Abstract
Objectives: The WUT (weight, urine color, thirst) Venn diagram has been demonstrated as a practical tool for hydration assessment. However, no investigations have examined if there are sex differences in the accuracy of this method. Therefore, the purpose of this study was to explore potential sex differences in the accuracy of the WUT Venn diagram for hydration status determination. Methods: Twelve men (21 ± 2 years; 81.0 ± 15.9 kg) and twelve women (22 ± 3 years; 68.8 ± 15.2 kg) completed the study. Body mass, urine color, urine specific gravity (USG), urine osmolality (UOSM), thirst level, and plasma osmolality (POSM) were collected at first-morning and afternoon visits for three consecutive days in free-living and euhydrated states. The number of markers indicating dehydration levels were categorized into either 3, 2, 1, or 0 WUT markers. Receiver-operating characteristics analysis calculated the sensitivity and specificity of 1, 2, or 3 hydration markers in detecting dehydration or euhydration. Results: WUT2 and WUT3 resulted in high specificity values in comparison to USG (WUT2—male: 0.912, female: 0.949; WUT3—male: 0.991, female: 1.000), UOSM (WUT2—male: 0.901, female: 0.946; WUT3—male: 0.991, female: 1.000), and POSM (WUT2—male: 0.859, female: 0.896 WUT3; male: 0.977, female: 0.991). WUT1 resulted in high sensitivity values compared to USG (male: 0.931, female: 0.857), but varied between sexes for UOSM (male: 0.875, female: 0.794) and POSM (male: 0.469, female:0.536). Conclusions: The WUT Venn diagram accurately detects dehydration when two or three WUT markers are met in both males and females. The WUT Venn diagram accurately assesses hydration status in males and females, thus providing medical personnel and athlete support teams a cost-effective and time-efficient hydration testing tool.
1. Introduction
Hydration is an essential component for a variety of physiological factors related to health and exercise performance [1,2]. For example, a euhydrated state (“normal” body water content) may attenuate rises in thermal, physiological, and perceptual strain during exercise [3,4,5]. However, assessment of hydration status remains a controversial topic within the scientific community, especially during assessment of athletic, military, and occupational populations in field settings [6,7,8].
Current hydration literature is largely comprised of male participants which results in unclear transferable conclusions to the female population [2]. One of the main factors that is thought to influence sex differences in hydration is the role of sex hormones (e.g., estrogen and progesterone) and their impact on other volume regulatory hormones, such as arginine vasopressin [4,9]. In addition, absolute and relative total body water are lower in females compared with males due to the typical lower total body mass and smaller stature of females [10]. The prevalence of studying sex differences is highlighted by the increasing participation of women in sport and exercise, military, and occupational settings [2,11]. Therefore, additional research needs to emerge within the hydration field to ensure proper assessment of all individuals.
Numerous methodologies for hydration assessment exist, including blood, urine, body mass, and perceptual indices; however, many require high technique complexity and equipment cost, or are invasive and require venous blood draws [6,12]. Altogether, several of these techniques are not applicable to implement in field settings where individuals require immediate feedback in a cost-efficient manner. Consequently, a Venn diagram decision tool comprised of three simple hydration markers (weight [body mass loss], urine color, and thirst [WUT]) was created to practically assess hydration status in field settings, specifically athletic settings [8]. When two of the three markers meet the dehydration threshold for each marker, then the individual is ‘likely dehydrated’, and when all three markers are met then the individual is ‘very likely dehydrated’ [8]. The use of this hydration tool has been shown to be an accurate predictor of hydration status [13,14]; however, it remains unclear whether this accuracy varies between males and females.
Given the paucity of female inclusion in hydration research, there is a need to further understand if sex differences exist with a practically relevant hydration assessment tool in field settings. Although physiological factors suggest there are sex differences in hydration status, a hydration assessment tool should not be influenced by these differences and needs to accurately assess hydration independent of sex. Thus, this study aimed to explore sex differences in the accuracy of the WUT Venn diagram in determining hydration status compared to blood and urine hydration indices. It is hypothesized that the WUT Venn diagram would result in high accuracy for males and females when determining dehydration by meeting two or three WUT markers.
2. Materials and Methods
2.1. Participants
The present research is part of a larger study and thus includes the same data set of participants [13]. This study was approved by the Texas Tech University Institutional Review Board (2022-640) for human subject research and adhered to the Declaration of Helsinki. Written informed consent and a medical screening questionnaire were obtained from each participant before participation in the study. A total of twenty-four participants, twelve men (mean ± SD; age: 21 ± 2 years; mass: 81.0 ± 15.9 kg) and twelve women (age: 22 ± 3 years; mass: 68.8 ± 15.2 kg), volunteered to participate in this study. A power analysis conducted with G*Power 3.1.9.7 (Universitat Kiel, Kiel, Germany) determined that twenty-four participants were needed in the present study for a power of 0.80, with an effect size of 0.2 and an alpha level of 0.05 [14]. All participants reported not having kidney disease or a urinary tract infection at the time of the study. In an attempt to control for menstrual cycles, only women using an oral contraceptive pill (OCP) were recruited to participate in this study and completed the study visits during the 7-day placebo pill time frame, which is designed to occur during the menstruation phase [15].
2.2. Experimental Procedures
Participants visited the laboratory on twelve occasions across a seven-day time frame. Visits were performed in the morning and afternoon of three consecutive days under free-living (FL) conditions. Researchers instructed participants to maintain their habitual lifestyle during the FL conditions, including eating, drinking, and exercising. Following a one-day break, the remaining visits were performed in the morning and afternoon for three consecutive days in a euhydrated (EUH) state. Euhydration was defined as providing a spot urine sample with a urine specific gravity (USG) <1.020. Researchers provided participants with fluid intake reminders every 3 h throughout the day to ensure participants would be EUH during these visits. Table 1 demonstrates hydration state according to the hydration variables during the FL and EUH conditions (average across the three days for each condition). All morning visits were performed as a first-morning spot sample. Participants were instructed to arrive at the laboratory having abstained from any food or fluid consumption, or exercise. Urine cups were provided to participants the day prior so that the first-morning urine sample could be provided to researchers upon visitation to the laboratory. In addition, a venous blood sample, body mass (BM), and thirst level were collected at each visit. All afternoon visits were performed between 2:00 and 4:00 p.m. and followed the same procedures as the morning visits.
Table 1.
Hydration marker (body mass [BM], BM loss [BML], urine color [UCOL], urine specific gravity [USG], urine osmolality [UOSM], and plasma osmolality [POSM]) descriptive values of males and females for both euhydrated (EUH) and free-living (FL) conditions. Values are presented as mean ± SD.
2.3. Measurements
Urine indices (USG, urine osmolality [UOSM], and urine color [UCOL]), hematologic indices (plasma osmolality [POSM]), BM, and thirst level were collected at each visit. USG was measured using a handheld refractometer (ATAGO, Tokyo, Japan) and UCOL was assessed via a validated 8-point UCOL chart [16]. UOSM and POSM were analyzed via an Advanced Instruments Osmometer Pro (Norwood, MA, USA), with each sample being measured in duplicate.
Nude BM was measured via an electronic scale (Health-o-Meter). Percentage body mass loss (BML) for each day was calculated based on the average of the three euhydrated morning BM measurements for each participant: ([BM of each day − Baseline BM] × Baseline BM-1 × 100). Thirst level was assessed on a Likert-type scale of 1 to 9, with 1 being “not thirsty at all” and 9 being “very, very thirsty” [17].
2.4. WUT Criteria Determination
Dehydration thresholds were previously determined for the three WUT markers and if any of these criterions were met, then a score of “1” was aggregated towards the final count. The total number of markers that indicated dehydration were counted and categorized into either 0, 1, 2, or 3 WUT markers (WUT0, WUT1, WUT2, and WUT3) and were compared to hematologic and urinary indices. A BML >1%, UCOL ≥ 5, and thirst level ≥5 were the designated dehydration thresholds [14,18]. In comparison to hematologic and urinary hydration markers, a USG ≥1.020, UOSM >700 mOsmol, and POSM >290 mOsmol indicate dehydration based on standards of the American College of Sports Medicine (ACSM) [1].
2.5. Statistical Analyses
All statistical analyses were performed using SPSS Statistics software (Version 25; IBM Corporation, Armonk, NY, USA). Data are presented as mean ± SD, with an alpha level of p ≤ 0.05 demonstrating significance for all comparisons. One-way ANOVA with Tukey pairwise comparisons was used to assess differences in USG, UOSM, and POSM for the different numbers of WUT markers between sexes as each urine and blood sample was treated as an individual sample. Receiver-operating characteristics (ROC) analysis (i.e., sensitivity and specificity) was performed to calculate the predictive value of 0, 1, 2, or 3 hydration markers in detecting a dehydrated or euhydrated state, which were defined by USG, UOSM, and POSM. Cutoff determination values were calculated based off the calculated sensitivity and specificity values [19]. Positive and negative predictive values provide additional context for the WUT indices to accurately predict hydration state according to USG, UOSM, and POSM. High sensitivity corresponds to the WUT Venn diagram being accurate in determining euhydration, whereas high specificity corresponds with it accurately determining dehydration.
3. Results
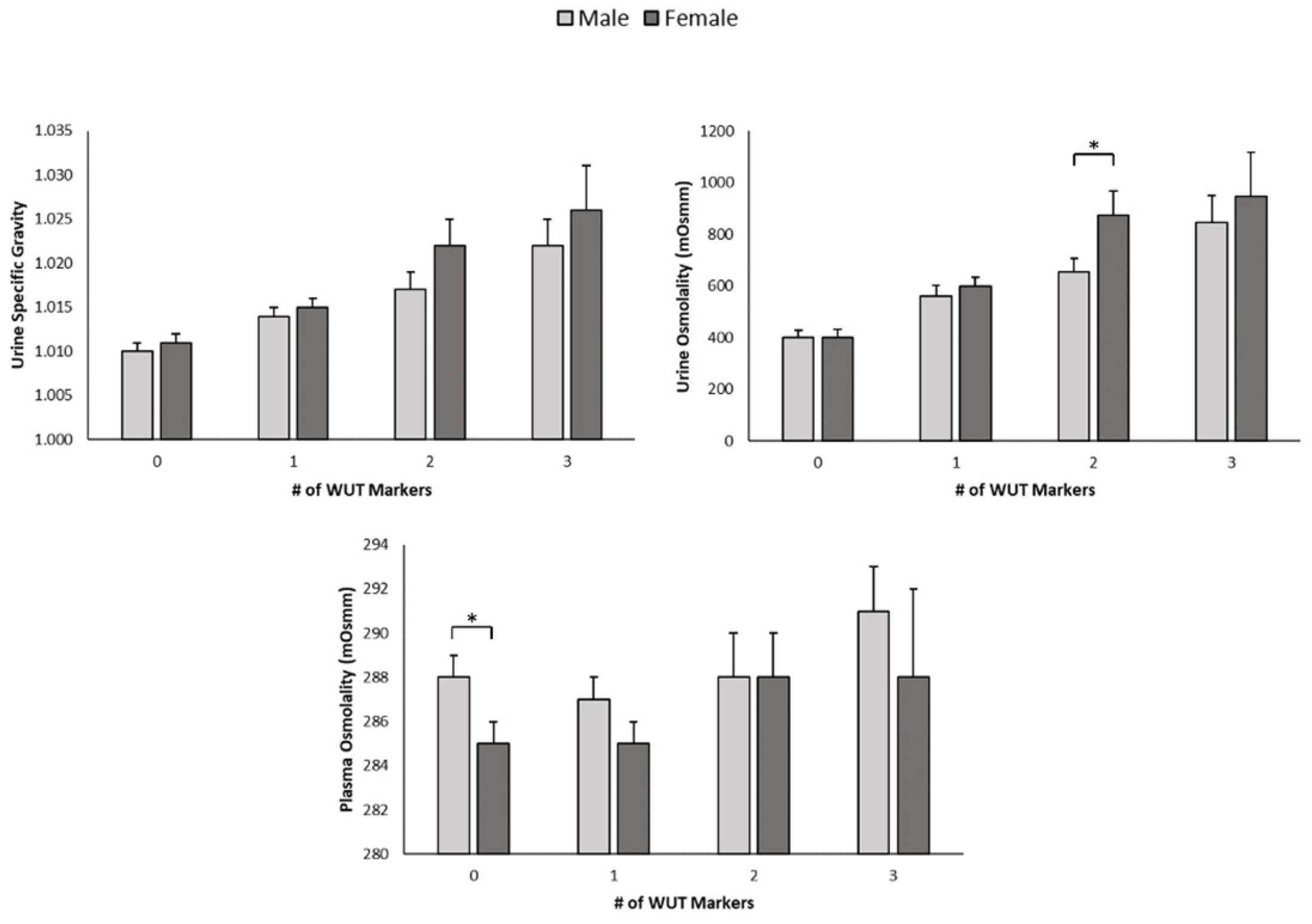
A total of 288 samples were analyzed for USG and UOSM, and 271 samples for POSM. A total of 17 plasma samples were missed because of technical issues. Of the 17 missed plasma samples, 8 of these were from male participants and 9 from female participants. Mean values of USG, UOSM, and POSM for each WUT category for males and females are presented in Figure 1.
Figure 1.
Male and female urine specific gravity, urine osmolality, and plasma osmolality when weight, urine color, and thirst (WUT) Venn diagram criteria were used to determine hydration status. * Indicates significant difference between sexes (p < 0.05).
Receiver-Operating Characteristics for Males and Females
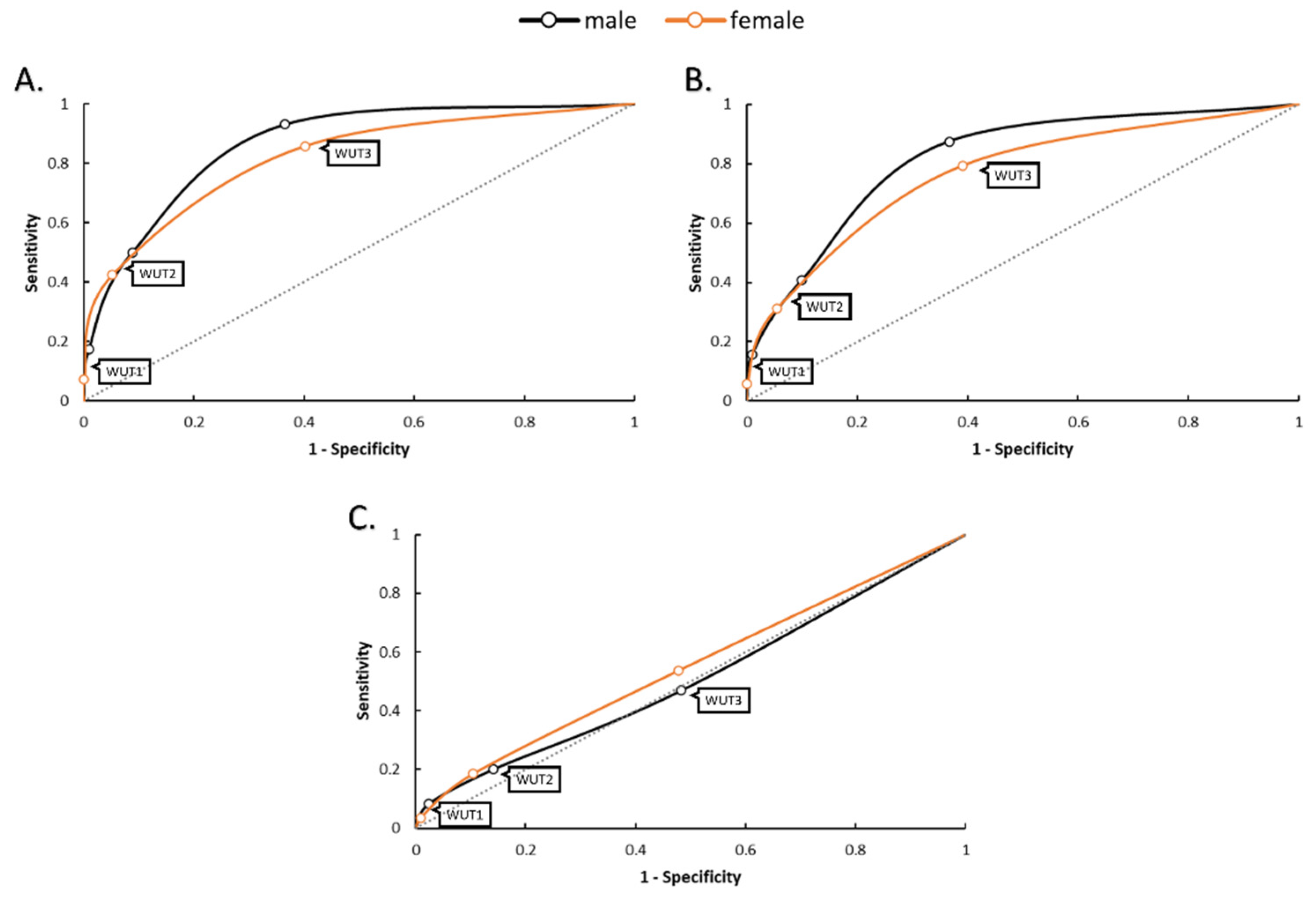
Figure 2 presents ROC curves of sensitivity and specificity values for males and females when WUT criteria were used to determine hydration status in comparison to USG, UOSM, and POSM. In both males and females, WUT2 and WUT3 resulted in high specificity values in comparison to USG (specificity = 0.912–1.000), UOSM (specificity = 0.901–1.000), and POSM (specificity = 0.859–0.991). In males, WUT1 resulted in high sensitivity values compared to USG (sensitivity = 0.931) and UOSM (sensitivity = 0.875), but not POSM (sensitivity = 0.469). In females, WUT1 resulted in high sensitivity values compared to USG (sensitivity = 0.857), but not UOSM (sensitivity = 0.794) or POSM (sensitivity = 0.536).
Figure 2.
Receiver-operating characteristic (ROC) curves for males and females for (A) urine specific gravity, (B) urine osmolality, and (C) plasma osmolality. WUT1, WUT2, and WUT3 thresholds are plotted appropriately.
Table 2 and Table 3 present sensitivity and specificity values for males and females, respectively, when investigating EUH and FL conditions separately. In both males and females, WUT3 resulted in high specificity values in comparison to USG (specificity = 0.977–1.000), UOSM (specificity = 0.977–1.000), and POSM (specificity = 0.952–1.000) for both EUH and FL conditions. Similarly, WUT2 resulted in high specificity values in males and females for USG (specificity = 0.841–0.972) and UOSM (specificity = 0.814–0.971) for EUH and FL, but not for FL males for POSM (specificity = 0.738). WUT1 resulted in high sensitivity values for males and females for the FL condition in comparison to USG (sensitivity = 0.929), UOSM (sensitivity = 0.813–0.931), and only female POSM (sensitivity = 0.917), but not male POSM (sensitivity = 0.731). However, WUT1 in the EUH condition did not result in a high sensitivity for either sex for UOSM (sensitivity = 0.333–0.500) or POSM (sensitivity = 0.174–0.250) and was not applicable for USG.
Table 2.
Male participants’ sensitivity, specificity, cutoff determination value, positive predictive value (PPV), and negative predictive value (NPV) for euhydrated (EUH) and free-living (FL) conditions urine specific gravity (USG), urine osmolality (UOSM), and plasma osmolality (POSM) when weight, urine color, and thirst (WUT) Venn diagram criteria were used to determine hydration status (USG > 1.020, UOSM > 700 mOsm, and POSM > 290 mOsm).
Table 3.
Female participants’ sensitivity, specificity, cutoff determination value, positive predictive value (PPV), and negative predictive value (NPV) for euhydrated (EUH) and free-living (FL) conditions urine specific gravity (USG), urine osmolality (UOSM), and plasma osmolality (POSM) when weight, urine color, and thirst (WUT) Venn diagram criteria were used to determine hydration status (USG > 1.020, UOSM > 700 mOsm, and POSM > 290 mOsm).
4. Discussion
This investigation was to examine the accuracy of the WUT Venn diagram compared to blood and urinary indices for hydration status assessment between sexes. Results of the present study revealed that both males and females demonstrated high accuracy for determination of dehydration when 2 or 3 WUT markers were met in comparison to USG, UOSM, and POSM. In addition, meeting 1 WUT marker did not result in an accurate determination of dehydration, which is in lieu of the original structure of the WUT Venn diagram [8]. Furthermore, analyzing the accuracy between conditions (EUH vs. FL) resulted in similar WUT2 and WUT3 (high specificity values) results in both sexes, aside from FL male when compared to POSM. These findings highlight that the WUT Venn diagram is an accurate hydration testing tool for males and females, thus expanding its application in settings involving both sexes.
Hydration literature has historically been investigated solely in males, neglecting female investigation, and has thus resulted in a lack of appropriate findings for females [2]. Recently, Adams et al. (2020) explored potential sex differences in 24 h urinary hydration markers (UCOL, USG, UOSM, and urine volume) in young adults and found no significant differences in any of the hydration markers [20]. This study is not in lieu of previous studies which show that men generally have higher urinary hydration markers compared to women during rest, daily activities, and exercise or sport [21,22,23]. These discrepancies may be explained by the menstrual cycle, specifically the phase that female participants were currently undergoing during their participation in these studies, which was not recorded or measured via reproductive hormones. Although the current investigation focused on the accuracy of the WUT Venn diagram for males and females individually rather than a comparison of hydration status between sexes, our results demonstrate that this assessment tool is accurate in detecting dehydration in both males and females. Thus, even if sex differences inherently exist between urinary hydration markers, the WUT Venn diagram can accurately assess hydration status in both sexes.
In this study, USG, UOSM, and POSM were used as the external variables for the determination of hydration status in comparison to the WUT Venn diagram. Two of the most common methods for measuring hydration status include USG and UOSM, where previous research has demonstrated that these two variables are typically linearly correlated and can be used interchangeably [12,24,25]. While urinary indices are highly field-applicable for most scenarios, these measurements can be altered with rapid fluid intake, thus reducing the reliability of measurement [26]. Hematologic indices are typically considered more precise and accurate in hydration assessment [1], with POSM being the main hematologic variable assessed for hydration status determination. All three of these indices demonstrated high specificity values when being compared to the WUT Venn diagram in males and females; however, POSM resulted in lower specificity values (0.859 and 0.896) when 2 WUT markers were met compared to USG (0.912 and 0.949) and UOSM (0.901 and 0.946). Still, the POSM specificity values were higher than the cutoff determination values (0.660 and 0.675), allowing for the interpretation that meeting two WUT markers accurately determines dehydration.
Although the WUT Venn diagram was first proposed as a hydration assessment method in 2005 [8], there are very few original research studies that have investigated its accuracy in hydration assessment compared to other commonly used hydration indices [13,14,27,28]. Sekiguchi et al. (2022) [13] suggested that when all three WUT markers were met, urinary indices of USG and UOSM indicated dehydration, whereas meeting two WUT markers was not a strong enough indicator in college-aged individuals. Similarly, Wardenaar and colleagues (2023) [27] confirmed that meeting all three WUT markers suggested a USG above the 1.020 cut-off in a group of Army Reserve Officer Training Corps cadets and an individual from a club sports program at the university. Adams et al. (2024) [28] concluded that all three WUT markers could be used in conjunction, as well as independently, to determine the adequacy of fluid intake on a day-to-day basis from first-morning timepoints during both free-living and fluid-balance manipulation protocols. Although all three of these studies included female participants (n = 22 from Sekiguchi et al. (2022) [13]; n = 6 from Wardenaar et al. (2023) [27]; n = 47 from Adams et al. (2024) [28]), no study assessed potential sex differences in the accuracy of the WUT Venn diagram, and only Adams et al. (2024) [28] disclosed if they controlled for the menstrual cycle during data collection (testing performed during early follicular phase). As part of the same study, our group also determined that meeting three WUT markers resulted in high accuracy compared to urinary (USG and UOSM) and hematologic (POSM) indices at various timepoints throughout the day in both euhydrated (defined as USG <1.020) and free-living conditions [13]. The current findings further demonstrate that males and females likewise result in high accuracy of dehydration determination when two or three WUT markers are met compared to USG, UOSM, and POSM. The lack of disparities between sexes is logical as only females on OCPs participated in the study during their placebo-pill week. Indeed, the placebo-pill week is designed to occur during the menstruation phase while reproductive hormones that may affect fluid balance are at their lowest concentrations [2].
Three limitations are acknowledged by the researchers for this study. First, one variable of the WUT Venn diagram is a urinary measure (UCOL) which is directly related to two hydration variables (USG and UOSM), which were compared to the WUT Venn diagram. A third hydration variable (POSM) was included in the study as an external validating factor. Second, this study did not control BM for the visit collection at the afternoon timepoint. Food and fluid consumption, along with exercise, are factors that are likely to influence an individual’s BM. Although limiting, this factor was not controlled in order to maintain the FL condition and determine the accuracy of the WUT Venn diagram in a true FL situation. Additionally, the current dataset included both morning and afternoon samples, and our previous work demonstrates that these findings apply to both morning and afternoon timepoints [13]. Third, although the accuracy of the WUT Venn diagram was assessed in females, only female participants who were actively taking OCPs were recruited for this study. In addition, female participation occurred during the placebo-pill week to mimic the menstruation phase where levels of estrogen and progesterone are at their lowest. This was planned to limit the effect of hormonal effect on fluid balance, yet results in being unable to adapt the present investigation’s findings to females across the entire menstrual cycle. Further research should be conducted during each phase of the menstrual cycle to investigate whether the WUT Venn diagram can still accurately detect hydration status during varying levels of hormonal fluctuations and subsequent fluid balance changes.
5. Conclusions
The WUT Venn diagram accurately detects dehydration when two or three WUT markers are met in both males and females. However, when only one WUT marker is met, neither dehydration nor euhydration can be determined for either sex. Findings from this investigation allow for greater transferability of a practical hydration assessment tool not only for males but also for females in field settings where a cost-effective and time-efficient procedure is required. Athlete support teams, military personnel, field occupational workers, or individuals in field settings can use the WUT Venn diagram to determine the status of hydration in males and females.
Author Contributions
M.S.K.: Investigation, Formal Analysis, Visualization, Writing—Original Draft Preparation, Writing—Review and Editing; H.-Y.L.: Conceptualization, Writing—Review and Editing; J.-J.R.: Investigation, Writing—Review and Editing; N.C.J.: Writing—Review and Editing; Y.S.: Conceptualization, Supervision, Resources, Writing—Review and Editing. All authors have read and agreed to the published version of the manuscript.
Funding
This research received no external funding.
Institutional Review Board Statement
The study was conducted in accordance with the Declaration of Helsinki, and approved by the Institutional Review Board (or Ethics Committee) of Texas Tech University (2022-640; 9 August 2022).
Informed Consent Statement
Informed consent was obtained from all subjects involved in the study.
Data Availability Statement
The data presented in this study are available on request from the corresponding author.
Acknowledgments
The authors wish to thank the undergraduate students who assisted with data collection, as well as the research participants for their time and effort.
Conflicts of Interest
The authors declare no conflicts of interest.
References
- Giersch, G.E.W.; Charkoudian, N.; Stearns, R.L.; Casa, D.J. Fluid Balance and Hydration Considerations for Women: Review and Future Directions. Sports Med. 2020, 50, 253–261. [Google Scholar] [CrossRef] [PubMed]
- American College of Sports Medicine; Sawka, M.N.; Burke, L.M.; Eichner, E.R.; Maughan, R.J.; Montain, S.J.; Stachenfeld, N.S. American College of Sports Medicine position stand. Exercise and fluid replacement. Med. Sci. Sports Exerc. 2007, 39, 377–390. [Google Scholar] [CrossRef]
- Francescato, M.P.; Venuto, I.; Buoite Stella, A.; Stel, G.; Mallardi, F.; Cauci, S. Sex differences in hydration status among adolescent elite soccer players. J. Hum. Sport Exerc. 2019, 14, 265–280. [Google Scholar] [CrossRef]
- Ersoy, N.; Ersoy, G.; Kutlu, M. Assessment of hydration status of elite young male soccer players with different methods and new approach method of substitute urine strip. J. Int. Soc. Sports Nutr. 2016, 13, 34. [Google Scholar] [CrossRef]
- Maughan, R.J.; Shirreffs, S.M. Development of Individual Hydration Strategies for Athletes. Int. J. Sport Nutr. Exerc. Metab. 2008, 18, 457–472. [Google Scholar] [CrossRef]
- Barley, O.R.; Chapman, D.W.; Abbiss, C.R. Reviewing the current methods of assessing hydration in athletes. J. Int. Soc. Sports Nutr. 2020, 17, 52. [Google Scholar] [CrossRef]
- Armstrong, L.E. Assessing hydration status: The elusive gold standard. J. Am. Coll. Nutr. 2007, 26 Suppl. S5, 575S–584S. [Google Scholar] [CrossRef] [PubMed]
- Cheuvront, S.N.; Sawka, M.N. Hydration assessment of athletes. Sports Sci. Exch. 2005, 18, 238. [Google Scholar]
- Ekingen, T.; Sob, C.; Hartmann, C.; Rühli, F.J.; Matthes, K.L.; Staub, K.; Bender, N. Associations between hydration status, body composition, sociodemographic and lifestyle factors in the general population: A cross-sectional study. BMC Public Health 2022, 22, 900. [Google Scholar] [CrossRef]
- Wickham, K.A.; McCarthy, D.G.; Spriet, L.L.; Cheung, S.S. Sex differences in the physiological responses to exercise-induced dehydration: Consequences and mechanisms. J. Appl. Physiol. Bethesda Md. 2021, 131, 504–510. [Google Scholar] [CrossRef] [PubMed]
- Elliott-Sale, K.J.; Minahan, C.L.; De Jonge, X.A.K.J.; Ackerman, K.E.; Sipilä, S.; Constantini, N.W.; Lebrun, C.M.; Hackney, A.C. Methodological Considerations for Studies in Sport and Exercise Science with Women as Participants: A Working Guide for Standards of Practice for Research on Women. Sports Med. 2021, 51, 843–861. [Google Scholar] [CrossRef] [PubMed]
- Armstrong, L.E. Hydration Assessment Techniques. Nutr. Rev. 2005, 63, S40–S54. [Google Scholar] [CrossRef]
- Sekiguchi, Y.; Benjamin, C.L.; Butler, C.R.; Morrissey, M.C.; Filep, E.M.; Stearns, R.L.; Lee, E.C.; Casa, D.J. Relationships Between WUT (Body Weight, Urine Color, and Thirst Level) Criteria and Urine Indices of Hydration Status. Sports Health Multidiscip. Approach 2022, 14, 566–574. [Google Scholar] [CrossRef] [PubMed]
- Keefe, M.S.; Luk, H.Y.; Rolloque, J.J.S.; Jiwan, N.C.; McCollum, T.B.; Sekiguchi, Y. The WUT (Weight, Urine Color, and Thirst) Venn Diagram is an Accurate Tool Compared to Urinary and Blood Markers for Hydration Assessment at Morning and Afternoon Timepoints in Euhydrated and Free-Living Individuals. Br. J. Nutr. 2024, 131, 1181–1188. [Google Scholar] [CrossRef] [PubMed]
- Hampson, E. A brief guide to the menstrual cycle and oral contraceptive use for researchers in behavioral endocrinology. Horm. Behav. 2020, 119, 104655. [Google Scholar] [CrossRef] [PubMed]
- Armstrong, L.E.; Maresh, C.M.; Castellani, J.W.; Bergeron, M.F.; Kenefick, R.W.; LaGasse, K.E.; Riebe, D. Urinary indices of hydration status. Int. J. Sport Nutr. 1994, 4, 265–279. [Google Scholar] [CrossRef] [PubMed]
- Engell, D.B.; Maller, O.; Sawka, M.N.; Francesconi, R.N.; Drolet, L.; Young, A.J. Thirst and fluid intake following graded hypohydration levels in humans. Physiol. Behav. 1987, 40, 229–236. [Google Scholar] [CrossRef] [PubMed]
- Cheuvront, S.N.; Kenefick, R.W. Am I Drinking Enough? Yes, No, and Maybe. J. Am. Coll. Nutr. 2016, 35, 185–192. [Google Scholar] [CrossRef] [PubMed]
- Akobeng, A.K. Understanding diagnostic tests 3: Receiver operating characteristic curves. Acta Paediatr. 2007, 96, 644–647. [Google Scholar] [CrossRef]
- Adams, W.M.; Hevel, D.J.; Maher, J.P.; McGuirt, J.T. Racial and Sex Differences in 24 Hour Urinary Hydration Markers among Male and Female Emerging Adults: A Pilot Study. Nutrients 2020, 12, 1068. [Google Scholar] [CrossRef]
- Armstrong, L.E.; Johnson, E.C.; McKenzie, A.L.; Ellis, L.A.; Williamson, K.H. Endurance Cyclist Fluid Intake, Hydration Status, Thirst, and Thermal Sensations: Gender Differences. Int. J. Sport Nutr. Exerc. Metab. 2016, 26, 161–167. [Google Scholar] [CrossRef]
- Thigpen, L.K.; Green, J.M.; O’Neal, E.K. Hydration profile and sweat loss perception of male and female division II basketball players during practice. J. Strength. Cond. Res. 2014, 28, 3425–3431. [Google Scholar] [CrossRef] [PubMed]
- Perucca, J.; Bouby, N.; Valeix, P.; Bankir, L. Sex difference in urine concentration across differing ages, sodium intake, and level of kidney disease. Am. J. Physiol. Regul. Integr. Comp. Physiol. 2007, 292, R700–R705. [Google Scholar] [CrossRef] [PubMed]
- Abbey, B.M.; Heelan, K.A.; Brown, G.A.; Bartee, R.T. Validity of HydraTrend Reagent Strips for the Assessment of Hydration Status. J. Strength. Cond. Res. 2014, 28, 2634–2639. [Google Scholar] [CrossRef] [PubMed]
- McCrossin, T.; Roy, L.P. Comparison of hydrometry, refractometry, osmometry and Ames N-Multistix SG in estimation of urinary concentration. Aust. Paediatr. J. 1985, 21, 185–188. [Google Scholar] [CrossRef]
- Figaro, M.K.; Mack, G.W. Regulation of fluid intake in dehydrated humans: Role of oropharyngeal stimulation. Am. J. Physiol.-Regul. Integr. Comp. Physiol. 1997, 272, R1740–R1746. [Google Scholar] [CrossRef]
- Wardenaar, F.C.; Whitenack, L.; Vento, K.A.; Seltzer, R.G.N.; Siegler, J.; Kavouras, S.A. Validity of combined hydration self-assessment measurements to estimate a low vs. high urine concentration in a small sample of (tactical) athletes. Eur. J. Nutr. 2023, 63, 185–193. [Google Scholar] [CrossRef] [PubMed]
- Adams, W.M.; Anderson, T.; Zaplatosch, M.E.; Cheuvront, S.N.; Kenefick, R.W.; Yates, B.A.; Morrissey-Basler, M.C.; Casa, D.J.; Wideman, L. Utility of Body Weight, Urine Color, and Thirst Perception (WUT) in Determining Hydration in Young Adults. Med. Sci. Sports Exerc. 2024, 56, 2402–2412. [Google Scholar] [CrossRef]
Disclaimer/Publisher’s Note: The statements, opinions and data contained in all publications are solely those of the individual author(s) and contributor(s) and not of MDPI and/or the editor(s). MDPI and/or the editor(s) disclaim responsibility for any injury to people or property resulting from any ideas, methods, instructions or products referred to in the content. |
© 2025 by the authors. Licensee MDPI, Basel, Switzerland. This article is an open access article distributed under the terms and conditions of the Creative Commons Attribution (CC BY) license (https://creativecommons.org/licenses/by/4.0/).

