Circularly Polarized MIMO Antenna with Wideband and High Isolation Characteristics for C-Band Communication Systems
Abstract
1. Introduction
2. Antenna Geometry
3. Antenna Design Procedure
3.1. MIMO Antenna without Parasitic Elements
3.2. MIMO Antenna with Parasitic Elements and Radiating Patches in the Same Layer
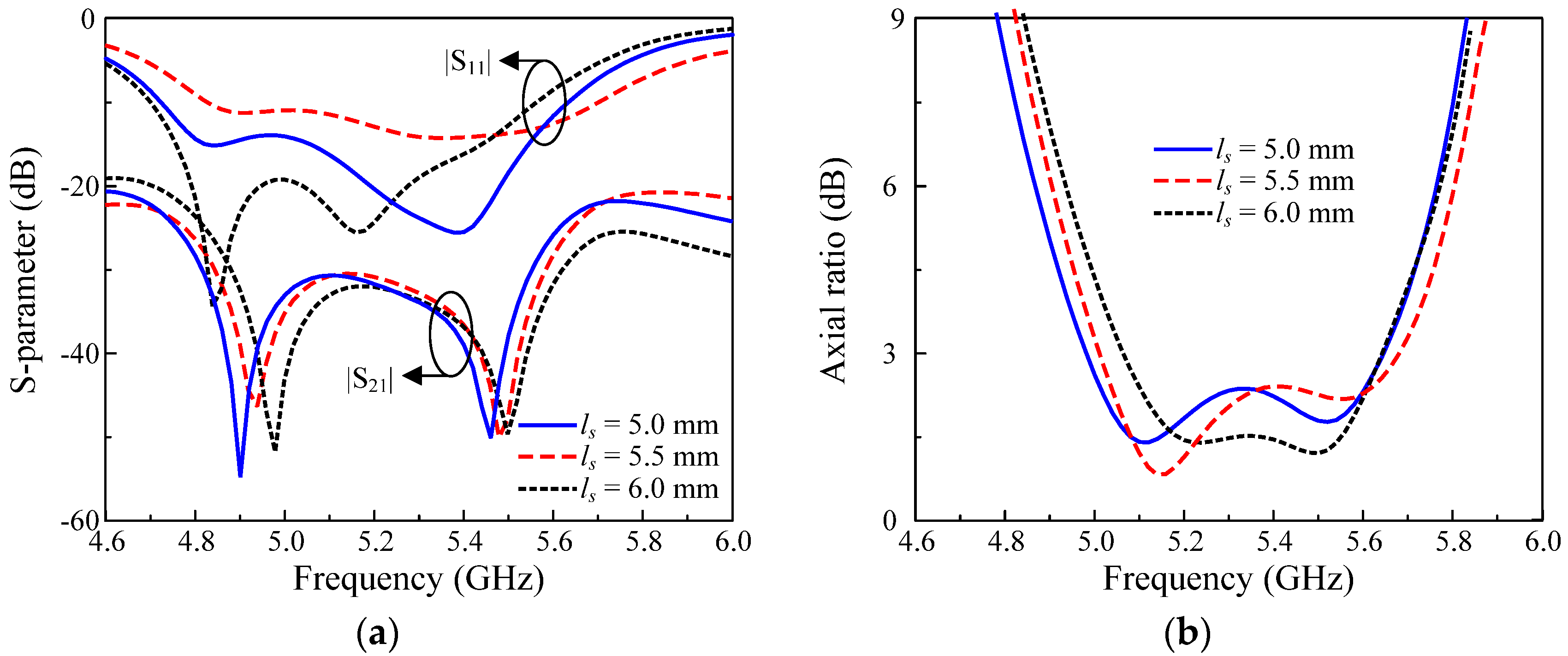
3.3. MIMO Antenna with Parasitic Elements and Radiating Patches in Different Layers
4. Antenna Discussion
4.1. Number of Parasitic Elements
4.2. Matching Stub
4.3. CP Realization
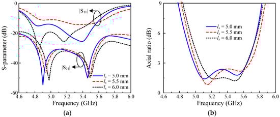
5. Measured Results
5.1. S–Parameter and Far–Field Results
5.2. MIMO Parameters
6. Conclusions
Author Contributions
Funding
Data Availability Statement
Conflicts of Interest
References
- Murch, R.; Letaief, K. Antenna systems for broadband wireless access. IEEE Commun. Mag. 2002, 40, 76–83. [Google Scholar] [CrossRef]
- Dicandia, F.A.; Genovesi, S.; Monorchio, A. Analysis of the performance enhancement of MIMO systems employing circular polarization. IEEE Trans. Antennas Propag. 2017, 65, 4824–4835. [Google Scholar] [CrossRef]
- Das, G.; Sharma, A.; Gangwar, R.K. Dielectric resonator based circularly polarized MIMO antenna with polarization diversity. Microw. Opt. Technol. Lett. 2018, 60, 685–693. [Google Scholar] [CrossRef]
- Sahu, N.K.; Das, G.; Gangwar, R.K. L-shaped dielectric resonator based circularly polarized multi-input-multi-output (MIMO) antenna for wireless local area network (WLAN) applications. Int. J. RF Microw. Comput.-Aided Eng. 2018, 28, e21426. [Google Scholar]
- Chen, H.N.; Song, J.M.; Park, J.D. A compact circularly polarized MIMO dielectric resonator antenna over electromagnetic band-gap surface for 5G applications. IEEE Access 2019, 7, 140889–140898. [Google Scholar] [CrossRef]
- Hussain, N.; Jeong, M.J.; Park, J.; Kim, N. A broadband circularly polarized fabry-perot resonant antenna using a single-layered PRS for 5G MIMO applications. IEEE Access 2019, 7, 42897–42907. [Google Scholar] [CrossRef]
- Akbari, M.; Ali, M.; Farahani, M.; Sebak, A.; Denidni, T. Spatially mutual coupling reduction between CP-MIMO antennas using FSS superstrate. Electron. Lett. 2017, 53, 516–518. [Google Scholar] [CrossRef]
- Jamal, M.Y.; Li, M.; Yeung, K.L. Isolation enhancement of closely packed dual circularly polarized MIMO antenna using hybrid technique. IEEE Access 2020, 8, 11241–11247. [Google Scholar] [CrossRef]
- Malviya, L.; Panigrahi, R.K.; Kartikeyan, M. Circularly polarized 2 × 2 MIMO antenna for WLAN applications. Prog. Electromagn. Res. C 2016, 66, 97–107. [Google Scholar] [CrossRef]
- Alnahwi, F.M.; Al-Yasir, Y.I.A.; See, C.H.; Abd-Alhameed, R.A. Single-Element and MIMO Circularly Polarized Microstrip Antennas with Negligible Back Radiation for 5G Mid-Band Handsets. Sensors 2022, 22, 3067. [Google Scholar] [CrossRef]
- Sufian, M.A.; Hussain, N.; Lee, J.; Park, S.G.; Kim, N. Mutual coupling reduction of a circularly polarized MIMO antenna using parasitic elements and DGS for V2X communications. IEEE Access 2022, 10, 56388–56400. [Google Scholar]
- Tran, H.H.; Hussain, N.; Le, T.T. Low-profile wideband circularly polarized MIMO antenna with polarization diversity for WLAN applications. AEU—Int. J. Electron. Commun. 2019, 108, 172–180. [Google Scholar] [CrossRef]
- Hussain, N.; Jeong, M.J.; Abbas, A.; Kim, N. Metasurface-based single-layer wideband circularly polarized MIMO antenna for 5G milimeter-wave systems. IEEE Access 2020, 8, 130293–130304. [Google Scholar]
- Tran, H.H.; Hussain, N.; Park, H.C.; Nguyen-Trong, N. Isolation in dual-sense CP MIMO antennas and role of decoupling structures. IEEE Antennas Wirel. Propag. Lett. 2022, 21, 1203–1207. [Google Scholar] [CrossRef]
- Xing, H.; Wang, X.; Gao, Z.; An, X.; Zheng, H.-x.; Wang, M.; Li, E. Efficient Isolation of an MIMO Antenna Using Defected Ground Structure. Electronics 2020, 9, 1265. [Google Scholar] [CrossRef]
- Ghannad, A.A.; Khalily, M.; Xiao, P.; Tafazolli, R.; Kishk, A.A. Enhanced matching and vialess decoupling of nearby patch antennas for MIMO system. IEEE Antennas Wirel. Propag. Lett. 2019, 18, 1066–1070. [Google Scholar] [CrossRef]
- OuYang, J.; Yang, F.; Wang, Z.M. Reducing mutual coupling of closely spaced microstrip MIMO antennas for WLAN application. IEEE Antennas Wirel. Propag. Lett. 2011, 10, 310–313. [Google Scholar] [CrossRef]
- Tang, M.C.; Chen, Z.; Wang, H.; Li, M.; Luo, B.; Wang, J.; Shi, Z.; Ziolkowski, R.W. Mutual coupling reduction using meta-structures for wideband, dual-polarized, and high-density patch arrays. IEEE Trans. Antennas Propag. 2017, 65, 3986–3998. [Google Scholar] [CrossRef]
- Kumar, S.; Lee, G.H.; Kim, D.H.; Choi, H.C.; Kim, K.W. Dual Circularly Polarized Planar Four-Port MIMO Antenna with Wide Axial-Ratio Bandwidth. Sensors 2020, 20, 5610. [Google Scholar]
- Iqbal, A.; Altaf, A.; Abdullah, M.; Alibakhshikenari, M.; Limiti, E.; Kim, S. Modified U Shaped Resonator as Decoupling Structure in MIMO Antenna. Electronics 2020, 9, 1321. [Google Scholar] [CrossRef]
- Niu, Z.; Zhang, H.; Chen, Q.; Zhong, T. Isolation enhancement in closely coupled dual-band MIMO patch antennas. IEEE Antennas Wirel. Propag. Lett. 2019, 18, 1686–1690. [Google Scholar]
- Wu, K.L.; Wei, C.; Mei, X.; Zhang, Z.Y. Array-antenna decoupling surface. IEEE Trans. Antennas Propag. 2017, 65, 6728–6738. [Google Scholar] [CrossRef]
- Li, M.; Zhong, B.G.; Cheung, S.W. Isolation enhancement for MIMO patch antennas using near-field resonators as coupling-mode transducers. IEEE Trans. Antennas Propag. 2019, 67, 755–764. [Google Scholar]
- Balanis, C.A. Antenna Theory–Analysis and Design; John Wiley & Sons, Inc.: Hoboken, NJ, USA, 2005. [Google Scholar]
- Ali, A.; Tong, J.; Iqbal, J.; Illahi, U.; Rauf, A.; Rehman, S.U.; Ali, H.; Qadir, M.M.; Khan, M.A.; Ghoniem, R.M. Mutual Coupling Reduction through Defected Ground Structure in Circularly Polarized, Dielectric Resonator-Based MIMO Antennas for Sub-6 GHz 5G Applications. Micromachines 2022, 13, 1082. [Google Scholar] [CrossRef]
- Bayarzaya, B.; Hussain, N.; Awan, W.A.; Sufian, M.A.; Abbas, A.; Choi, D.; Lee, J.; Kim, N. A Compact MIMO Antenna with Improved Isolation for ISM, Sub-6 GHz, and WLAN Application. Micromachines 2022, 13, 1355. [Google Scholar]
- Kim, S.H.; Chung, J.Y. Analysis of the envelope correlation coefficient of MIMO antennas connected with suspended lines. J. Electromagn. Eng. Sci. 2020, 20, 83–90. [Google Scholar] [CrossRef]
- Khan, M.I.; Khattak, M.I.; Al-Hasan, M. Miniaturized MIMO Antenna with Low Inter-radiator Transmittance and Band Rejection Features. J. Electromagn. Eng. Sci. 2021, 21, 307–315. [Google Scholar] [CrossRef]
- Tebache, S.; Belouchrani, A.; Ghanem, F.; Mansoul, A. Novel Reliable and Practical Decoupling Mechanism for Strongly Coupled Antenna Arrays. IEEE Trans. Antennas Propag. 2018, 67, 5892–5899. [Google Scholar]
- Sharma, P.; Tiwari, R.N.; Singh, P.; Kumar, P.; Kanaujia, B.K. MIMO Antennas: Design Approaches, Techniques and Applications. Sensors 2022, 22, 7813. [Google Scholar] [CrossRef]
- Alharbi, A.G.; Kulkarni, J.; Desai, A.; Sim, C.-Y.-D.; Poddar, A. A Multi-Slot Two-Antenna MIMO with High Isolation for Sub-6 GHz 5G/IEEE802.11ac/ax/C-Band/X-Band Wireless and Satellite Applications. Electronics 2022, 11, 473. [Google Scholar]















| Ref. | Antenna Type | Size (λo) | Spacing (λo) | BW (%) | Isolation (dB) | Gain (dBi) |
|---|---|---|---|---|---|---|
| [4] | DRA | 1.12 × 0.69 × 0.03 | 0.33 | 7.1 | ≥18 | 4.1 |
| [5] | DRA | 1.05 × 0.55 × 0.24 | 0.30 | <5.0 | ≥26 | 5.0 |
| [6] | Patch + FSS | 1.58 × 1.58 × 0.70 | 0.67 | 18.5 | ≥23 | 14.1 |
| [8] | Patch | 1.25 × 0.83 × 0.01 | 0.06 | 1.9 | ≥20 | 6.1 |
| [9] | Patch | 1.77 × 0.51 × 0.03 | 0.25 | 1.0 | ≥26 | 5.3 |
| [12] | Patch + MS | 0.95 × 0.54 × 0.05 | 0.18 | 13.7 | ≥20 | 5.8 |
| [13] | Patch + MS | 1.83 × 1.83 × 0.05 | 0.36 | 16.8 | ≥30 | 11.0 |
| [14] | Patch + Parasitic element | 0.95 × 0.71 × 0.05 | 0.09 | 8.3 | ≥26 | 6.2 |
| Prop. | Patch + Parasitic element | 1.41 × 0.97 × 0.05 | 0.08 | 11.3 | ≥32 | 8.5 |
| Parameters | Design–1 | Design–2 | Design–3 |
|---|---|---|---|
| w1 | 17.0 | 15.0 | 15.0 |
| lc | 4.6 | 4.6 | 5.0 |
| lf | 6.6 | 6.6 | 6.6 |
| ls | 4.0 | 6.0 | 5.5 |
| ws | 3.8 | 2.8 | 3.8 |
| d1 | 5.0 | 5.0 | 5.0 |
| d2 | 36.2 | 32.4 | |
| w2 | 14.6 | 14.8 | |
| s | 4.0 | 4.0 |
Publisher’s Note: MDPI stays neutral with regard to jurisdictional claims in published maps and institutional affiliations. |
© 2022 by the authors. Licensee MDPI, Basel, Switzerland. This article is an open access article distributed under the terms and conditions of the Creative Commons Attribution (CC BY) license (https://creativecommons.org/licenses/by/4.0/).
Share and Cite
Hussain, N.; Pham, T.D.; Tran, H.-H. Circularly Polarized MIMO Antenna with Wideband and High Isolation Characteristics for C-Band Communication Systems. Micromachines 2022, 13, 1894. https://doi.org/10.3390/mi13111894
Hussain N, Pham TD, Tran H-H. Circularly Polarized MIMO Antenna with Wideband and High Isolation Characteristics for C-Band Communication Systems. Micromachines. 2022; 13(11):1894. https://doi.org/10.3390/mi13111894
Chicago/Turabian StyleHussain, Niamat, Tuyen Danh Pham, and Huy-Hung Tran. 2022. "Circularly Polarized MIMO Antenna with Wideband and High Isolation Characteristics for C-Band Communication Systems" Micromachines 13, no. 11: 1894. https://doi.org/10.3390/mi13111894
APA StyleHussain, N., Pham, T. D., & Tran, H.-H. (2022). Circularly Polarized MIMO Antenna with Wideband and High Isolation Characteristics for C-Band Communication Systems. Micromachines, 13(11), 1894. https://doi.org/10.3390/mi13111894

