Effects of Culture Systems and Nutrients on the Growth and Toxin Production of Karenia selliformis
Abstract
1. Introduction
2. Results
2.1. Effects of S/V on the Growth of K. selliformis
2.2. Effects of S/V on the GYM-A Production of K. selliformis
2.3. Effects of Nitrogen and Phosphorus on the Growth and Photosynthetic Parameters of K. selliformis
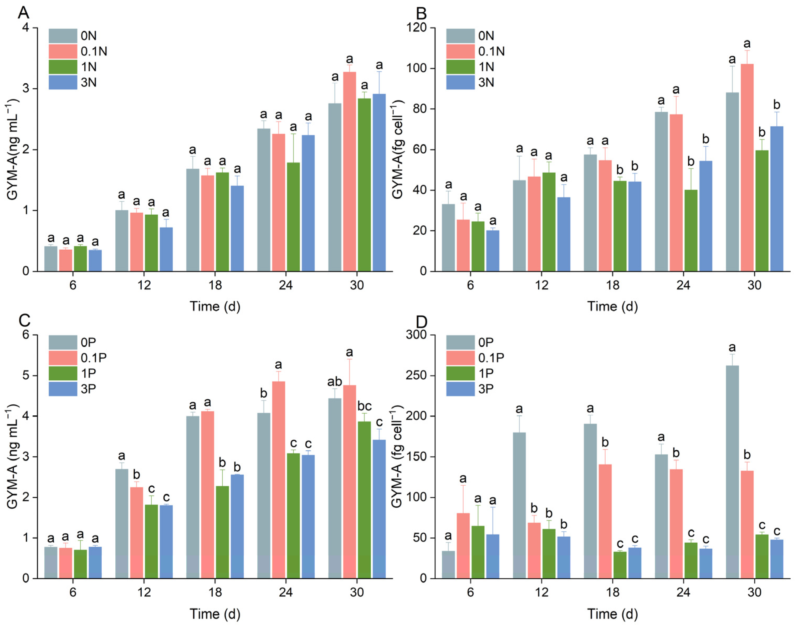
2.4. Effects of Nitrogen and Phosphorus on the GYM-A Production of K. selliformis
3. Discussion
4. Conclusions
5. Materials and Methods
5.1. Chemicals
5.2. Culture of Karenia selliformis
5.3. Record of Cell Density
5.4. Experimental Design
5.4.1. Comparison for Different Medium Volumes
5.4.2. Comparison for Different Nitrogen and Phosphorus Concentrations
5.5. Measurement of Photosynthetic Parameters
5.6. Extraction of Toxins
5.7. LC-MS/MS Analysis Method
5.8. Statistical Analysis
Author Contributions
Funding
Institutional Review Board Statement
Informed Consent Statement
Data Availability Statement
Conflicts of Interest
References
- Chen, C.; Liang, J.; Yang, G.; Sun, W. Spatio-temporal distribution of harmful algal blooms and their correlations with marine hydrological elements in offshore areas, China. Ocean Coast. Manag. 2023, 238, 106554. [Google Scholar] [CrossRef]
- Hou, W.; Chen, X.; Ba, M.; Yu, J.; Chen, T.; Zhu, Y.; Bai, J. Characteristics of harmful algal species in the coastal waters of China from 1990 to 2017. Toxins 2022, 14, 160. [Google Scholar] [CrossRef] [PubMed]
- Farabegoli, F.; Blanco, L.; Rodríguez, L.P.; Vieites, J.M.; Cabado, A.G. Phycotoxins in marine shellfish: Origin, occurrence and effects on humans. Mar. Drugs 2018, 16, 188. [Google Scholar] [CrossRef] [PubMed]
- Morabito, S.; Silvestro, S.; Faggio, C. How the marine biotoxins affect human health. Nat. Prod. Res. 2017, 32, 621–631. [Google Scholar] [CrossRef]
- Vilariño, N.; Louzao, M.C.; Abal, P.; Cagide, E.; Carrera, C.; Vieytes, M.R.; Botana, L.M. Human poisoning from marine toxins: Unknowns for optimal consumer protection. Toxins 2018, 10, 324. [Google Scholar] [CrossRef] [PubMed]
- Vellojin, J.P.; Mardones, J.I.; Vargas, V.; Leal, P.P.; Corredor-Acosta, A.; Iriarte, J.L. Potential effects of climate change on the growth response of the toxic dinoflagellate Karenia selliformis from Patagonian waters of Chile. Prog. Oceanogr. 2023, 211, 102956. [Google Scholar] [CrossRef]
- Seki, T.; Satake, M.; Mackenzie, L.; Kaspar, H.F.; Yasumoto, T. Gymnodimine, a new marine toxin of unprecedented structure isolated from New Zealand oysters and the dinoflagellate, Gymnodinium sp. Tetrahedron Lett. 1995, 36, 7093–7096. [Google Scholar] [CrossRef]
- Munday, R.; Towers, N.R.; Mackenzie, L.; Beuzenberg, V.; Holland, P.T.; Miles, C.O. Acute toxicity of gymnodimine to mice. Toxicon 2004, 44, 173–178. [Google Scholar] [CrossRef]
- Lamas, J.P.; Arevalo, F.; Moroño, A.; Correa, J.; Rossignoli, A.E.; Blanco, J. Gymnodimine A in mollusks from the north Atlantic Coast of Spain: Prevalence, concentration, and relationship with spirolides. Environ. Pollut. 2021, 279, 116919. [Google Scholar] [CrossRef]
- Rossignoli, A.E.; Mariño, C.; Martín, H.; Blanco, J. First report of two gymnodimines and two tetrodotoxin analogues in invertebrates from the north Atlantic coast of Spain. Mar. Drugs 2023, 21, 232. [Google Scholar] [CrossRef]
- Krock, B.; Pitcher, G.C.; Ntuli, J.; Cembella, A.D. Confirmed identification of gymnodimine in oysters from the west coast of South Africa by liquid chromatography–tandem mass spectrometry. Afr. J. Mar. Sci. 2009, 31, 113–118. [Google Scholar] [CrossRef]
- Leyva-Valencia, I.; Hernandez-Castro, J.E.; Band-Schmidt, C.J.; Turner, A.D.; O’Neill, A.; Núñez-Vázquez, E.J.; López-Cortés, D.J.; Bustillos-Guzmán, J.J.; Hernández-Sandoval, F.E. Lipophilic toxins in wild bivalves from the southern gulf of California, Mexico. Mar. Drugs 2021, 19, 99. [Google Scholar] [CrossRef] [PubMed]
- Ji, Y.; Yan, G.; Wang, G.; Liu, J.; Tang, Z.; Yan, Y.; Qiu, J.; Zhang, L.; Pan, W.; Fu, Y.; et al. Prevalence and distribution of domoic acid and cyclic imines in bivalve mollusks from Beibu Gulf, China. J. Hazard. Mater. 2022, 423, 127078. [Google Scholar] [CrossRef] [PubMed]
- Wang, J.; Li, R.; Liu, B.; Zhang, Q.; Wang, X.; Zhu, Y.; Zhang, Y. Occurrence and distribution of lipophilic marine algal toxins in the coastal seawater of Southeast China and the South China Sea. Mar. Pollut. Bull. 2023, 187, 114584. [Google Scholar] [CrossRef] [PubMed]
- Miles, C.O.; Wilkins, A.L.; Stirling, D.J.; MacKenzie, L. New analogue of gymnodimine from a Gymnodinium species. Agric. Food Chem. 2000, 48, 1373–1376. [Google Scholar] [CrossRef]
- Haywood, A.J.; Steidinger, K.A.; Truby, E.W.; Bergquist, P.R.; Bergquist, P.L.; Adamson, J.; MacKenzie, L. Comparative morphology and molecular phylogenetic analysis of three new species of the genus Karenia (Dinophyceae) from New Zealand. J. Phycol. 2004, 40, 165–179. [Google Scholar] [CrossRef]
- Guillou, L.; Nezan, E.; Cueff, V.; Erard-Le Denn, E.; Cambon-Bonavita, M.A.; Gentien, P.; Barbier, G. Genetic diversity and molecular detection of three toxic dinoflagellate genera (Alexandrium, Dinophysis, and Karenia) from French coasts. Protist 2002, 153, 223–238. [Google Scholar] [CrossRef]
- Haywood, A.J.; Scholin, C.A.; Marin, R.; Steidinger, K.A.; Heil, C.; Ray, J. Molecular detection of the brevetoxin-producing dinoflagellate Karenia brevis and closely related species using rRNA-targeted probes and a semiautomated sandwich hybridization assay. J. Phycol. 2007, 43, 1271–1286. [Google Scholar] [CrossRef]
- Heil, C.A.; Glibert, P.M.; Al-Sarawi, M.A.; Faraj, M.; Behbehani, M.; Husain, M. First record of a fish-killing Gymnodinium sp. bloom in Kuwait Bay, Arabian Sea: Chronology and potential causes. Mar. Ecol. Prog. Ser. 2001, 214, 15–23. [Google Scholar] [CrossRef]
- Kuroda, H.; Taniuchi, Y.; Watanabe, T.; Azumaya, T.; Hasegawa, N. Distribution of harmful algae (Karenia spp.) in October 2021 off southeast Hokkaido, Japan. Front. Mar. Sci. 2022, 9, 841364. [Google Scholar] [CrossRef]
- Shi, J.; Liu, Y.; Gu, H.; Li, C. Variation in the growth and toxin production of Gymnodinium catenatum under different laboratory conditions. Mar. Biol. 2022, 169, 130. [Google Scholar] [CrossRef]
- Mountfort, D.; Beuzenberg, V.; MacKenzie, L.; Rhodes, L. Enhancement of growth and gymnodimine production by the marine dinoflagellate, Karenia selliformis. Harmful Algae 2006, 5, 658–664. [Google Scholar] [CrossRef]
- Rhodes, L.; Selwood, A.; McNabb, P.; Briggs, L.; Adamson, J.; van Ginkel, R.; Laczka, O. Trace metal effects on the production of biotoxins by microalgae. Afr. J. Mar. Sci. 2006, 28, 393–397. [Google Scholar] [CrossRef]
- Aguilera-Belmonte, A.; Inostroza, I.; Carrillo, K.S.; Franco, J.M.; Riobó, P.; Gómez, P.I. The combined effect of salinity and temperature on the growth and toxin content of four Chilean strains of Alexandrium catenella (Whedon and Kofoid) Balech 1985 (Dinophyceae) isolated from an outbreak occurring in southern Chile in 2009. Harmful Algae 2013, 23, 55–59. [Google Scholar] [CrossRef]
- Meng, R.; Du, X.; Ge, K.; Wu, C.; Zhang, Z.; Liang, X.; Yang, J.; Zhang, H. Does climate change increase the risk of marine toxins? Insights from changing seawater conditions. Archi. Toxicol. 2024, 98, 2743–2762. [Google Scholar] [CrossRef]
- Beuzenberg, V.; Mountfort, D.; Holland, P.; Shi, F.; MacKenzie, L. Optimization of growth and production of toxins by three dinoflagellates in photobioreactor cultures. J. Appl. Phycol. 2012, 24, 1023–1033. [Google Scholar] [CrossRef]
- Medhioub, A.; Medhioub, W.; Amzil, Z.; Sibat, M.; Bardouil, M.; Ben Neila, I.; Mezghani, S.; Hamza, A.; Lassus, P. Influence of environmental parameters on Karenia selliformis toxin content in culture. Cah. Biol. Mar. 2009, 50, 333–342. [Google Scholar]
- Nayana, K.; Vidya, D.; Soorya, K.; Dineshan, A.; Menon, A.S.; Mambad, R.; Arunkumar, K. Effect of volume and surface area on growth and productivity of microalgae in culture system. BioEnerg. Res. 2023, 16, 1013–1025. [Google Scholar] [CrossRef]
- Venancio, H.C.; Cella, H.; Lopes, R.G.; Derner, R.B. Surface-to-volume ratio influence on the growth of Scenedesmus obliquus in a thin-layer cascade system. J. Appl. Phycol. 2020, 32, 821–829. [Google Scholar] [CrossRef]
- Tamburic, B.; Evenhuis, C.R.; Suggett, D.J.; Larkum, A.W.D.; Raven, J.A.; Ralph, P.J. Gas transfer controls carbon limitation during biomass production by marine microalgae. ChemSusChem 2015, 8, 2727–2736. [Google Scholar] [CrossRef]
- Corcoran, A.A.; Richardson, B.; Flewelling, L.J. Effects of nutrient-limiting supply ratios on toxin content of Karenia brevis grown in continuous culture. Harmful Algae 2014, 39, 334–341. [Google Scholar] [CrossRef]
- Van de Waal, D.B.; Smith, V.H.; Declerck, S.A.J.; Stam, E.C.M.; Elser, J.J. Stoichiometric regulation of phytoplankton toxins. Ecol. Lett. 2014, 17, 736–742. [Google Scholar] [CrossRef] [PubMed]
- Feki, W.; Hamza, A.; Frossard, V.; Abdennadher, M.; Hannachi, I.; Jacquot, M.; Belhassen, M.; Aleya, L. What are the potential drivers of blooms of the toxic dinoflagellate Karenia selliformis? A 10-year study in the Gulf of Gabes, Tunisia, southwestern Mediterranean Sea. Harmful Algae 2013, 23, 8–18. [Google Scholar] [CrossRef]
- Hashimoto, K.; Uchida, H.; Nishimura, T.; Oikawa, H.; Funaki, H.; Honma, C.; Yamaguchi, H.; Suzuki, T.; Adachi, M. Determination of optimal culture conditions for toxin production by a Prorocentrum lima complex strain with high diarrhetic shellfish toxins yield. Harmful Algae 2021, 103, 102025. [Google Scholar] [CrossRef] [PubMed]
- Wang, G.; Qiu, J.; Li, A.; Ji, Y.; Tang, Z.; Hess, P. Stability and chemical conversion of the purified reference material of gymnodimine-A under different temperature and pH conditions. Toxins 2022, 14, 744. [Google Scholar] [CrossRef] [PubMed]
- Evans, S.; Langdon, C.J.; Rorrer, G.L. Aeration rate and power requirements for CO2-replete cultivation of the red seaweed Devaleraea mollis (Pacific dulse) in a tumble tank. Aquaculture 2024, 584, 740638. [Google Scholar] [CrossRef]
- Naderi, G.; Znad, H.; Tade, M.O. Investigating and modelling of light intensity distribution inside algal photobioreactor. Chem. Engin. Process. 2017, 122, 530–537. [Google Scholar] [CrossRef]
- Yamamoto, Y.; Nakahara, H. Competitive dominance of the cyanobacterium Microcystis aeruginosa in nutrient-rich culture conditions with special reference to dissolved inorganic carbon uptake. Phycol. Res. 2005, 53, 201–208. [Google Scholar] [CrossRef]
- Doucha, J.; Lívanský, K. Productivity, CO2/O2 exchange and hydraulics in outdoor open high density microalgal (Chlorella sp.) photobioreactors operated in a Middle and Southern European climate. J. Appl. Phycol. 2006, 18, 811–826. [Google Scholar] [CrossRef]
- Rinanti, A.; Kardena, E.; Astuti, D.I.; Dewi, K. Growth response and chlorophyll content of Scenedesmus obliquus cultivated in different artificial media. Asian J. Environ. Biol. 2013, 1, 1–9. [Google Scholar]
- Diaz, J.M.; Steffen, R.; Sanders, J.G.; Tang, Y.; Duhamel, S. Preferential utilization of inorganic polyphosphate over other bioavailable phosphorus sources by the model diatoms Thalassiosira spp. Environ. Microbiol. 2019, 21, 2415–2425. [Google Scholar] [CrossRef] [PubMed]
- Hockin, N.L.; Mock, T.; Mulholland, F.; Kopriva, S.; Malin, G. The response of diatom central carbon metabolism to nitrogen starvation is different from that of green algae and higher plants. Plant Physiol. 2012, 158, 299–312. [Google Scholar] [CrossRef] [PubMed]
- Hardison, D.R.; Sunda, W.G.; Litaker, R.W.; Shea, D.; Tester, P.A. Nitrogen limitation increases brevetoxins in Karenia brevis (Dinophyceae): Implications for bloom toxicity. J. Phycol. 2012, 48, 844–858. [Google Scholar] [CrossRef] [PubMed]
- Hou, D.; Mao, X.; Gu, S.; Li, H.; Liu, J.; Yang, W. Systems-level analysis of metabolic mechanism following nitrogen limitation in benthic dinoflagellate Prorocentrum lima. Algal Res. 2018, 33, 389–398. [Google Scholar] [CrossRef]
- Camacho-Muñoz, D.; Praptiwi, R.A.; Lawton, L.A.; Edwards, C. High value phycotoxins from the dinoflagellate Prorocentrum. Front. Mar. Sci. 2021, 8, 638739. [Google Scholar] [CrossRef]
- Mo, Q.; Li, Z.; Sayer, E.J.; Lambers, H.; Li, Y.; Zou, B.; Tang, J.; Heskel, M.; Ding, Y.; Wang, F.; et al. Foliar phosphorus fractions reveal how tropical plants maintain photosynthetic rates despite low soil phosphorus availability. Funct. Ecol. 2019, 33, 503–513. [Google Scholar] [CrossRef]
- Tan, L.; Xu, W.; He, X.; Wang, J. The feasibility of Fv/Fm on judging nutrient limitation of marine algae through indoor simulation and in situ experiment. Estuar. Coast. Shelf Sci. 2019, 229, 106411. [Google Scholar] [CrossRef]
- Li, M.; Shi, X.; Guo, C.; Lin, S. Phosphorus deficiency inhibits cell division but not growth in the dinoflagellate Amphidinium carterae. Front. Microbiol. 2016, 7, 826. [Google Scholar] [CrossRef]
- Bryant, J.P.; Chapin III, F.S.; Klein, D.R. Carbon/nutrient balance of boreal plants in relation to vertebrate herbivory. Oikos 1983, 40, 357–368. [Google Scholar] [CrossRef]
- Stamp, N. Out of the quagmire of plant defense hypotheses. Quart. Rev. Biol. 2003, 78, 23–55. [Google Scholar] [CrossRef]
- Tang, Z.; Qiu, J.; Wang, G.; Ji, Y.; Hess, P.; Li, A. Development of an efficient extraction method for harvesting gymnodimine-A from large-scale cultures of Karenia selliformis. Toxins 2021, 13, 793. [Google Scholar] [CrossRef] [PubMed]





| Medium Volume (mL) | Surface-To-Volume Ratio (cm2 L−1) | Maximum Cell Yield (cells mL−1) | μ (d−1) | Standard Deviation |
|---|---|---|---|---|
| 150 | 147 | 48,260 a | 0.18 a | 0.003 |
| 1500 | 56 | 31,060 b | 0.11 b | 0.001 |
| 4500 | 42 | 23,060 c | 0.09 c | 0.003 |
| Groups | Conical Flask Volume (mL) | Medium Volume (mL) | Surface Area (cm2) | Surface-To-Volume Ratio (cm2/L) |
|---|---|---|---|---|
| 1 | 250 | 150 | 22.1 | 147 |
| 2 | 2000 | 1500 | 84.6 | 56 |
| 3 | 5000 | 4500 | 186.8 | 42 |
| Treatments | N Contents (μmol L−1) | P Contents (μmol L−1) |
|---|---|---|
| 0-N | 0 | 36 |
| 0.1-N | 88.2 | 36 |
| 1-N (f/2) | 882 | 36 |
| 3-N | 2647 | 36 |
| 0-P | 882 | 0 |
| 0.1-P | 882 | 3.6 |
| 1-P (f/2) | 882 | 36 |
| 3-P | 882 | 109 |
Disclaimer/Publisher’s Note: The statements, opinions and data contained in all publications are solely those of the individual author(s) and contributor(s) and not of MDPI and/or the editor(s). MDPI and/or the editor(s) disclaim responsibility for any injury to people or property resulting from any ideas, methods, instructions or products referred to in the content. |
© 2024 by the authors. Licensee MDPI, Basel, Switzerland. This article is an open access article distributed under the terms and conditions of the Creative Commons Attribution (CC BY) license (https://creativecommons.org/licenses/by/4.0/).
Share and Cite
Wu, X.; Wang, G.; Qiu, J.; Li, A.; Hess, P. Effects of Culture Systems and Nutrients on the Growth and Toxin Production of Karenia selliformis. Toxins 2024, 16, 518. https://doi.org/10.3390/toxins16120518
Wu X, Wang G, Qiu J, Li A, Hess P. Effects of Culture Systems and Nutrients on the Growth and Toxin Production of Karenia selliformis. Toxins. 2024; 16(12):518. https://doi.org/10.3390/toxins16120518
Chicago/Turabian StyleWu, Xizhen, Guixiang Wang, Jiangbing Qiu, Aifeng Li, and Philipp Hess. 2024. "Effects of Culture Systems and Nutrients on the Growth and Toxin Production of Karenia selliformis" Toxins 16, no. 12: 518. https://doi.org/10.3390/toxins16120518
APA StyleWu, X., Wang, G., Qiu, J., Li, A., & Hess, P. (2024). Effects of Culture Systems and Nutrients on the Growth and Toxin Production of Karenia selliformis. Toxins, 16(12), 518. https://doi.org/10.3390/toxins16120518

