Next Article in Journal
The Phosphate/Urea Nitrogen Ratio in Urine—A Method to Assess the Relative Intake of Inorganic Phosphate
Next Article in Special Issue
Combating Sarcopenia Through Nutrition: Anti-Inflammatory and Antioxidant Properties of Aronia melanocarpa
Previous Article in Journal
Anti-Obesity Effects of Acid-Processed Citrus reticulata Blanco Peel Extract Enriched in Highly Bioactive Polymethoxyflavones: Inhibition of 3T3-L1 Adipocyte Differentiation and Therapeutic Efficacy in ob/ob Mice
Previous Article in Special Issue
One-Week Elderberry Juice Intervention Promotes Metabolic Flexibility in the Transcriptome of Overweight Adults During a Meal Challenge
 
 
Font Type:
Arial Georgia Verdana
Font Size:
Aa Aa Aa
Line Spacing:
Column Width:
Background:
Article

Monoterpenoids from the Roots of Liquidambar formosana (Formosan Sweet Gum) Exhibit Senomorphic Activity Against Cellular Senescence

by
Minh Thi Tuyet Le
,
Quang Huy Vu
,
Van-Hieu Mai
,
Jorge Eduardo Ponce-Zea
,
Seri Choi
,
Jin-Pyo An
and
Won-Keun Oh
*
Research Institute of Pharmaceutical Sciences, College of Pharmacy, Seoul National University, Seoul 08826, Republic of Korea
*
Author to whom correspondence should be addressed.
These authors contributed equally to this work.
Nutrients 2025, 17(21), 3321; https://doi.org/10.3390/nu17213321
Submission received: 26 August 2025 / Revised: 26 September 2025 / Accepted: 9 October 2025 / Published: 22 October 2025

Abstract

Background/objectives: Cellular senescence is a hallmark of aging that contributes to tissue dysfunction and age-related diseases. This process is characterized by the activation of the cyclin-dependent kinase inhibitor p16INK4A and the secretion of pro-inflammatory factors collectively known as the senescence-associated secretory phenotype (SASP). In this study, we used human lung-derived cells, including A549 and IMR90 fibroblasts, to identify bioactive compounds from the roots of Liquidambar formosana that suppress p16INK4A activity and attenuate SASP expression. Methods: Bioactivity-guided isolation was performed to obtain target compounds. The structures of the new compounds were elucidated using extensive 1D and 2D NMR spectroscopic analyses as well as high-resolution mass spectrometry. All isolated compounds were evaluated for their ability to inhibit p16INK4A, a key regulator of the cell cycle and an important tumor suppressor protein. Results: Two previously undescribed monoterpenoids (1 and 2), characterized as cinnamic acid esters with a monoterpene-derived core, were isolated from the roots of L. formosana, along with six known compounds (38). Notably, compound 3 exhibited promising inhibition of p16INK4A with an IC50 value of 3.9 μM. Furthermore, this compound attenuated the senescence phenotype, as demonstrated by β-galactosidase staining and RT-qPCR analysis. This represents the first report identifying bioactive monoterpenoids from L. formosana that inhibit aging-related biomarkers such as p16INK4A. Conclusions: These results suggest that cinnamic acid-conjugated monoterpenoids may serve as interesting lead structures for the development of agents targeting the p16INK4A pathway for the treatment of aging-associated diseases. Further studies will be required to clarify the mechanisms of action of this compound and to evaluate its in vivo efficacy.

1. Introduction

The genus Liquidambar, commonly known as sweet gum, belongs to the family Altingiaceae and comprises approximately 15 species of deciduous trees widely distributed across East Asia, North America, and the Mediterranean region. Among these, Liquidambar styraciflua (American sweet gum) is the most widely recognized species, primarily found in North America [1]. Another important species is Liquidambar formosana (Formosan sweet gum), which is native to East Asia and has been traditionally used in folk medicine [2]. Recent studies have revealed several biological activities associated with L. formosana. The balsam of this species exhibits antifungal activity, with compounds such as 3α,25-dihydroxyolean-12-en-28-oic acid and bornyl cinnamate showing inhibitory effects against wood-decaying fungi, including Lenzites betulina and Laetiporus sulphureus [3]. In addition, the ethyl acetate fraction of L. formosana leaf extract has demonstrated antioxidant, hypoglycemic, anti-glycation, and antidiabetic properties [4]. Yao Zhu et al. further reported the chemical composition and antimicrobial activities of L. formosana oleoresins, identifying 15 pentacyclic triterpenoids, predominantly of the lupane and oleanane types, suggesting potential applications in the treatment of pathological angiogenesis [5].
Aging is a progressive pathophysiological process that leads to an irreversible decline in organ function. Numerous studies have shown that aging increases the risk of various common chronic diseases [6], including diabetes, neurodegenerative disease, cardiovascular disease, chronic obstructive pulmonary disease (COPD), and idiopathic pulmonary fibrosis (IPF). Cellular senescence, one of the hallmarks of aging, is a state of stable cell cycle arrest induced by diverse stressors such as DNA damage, oxidative stress, oncogene activation, and telomere shortening [7]. Although senescent cells lose their proliferative capacity, they remain metabolically active and acquire a pro-inflammatory phenotype known as the senescence-associated secretory phenotype (SASP), characterized by the secretion of cytokines, chemokines, proteases, and growth factors. While senescence plays beneficial roles in tumor suppression and tissue repair, its age-related accumulation promotes chronic inflammation and contributes to pathologies such as cancer, fibrosis, and neurodegeneration [8].
Consequently, targeting senescent cells has emerged as a promising therapeutic approach for age-associated diseases. Two main pharmacological strategies are currently under investigation: senolytics, which selectively eliminate senescent cells, and senomorphics, which modulate the senescent phenotype without inducing cell death, often by suppressing SASP factors or restoring cellular function [9]. Among the key biomarkers of cellular senescence, p16INK4A, a cyclin-dependent kinase inhibitor encoded by the CDKN2A gene, plays a critical role [10]. p16INK4A functions as a tumor suppressor by inhibiting cyclin-dependent kinases CDK4 and CDK6, thereby blocking the phosphorylation of the retinoblastoma protein (pRB) and inducing cell cycle arrest in the G1 phase [11]. While p16INK4A is essential for maintaining cellular homeostasis, its aberrant overexpression has been implicated in aging and age-related diseases. Elevated levels of p16INK4A are frequently observed in aged tissues, where it promotes the accumulation of senescent cells and the activation of SASP secretion. Recent studies have further revealed that p16INK4A functions not only as a biomarker of cellular senescence but also as an active driver of aging-related pathologies by impairing tissue regeneration and promoting degenerative processes.
Therefore, modulation of p16INK4A expression using natural products or herbal medicines has emerged as a promising therapeutic strategy to delay senescence and promote healthy aging. Among the potential candidates, bakuchiol, a phenolic monoterpene isolated from Psoralea corylifolia, has been reported to exert a broad range of pharmacological activities, including significant anti-aging effects [12]. The roots of L. formosana, rich in phenolic monoterpenoids, represent another potential source of senescence-modulating agents. However, the anti-senescence potential of these compounds remains largely unexplored.

2. Materials and Methods

2.1. General Experimental Procedures

A JASCO P-2000 polarimeter (JASCO International Co. Ltd., Tokyo, Japan) was used to determine optical rotations and a Chirascan-Plus spectrometer (Applied Photophysics Ltd., Surrey, UK) was employed to record UV and electronic circular dichroism (ECD) spectra. IR spectra were measured using a Nicolet 6700 Fourier transform infrared spectrometer (Thermo Fisher Scientific, Waltham, MA, USA). 1D and 2D NMR spectra were acquired on a JEOL 400 MHz spectrometer, and data processing and assignments were performed with MestReNova 14.2 (Mestrelab Research, Santiago de Compostela, Spain). High-resolution electrospray ionization mass spectrometry (HR-ESI-MS) was performed on an Agilent Infinity UHPLC 1290 system equipped with an Agilent qTOF mass spectrometer 6530 (Agilent Technologies, Santa Clara, CA, USA). Compound purification was performed using a Gilson HPLC system with UV detection at 210 and 254 nm (Gilson Inc., Middleton, WI, USA), using a C18 column (10 × 250 mm, 10 μm particle size). Column chromatography (CC) was carried out with silica gel (particle size: 63–200 μm, Zeochem AG, Rüti, Switzerland), RP-C18 (particle size: 75 μm, Nacalai Tesque, Kyoto, Japan), and Sephadex LH-20 (GE Healthcare, Little Chalfont, UK). Thin-layer chromatography (TLC) was conducted using silica gel 60 F254 and RP-18 F254S plates (Merck, Darmstadt, Germany). All solvents were purchased from Daejung Chemical (Siheung, Republic of Korea).

2.2. Plant Material

The roots of Liquidambar formosana were collected in 2022 from the Gwangyang branch of the Seoul National University Forests (35°2′3.336″ N, 127°36′16.056″ E), Republic of Korea. Voucher specimen (SNU-2022-07) was deposited in the Herbarium of the College of Pharmacy, Seoul National University, Seoul, Republic of Korea. The plant was authenticated through integrated morphological and anatomical analyses by Hak-Ki Park from the Gwangyang branch of the Seoul National University Forests.

2.3. HR-ESI-MS/MS and Molecular Networking

HR-ESI-MS/MS analyses were performed on an Agilent 6530 Q-TOF mass spectrometer (Agilent Technologies, Santa Clara, CA, USA) interfaced with an Agilent 1260 Infinity UPLC and fitted with an ACQUITY UPLC BEH C18 column (2.1 × 100 mm i.d., 1.7 μm). The mobile phase gradient employed H2O with 0.1% formic acid (A) and MeCN (B), programmed from 10% B to 90% B over 20 min at 0.3 mL/min, maintained at 100% B for 4 min at 0.5 mL/min, returned to 10% B in 0.1 min, and equilibrated for 2 min at 0.3 mL/min. Nitrogen was used as both the drying and collision gas in the ESI source. The electrospray ionization parameters were optimized as follows: drying gas flow rate, 10 L/min; capillary temperature, 350 °C; sheath gas temperature, 350 °C; sheath gas flow, 12 L/min; nebulizer pressure, 30 psi. Additional source parameters included a capillary voltage (VCap) of 4000 V, fragmentor voltage of 180 V, skimmer voltage of 60 V, and an octopole RF peak voltage of 750 V. Data acquisition was performed in both positive and negative ionization modes with MS scanning from m/z 100–1000. Auto-MS/MS data were acquired in data-dependent mode with a fixed collision energy of 50 eV. ProteoWizard was employed to transform raw data files into mzML (Version 3.0, Palo Alto, CA, USA). Data processing was performed using MZmine software (version 4.0.3) through a workflow: mzML file import, peak threshold setting, chromatogram building, deconvolution, isotope grouping, join alignment, and gap filling. The processed data were exported as mgf-clustered spectral files and corresponding CSV metadata files (containing retention times, peak areas, and molecular formula assignments) using the integrated “Export for GNPS” and “Export to CSV file” functions. Molecular networking analysis was performed using the spectral/molecular networking module in MZmine. Library matching against the Global Natural Products Social Molecular Networking (GNPS) spectral databases required a minimum cosine score of 0.7 and at least four matched fragment ions. Network visualization and analysis were accomplished using Cytoscape software (version 3.10.3) (Figure S1).

2.4. Extraction and Isolation

The ground roots (3 kg) of Liquidambar formosana were extracted three times with 70% EtOH (5 L, 99 min each; Powersonic 420 ultrasonic cleaner, Hwashin Tech, Seoul, Republic of Korea) at room temperature to obtain a crude extract, which was then dried under reduced pressure. The dried crude root extract was partitioned between n-hexane, ethyl acetate, n-butanol, and water to obtain four respective fractions. The hexane fraction was chromatographed using an MPLC system (Biotage, Uppsala, Sweden) equipped with an RP-C18 column (40–60 µm particle size, MeOH/H2O = 10/90 to 100/0), yielding three fractions (M1 to M3). Fraction M2 (2 g) was subjected to MPLC on a normal-phase (NP) column and eluted with n-hexane/EtOAc (85/15 to 100/0), yielding three subfractions. Fraction M2.1 (1.5 g) was further chromatographed on an RP column (40–60 µm particle size; MeOH/H2O = 80/20 to 100/0) to obtain three subfractions. Fraction M2.1.3 (500 mg) was purified by semi-preparative HPLC (MeCN/H2O, isocratic 90%) to yield compound 7 (100 mg, 23 min), compound 6 (32 mg, 21.5 min), compound 3 (30 mg, 17 min), compound 4 (4 mg, 15 min), compound 5 (7 mg, 12.5 min), compound 2 (8 mg, 16.5 min), compound 1 (4 mg, 20.5 min), and compound 8 (2 mg, 13.5 min).
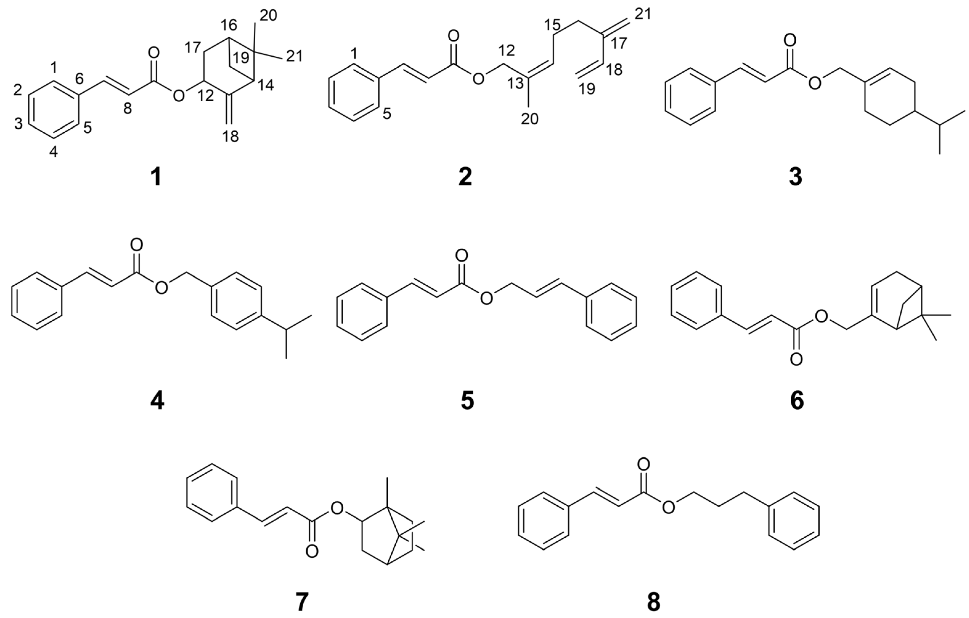
β-Pinenyl cinnamate (1): Pale yellow amorphous powder; [ α ] D 25 + 99.6 (c 0.1, MeOH); IR (KBr) νmax 3898, 3730, 3564, 2930, 2353, 1711, 1636, 1513, 1452, 1278, 1166, 981, 769, 684; 1H and 13C NMR; see Table 1 and Figures S2–S10 in Supplementary Materials; HRESIMS m/z 283.1707 [M + H]+ (calcd for C19H23O2 at 283.1693, m/z error 4.9 ppm).
Myrcenyl cinnamate (2): Pale yellow amorphous powder; [ α ] D 25 + 107.8 (c 0.1, MeOH); UV (MeOH) λmax (log ε) 252 (−1.95), 350 (−1.85); IR (KBr) νmax 3898, 3730, 3564, 2930, 2353, 1711, 1636, 1513, 1452, 1278, 1166, 981, 769, 684; 1H and 13C NMR; see Table 1 and Figures S11–S17; HRESIMS found m/z 283.1694 [M + H]+ (calcd for C19H23O2 at 283.1693, m/z error 0.3 ppm)
Limonenyl cinnamate (3): Pale yellow amorphous powder; 1H NMR (400 MHz, CDCl3) δH 7.68 (dd, J = 16.0, 4.5 Hz, 1H), 7.58–7.48 (m, 2H), 7.44–7.34 (m, 3H), 6.46 (dd, J = 16.0, 11.6 Hz, 1H), 5.62 (tp, J = 2.8, 1.4 Hz, 1H), 4.59 (s, 2H), 2.43 (dt, J = 8.6, 5.6 Hz, 1H), 2.31 (dt, J = 15.2, 1.6 Hz, 1H), 2.18 (td, J = 5.6, 1.5 Hz, 1H), 2.12 (dqd, J = 5.9, 2.9, 1.2 Hz, 1H), 1.30 (s, 3H), 1.22 (d, J = 8.7 Hz, 1H), 0.86 (s, 3H); 13C NMR (100 MHz, CDCl3) δC 167.0, 144.8, 143.2, 134.6, 130.4, 128.2, 128.2, 121.6, 118.3, 67.2, 43.7, 40.8, 38.2, 31.6, 31.4, 29.8, 26.2, 21.2.; HRESIMS m/z 283.1706 [M + H]+ (calcd for C19H23O2 at 283.1693, m/z error 4.6 ppm).
4-Isopropylbenzyl cinnamate (4): Pale yellow amorphous powder; 1H NMR (400 MHz, CDCl3) δH δ 7.72 (d, J = 16.0 Hz, 1H), 7.55–7.48 (m, 2H), 7.41–7.32 (m, 5H), 7.25 (d, J = 5.2 Hz, 2H), 6.48 (d, J = 16.0 Hz, 1H), 5.22 (s, 2H), 1.29–1.22 (m, 6H); 13C NMR (100 MHz, CDCl3) δC 167.0, 149.3, 145.2, 133.5, 130.5, 129.0, 128.7, 128.2, 126.8, 118.1, 66.5, 34.1, 24.1; HRESIMS m/z 281.1556 [M + H]+ (calcd for C19H23O2 at 281.1536, m/z error 7.11 ppm).
Cinnamyl cinnamate (5): Pale yellow amorphous powder; 1H NMR (400 MHz, CDCl3) δH 7.74 (d, J = 16.0 Hz, 1H), 7.54 (dt, J = 6.3, 3.8 Hz, 3H), 7.45–7.35 (m, 6H), 7.34–7.31 (m, 2H), 6.53–6.43 (m, 1H), 4.88 (dd, J = 6.4, 1.3 Hz, 2H); 13C NMR (100 MHz, CDCl3) δC 166.9, 145.3, 134.5, 134.4, 130.5, 129.1, 128.8, 128.3, 128.2, 126.8, 123.4, 118.1, 65.3, 29.9.
Myrthenyl cinnamate (6): Pale yellow amorphous powder; 1H NMR (400 MHz, CDCl3) δH 7.68 (d, J = 16.0 Hz, 1H), 7.54 (dq, J = 5.7, 3.2 Hz, 2H), 7.41–7.36 (m, 3H), 6.48 (d, J = 16.0 Hz, 1H), 5.02 (ddd, J = 10.0, 3.5, 2.1 Hz, 1H), 2.42 (ddt, J = 13.9, 10.0, 4.0 Hz, 1H), 2.05 (ddd, J = 12.7, 9.1, 4.4 Hz, 1H), 1.85–1.68 (m, 2H), 1.42–1.23 (m, 3H), 1.06 (dd, J = 13.8, 3.5 Hz, 1H), 0.95 (s, 3H), 0.90 (s, 3H), 0.89 (s, 3H); 13C NMR (100 MHz, CDCl3) δC 167.1, 144.9, 143.2, 134.6, 130.4, 129.0, 128.2, 128.2, 121.7, 118.3, 67.3, 43.8, 40.9, 38.2, 31.6, 31.4, 29.8, 26.3, 21.2; HRESIMS m/z 283.1691 [M + H]+ (calcd for C19H23O2 at 283.1693, m/z error −0.71 ppm).
Bornyl cinnamate (7): Pale yellow amorphous powder; 1H NMR (400 MHz, CDCl3) δH 7.68 (d, J = 16.0 Hz, 1H), 7.54 (dq, J = 5.7, 3.2 Hz, 2H), 7.41–7.36 (m, 3H), 6.48 (d, J = 16.0 Hz, 1H), 5.02 (ddd, J = 10.0, 3.5, 2.1 Hz, 1H), 2.42 (ddt, J = 13.9, 10.0, 4.0 Hz, 1H), 2.05 (ddd, J = 12.7, 9.1, 4.4 Hz, 1H), 1.85–1.68 (m, 2H), 1.42–1.23 (m, 3H), 1.06 (dd, J = 13.8, 3.5 Hz, 1H), 0.95 (s, 3H), 0.90 (s, 3H), 0.89 (s, 3H); 13C NMR (100 MHz, CDCl3) δC 167.5, 144.4, 134.7, 130.3, 129.0, 128.2, 119.0, 80.1, 49.1, 48.0, 45.1, 37.0, 29.8, 28.2, 27.4, 19.9, 19.0, 13.7; HRESIMS m/z 285.1846 [M + H]+ (calcd for C19H25O2 at 285.1849, m/z error −1.07 ppm).
3-Phenylpropyl cinnamate (8): Pale yellow amorphous powder; 1H NMR (400 MHz, CDCl3) δH 7.68 (d, J = 16.0 Hz, 1H), 7.57–7.51 (m, 2H), 7.40 (dt, J = 4.6, 2.7 Hz, 3H), 7.33–7.27 (m, 2H), 7.24–7.17 (m, 3H), 6.45 (d, J = 16.0 Hz, 1H), 4.24 (t, J = 6.5 Hz, 2H), 2.75 (dd, J = 8.6, 6.8 Hz, 2H), 2.13–1.99 (m, 2H); 13C NMR (100 MHz, CDCl3) δC 167.2, 144.9, 141.4, 134.6, 130.4, 129.0, 128.6, 128.2, 126.2, 118.3, 64.1, 32.4, 30.5.; HRESIMS m/z 267.1375 [M + H]+ (calcd for C19H23O2 at 267.1380, m/z error −1.87 ppm).

2.5. ECD Calculation

A conformational search was performed using the GMMX extension in Gaussian View 9 with MMFF94s molecular force-field calculations and an energy cutoff of 3.5 kcal/mol. Conformers with populations greater than 1% were selected and then subjected to DFT optimization followed by frequency calculations at the B3LYP/6-31G(d) level of theory in the gas phase using Gaussian 16. Upon completion, Gibbs free energies were extracted, and Boltzmann populations were calculated. Conformers with a Boltzmann population greater than 1% were selected for ECD simulation using time-dependent DFT (TD-DFT) at the B3LYP/6-31G(d) level of theory in MeOH (IEFPCM solvent model), considering up to the first 20 excitation states (compound 1). The Boltzmann-averaged spectra were visualized using SpecDis 1.70 software, with a half-bandwidth correction of 0.2–0.3 eV and a UV shift correction of 0–20 nm.

2.6. Cell Culture

The lung cancer cell line A549 was obtained from the Korean Cell Line Bank. A549 cells were cultured in Roswell Park Memorial Institute (RPMI) 1640 medium (Welgene, Daegu, Republic of Korea) supplemented with 10% fetal bovine serum (FBS) (Gibco, Waltham, MA, USA) and 1% penicillin-streptomycin (P/S; Gibco) under a humidified atmosphere containing 5% CO2 at 37 °C. IMR90 human lung fibroblasts (American Type Culture Collection, ATCC, CCL-186) were maintained in Minimum Essential Medium (MEM) supplied with 10% FBS (Gibco) and 1% P/S at 37 °C with 5% CO2. Cells were subcultured every 48 hr.

2.7. p16INK4A Promoter Activity-Related Luciferase Reporter Assay

A549 cells were seeded at a density of 80,000 cells/mL in 96-well plates. After 24 hr of incubation, they were washed with phosphate-buffered saline (PBS) and transfected with a plasmid mixture and Lipofectamine 2000 (Invitrogen, Carlsbad, CA, USA) for 7 hr in Opti-MEM. The plasmid mixture contained 0.07 μg pGL3_p16INK4A plasmid encoding the human p16INK4A promoter (GenBank accession no. NM_000077.4) and firefly luciferase, and 0.03 μg pSV-beta-galactosidase plasmid (Promega, Madison, WI, USA) as an internal standard. The following day, cells were treated with compounds and navitoclax (as a positive control) for 20 h, followed by lysis with cell culture lysis buffer (Promega). Luciferase activity was measured using a firefly luciferase assay kit (Promega) and normalized to β-galactosidase activity.

2.8. MTT Assay

Cell viability was assessed by the (3-(4,5-dimethyl-2-thiazolyl)-2,5-diphenyl-2H-tetrazolium bromide (MTT; Sigma, St. Louis, MO, USA) assay. A volume of 20 μL of the 2 mg/mL MTT solution was added to each well in a 96-well plate, and the plates were incubated at 37 °C in the dark for 4 h. After incubation, the supernatant was removed, and the formazan crystals were dissolved in 100 μL of DMSO. The absorbance was obtained at 540 nm using a microplate reader (VersaMaxTM, Molecular Devices, San Jose, CA, USA).

2.9. Senescence-Associated β-Galactosidase Staining

IMR90 cells were seeded at 50,000 cells/mL in 24-well plates and incubated for 24 h. Bleomycin (40 µg/mL; Tokyo Chemical Industry, Tokyo, Japan) was added to all wells except the untreated control. After 48 h, the test compounds were introduced and cells were further incubated for 48 h. Cells were stained using a senescence-associated β-galactosidase (SA-β-gal) staining kit (Cell Signaling Technology, Danvers, MA, USA) according to the manufacturer’s instructions. The stained cells were observed under a microscope (Olympus Corporation, Tokyo, Japan). All reactions were independently performed in triplicate. The expression level of X-gal was normalized to that of the control group.

2.10. RNA Extraction and Quantitative Real-Time Polymerase Chain Reaction (qRT-PCR)

IMR90 cells were seeded as described above and treated with bleomycin (40 µg/mL) for 48 h, followed by exposure to the test compounds for an additional 48 h. Total RNA was extracted using NucleoZOL (Macherey-Nagel, Düren, Germany) after 48 h of compound treatment. One µg of total RNA was used for cDNA synthesis with the Thermo cDNA Synthesis Kit (Thermo Fisher Scientific). Real-time qPCR was performed by the AccuPower 2X GreenStarTM qPCR Master Mix (Bioneer, Daejeon, Republic of Korea). All reactions were performed in independent triplicates. The expression levels of all markers were normalized to 18s ribosomal RNA.

2.11. Statistical Analyses

The data were analyzed using GraphPad PRISM 10.4.1 software (GraphPad Software, Inc., La Jolla, San Diego, CA, USA) and are expressed as the mean ± standard error of the mean (SEM) from three independent experiments. To compare group means, analysis of variance (ANOVA) was performed, followed by Dunn’s multiple comparison test for post hoc analysis. Statistical significance was established at * p < 0.05, ** p < 0.01, *** p < 0.001, and **** p < 0.0001.

3. Results

3.1. Feature-Based Molecular Networking of the Liquidambar formosana Root Extract

The GNPS molecular network highlighted six noteworthy clusters, including coumarins, gallotannins, monoterpenoids, fatty acids, triterpenoids, and flavonoids. In the triterpenoid cluster, four compounds were annotated using the GNPS platform against the online GNPS database, namely, betulonic acid, sumaresinolic acid, ursolic acid, and oleanolic acid. The largest cluster displayed the presence of numerous compound classes, including monoterpenoids such as (−)-carveol (m/z: 135.1170) and α-pinene (m/z: 137.1320), along with coumarins and fatty acids.
To enhance the annotation of metabolites from L. formosana roots, a local database was established by searching Reaxys for compounds previously isolated from L. formosana. This local database was then imported into MZmine to calculate the possible adducts and annotate features by matching with the corresponding m/z values. The result showed that many nodes were annotated, including a monoterpene cluster [linalool (m/z 137.1320)]; a gallotannin cluster [3,4,5-trimethoxyphenyl-6-O-syringoyl-D-glucopyranoside (m/z 527.1729) and 2,4,6-tri-O-galloyl-D-glucose (m/z 619.0930)]; and a triterpene cluster [melliferone (m/z 435.3257) and 28-diepoxyoleanane-3-one (m/z 437.3414)]. Catechin (m/z 273.0757) and gallocatechin (m/z 289.0707) were also putatively identified. However, a significant number of molecular features remained unannotated, which represents a well-known challenge in metabolomic analysis, where many detected chemical signals cannot be identified using standard library matching. To address this bottleneck, we applied the Structural similarity Network Annotation Platform for Mass Spectrometry (SNAP-MS). This tool is designed to annotate molecular networking subnetworks without relying on experimental MS2 spectral libraries, instead leveraging the principle that the distribution of molecular formulae within a natural product family is often highly diagnostic. For each subnetwork, SNAP-MS searches each parent mass against a comprehensive reference database, in this instance, the COCONUT database, which contains over 600,000 compounds from natural sources. It retrieves all potential candidate structures for each mass and then groups them into compound families based on structural similarity. These families are scored and ranked according to their coverage, defined as the number of distinct masses from the original subnetwork represented within that family. This approach enables more accurate prediction of a compound family for an entire subnetwork, even when individual members are absent from spectral libraries [13].
Results from SNAP-MS suggested six clusters with top candidates, including xanthones, monoterpenoids, diarylheptanoids, stilbenoids, coumarins, and cinnamic acid-conjugated monoterpenoids (Figure S18). Among them, the cluster of cinnamic acid-conjugated monoterpenoids is described in Figure 1B. MS/MS analysis revealed a characteristic fragment at m/z 131.05. This fragment corresponds to the protonated cinnamic acid moiety, providing strong experimental evidence for the presence of a cinnamate substructure across the molecular family. Using this ion as a marker, we extracted the ion chromatogram (± 0.05 Da) of the enriched fraction and observed several peaks whose MS2 spectra contained m/z 131.05. The corresponding precursor ions were m/z 265, 267, 281, 283, and 285, consistent with multiple monoterpene–cinnamate conjugates. This combination of computational prediction from SNAP-MS and direct experimental evidence from the MS/MS data provided valuable guidance for the subsequent targeted isolation of these novel compounds.

3.2. Isolation and Structural Elucidation of New Compounds 1 and 2

The structure of compound 1 was deduced using 1H and 13C NMR, one- and two-dimensional spectroscopy, as well as IR and MS analyses (Figure 2). UPLC qTOF-MS/MS analysis of 1 yielded a protonated molecular ion [M + H]+ at m/z 283.1710 (calcd for C19H23O2, 283.1693), consistent with a molecular formula of C19H22O2, indicating nine degrees of unsaturation. The 1H NMR spectrum exhibited characteristic signals of a trans-disubstituted double bond at δH 7.68 and 6.45 (each d, J = 16.0 Hz), an oxygenated methine at δH 5.70, two protons of an exomethylene group (δH 5.11, 4.93), and a vinyl methyl group at δH 0.73 and 1.31 (each s). The 13C NMR data, in conjunction with DEPT experiments, revealed 19 resonances attributable to one carbonyl (δC 166.7), six aromatic carbons (δC 128.2, 128.2, 129.0, 129.0, 130.3, 134.6), four olefinic carbons (δC 144.6, 119.04, 150.5, 114.4), two quaternary sp3 carbons (δC 40.7, 150.5), two methylenes (δC 28.1, 33.5) including one exomethylene (δC 114.4), and two methyl carbons (δC 22.1, 26.0). COSY, HSQC, and HMBC spectral data provided additional evidence to confirm the structure of compound 1. The COSY spectrum of compound 1 displayed connectivities between H-16 (δH 2.02, m) and H-17 (δH 1.88, 2.45, each m), H-16 and H-19 (δH 1.58, 1.69, each m), H-19 and H-14 (δH 2.56, t, J = 5.4 Hz), and H-17 and H-12 (δH 5.70, d, J = 8.0 Hz) (Figure 3A). The HMBC spectrum of compound 1 showed significant correlations from the exomethylene protons (δH 4.93, 5.11, each br s, H-18) to C-13 (δC 150.5), C-12 (δC 68.8), and C-14 (δC 50.9). The signals for H-19 correlated with C-13, C-14, C-15 (δC 40.7), C-16 (δC 39.7), and C-17 (δC 33.5), whereas H-20 (δH 0.73) and H-21 (δH 1.31) showed correlations with C-15 and C-21 (δC 26.0). In addition, the correlations of H-7 (δH 7.68, d, J = 16.0 Hz) with C-5 (δC 134.6), C-6 (δC 128.2), and C-4 (δC 128.2), as well as the correlation of H-8 (δH 6.45, d, J = 16.0 Hz) with C-5, supported the proposed structure as a cinnamic acid conjugated with β-pinene. The relative configuration of 1 was determined based on diagnostic NOE correlations (Figure 3B). NOE correlations between Me-20 and H-14, and between Me-20 and H-16, revealed an α-orientation, whereas the NOE correlation between Me-21 and H-12 indicated a β-orientation. Based on the relative configuration, the absolute configuration of 1 was assigned as 14S,12R,16S by ECD calculations (Figure 3C). Therefore, compound 1 was characterized as β-pinenyl cinnamate.
The structure of compound 2 was elucidated through comprehensive analysis of 1H and 13C NMR, one and two-dimensional spectroscopic techniques, as well as IR and MS data. HR-ESI-MS analysis of 2 showed a protonated molecular ion [M + H]+ at m/z 283.1715, consistent with the molecular formula of C19H22O2 (calcd m/z 283.1693), indicating nine degrees of unsaturation. The 1H NMR spectrum exhibited characteristic signals of a trans-disubstituted double bond at δH 7.70 and 6.47 (each d, J = 16.0 Hz), an oxygenated methylene at δH 4.60 (s, 2H), and a vinyl methyl group at δH 1.71 (s). The 13C NMR spectrum, in conjunction with DEPT experiments, revealed 19 resonances, corresponding to one carbonyl carbon (δC 167.0), six aromatic carbons (δC 129.0, 129.0, 128.2, 128.2, 130.4, 134.5), eight olefinic carbons (δC 145.8, 144.9, 138.9, 130.7, 129.3, 118.2, 116.1, 113.3), three methylenes (δC 26.5, 30.9, 70.3), two exomethylenes (δC 113.3, 116.1), and one methyl carbon (δC 14.2). The COSY spectrum of 2 revealed key connectivities between H-19 [(δH 5.07, d, J = 10.8 Hz), (δH 5.24, d, J = 17.6 Hz)] and H-18 (δH 6.38, dd, J = 17.6, 10.8 Hz), and H-16 (δH 2.28, br s) with H-15 (δH 2.26, br s) and H-14 (δH 7.38, m), confirming the presence of a myrcene moiety (Figure 3A). HMBC correlations from H-7 (δH 7.70, d, J = 16.0 Hz) to C-5 (δC 134.5), C-6 (δC 128.2), and C-4 (δC 128.2), as well as from H-8 (δH 6.47, d, J = 16.0 Hz) to C-5 (δC 134.5), supported the cinnamic acid substructure. In addition, HMBC correlations from the oxymethylene protons (δH 4.60, H-12) to the carbonyl carbon (δC 167.0, C-9) established the ester linkage between the cinnamic acid and myrcene unit. Therefore, compound 2 was characterized as myrcenyl cinnamate.
Comparison with previously reported literature allowed us to identify compounds 38 as limonenyl cinnamate (3) [14], 4-isopropylbenzyl cinnamate (4) [15], cinnamyl cinnamate (5) [16], myrthenyl cinnamate (6) [17], bornyl cinnamate (7) [18], and 3-phenylpropyl cinnamate (8) [19].

3.3. Bioactivity of Isolated Compounds from Liquidambar formosana

Cellular senescence, as described by the Hayflick limit, was first demonstrated by the cessation of cell growth after several passages in cell culture [20]. A key regulator of this process is p16INK4A, which initiates and maintains senescence by binding to CDK4/6, thereby inhibiting its kinase activity and preventing phosphorylation of Rb during the G1-to-S transition in order to regulate the cell cycle [21]. Several studies have revealed that p16INK4A expression is significantly increased in senescent cells during natural aging and in age-related diseases [22]. Recent studies have highlighted phenolic compounds, such as cinnamic acid derivatives, for their anti-senescence potential. Kanlayavattanakul et al. showed that hydroxycinnamic acids can alleviate aging in dermal cells [23]. Caffeic acid (3,4-dihydroxycinnamic acid), a plant-derived phenolic antioxidant, has been reported to inhibit skin aging in human keratinocytes (HaCaT cells) [24] and in skin cancer xenograft mouse models [25]. Along with cinnamic acid, numerous studies on the senomorphic effects of monoterpenes have demonstrated their ability to inhibit SASP by modulating key signaling pathways such as NF-κB, mTOR, and JAK/STAT [26]. β-myrcene has been reported to exhibit senomorphic activity, particularly through the direct suppression of IL-6 secretion in human dermal fibroblast cells [27]. Recently, the phenolic monoterpene bakuchiol has been gaining attention for its anti-aging effects [24]. However, few other phenolic monoterpenes or cinnamic acid-conjugated monoterpenes have been identified as anti-aging agents.
In this study, eight isolated compounds (18) from the ethyl acetate fraction of L. formosana were assessed for cytotoxicity. All compounds exhibited over 70% cell viability at a concentration of 10 μM in an MTT cell viability assay (Figure 4A). To evaluate their effect on p16INK4A expression, human lung carcinoma A549 cells, which have a homozygous deletion of p16INK4A gene, were used [28]. A549 cells were co-transfected with p16INK4A promoter-driven luciferase construct and β-galactosidase as an internal standard. Since the expression of p16INK4A is regulated by its promoter, quantifying its transcriptional activity provides a suitable model for assessing this key aging biomarker. As a result of compound treatment at 10 µM, compound 3 significantly reduced luciferase activity driven by the p16INK4A promoter, with an IC50 value of 3.9 µM. (Figure 4B–D). Navitoclax, a known senolytic agent, was used as a positive control to determine the downregulation of p16INK4A, with normalization by β–galactosidase.
SASP, or senescence-messaging secretome (SMS), includes cytokines such as IL-6, IL-8, IL-1α, and IL-1β, which are characteristic features of senescent cells [29]. These cytokines not only serve as biomarkers but also play functional roles in reinforcing the senescent state and affecting surrounding tissues. For instance, interleukin-6 (IL-6) can induce premature senescence through activation of signal transducer and activator of transcription 3 (STAT3) signaling [30]. IL-8 is similarly overexpressed in senescent fibroblasts via autocrine signaling through the IL-8 pathway [31]. Besides IL-6 and IL-8, IL-1 family members, including membrane-bound IL-1α and soluble IL-1β, have also been studied as markers of senescence. Given this, we employed the bleomycin-induced senescence model in IMR90 fibroblasts, a well-established system for cellular aging studies, which leads to changes in the mRNA levels of SASP factors [32,33,34]. In this experiment, senescence was induced in IMR90 fibroblasts by a 2-day bleomycin pretreatment, followed by exposure to compound 3 for 48 h. The expression of four major SASP-associated genes (IL-6, IL-8, IL-1α, and IL-1β) was reduced in a dose-dependent manner upon treatment with compound 3 (Figure 5). At 10 µM, compound 3 markedly suppressed the expression of all four cytokines compared with the bleomycin-only control, with reductions of 68.55% for IL-6, 52.75% for IL-8, 57.18% for IL-1α, and 75.83% for IL-1β. At 5 µM, partial reductions were observed for IL-1α and IL-1β, whereas IL-6 and IL-8 remained largely unchanged. In contrast, treatment with 2.5 µM compound 3 did not produce significant effects on any of the tested markers. These findings indicate that compound 3 exerts the most robust and consistent inhibitory effects on SASP gene expression at 10 µM.
Senescence cell morphology typically displays an enlarged, flattened shape, together with molecular features such as increased p16INK4A expression and reduced Rb phosphorylation. SA-β-gal is a well-established biomarker for the detection of the senescent phenotype. SA-β-gal staining is based on the detection of lysosomal β-galactosidase, which cleaves X-gal to produce a visible blue precipitate at pH 6.0 [12]. To validate the senomorphic activity of compound 3, SA-β-gal staining was performed on bleomycin-induced senescent IMR90 fibroblasts. As shown in Figure 6A, cells exposed to bleomycin for 4 days displayed a pronounced increase in SA-β-gal-positive staining, characterized by enlarged and flattened morphology with extensive blue precipitates, compared with the untreated control group. In contrast, treatment with compound 3 for 48 h following bleomycin pretreatment markedly reduced the proportion of SA-β-gal-positive cells in a concentration-dependent manner. At 10 µM, treatment of compound 3 led to a marked reduction in SA-β-gal staining, whereas cells treated with 5 µM and 2.5 µM showed a moderate decrease compared with the bleomycin-only group. Quantitative analysis confirmed these observations (Figure 6B). Bleomycin pretreatment increased the proportion of SA-β-gal-positive area to nearly 100% relative to the control, whereas subsequent treatment with compound 3 reduced this value to 41.82 ± 26.72% at 10 µM, 43.07 ± 12.36% at 5 µM, and 46.84 ± 10.87% at 2.5 µM. These results demonstrate that compound 3 significantly attenuates bleomycin-induced cellular senescence, with the strongest inhibitory effect observed at the highest tested concentration (10 µM).

4. Discussion

In this study, two new compounds (1 and 2), along with six known compounds, were isolated from the root of L. formosana based on a bioactivity-guided isolation approach (Supplementary Figure S20). With the increasing use of high-resolution mass spectrometry, FBMN has been proven to be an efficient and reliable method for dereplication and chemical profiling of natural products due to the availability of ever-growing public databases. By using this method, two new compounds were isolated, thereby enhancing the chemical diversity of this plant.
Since its discovery, p16INK4A has been shown to have a strong correlation with aging and cellular senescence [35]. Previous studies have demonstrated that ionizing radiation can induce senescence via the ROS-mediated p16INK4A pathway in human vascular smooth muscle cells [36] and mouse hippocampus cells [37]. In this study, we initially performed a p16INK4A promoter activity inhibition screening assay to identify bioactive compounds that inhibit p16INK4A expression, a major biomarker of senescence. Using A549 cells, which have a homozygous deletion of the p16INK4A gene [28], and co-transfected with the p16INK4A gene and β-galactosidase as an internal standard, compound 3 was identified as a potent p16INK4A inhibitor with an IC50 of 3.9 µM. SASP expression is regulated through multiple transcriptional and signaling pathways, with NF-κB identified as a master regulator [38]. In senescent cells, damaged DNA released into the cytoplasm forms cytoplasmic chromatin fragments (CCFs) that activate the cGAS–STING–NF-κB pathway, leading to the secretion of pro-inflammatory cytokines such as IL-6, IL-8, IL-1α, and IL-1β [39,40]. Other regulatory factors of the SASP include C/EBPß, GATA4, p38 MAP-kinase, mTOR, JAK/STAT, and Notch pathway [41]. Additionally, several studies have suggested that senomorphic compounds may regulate epigenetic mechanisms that control SASP transcription [42,43]. IL-6 plays a central role in the SASP network [44], IL-8 serves as a chemoattractant cytokine [45], and IL-1 (α and β) initiates signaling cascades that induce IL-6 and IL-8 expression [46]. Hence, suppressing SASP cytokines offers a strategic approach to mitigating the harmful effects of senescence. In this study, compound 3 isolated from the root of L. formosana significantly reduced SASP markers (IL-6, IL-8, IL-1α, and IL-1β). These results demonstrate that our compound exerts SASP marker-reducing effects at much lower concentrations than previously reported compounds. Lim et al. reported that avenanthramide C, a compound extracted from oats, suppressed IL-6 and IL-8 expression in senescent human dermal fibroblasts (HDFs) at 120 µM [47]. Other well-studied senomorphic candidates, such as fisetin and quercetin, typically require concentrations above 20 µM to achieve comparable effects [48,49]. Collectively, these benchmarks highlight the superior potency of compound 3 and support its potential as a lead scaffold for the development of senescence-modulating therapeutics.
To further confirm the senescence phenotype, SA-β-gal staining was performed. This histochemical assay uses the chromogenic substrate X-gal, detectable at pH 6.0, which yields an insoluble blue compound when cleaved by β-galactosidase [50]. The results demonstrated that compound 3 exhibits the most promising SASP-inhibitory activity among the isolated compounds. According to our data, compound 3 exhibits superior SA-β-gal inhibition at relatively lower concentrations compared to previously reported compounds or extracts. Previous studies showed that ginsenosides from heat-processed ginseng at 120 °C, when administered to endothelial progenitor cells at 200 μg/mL, reduced SA-β-gal positivity from 93.8% to 62.5% [36]. Extracts from Silybum marianum flowers demonstrated senotherapeutic-like effects, significantly decreasing the proportion of SA-β-gal-positive senescent HDFs by 33.2% at 200 μg/mL [37]. Kaempferol-type compounds from Nephelium lappaceum were also reported to reduce the proportion of SA-β-gal-positive cells by approximately 50% [38]. Although compound 3 was not evaluated for activity using the same cell system as the previously reported compounds, these results support the potential of compound 3 as a novel senomorphic agent for the treatment of aging-associated diseases by targeting p16INK4A expression, SASP modulation, and morphological features of cellular senescence.
This study has several limitations that should be acknowledged. Our findings were primarily obtained from continuous cell lines, including A549 lung carcinoma cells and IMR90 fibroblasts, which may not fully recapitulate the complexity of primary human tissues or patient-derived senescent cells. Although these models are well established for senescence research, the translational relevance of our results remains to be validated in more physiologically relevant systems. While we demonstrated that compound 3 effectively reduced p16INK4A promoter activity, SASP cytokine expression, and SA-β-gal positivity, its precise molecular targets and upstream regulatory pathways remain undefined (Supplementary Figure S21). Further studies using primary cells, patient-derived models, and in vivo systems will therefore be necessary to confirm the senomorphic activity of compound 3 and to elucidate its mechanism of action. These investigations will not only validate the therapeutic potential of compound 3 but also provide broader insights into the role of monoterpenoids in modulating cellular senescence. Future work should further address the heterogeneity of senescence by testing compound 3 across diverse senescence inducers to better clarify its global molecular effects.

5. Conclusions

In this study, by using FBMN powered by the GNPS database, the chemical profile of L. formosana was established, revealing the presence of flavonoid glycosides, amides, and triterpenoids. Eight meroterpenoids were further identified by integrating SNAP-MS. Two undescribed compounds (1 and 2) were isolated, and their structures were characterized by NMR and other spectroscopic techniques. Evaluation of these compounds demonstrated their ability to inhibit senescence markers, including p16INK4A, SASP, and SA-β-gal staining, with compound 3 emerging as the most potent inhibitor. To our knowledge, this is the first report to identify a cinnamic acid-conjugated monoterpennoid from L. formosana that targets aging-related biomarkers. These findings highlight the potential as promising therapeutic candidates for aging-associated diseases through the modulation of cellular senescence.

Supplementary Materials

The following supporting information can be downloaded at https://www.mdpi.com/article/10.3390/nu17213321/s1. Figure S1: The feature based molecular networking of the total extract from the root of L. formosana; Figure S2: IR(KBr) spectrum of compound 1; Figure S3: UV spectrum of compound 1; Figure S4: ECD spectrum of compound 1; Figure S5: 1H NMR spectrum of compound 1; Figure S6: 13C NMR spectrum of compound 1; Figure S7: eHSQC spectrum of compound 1; Figure S8: HMBC spectrum of compound 1; Figure S9: COSY spectrum of compound 1; Figure S10: NOESY spectrum of compound 1; Figure S11: IR(KBr) spectrum of compound 2; Figure S12: UV spectrum of compound 2; Figure S13: 1H NMR spectrum of compound 2; Figure S14: 13C NMR spectrum of compound 2; Figure S15: eHSQC spectrum of compound 2; Figure S16: HMBC spectrum of compound 2; Figure S17: COSY spectrum of compound 2; Figure S18: High-confidence subnetwork (component index 5) and representative compounds predicted by SNAP-MS; Figure S19: Conformers of compound 1; Figure S20: Bioactivity-guided isolation workflow targeting cellular senescence modulators; Figure S21: Cell viability of bleomycin-treated IMR90 fibroblasts in response to compound 3; Figure S22: Proposed mechanism of compound 3 action in the p16INK4A pathway; Table S1: Energies and atomic Cartesian coordinates of geometry-optimized conformers of compound 1 at B3LYP/6-31g(d) in methanol. Table S2: Calculated excited state transition wavelengths, oscillator strengths and rotatory strengths for geometry-optimized conformers of compound 1 at B3LYP/6-31g(d) in methanol.

Author Contributions

Conceptualization, M.T.T.L. and W.-K.O.; methodology, Q.H.V. and V.-H.M.; formal analysis, V.-H.M., S.C. and J.E.P.-Z.; investigation, M.T.T.L. and J.-P.A.; resources, Q.H.V.; writing—original draft preparation, M.T.T.L. and Q.H.V.; writing—review and editing, W.-K.O.; supervision, W.-K.O.; project administration, W.-K.O.; funding acquisition, W.-K.O. All authors have read and agreed to the published version of the manuscript.

Funding

This research was supported by grants from the Basic Science Research Programs (RS-2022-NR070150) and (RS-2023-00218616) through the National Research Foundation of Korea (NRF) funded by the Ministry of Science and ICT in Korea.

Institutional Review Board Statement

Not applicable.

Informed Consent Statement

Not applicable.

Data Availability Statement

The data that support the findings of this study are available from the corresponding author upon reasonable request.

Conflicts of Interest

The authors declare no conflicts of interest.

Abbreviations

The following abbreviations are used in this manuscript:
CCFsCytoplasmic chromatin fragments
ECDElectronic circular dichroism
GNPSGlobal natural products social molecular networking
HMBCHeteronuclear multi-bond correlation
HPLCHigh-performance liquid chromatography
HRESIMSHigh-resolution electrospray ionization mass spectrometry
HSQCHeteronuclear single quantum coherence
LC-MSLiquid chromatography–mass spectrometry
NMRNuclear magnetic resonance
SASPSenescence-associated secretory phenotype
STAT3Signal transducer and activator of transcription 3

References

  1. Ma, Y.; Ding, S.; Qiu, Y. Chromosome-level genome assembly of American sweetgum (Liquidambar styraciflua, Altingiaceae). Sci. Data 2024, 11, 1078. [Google Scholar] [CrossRef]
  2. Ouyang, X.L.; Yi, S.; Lu, H.; Wu, S.; Zhao, H. Liquidambar formosana Hance: A mini-review of chemical constituents and pharmacology. Eur. J. Med. Plants 2016, 17, 1–11. [Google Scholar] [CrossRef]
  3. Chien, S.-C.; Xiao, J.-H.; Tseng, Y.-H.; Kuo, Y.-H.; Wang, S.-Y. Composition and antifungal activity of balsam from Liquidambar formosana Hance. Holzforschung 2013, 67, 345–351. [Google Scholar] [CrossRef]
  4. Zhang, L.; Zhu, M.F.; Tu, Z.C.; Zhao, Y.; Wang, H.; Li, G.J.; Sha, X.M. a-Glucosidase inhibition, anti-glycation and antioxidant activities of Liquidambar formosana Hance leaf, and identification of phytochemical profile. S. Afr. J. Bot. 2017, 113, 239–247. [Google Scholar] [CrossRef]
  5. Zhu, Y.; Guan, Y.-J.; Chen, Q.-Z.; Yuan, L.-H.; Xu, Q.-Q.; Zhou, M.-L.; Liu, H.; Lin, W.; Zhang, Z.-D.; Zhou, Z.-L. Pentacyclic Triterpenes from the resin of Liquidambar formosana have anti-angiogenic properties. Phytochemistry 2021, 184, 112676. [Google Scholar] [CrossRef]
  6. Niccoli, T.; Partridge, L. Ageing as a risk factor for disease. Curr. Biol. 2012, 22, R741–R752. [Google Scholar] [CrossRef] [PubMed]
  7. Kumari, R.; Jat, P. Mechanisms of cellular senescence: Cell cycle arrest and senescence associated secretory phenotype. Front. Cell Dev. Biol. 2021, 9, 645593. [Google Scholar] [CrossRef]
  8. Saito, Y.; Yamamoto, S.; Chikenji, T.S. Role of cellular senescence in inflammation and regeneration. Inflamm. Regen. 2024, 44, 28. [Google Scholar] [CrossRef]
  9. Zhang, L.; Pitcher, L.E.; Prahalad, V.; Niedernhofer, L.J.; Robbins, P.D. Targeting cellular senescence with senotherapeutics: Senolytics and senomorphics. FEBS J. 2023, 290, 1362–1383. [Google Scholar] [CrossRef] [PubMed]
  10. Koh, J.; Enders, G.H.; David Dynlacht, B.; Harlow, E.D. Tumour-derived p16 alleles encoding proteins defective in cell-cycle inhibition. Nature 1995, 375, 506–510. [Google Scholar] [CrossRef]
  11. McConnell, B.B.; Gregory, F.J.; Stott, F.J.; Hara, E.; Peters, G. Induced expression of p16 INK4a inhibits both CDK4-and CDK2-associated kinase activity by reassortment of cyclin-CDK-inhibitor complexes. Mol. Cell. Biol. 1999, 19, 1981–1989. [Google Scholar] [CrossRef] [PubMed]
  12. Xin, Z.; Wu, X.; Ji, T.; Xu, B.; Han, Y.; Sun, M.; Jiang, S.; Li, T.; Hu, W.; Deng, C.; et al. Bakuchiol: A newly discovered warrior against organ damage. Pharmacol. Res. 2019, 141, 208–213. [Google Scholar] [CrossRef] [PubMed]
  13. Morehouse, N.J.; Clark, T.N.; McMann, E.J.; van Santen, J.A.; Haeckl, F.J.; Gray, C.A.; Linington, R.G. Annotation of natural product compound families using molecular networking topology and structural similarity fingerprinting. Nat. Commun. 2023, 14, 308. [Google Scholar] [CrossRef] [PubMed]
  14. Pu, X.Y.; Tian, K.; Sun, J.X.; Wang, W.; Liu, H.C.; Yang, J.; Jiang, M.Y.; Huang, X.Z. Anti-inflammatory monoterpene esters from the stems of Illigera aromatica. Nat. Prod. Res. 2021, 35, 960–966. [Google Scholar] [CrossRef]
  15. do Vale, J.A.; Rodrigues, M.P.; Lima, Â.M.A.; Santiago, S.S.; de Almeida Lima, G.D.; Almeida, A.A.; de Oliveira, L.L.; Bressan, G.C.; Teixeira, R.R.; Machado-Neves, M. Synthesis of cinnamic acid ester derivatives with antiproliferative and antimetastatic activities on murine melanoma cells. Biomed. Pharmacother. 2022, 148, 112689. [Google Scholar] [CrossRef]
  16. Shang, X.F.; Xiao, L.; Su, J.T.; Wei, S.Y.; Wang, Y.S.; Yang, J.H. Chemical constituents of Litsea euosma. Chem. Nat. Compd. 2019, 55, 1138–1140. [Google Scholar] [CrossRef]
  17. Bohlmann, F.; Zdero, C. Stevisalicinone (X), a new diterpene type, and other constituents from Stevia species. Chem. Inform. 1986, 17, 1974–1983. [Google Scholar]
  18. Hayashi, H.; Yasukochi, S.; Sakamoto, T.; Hatano, M.; Ishihara, K. Insight into the mechanism of the acylation of alcohols with acid anhydrides catalyzed by phosphoric acid derivatives. J. Org. Chem. 2021, 86, 5197–5212. [Google Scholar] [CrossRef]
  19. Funasaka, S.; Mukaiyama, T. A versatile, practical, and inexpensive reagent, pyridine-3-carboxylic anhydride (3-PCA), for condensation reactions. Bull. Chem. Soc. Jpn. 2008, 81, 148–159. [Google Scholar] [CrossRef]
  20. Hayflick, L. The limited in vitro lifetime of human diploid cell strains. Exp. Cell Res. 1965, 37, 614–636. [Google Scholar] [CrossRef]
  21. Rayess, H.; Wang, M.B.; Srivatsan, E.S. Cellular senescence and tumor suppressor gene p16. Int. J. Cancer 2012, 130, 1715–1725. [Google Scholar] [CrossRef]
  22. Baker, D.J.; Wijshake, T.; Tchkonia, T.; LeBrasseur, N.K.; Childs, B.G.; Van De Sluis, B.; Kirkland, J.L.; Van Deursen, J.M. Clearance of p16Ink4a-positive senescent cells delays ageing-associated disorders. Nature 2011, 479, 232–236. [Google Scholar] [CrossRef] [PubMed]
  23. Kanlayavattanakul, M.; Khongkow, M.; Iempridee, T.; Lourith, N. Food hydroxycinnamic acids alleviate ageing in dermal cells. Food Prod. Process. Nutr. 2024, 6, 86. [Google Scholar] [CrossRef]
  24. Pluemsamran, T.; Onkoksoong, T.; Panich, U. Caffeic acid and ferulic acid inhibit UVA-induced matrix metalloproteinase-1 through regulation of antioxidant defense system in keratinocyte HaCaT cells. Photochem. Photobiol. 2012, 88, 961–968. [Google Scholar] [CrossRef] [PubMed]
  25. Yang, G.; Fu, Y.; Malakhova, M.; Kurinov, I.; Zhu, F.; Yao, K.; Li, H.; Chen, H.; Li, W.; Lim, D.Y. Caffeic acid directly targets ERK1/2 to attenuate solar UV-induced skin carcinogenesis. Cancer Prev. Res. 2014, 7, 1056–1066. [Google Scholar] [CrossRef] [PubMed]
  26. Lagoumtzi, S.M.; Chondrogianni, N. Senolytics and senomorphics: Natural and synthetic therapeutics in the treatment of aging and chronic diseases. Free Radic. Biol. Med. 2021, 171, 169–190. [Google Scholar] [CrossRef] [PubMed]
  27. Rao, V.S.N.; Menezes, A.M.S.; Viana, G.S.B. Effect of myrcene on nociception in mice. J. Pharm. Pharmacol. 1990, 42, 877–878. [Google Scholar] [CrossRef] [PubMed]
  28. Adachi, J.; Kohno, T.; Baeg, G.; Akiyama, T.; Yokota, J. Growth suppression of non-small cell lung carcinoma cells by the introduction of the p16 (INK4A) gene. Int. J. Oncol. 1997, 10, 33–39. [Google Scholar] [CrossRef]
  29. He, S.; Sharpless, N.E. Senescence in health and disease. Cell 2017, 169, 1000–1011. [Google Scholar] [CrossRef]
  30. Kojima, H.; Inoue, T.; Kunimoto, H.; Nakajima, K. IL-6-STAT3 signaling and premature senescence. Jak-Stat 2013, 2, e25763. [Google Scholar] [CrossRef]
  31. Wang, T.; Notta, F.; Navab, R.; Joseph, J.; Ibrahimov, E.; Xu, J.; Zhu, C.-Q.; Borgida, A.; Gallinger, S.; Tsao, M.-S. Senescent carcinoma-associated fibroblasts upregulate IL8 to enhance prometastatic phenotypes. Mol. Cancer Res. 2017, 15, 3–14. [Google Scholar] [CrossRef]
  32. Zhang, X.; Dong, Y.; Li, W.-c.; Tang, B.-x.; Li, J.; Zang, Y. Roxithromycin attenuates bleomycin-induced pulmonary fibrosis by targeting senescent cells. Acta Pharmacol. Sin. 2021, 42, 2058–2068. [Google Scholar] [CrossRef]
  33. Lim, H.; Park, H.; Kim, H.P. Effects of flavonoids on senescence-associated secretory phenotype formation from bleomycin-induced senescence in BJ fibroblasts. Biochem. Pharmacol. 2015, 96, 337–348. [Google Scholar] [CrossRef] [PubMed]
  34. Aoshiba, K.; Tsuji, T.; Kameyama, S.; Itoh, M.; Semba, S.; Yamaguchi, K.; Nakamura, H. Senescence-associated secretory phenotype in a mouse model of bleomycin-induced lung injury. Exp. Toxicol. Pathol. 2013, 65, 1053–1062. [Google Scholar] [CrossRef]
  35. Krishnamurthy, J.; Torrice, C.; Ramsey, M.R.; Kovalev, G.I.; Al-Regaiey, K.; Su, L.; Sharpless, N.E. Ink4a/Arf expression is a biomarker of aging. J. Clin. Investig. 2004, 114, 1299–1307. [Google Scholar] [CrossRef] [PubMed]
  36. Zheng, X.; Liu, Z.; Bin, Y.; Wang, J.; Rao, X.; Wu, G.; Dong, X.; Tong, F. Ionizing radiation induces vascular smooth muscle cell senescence through activating NF-κB/CTCF/p16 pathway. Biochim. Biophys. Acta (BBA)-Mol. Basis Dis. 2024, 1870, 166994. [Google Scholar] [CrossRef] [PubMed]
  37. Cheng, Z.; Zheng, Y.Z.; Li, Y.-Q.; Wong, C.S. Cellular senescence in mouse hippocampus after irradiation and the role of p53 and p21. J. Neuropathol. Exp. Neurol. 2017, 76, 260–269. [Google Scholar] [CrossRef]
  38. Chien, Y.; Scuoppo, C.; Wang, X.; Fang, X.; Balgley, B.; Bolden, J.E.; Premsrirut, P.; Luo, W.; Chicas, A.; Lee, C.S. Control of the senescence-associated secretory phenotype by NF-κB promotes senescence and enhances chemosensitivity. Genes Dev. 2011, 25, 2125–2136. [Google Scholar] [CrossRef]
  39. Ivanov, A.; Pawlikowski, J.; Manoharan, I.; van Tuyn, J.; Nelson, D.M.; Rai, T.S.; Shah, P.P.; Hewitt, G.; Korolchuk, V.I.; Passos, J.F. Lysosome-mediated processing of chromatin in senescence. J. Cell Biol. 2013, 202, 129–143. [Google Scholar] [CrossRef]
  40. Dou, Z.; Ghosh, K.; Vizioli, M.G.; Zhu, J.; Sen, P.; Wangensteen, K.J.; Simithy, J.; Lan, Y.; Lin, Y.; Zhou, Z. Cytoplasmic chromatin triggers inflammation in senescence and cancer. Nature 2017, 550, 402–406. [Google Scholar] [CrossRef]
  41. Fraga, M.F.; Agrelo, R.; Esteller, M. Cross-talk between aging and cancer: The epigenetic language. Ann. N. Y. Acad. Sci. 2007, 1100, 60–74. [Google Scholar] [CrossRef] [PubMed]
  42. Liu, H.; Xu, Q.; Wufuer, H.; Li, Z.; Sun, R.; Jiang, Z.; Dou, X.; Fu, Q.; Campisi, J.; Sun, Y. Rutin is a potent senomorphic agent to target senescent cells and can improve chemotherapeutic efficacy. Aging Cell 2024, 23, 13921. [Google Scholar] [CrossRef]
  43. Cuollo, L.; Antonangeli, F.; Santoni, A.; Soriani, A. The senescence-associated secretory phenotype (SASP) in the challenging future of cancer therapy and age-related diseases. Biology 2020, 9, 485. [Google Scholar] [CrossRef]
  44. Rolt, A.; Nair, A.; Cox, L.S. Optimisation of a screening platform for determining IL-6 inflammatory signalling in the senescence-associated secretory phenotype (SASP). Biogerontology 2019, 20, 359–371. [Google Scholar] [CrossRef]
  45. Matsushima, K.; Yang, D.; Oppenheim, J.J. Interleukin-8: An evolving chemokine. Cytokine 2022, 153, 155828. [Google Scholar] [CrossRef]
  46. Schmitz, M.L.; Weber, A.; Roxlau, T.; Gaestel, M.; Kracht, M. Signal integration, crosstalk mechanisms and networks in the function of inflammatory cytokines. Biochim. Biophys. Acta (BBA)-Mol. Cell Res. 2011, 1813, 2165–2175. [Google Scholar] [CrossRef]
  47. Lim, J.S.; Kim, H.S.; Park, S.C.; Park, J.T.; Kim, H.S.; Oh, W.K. Identification of a novel senomorphic agent, avenanthramide C, via the suppression of the senescence-associated secretory phenotype. Mech. Ageing Dev. 2020, 192, 111355. [Google Scholar] [CrossRef]
  48. Imb, M.; Véghelyi, Z.; Maurer, M.; Kühnel, H. Exploring senolytic and senomorphic properties of medicinal plants for anti-aging therapies. Int. J. Mol. Sci. 2024, 25, 10419. [Google Scholar] [CrossRef] [PubMed]
  49. Zhang, L.; Tong, X.; Huang, J.; Wu, M.; Zhang, S.; Wang, D.; Liu, S.; Fan, H. Fisetin alleviated bleomycin-induced pulmonary fibrosis partly by rescuing alveolar epithelial cells from senescence. Front. Pharmacol. 2020, 11, 553690. [Google Scholar] [CrossRef]
  50. Dimri, G.P.; Lee, X.; Basile, G.; Acosta, M.; Scott, G.; Roskelley, C.; Medrano, E.E.; Linskens, M.; Rubelj, I.; Pereira-Smith, O. A biomarker that identifies senescent human cells in culture and in aging skin in vivo. Proc. Natl. Acad. Sci. USA 1995, 92, 9363–9367. [Google Scholar] [CrossRef] [PubMed]
Figure 1. (A) Clusters of interest from molecular networking of the crude extract from the roots of L. formosana using UPLC qTOF-MS/MS data acquired in the positive mode. Nodes were grouped into chemical classes, and clusters were circled as follows: blue for monoterpenoids, purple for fatty acids, and orange for coumarins. Individual nodes annotated by GNPS are highlighted with a red ring, while nodes putatively identified from the literature (via a Reaxys search for compounds previously reported from L. formosana) are marked with a green ring. (B) The target cluster for isolation (left) and suggested structures for cluster (right), as revealed by SNAP-MS and tandem MS analyses, show cinnamic acid derivatives bearing possible monoterpene moieties.
Figure 1. (A) Clusters of interest from molecular networking of the crude extract from the roots of L. formosana using UPLC qTOF-MS/MS data acquired in the positive mode. Nodes were grouped into chemical classes, and clusters were circled as follows: blue for monoterpenoids, purple for fatty acids, and orange for coumarins. Individual nodes annotated by GNPS are highlighted with a red ring, while nodes putatively identified from the literature (via a Reaxys search for compounds previously reported from L. formosana) are marked with a green ring. (B) The target cluster for isolation (left) and suggested structures for cluster (right), as revealed by SNAP-MS and tandem MS analyses, show cinnamic acid derivatives bearing possible monoterpene moieties.
Nutrients 17 03321 g001
Figure 2. Chemical structures of eight compounds isolated from the roots of L. formosana. Using a bioactivity-guided isolation strategy, the 70% EtOH root extract was partitioned with n-hexane, followed by MPLC and HPLC. The chemical structures of each compound were elucidated based on 1D and 2D NMR, IR, and high-resolution mass spectrometry. Compounds 1 and 2 were identified as newly discovered natural products.
Figure 2. Chemical structures of eight compounds isolated from the roots of L. formosana. Using a bioactivity-guided isolation strategy, the 70% EtOH root extract was partitioned with n-hexane, followed by MPLC and HPLC. The chemical structures of each compound were elucidated based on 1D and 2D NMR, IR, and high-resolution mass spectrometry. Compounds 1 and 2 were identified as newly discovered natural products.
Nutrients 17 03321 g002
Figure 3. (A) Key COSY (blue bold lines) and HMBC (red arrows) correlations for compounds 1 and 2. (B) Key NOE correlations for compound 1 (dashed-double-headed arrows), with the relative configuration assigned based on NOE data. (C) Experimental and calculated ECD spectra of 1. Conformers with populations greater than 1% were optimized and frequency-verified by DFT [B3LYP/6-31G(d), gas phase; Gaussian 16]. The experimental ECD (black) was in good agreement with the calculated spectrum (red), establishing the absolute configuration as 14S,12R,16S.
Figure 3. (A) Key COSY (blue bold lines) and HMBC (red arrows) correlations for compounds 1 and 2. (B) Key NOE correlations for compound 1 (dashed-double-headed arrows), with the relative configuration assigned based on NOE data. (C) Experimental and calculated ECD spectra of 1. Conformers with populations greater than 1% were optimized and frequency-verified by DFT [B3LYP/6-31G(d), gas phase; Gaussian 16]. The experimental ECD (black) was in good agreement with the calculated spectrum (red), establishing the absolute configuration as 14S,12R,16S.
Nutrients 17 03321 g003
Figure 4. Effect of compounds on inhibition of the p16INK4A promoter activity. (A) Cell viability of compounds 18 from L. formosana was measured using an MTT assay. Cell viability results are expressed as relative values compared with the untreated group (set at 100%). Bar colors indicate groups: black, control; blue, navitoclax treated control; white, experimental. (B) Inhibitory effects of compounds 18 on p16INK4A promoter activity. Bar colors indicate groups as in panel (A). (C,D) Inhibitory effect of compound 3 in a dose-dependent manner (1.25, 2.5, 5, and 10 µM). (C) Compound 3 reduced p16INK4A promoter activity (black, control; white, treated. (D) Dose–response curve of compound 3 based on data from panel (C). Data were normalized to β-galactosidase activity and are presented as mean ± SEM (n = 3). Statistical analysis was performed using one-way ANOVA followed by Dunn’s multiple comparisons test (* p < 0.05, *** p < 0.001 vs. control; ## p < 0.01, ### p < 0.001 vs. no transfection control).
Figure 4. Effect of compounds on inhibition of the p16INK4A promoter activity. (A) Cell viability of compounds 18 from L. formosana was measured using an MTT assay. Cell viability results are expressed as relative values compared with the untreated group (set at 100%). Bar colors indicate groups: black, control; blue, navitoclax treated control; white, experimental. (B) Inhibitory effects of compounds 18 on p16INK4A promoter activity. Bar colors indicate groups as in panel (A). (C,D) Inhibitory effect of compound 3 in a dose-dependent manner (1.25, 2.5, 5, and 10 µM). (C) Compound 3 reduced p16INK4A promoter activity (black, control; white, treated. (D) Dose–response curve of compound 3 based on data from panel (C). Data were normalized to β-galactosidase activity and are presented as mean ± SEM (n = 3). Statistical analysis was performed using one-way ANOVA followed by Dunn’s multiple comparisons test (* p < 0.05, *** p < 0.001 vs. control; ## p < 0.01, ### p < 0.001 vs. no transfection control).
Nutrients 17 03321 g004
Figure 5. Senomorphic effects of compound 3 on rescuing replicative senescence and inhibiting SASP mRNA expression. IMR90 cells were exposed to bleomycin (BLM, 40 µg/mL) for 2 days and subsequently treated with the indicated compounds for an additional 2 days, after which total RNA was extracted for analysis. Compound 3 was tested in a dose-dependent manner (2.5, 5, and 10 µM) for its effects on SASP markers IL-6 (A), IL-8 (B), IL-1α (C), and IL-1β (D). Data are expressed as mean ± SEM (n = 3). Bar shading and pattern denote the following groups: white (control), black (bleomycin-only control), and striped (experimental). Statistical analysis was performed using one-way ANOVA followed by Dunn’s multiple comparisons test (* p < 0.05 vs. BLM-treated group for 2 days; # p < 0.05, ## p < 0.01 vs. control).
Figure 5. Senomorphic effects of compound 3 on rescuing replicative senescence and inhibiting SASP mRNA expression. IMR90 cells were exposed to bleomycin (BLM, 40 µg/mL) for 2 days and subsequently treated with the indicated compounds for an additional 2 days, after which total RNA was extracted for analysis. Compound 3 was tested in a dose-dependent manner (2.5, 5, and 10 µM) for its effects on SASP markers IL-6 (A), IL-8 (B), IL-1α (C), and IL-1β (D). Data are expressed as mean ± SEM (n = 3). Bar shading and pattern denote the following groups: white (control), black (bleomycin-only control), and striped (experimental). Statistical analysis was performed using one-way ANOVA followed by Dunn’s multiple comparisons test (* p < 0.05 vs. BLM-treated group for 2 days; # p < 0.05, ## p < 0.01 vs. control).
Nutrients 17 03321 g005
Figure 6. Results of the senescence-associated β-galactosidase (SA-β-gal) staining (A) and quantification. Bar shading denotes the following groups: white (control), black (bleomycin-only control), and gray (experimental). (B). IMR90 cells were exposed to bleomycin (BLM, 40 µg/mL) for 2 days and subsequently treated with the indicated compounds for an additional 2 days. Cells were then analyzed by SA-β-gal staining. Compound 3 was tested in a dose-dependent manner (2.5, 5, and 10 µM). The proportion of SA-β-gal-positive cells was significantly reduced in the compound 3-treated groups compared with the bleomycin-only control. Data are presented as mean ± SEM (n = 3). Statistical analysis was determined using one-way ANOVA followed by Dunn’s multiple comparisons test (*** p < 0.001, **** p < 0.0001 vs. 2-day BLM-treated group; #### p < 0.0001 vs. control). Scale bars = 200 µm.
Figure 6. Results of the senescence-associated β-galactosidase (SA-β-gal) staining (A) and quantification. Bar shading denotes the following groups: white (control), black (bleomycin-only control), and gray (experimental). (B). IMR90 cells were exposed to bleomycin (BLM, 40 µg/mL) for 2 days and subsequently treated with the indicated compounds for an additional 2 days. Cells were then analyzed by SA-β-gal staining. Compound 3 was tested in a dose-dependent manner (2.5, 5, and 10 µM). The proportion of SA-β-gal-positive cells was significantly reduced in the compound 3-treated groups compared with the bleomycin-only control. Data are presented as mean ± SEM (n = 3). Statistical analysis was determined using one-way ANOVA followed by Dunn’s multiple comparisons test (*** p < 0.001, **** p < 0.0001 vs. 2-day BLM-treated group; #### p < 0.0001 vs. control). Scale bars = 200 µm.
Nutrients 17 03321 g006
Table 1. 1H- and 13C-NMR spectroscopic data of compounds 1 and 2 in CDCl3 a.
Table 1. 1H- and 13C-NMR spectroscopic data of compounds 1 and 2 in CDCl3 a.
Position1 b2
δH (J in Hz)δCδH (J in Hz)δC
17.37 (m)129.07.37 (m)129.0
27.38 (m)130.37.38 (m)130.4
37.37 (m)129.07.37 (m)129.0
47.52 (m)128.27.53 (m)128.2
5 134.6 134.5
67.52 (m)128.27.53 (m)128.2
77.68 (d, 16.0)144.67.70, (d, 16.0)144.9
86.45 (d, 16.0)119.06.47, (d, 16.0)118.2
9 166.7 167.0
125.70 (d, 8.0)68.84.60 (2H, s)70.3
13 150.5 129.3
142.56 (t, 5.45)50.97.38 (m)130.7
15 40.72.26 (2H, br s)26.5
162.02 (m)39.72.28 (2H, br s)30.9
171.88 (m), 2.45 (m)33.5 145.8
184.93 (br s), 5.11 (br s)114.46.38, (dd, 17.6, 10.8)138.9
191.58 (m), 1.69 (m)28.15.07 (d, 10.8), 5.24 (d, 17.6)116.1
200.73 (3H, s)22.11.71 (3H, s)14.2
211.31 (3H, s)26.05.02 (d, 12.3)113.3
a Assignments were based on COSY, HSQC, and HMBC experiments. b 1H and 13C NMR spectra were acquired at 400 and 100 MHz, respectively.
Disclaimer/Publisher’s Note: The statements, opinions and data contained in all publications are solely those of the individual author(s) and contributor(s) and not of MDPI and/or the editor(s). MDPI and/or the editor(s) disclaim responsibility for any injury to people or property resulting from any ideas, methods, instructions or products referred to in the content.

Share and Cite

MDPI and ACS Style

Le, M.T.T.; Vu, Q.H.; Mai, V.-H.; Ponce-Zea, J.E.; Choi, S.; An, J.-P.; Oh, W.-K. Monoterpenoids from the Roots of Liquidambar formosana (Formosan Sweet Gum) Exhibit Senomorphic Activity Against Cellular Senescence. Nutrients 2025, 17, 3321. https://doi.org/10.3390/nu17213321

AMA Style

Le MTT, Vu QH, Mai V-H, Ponce-Zea JE, Choi S, An J-P, Oh W-K. Monoterpenoids from the Roots of Liquidambar formosana (Formosan Sweet Gum) Exhibit Senomorphic Activity Against Cellular Senescence. Nutrients. 2025; 17(21):3321. https://doi.org/10.3390/nu17213321

Chicago/Turabian Style

Le, Minh Thi Tuyet, Quang Huy Vu, Van-Hieu Mai, Jorge Eduardo Ponce-Zea, Seri Choi, Jin-Pyo An, and Won-Keun Oh. 2025. "Monoterpenoids from the Roots of Liquidambar formosana (Formosan Sweet Gum) Exhibit Senomorphic Activity Against Cellular Senescence" Nutrients 17, no. 21: 3321. https://doi.org/10.3390/nu17213321

APA Style

Le, M. T. T., Vu, Q. H., Mai, V.-H., Ponce-Zea, J. E., Choi, S., An, J.-P., & Oh, W.-K. (2025). Monoterpenoids from the Roots of Liquidambar formosana (Formosan Sweet Gum) Exhibit Senomorphic Activity Against Cellular Senescence. Nutrients, 17(21), 3321. https://doi.org/10.3390/nu17213321

Note that from the first issue of 2016, this journal uses article numbers instead of page numbers. See further details here.

Article Metrics

Back to TopTop