridge principle. ACS Appl. Electron. Mater. 2021, 3, 3936–3947. [Google Scholar] [CrossRef]
- Wang, R.; Shen, W.; Zhang, W.; Song, J.; Li, N.; Liu, M.; Zhang, G.; Xue, C.; Zhang, W. Design and implementation of a jellyfish otolith-inspired MEMS vector hydrophone for low-frequency detection. Microsyst. Nanoeng. 2021, 7, 1. [Google Scholar] [CrossRef]
- Zhang, G.J. The Research of Cilium MEMS Vector Hydrophone. Ph.D. Dissertation, School of Marine Science and Technology, Acoustics, Northwestern Polytechnical University, Xi’an, China, 2015. [Google Scholar]
- Chen, T.-H. Analysis Method of Heart Sound and ECG Signal Based on Modern Signal Processing Technology; China Machine Press: Beijing, China, 2012. [Google Scholar]
- Shi, P.; Li, Y.; Zhang, W.; Zhang, G.; Cui, J.; Wang, S.; Wang, B. Design and Implementation of Bionic MEMS Electronic Heart Sound Stethoscope. IEEE Sens. J. 2021, 22, 1163–1172. [Google Scholar] [CrossRef]
- Wu, W.Z.; Guo, X.M.; Xie, M.L.; Xiao, Z.F.; Yang, Y.; Xiao, S.Z. Research on first heart sound and second heart sound amplitude variability and reversal phenomenon-a new finding in athletic heart study. J. Med. Biol. Eng. 2009, 29, 202–205. [Google Scholar]
- Pedersen, P.C.; Tretiak, O.; He, P. Impedance-matching properties of an inhomogeneous matching layer with continuously changing acoustic impedance. J. Acoust. Soc. Am. 1982, 72, 327–336. [Google Scholar] [CrossRef]
- Dwivedi, A.K.; Imtiaz, S.A.; Rodriguez-Villegas, E. Algorithms for automatic analysis and classification of heart sounds—A systematic review. IEEE Access 2018, 7, 8316–8345. [Google Scholar] [CrossRef]
- Son, G.Y.; Kwon, S. Classification of heart sound signal using multiple features. Appl. Sci. 2018, 8, 2344. [Google Scholar]
- Ali, M.N.; el Dahshan, E.S.A.; Yahia, A.S. A review of intelligent systems for heart sound signal analysis. J. Med. Eng. Technol. 2017, 41, 553–563. [Google Scholar]
- Varghees, V.N.; Ramachandran, K. Effective heart sound segmentation and murmur classification using empirical wavelet transform and instantaneous phase for electronic stethoscope. IEEE Sens. J. 2017, 17, 3861–3872. [Google Scholar] [CrossRef]
- Chen, T.E.; Yang, S.I.; Ho, L.T.; Tsai, K.H.; Chen, Y.H.; Chang, Y.F.; Lai, Y.H.; Wang, S.S.; Tsao, Y.; Wu, C.C. S1 and S2 heart sound recognition using deep neural networks. IEEE Trans. Biomed. Eng. 2016, 64, 372–380. [Google Scholar]

















| Structure Name | Parameter (mm) |
|---|---|
| Length of beams (L) | 1 mm |
| Thickness of beams (t) | 0.03 mm |
| Width of beams (W) | 0.12 mm |
| Half-length of the center block’s side (a) | 0.3 mm |
| Material | Density (Kg/m3) | Poisson Ratio | Elastic Modulus (Pa) |
|---|---|---|---|
| Photosensitive resin | 1.2 × 103 | 0.41 | 4.2 × 109 |
| Medium | Density [ρ (Kg/m3)] | Acoustic Characteristic Impedance [z (Pa·s/m)] |
|---|---|---|
| Atmosphere (20 °C) | 1.21 | 415 |
| Water (20 °C) | 998 | 1.48 × 106 |
| Blood | 1055 | 1.656 × 106 |
| Soft tissue | 1016 | 1.524 × 106 |
| Muscle | 1074 | 1.684 × 106 |
| Medical coupling agent | 950~1016 | 1.5~1.7 × 106 |
| Parameter | First Heart Sound Duration (ms) | Second Heart Sound Duration (ms) | VP-P (mV) | Background Noise (mV) | SNR (dB) |
|---|---|---|---|---|---|
| 3M electronic stethoscope | 130.125 | 95.5 | 1366.475 | 118.56 | 21.233 |
| MEMS cardiac sound sensor | 134.25 | 93.125 | 138.24 | 6.5625 | 26.471 |
Publisher’s Note: MDPI stays neutral with regard to jurisdictional claims in published maps and institutional affiliations. |
© 2022 by the authors. Licensee MDPI, Basel, Switzerland. This article is an open access article distributed under the terms and conditions of the Creative Commons Attribution (CC BY) license (https://creativecommons.org/licenses/by/4.0/).
Share and Cite
Wang, B.; Shi, P.; Yang, Y.; Cui, J.; Zhang, G.; Wang, R.; Zhang, W.; He, C.; Li, Y.; Wang, S. Design and Fabrication of an Integrated Hollow Concave Cilium MEMS Cardiac Sound Sensor. Micromachines 2022, 13, 2174. https://doi.org/10.3390/mi13122174
Wang B, Shi P, Yang Y, Cui J, Zhang G, Wang R, Zhang W, He C, Li Y, Wang S. Design and Fabrication of an Integrated Hollow Concave Cilium MEMS Cardiac Sound Sensor. Micromachines. 2022; 13(12):2174. https://doi.org/10.3390/mi13122174
Chicago/Turabian StyleWang, Bo, Pengcheng Shi, Yuhua Yang, Jiangong Cui, Guojun Zhang, Renxin Wang, Wendong Zhang, Changde He, Yirui Li, and Shuotong Wang. 2022. "Design and Fabrication of an Integrated Hollow Concave Cilium MEMS Cardiac Sound Sensor" Micromachines 13, no. 12: 2174. https://doi.org/10.3390/mi13122174
APA StyleWang, B., Shi, P., Yang, Y., Cui, J., Zhang, G., Wang, R., Zhang, W., He, C., Li, Y., & Wang, S. (2022). Design and Fabrication of an Integrated Hollow Concave Cilium MEMS Cardiac Sound Sensor. Micromachines, 13(12), 2174. https://doi.org/10.3390/mi13122174

