Cyclopaldic Acid, the Main Phytotoxic Metabolite of Diplodia cupressi, Induces Programmed Cell Death and Autophagy in Arabidopsis thaliana
Abstract
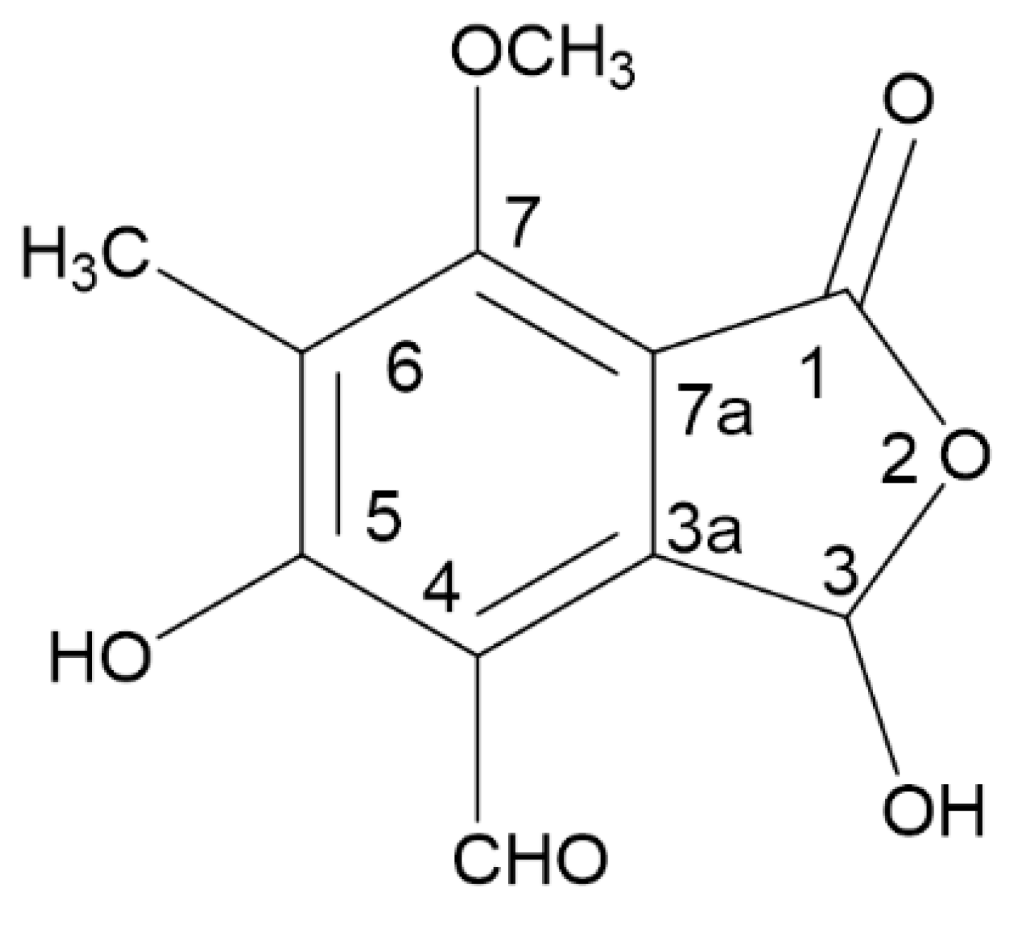
:1. Introduction
2. Results
2.1. CA Reduced Growth of A. thaliana Seedlings, Induced Leaf Chlorosis, Chlorophyll Loss and Inhibited Root Proton Extrusion
2.2. CA Induced Ion Leakage, Hydrogen Peroxide Production, Membrane-Lipid Peroxidation and Reduced Cell Viability in A. thaliana Leaves
2.3. CA Induced the Transcription of Defense-Related Genes in A. thaliana Leaves
2.4. CA Impaired Plasma Membrane Potential, Mithocondria Functionality and Vacuole Integrity in Protoplasts from A. thaliana Leaves
2.5. CA Induced ATG8 Lipidation in A. thaliana Leaves
3. Discussion
4. Conclusions
5. Materials and Methods
5.1. Cyclopadic Acid, Plant Material, Growth Conditions and Treatments
5.2. Preparation of Protoplasts
5.3. Total Chlorophyll Assay
5.4. Root Acidification Assay
5.5. Ion Leakage Assay
5.6. H2O2 Production Assay
5.7. Membrane-Lipid Peroxidation Assay
5.8. Cell Viability Assay
5.9. TUNEL Assay
5.10. ATP Phosphohydrolytic Activity of Plasma Membrane H+-ATPase
5.11. qRT-PCR Analysis of Genes Expression
5.12. Confocal Microscopy
5.13. Protein Extraction, SDS-PAGE and Immunoblotting
5.14. Statistical Analyses
Supplementary Materials
Author Contributions
Funding
Institutional Review Board Statement
Informed Consent Statement
Data Availability Statement
Acknowledgments
Conflicts of Interest
Abbreviations
References
- Graniti, A. Seiridium cardinale and other cypress cankers. EPPO Bull. 1986, 16, 479–486. [Google Scholar] [CrossRef]
- Brillinger, G.U.; Heberle, W.; Weber, B.; Achenbach, H. Metabolic products of microorganisms. Archiv. Microbiol. 1978, 116, 245–252. [Google Scholar] [CrossRef] [PubMed]
- Hemberger, Y.; Xu, J.; Wray, V.; Proksch, P.; Wu, J.; Bringmann, G. Pestalotiopens A and B: Stereochemically challenging flexible sesquiterpene-cyclopaldic acid hybrids from Pestalotiopsis sp. Chem. Eur. J. 2013, 19, 15556–15564. [Google Scholar] [CrossRef] [PubMed]
- Birkinshaw, J.H.; Raistrick, H.; Ross, D.J.; Stickings, C.E. Studies in the biochemistry of micro-organisms. 85. Cyclopolic and cyclopaldic acids, metabolic products of Penicillium cyclopium westling. Biochem. J. 1952, 50, 610–628. [Google Scholar] [PubMed] [Green Version]
- Chen, H.W.; Jiang, C.X.; Li, J.; Li, N.; Zang, Y.; Wu, X.Y.; Chen, W.X.; Juan Xiong, J.; Lic, J.; Hu, J.F. Beshanzoides A–D, unprecedented cycloheptanone-containing polyketides from Penicillium commune P-4-1, an endophytic fungus of the endangered conifer Abies beshanzuensis. RSC Adv. 2021, 11, 39781–39789. [Google Scholar] [CrossRef] [PubMed]
- Turner, W.B.; Aldridge, D.C. The Fungal Metabolites. II; Academic Press: New York, NY, USA, 1983; p. 68. [Google Scholar]
- Graniti, A.; Sparapano, L.; Evidente, A. Cyclopaldic acid, a major phytotoxic metabolite of Seiridium cupressi, the pathogen of a canker disease of cypress. Plant Pathol. 1992, 41, 563–568. [Google Scholar] [CrossRef]
- Sparapano, A.; Evidente, A. Biological activity of Cyclopaldic acid, a major toxin of Seiridium cupressi, its derivatives and iso-Cyclopaldic Acid. Nat. Toxins 1995, 3, 156–165. [Google Scholar] [CrossRef]
- Abbatantuono, I.; Sparapano, L. Effects of some Seiridium toxins on three cypress species (abstract). Rend. Accad. Naz. Sci. XL 1990, 109, 245. [Google Scholar]
- Sparapano, L.; Evidente, A.; Graniti, A. Possible role in pathogenesis of toxins produced by three species of Seiridium (abstract). In Proceedings of the 6th International Congress Plant Pathology, Montreal, QC, Canada, 28 July 1993; Volume 6, p. 220. [Google Scholar]
- Del Sorbo, G.; Evidente, A.; Scala, F. Production of polyclonal antibodies for cyclopaldic acid, a major phytotoxic metabolite produced by the plant pathogen Seiridium cupressi. Nat. Toxins 1994, 9, 136–140. [Google Scholar] [CrossRef]
- Cimmino, A.; Andolfi, A.; Avolio, F.; Ali, A.; Tabanca, N.; Khan, I.A.; Evidente, A. Cyclopaldic acid, seiridin, and sphaeropsidin A as fungal phytotoxins, and larvicidal and biting deterrents against Aedes aegypti (Diptera: Culicidae): Structure-Activity Relationships. Chem. Biodiv. 2013, 10, 1239–1251. [Google Scholar] [CrossRef]
- Aznar-Fernández, T.; Cimmino, A.; Masi, M.; Rubiales, D.; Evidente, A. Antifeedant activity of long-chain alcohols, and fungal and plant metabolites against pea aphid (Acyrthosiphon pisum) as potential biocontrol strategy. Nat. Prod. Res. 2019, 33, 2471–2479. [Google Scholar] [CrossRef] [PubMed]
- Ganassi, S.; Masi, M.; Grazioso, P.; Evidente, A.; De Cristofaro, A. Activity of some plant and fungal metabolites towards Aedes albopictus (Diptera, Culicidae). Toxins 2021, 13, 285. [Google Scholar] [CrossRef] [PubMed]
- Barilli, E.; Cimmino, A.; Masi, M.; Evidente, M.; Rubiales, D.; Evidente, A. Inhibition of early development stages of rust fungi by the two fungal metabolites cyclopaldic acid and epi-epoformin. Pest Manag. Sci. 2017, 73, 1161–1168. [Google Scholar] [CrossRef]
- Cimmino, A.; Fernandez-Aparicio, M.; Andolfi, A.; Basso, S.; Rubiales, D.; Evidente, A. Effect of fungal and plant metabolites on broomrapes (Orobanche and Phelipanche spp.) seed germination and radicle growth. J. Agric. Food Chem. 2014, 62, 10485–10492. [Google Scholar] [CrossRef] [PubMed]
- White, G.A.; Elliot, W.B. Inhibition of electron transport and oxidative phosphorylation in plant mithocondria by gladiolic acid and structurally related ortho-dialdehydes. Can. J. Biochem. Physiol. 1980, 58, 9–22. [Google Scholar]
- Guibault, G.G.; Kramer, D.N. Fluorometric determination of lipase, acylase, alpha- and gamma-chymotrypsin and inhibitors of these enzymes. Anal. Chem. 1964, 36, 409–412. [Google Scholar] [CrossRef]
- Marra, M.; Camoni, L.; Visconti, S.; Fiorillo, A.; Evidente, A. The surprising story of Fusicoccin: A wilt-inducing toxin, a tool in plant physiology and a 14-3-3-targeted drug. Biomolecules 2021, 11, 1393. [Google Scholar] [CrossRef]
- Zheng, Z.; Qamar, S.A.; Chen, Z.; Mengiste, T. Arabidopsis WRKY33 transcription factor is required for resistance to necrotrophic fungal pathogens. Plant J. 2006, 48, 592–605. [Google Scholar] [CrossRef]
- Lai, Z.; Wang, F.; Fan, B.; Chen, Z. A critical role of autophagy in plant resistance to necrotrophic fungal pathogens. Plant J. 2011, 66, 953–968. [Google Scholar] [CrossRef]
- Peng, X.; Hu, Y.; Tang, X.; Zhou, P.; Deng, X.; Wang, H.; Guo, Z. Constitutive expression of the rice WRKY30 gene increases the endogenous jasmonic acid accumulation, PR gene expression and resistance to fungal pathogens in rice. Planta 2012, 236, 1485–1498. [Google Scholar] [CrossRef]
- Dhar, N.; Caruana, J.; Erdem, I.; Subbarao, K.V.; Klostermann, S.J.; Raina, R. The Arabidopsis senescence-associated gene 13 regulates dark-induced senescence and plays contrasting roles in defense against bacterial and fungal pathogens. Mol. Plant Microbe Interact. 2020, 33, 754–766. [Google Scholar] [CrossRef] [PubMed]
- Hara-Nishimura, I.; Hatsugai, N. The role of vacuole in plant cell death. Cell Death Differ. 2011, 18, 1298–1304. [Google Scholar] [CrossRef] [PubMed] [Green Version]
- Hatsugai, N.; Yamada, K.; Goto-Iamata, S.; Hara-Nishimura, I. Vacuolar processing enzyme in plant programmed cell death. Front. Plant Sci. 2015, 6, 234. [Google Scholar]
- Hara-Nishimura, I.; Hatsugai, N.; Nakaune, S.; Kuroyanagi, M.; Nishimura, M. Vacuolar processing enzyme: An executor of plant cell death. Curr. Opin. Plant Biol. 2005, 8, 404–408. [Google Scholar] [CrossRef]
- Kuroyanagi, M.; Yamada, K.; Hatsugai, N.; Kondo, M.; Nishimura, M.; Hara-Nishimura, I. Vacuolar processing enzyme is essential for mycotoxin-induced cell death in arabidopsis thaliana. J. Biol. Chem. 2005, 280, 32914–32920. [Google Scholar] [CrossRef] [Green Version]
- Samperna, S.; Boari, A.; Vurro, M.; Salzano, A.M.; Reveglia, P.; Evidente, A.; Gismondi, A.; Canini, A.; Scaloni, A.; Marra, M. Arabidopsis defense against the pathogenic fungus Drechslera gigantea is dependent on the integrity of the unfolded protein response. Biomolecules 2021, 11, 240. [Google Scholar] [CrossRef]
- Dauphinee, A.N.; Denbigh, G.L.; Rollini, A.; Fraser, M.; Lacroix, R.; Gunawardena, A.H. The function of autophagy in lace-plant programmed cell death. Front. Plant Sci. 2019, 10, 1198. [Google Scholar] [CrossRef]
- Höfius, D.; Schultz-Larsen, T.; Joensen, J.; Tsitsigiannis, D.I.; Petersen, N.H.T.; Mattsson, O.; Jorgensen, L.B.; Jones, J.D.G.; Mundy, J.; Petersen, M. Autophagic components contribute to hypersensitive cell death in Arabidopsis. Cell 2009, 137, 773–783. [Google Scholar] [CrossRef] [Green Version]
- Zhou, S.; Hong, Q.; Li, Y.; Wang, M. Autophagy contributes to regulate the ROS levels and PCD progress in TMV infected tomatoes. Plant Sci. 2018, 269, 12–19. [Google Scholar] [CrossRef]
- Su, T.; Li, X.; Yang, M.; Shao, Q.; Zhao, Y.; Ma, C.; Wang, P. Autophagy: An intracellular degradation pathway regulating plant survival and stress response. Front. Plant Sci. 2020, 11, 164. [Google Scholar] [CrossRef] [Green Version]
- Chung, T.; Phillips, A.R.; Vierstra, R.D. ATG8 lipidation and ATG8-mediated autophagy in Arabidopsis require ATG12 expressed from the differentially controlled ATG12A and ATG12B loci. Plant J. 2010, 62, 483–493. [Google Scholar] [CrossRef] [PubMed]
- Doehlemann, G.; Ökmen, B.; Zhu, W.; Sharon, A. Plant pathogenic fungi. Microbiol. Spectrum. 2016, 5, 1–20. [Google Scholar]
- Elmore, J.M.; Coaker, G. The role of the plasma membrane H+-ATPase in plant-microbe interactions. Mol. Plant 2011, 4, 416–427. [Google Scholar] [CrossRef] [Green Version]
- Lee, H.Y.; Seo, Y.E.; Lee, J.H.; Oh, S.; Kim, J.; Jung, S.; Kim, H.; Park, H.; Kim, S.; Mangi, H.; et al. Plasma membrane-localized plant immune receptors targets H+-ATPase for membrane depolarization to regulate cell death. New Phytol. 2022, 233, 934–947. [Google Scholar] [CrossRef] [PubMed]
- Howlett, J.B. Secondary metabolite toxins and nutrition of plant pathogenic fungi. Curr. Opin. Plant Biol. 2006, 9, 371–375. [Google Scholar] [CrossRef] [PubMed]
- Asai, T.; Stone, J.M.; Heard, J.E.; Kovtun, Y.; Yorgey, P.; Sheen, J.; Ausubel, F.M. Fumonisin B1-induced cell death in Arabidopsis protoplasts requires jasmonate-,ethylene-, and salicylate-dependent signaling pathways. Plant Cell 2000, 12, 1823–1835. [Google Scholar]
- Rossi, F.R.; Garriz, A.; Marina, M.; Romero, F.M.; Gonzalez, M.E. The sesquiterpene botrydial produced by Botrytis cinerea induces the hypersensitive response on plant tissues and its action is modulated by salicilic acid and jasmonic acid signaling. Mol. Plant-Microbe Interact. 2011, 24, 888–896. [Google Scholar] [CrossRef] [Green Version]
- Minina, A.E.; Bozhkov, P.V.; Hofius, D. Autophagy as initiator or executioner of cell death. Trends Plant Sci. 2014, 19, 692–697. [Google Scholar] [CrossRef]
- Lenz, H.D.; Haller, E.; Melzer, E.; Kober, K.; Wurster, K.; Stahl, M.; Bassham, D.C.; Viestra, R.D.; Parker, J.E.; Bautor, J.; et al. Autophagy differentially controls plant basal immunity to biotrophic and necrotrophic pathogens. Plant J. 2011, 66, 818–830. [Google Scholar] [CrossRef]
- Yoo, S.D.; Cho, Y.H.; Sheen, J. Arabidopsis mesophyll protoplasts: A versatile cell system for transient gene expression analysis. Nat. Protoc. 2007, 2, 1565–1572. [Google Scholar] [CrossRef] [Green Version]
- Yang, H.; Knapp, J.; Koirala, P.; Rajagopal, D.; Peer, W.A.; Silbart, L.K.; Murphy, A.; Gaxiola, R.A. Enhanced phosphorus nutrition in monocots and dicots over-expressing a phosphorous-responsive type I H+-pyrophosphatase. Plant Biotechnol. J. 2007, 5, 735–745. [Google Scholar] [CrossRef] [PubMed]
- Fernàndez-Bautista, N.; Dominguez-Nùñez, J.A.; Moreno, M.M.C.; Berrocal-Lobo, M. Plant tissue trypan blue staining during phytopathogen infection. Bio-Protocol. 2016, 6, e2078. [Google Scholar] [CrossRef] [Green Version]
- Roduit, R.; Schorderet, D.F. MAP-kinase pathways in UV-induced apoptosis of retinal pigment ephitelium ARPe19 cells. Apoptosis 2008, 13, 343–353. [Google Scholar] [CrossRef] [PubMed]
- Camoni, L.; Marra, M.; Garufi, A.; Visconti, S.; Aducci, P. The maize-root plasma membrane H+-ATPase is regulated by a sugar-induced transduction pathway. Plant Cell. Physiol. 2006, 47, 743–747. [Google Scholar] [CrossRef] [PubMed] [Green Version]
- Pfaffl, M.V. A new mathematical model for realtive quantification in real-time RT-PCR. Nucleic Acids Res. 2001, 29, e45. [Google Scholar] [CrossRef]
- Visconti, S.; D’Ambrosio, C.; Fiorillo, A.; Arena, S.; Muzi, C.; Zottini, M.; Aducci, P.; Marra, M.; Scaloni, A.; Camoni, L. Overexpression of 14-3-3 proteins enhances cold tolerance and increases levels of stress-responsive proteins of Arabidopsis plants. Plant Sci. 2019, 289, 110215. [Google Scholar] [CrossRef]








Publisher’s Note: MDPI stays neutral with regard to jurisdictional claims in published maps and institutional affiliations. |
© 2022 by the authors. Licensee MDPI, Basel, Switzerland. This article is an open access article distributed under the terms and conditions of the Creative Commons Attribution (CC BY) license (https://creativecommons.org/licenses/by/4.0/).
Share and Cite
Samperna, S.; Masi, M.; Vurro, M.; Evidente, A.; Marra, M. Cyclopaldic Acid, the Main Phytotoxic Metabolite of Diplodia cupressi, Induces Programmed Cell Death and Autophagy in Arabidopsis thaliana. Toxins 2022, 14, 474. https://doi.org/10.3390/toxins14070474
Samperna S, Masi M, Vurro M, Evidente A, Marra M. Cyclopaldic Acid, the Main Phytotoxic Metabolite of Diplodia cupressi, Induces Programmed Cell Death and Autophagy in Arabidopsis thaliana. Toxins. 2022; 14(7):474. https://doi.org/10.3390/toxins14070474
Chicago/Turabian StyleSamperna, Simone, Marco Masi, Maurizio Vurro, Antonio Evidente, and Mauro Marra. 2022. "Cyclopaldic Acid, the Main Phytotoxic Metabolite of Diplodia cupressi, Induces Programmed Cell Death and Autophagy in Arabidopsis thaliana" Toxins 14, no. 7: 474. https://doi.org/10.3390/toxins14070474
APA StyleSamperna, S., Masi, M., Vurro, M., Evidente, A., & Marra, M. (2022). Cyclopaldic Acid, the Main Phytotoxic Metabolite of Diplodia cupressi, Induces Programmed Cell Death and Autophagy in Arabidopsis thaliana. Toxins, 14(7), 474. https://doi.org/10.3390/toxins14070474

