Abstract
Background/Objectives: More children and adolescents are adopting vegetarian diets. A balanced diet is particularly important for growth and bone development in children. It is important to clarify whether a vegetarian diet affects these processes. A systematic literature review was conducted to identify studies investigating differences in anthropometric data, nutrient intake, and biomarkers between vegetarian and omnivorous children. Methods: PUBMED, MEDLINE, and Web of Science Core Collections were searched between the end of 2014 and 2023. We included peer-reviewed randomized controlled trials, intervention, or observational studies that were published in English or German and investigated the differences between healthy children and adolescents from high-income countries who consumed either a vegetarian or an omnivorous diet. The review was conducted in accordance with the PRISMA guidelines. If at least five values with the same unit were available from different studies, a cumulative analysis of selected parameters was conducted. Due to the participants’ varying ages across the studies, limited cumulative analyses were conducted additionally by age category. Results: A total of 1681 studies were screened, of which 20 met the inclusion criteria. Significant differences were found in fiber and energy intake from carbohydrates and proteins. The results were strengthened by the restricted cumulative analysis of the 2–10 age category, which also revealed significant differences when comparing VG and OM. Conclusions: A higher intake of fiber, more energy from carbohydrates, and sufficient energy from proteins and less from fat can be regarded as the benefits of a vegetarian diet, according to this review. There are also the first indications of enhanced vitamin C and E, iron, folate, and magnesium intake. These characteristics can be regarded as potential benefits of a vegetarian diet. A lower vitamin B12 and vitamin D intake has been identified as a potential risk factor. Further longitudinal, prospective, observational studies are needed. Prospero registration date and number: 6 March 2023, CRD42023402301.
Keywords:
vegetarian diet; children; adolescents; infants; health; dietary intake; nutritional status 1. Introduction
The number of individuals worldwide who have adopted a vegetarian diet (VG), which excludes meat, fish, and occasionally, also eggs and milk, is increasing [1]. It is challenging to find reliable data on the prevalence. In selected European countries, the prevalence of VGs among adults ranges from 2 to 9% [2,3,4,5,6]. Data from the German Health Interview and Examination Survey for Adults (DEGS1) and the German Health Interview and Examination Survey for Children and Adolescents (KiGGS) show that 4.3% of adult Germans (18–79 years) and 3.4% of children and adolescents (1.5% aged 6–11 years; 5.1% aged 12–17 years) follow a VG diet [6,7]. The association between VG diets and healthier body weights, lower cancer incidence, and reduced cardiovascular disease risk among adults is well-documented [8,9]. A possible risk of a VG diet is the development of nutritional deficiencies, such as vitamin B12 and iron deficiencies, due to a lack of natural sources [10,11,12]. Adequate supplementation is necessary for the benefits to outweigh the risks [13]. Especially, growing children and adolescents have increased energy and nutrient requirements [1,14]. Therefore, they are at a higher risk of inadequate nutrient intake, which is crucial for growth [14]. Some professional societies have published recommendation and statement papers regarding the use of a VG diet [15,16]. A recurring theme in these documents is the potential for nutrient deficiencies, most notably vitamin B12, in infants. They recommend the monitoring of physical development and dietary intake by a pediatrician [17,18]. This prompts the question of whether a diet that reduces or eliminates animal products is appropriate for children and adolescents.
The objective of this systematic review was to reflect on the current state of research on the positive and negative effects of a VG diet compared to an omnivorous (OM) diet in infants, children, and adolescents. Studies from 2014 to 2023 that analyzed the food consumption, energy and nutrient intake, and vitamin and mineral intake of VG and OM children from high-income countries, as well as their health status (e.g., anthropometry, vitamin and mineral status, and biomarkers), were screened.
2. Materials and Methods
2.1. Subsection Reporting and Registration
This systematic review was prepared in accordance with the Preferred Reporting Elements for Systematic Reviews and Meta-Analyses (PRISMA) [19]. The protocol was pre-registered in the International Prospective Register of Systematic Reviews (PROSPERO) [CRD42023402301].
2.2. Information Sources and Search Strategy
The PubMED literature database was searched using the Advanced Search Builder (https://pubmed.ncbi.nlm.nih.gov/advanced/) and MEDLINE was searched using LIVIVO (www.livivo.de). All databases and search engines were last accessed on 1 January 2024. The terms in PUBMED were searched in the entire text (all fields). The search terms used were (vegetarian OR vegetarian* OR vegan OR vegan*) AND (infant OR infant* OR infancy OR child OR child* OR toddler OR toddler* OR teen OR teens OR youth OR youth* OR young people OR adolescent OR adolescent* OR adolescence OR Kid OR kids OR Juvenil OR Juvenil* OR minor OR minor* Or Youngster OR Youngster* OR breastfeeding OR breastfed). All publications from the last ten years (2013–2023) were included. As the last systematic review on this topic included studies up to 6 November 2014, these studies were excluded from this review [1]. In Medline via LIVIVO, the search terms vegetarian AND child were searched in the title and studies from 7 November 2014 to 2023 were included. In Web of Science Core Collections, the keywords vegetarian AND child were searched in the abstract with the above time exclusion. In the next step, the literature lists of the included studies were also searched for additional studies in the specified time interval that we had not previously included.
2.3. Eligibility Criteria and Study Selection
We included randomized controlled trials (RCTs) and intervention or observational studies (cross-sectional or prospective, peer-reviewed) investigating dietary intake, biomarkers, or other health-relevant parameters in VG and OM infants, children, and adolescents (0–18 years) from high-income countries. We also included studies in which the VG group comprises children following a VG or VE diet. Systematic reviews, reviews, position papers, and meta-analyses were excluded. The following criteria also caused an exclusion: unclear definition of VG and VE diets, studies about macrobiotic diet, and studies about exclusively breastfed infants of VG mothers.
2.4. Selection Process and Data Collection
AL and DR reviewed the titles and abstracts of the articles filtered from the databases. The reviewers worked independently and were blinded to each other’s selection process. If the inclusion and exclusion criteria were unclear from the abstract, they searched the full text. In case of ambiguity regarding inclusion or exclusion, consensus was reached. DR extracted the following data from the selected articles: title; author; year of publication and data collection period; objectives of the study; recruitment of study participants; country where the study was conducted; study design; dietary assessment method; participant characteristics (number, sex, age, and type of diet); assessed parameters (energy and nutrient intakes, food group intakes, nutritional status, and biomarkers); main results; and conclusions.
2.5. Study Risk of Bias Assessment
The quality of the studies was assessed on the basis of the validity of the results, the size of the effect, the precision of the estimate, the transferability to other situations, and the applicability of the results [20]. In addition, the Newcastle–Ottawa Scale (NOS) was used to assess the risk of bias for each included study [21] (Table 1; for a comprehensive overview of the quality assessment, please refer to Table S1).
Table 1.
Characteristics and findings of the included studies.
2.6. Statistics
A cumulative analysis was performed for parameters with a minimum of five mean values with the same unit that were available for children in the VG and OM groups. The mean values from the studies were depicted in scatter plots. The cumulative mean value of all studies was indicated by a line with error bars denoting the standard deviation. An unpaired t-test was used to determine statistical significance. The generation of graphs and statistical analysis was facilitated by using GraphPad5 (GraphPad Software, Inc., Boston, MA, USA). Due to the heterogeneous ages of the study participants, we conducted a limited cumulative analysis of stratification by age category. We focused on the 2–10 age group in the cumulative analysis, excluding studies that examined participants of different ages. The majority of the excluded studies focused on adolescents.
3. Results
3.1. Study Selection
In total 96 reports were assessed for eligibility. Thirty-three of these records did not clearly distinguish between VG and OM diets. Thirteen reports did not address children or adolescents, and four reports were not from the relevant time period or not written in English or German. Seventeen reports were not from high-income countries. Two reports were duplicates. Seven previously included reports were subsequently excluded. In six reports, dietary type was only a covariate [42,43,44,45,46,47]. In one report, participants had disease-related risk factors [48]. Twenty articles with fifteen samples fulfilled the search criteria. The result of the data identification, screening, and selection process is shown in Figure 1.
Figure 1.
Prisma diagram inclusion process in the study. ** no automation tool was used.
3.2. Study Characteristics
Of the twenty articles (Table 1), sixteen articles were from Europe, of which nine articles were from Poland [24,25,26,27,28,29,30,34,36] and five articles from Germany [22,23,39,40,41], with the remaining articles from Finland and the Czech Republic [33,38]. Outside of Europe, one article was from the United States [37], one from Australia [32], one from New Zealand [35], and one from Canada [31]. With the exception of one study with a longitudinal cohort design [31], all other studies were cross-sectional. The two German articles by Alexy et al. are subanalyses of the same cohort. This cohort includes a VG, a vegan (VE), and an OM group [22,23]. In their three publications, Weder et al. also used the same cohort, which included a VG, a VE, and an OM group [39,40,41].
The total cohort size (VG and OM) ranged from 40 [37] to 8907 [31]. Two articles included Seventh-Day Adventists in whole or in part [32,37]. A VE group was evaluated separately in eight articles [22,23,30,33,38,39,40,41]. The age range of the articles included infants and children (6 month–3 years) [31,39,40,41], toddlers and children (over 1–10 years) [24,25,26,27,28,29,30,33,36], adolescents [32,35], or infants, children, and adolescents [22,23,34,37,38]. The control groups were either OM children and adolescents [22,23,24,25,26,27,28,29,30,33,34,36,38,39,40,41] or described as “non-VG” [31,32,35,37].
Anthropometric data were reported in 19 articles (17 cohort samples) [22,23,26,27,28,29,30,31,32,33,34,35,36,37,38,39,41,49,50]. Five articles (four cohort samples) from Germany, the USA, and New Zealand reported data on food consumption [23,35,37,39,40], while the two articles with the same cohort reported only differences in estimated breast milk intake [39,40]. An assessment of biomarkers was the subject of 13 studies: carbohydrate–fat metabolism [26,27,28], iron and hemoglobin status [22,24,30,31,33], blood lipids [22,30,31,32,33] markers of bone metabolism [22,25,27,29,30,31,33], and various vitamins, especially vitamin B12 status [22,30,33,38], were examined. A single article discusses differences in the biomarkers of oxidative/antioxidative stress [36]. Some form of energy or nutrient intake [22,23,24,26,27,28,29,30,33,35,36,37,39,40], vitamins [22,24,25,27,28,29,30,33,36,37,40], and/or minerals [22,24,25,27,28,29,30,33,37,40] was analyzed in 15 articles (13 cohort samples) (Table 1).
All of the 20 articles used dietary assessments, either dietary recalls weighted [22,23,38,39,40,41], estimated [24,25,26,27,28,29,30,33,36], repeated 24-h dietary recalls [35], food frequency questionnaires [50,51,52], or other standardized questionnaires, such as the Nutrition and Health Questionnaire and NutriSTEP [31].
3.3. Summary of Study Results
3.3.1. Anthropometry
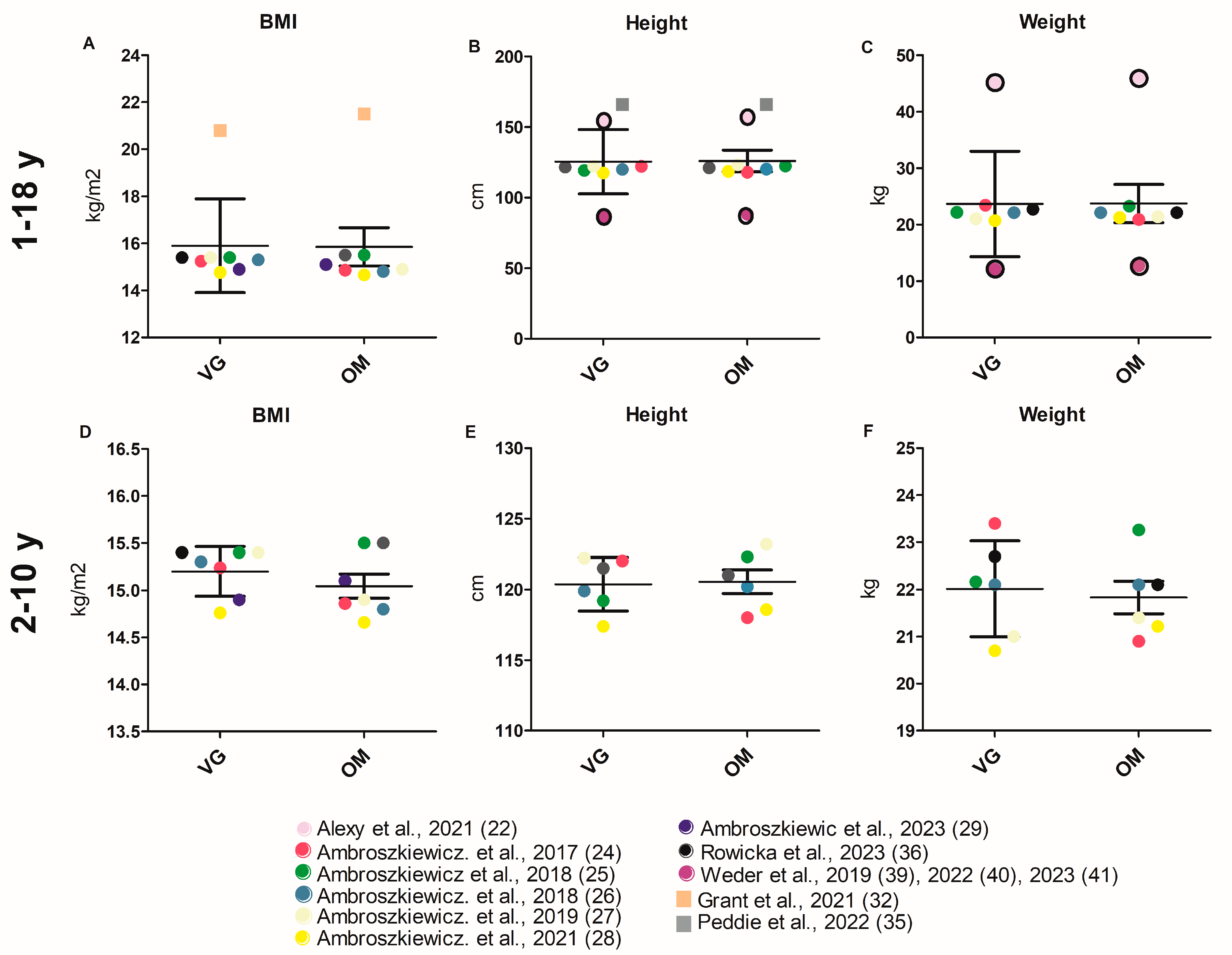
BMI values (reported with varying units) were calculated for 16 study cohorts, three of which showed significantly lower BMI values (Z-score in two studies) in the VG group than in the OM group [34,35,37]. Three of the sixteen study cohorts also reported that VG children were significantly shorter than their peers [30,31,34], including weak evidence in Elliott et al. [31], who also reported a higher chance of underweight for VG. The average BMI (kg/m2), height (cm), and weight (kg) of the VG and OM groups did not differ significantly across all studies (Figure 2A–C). These results are confirmed by the limited cumulative analysis (Figure 2D–F). The values used for the cumulative analysis of the respective parameters, as well as the detailed cumulative analysis itself, can be found in Tables S2 and S3 and for the limited cumulative analysis (Table S4). Ambroszkiewicz et al. found a significantly lower fat mass in VG children than in OM children in three of their study cohorts [26,27,28]. Nieczuja-Dwojacka et al. [34] also determined significant slimmer skin folds (under the shoulder, on the abdomen, and on the arm) in VG children (Table 1).
Figure 2.
Anthropometric data of VG and OM children. Each data point corresponds to the mean value published in the indicated publication. (A–C) Studies involving all age groups (1–18 y) are included in the analysis. (D–F) Studies investigating children aged 2–10 years are included in the analysis. Significant difference between VG and OM group within a study are indicated by an asterisk (*) inside the data point. Only p-values of unadjusted datasets were considered. Data points for which no significance values (of unadjusted data) are available are framed in black. Square data points indicate that VEs are included in VG group [22,24,25,26,27,28,29,32,35,36,39,40,41].
3.3.2. Biomarkers
Nutritional Status (Vitamins, Minerals Including Iron)
The investigation of iron status has been the subject of several studies [22,24,30,31,33]. Markers of iron metabolism, such as hemoglobin, ferritin, hepcidin, and soluble transferrin receptor (sTfR), were analyzed. In three of these studies, the VG group had significantly lower ferritin levels (an indicator of the body’s iron stores) than the OM group [22,24,30]. Ambroszkiewcz et al. examined hepcidin and sTfR as novel markers of iron metabolism. They found reduced sTfR levels and increased hepcidin levels in VG children compared with OM children, which may indicate reduced iron reserves in VGs [24] (Table 1). Table S17 provides an overview of the potential differences in selected biomarkers, including ferritin, between children with VG and an OM diet.
Three studies reported significant differences in vitamin B12 status between VG and OM [22,30,38] groups (Table 1 and Table S17 for differences VG and OM). Alexy et al. reported that VG children had lower levels of holotranscobalamin, the metabolically active form of vitamin B12, and higher levels of methylmalonic acid, a marker of vitamin B12 deficiency, than OM children [22]. In contrast to these findings, another study showed that VG children had higher serum vitamin B12 (cyanocobalamin) levels than OM children and found a significant difference between VG, VE, and OM groups [38] (Table 1). Most VG children were vitamin B12-supplemented. Non-supplemented VGs had significantly lower B12 concentrations than OMs in one study [30].
Inflammation Markers
C-reactive protein levels (CRP), which are a marker of inflammation in the body, were significantly reduced in one of the four VG study groups [24]. Data from the studies by Ambroszkiewicz et al. suggest that the VG diet positively affects the adipokine and inflammatory profile due to a higher ratio of anti-inflammatory to pro-inflammatory adipokines and due to reduced serum leptin levels [26,27,28] (Table 1 and Table S17).
Blood Lipids
Five studies analyzed blood lipids associated with cardiovascular risk factors, such as high-density lipoprotein (HDL), low-density lipoprotein (LDL), total cholesterol, and triglycerides [22,30,31,32,33]. A reduction in LDL and total cholesterol levels in VG children was demonstrated in the study by Grant et al., and in another study by Desmond et al., a reduction in HDL cholesterol and an increase in triglyceride levels in VG children were observed (Table 1). When cow’s milk was consumed, VG children had significantly higher levels of lipoprotein cholesterol, low-density lipoprotein cholesterol, and total cholesterol than VG children who did not [31]. See also Table S17 for an overview of potential differences between VG and OM groups.
Bone Metabolism
Significant differences in the markers of bone metabolism were found in two studies by Ambroszkiewicz et al. [25,29]. Markers such as osteoprotegerin, nuclear factor-B ligand, sclerostin, and Dickkopf-related protein 1 were similar between VG and OM children. Two markers, the bone alkaline phosphatase and the C-terminal telopeptide of type I collagen, were found to be significantly higher in VG children than in OM children. These results suggest an increased bone turnover rate in VG children (Table 1).
3.3.3. Energy and Nutrient Intake
The total energy intake of VG and OM children was reported for 12 study cohorts [22,24,26,27,28,29,30,33,35,36,37,39]. The study results and the cumulative analysis (see Supplemental Tables for values of all respective parameters and the analysis itself) demonstrated that there was no significant difference between dietary groups (Table 1, Tables S8 and S9; Figure 3A). A significantly lower protein intake of VGs compared to OMs was observed in five of nine studies [26,27,29,35,40]. In two studies, only a significant difference between the VE, VG, and OM groups was described [22,30]. The mean protein intake was found to be non-significantly different between the VG (60.83 g/d ± 11.45) and the OM groups (48.75 g/d ± 15.18) (Figure 4C, Tables S5 and S6). In contrast to daily protein intake, nine of ten studies [24,25,26,27,28,29,35,36,40] and the cumulative analysis showed that the percentage of energy derived from protein was significantly lower in VG children (12.16% ± 1.16 vs. 14.53% ± 1.19; p = 0.0003) (Table 1, Tables S8 and S9; Figure 3C).
Figure 3.
(A–H) Selected energy from nutrients of children with VG and OM diet. Each data point corresponds to the mean value published in the indicated publication. (A–D) Studies involving all age groups (1–18 y) are included in the analysis. (E–H) Studies investigating children aged 2–10 years are included in the analysis. Significant difference between VG and OM group within a study are indicated by an asterisk (*) inside the data point. Only p-values of unadjusted datasets were considered. Data points for which no significance values (of unadjusted data) are available are framed in black. Square data points indicate that VEs are included in VG group [22,24,25,26,27,28,29,30,33,35,36,37,40].
Figure 4.
(A–H) Intake of selected nutrients of children with VG and OM diet. Each data point corresponds to the mean value published in the indicated publication. (A–D) Studies involving all age groups (1–18 y) are included in the analysis. (E–H) Studies investigating children aged 2–10 years are included in the analysis. Significant difference between VG and OM group within a study are indicated by an asterisk (*) inside the data point. Only p-values of unadjusted datasets were considered. Data points for which no significance values (of unadjusted data) are available are framed in black. Square data points indicate that VEs are included in VG group [24,26,27,28,29,30,33,35,36,37].
In one of four study cohorts [37], total fat intake was reported to be significantly lower in VG children and a reduced energy intake derived from fat was shown in another study [27]. A cumulative analysis of fat intake (61.31 g/d ± 11.25 vs. 68.22 g/d ± 9.71) and of energy derived from fat (32.14% ± 2.57 vs. 33.61 ± 1.86) also revealed no significant differences between groups (Figure 3D and Figure 4D; Tables S5, S6, S8 and S9). Two studies reported the cholesterol intake [33,40]. In both studies, VG had lower cholesterol intake than OM. In one study, this difference was significant [33]. The consumption of carbohydrate only differed significantly between VG and OM children in one of the five study cohorts [37]. Seven of the ten studies found that VG children had a significantly higher energy intake from carbohydrates (Table 1, Tables S8 and S9). In the study by Alexy et al., 2021, the significant discrepancy refers to all analyzed dietary groups, VE, VG, and OM [22]. The cumulative analysis did also not reveal any significant differences in daily carbohydrate intake (236.1 g/d ± 23,89 vs. 222.5 g/d ±15.76), but the analysis elicited a significant higher percentage amount of energy from carbohydrates in the VG group (54.57% ± 4.107 vs. 51.11% ± 2.215; p = 0.0307) (Figure 3B and Figure 4B; Tables S5, S6, S8 and S9). In contrast to protein, carbohydrates, and fat intake, fiber intake showed an obvious difference. Ten studies [22,26,27,29,30,33,35,36,37,39] and the cumulative analysis demonstrated that VG children (22.20 g/d ± 4.48) consumed significantly (p = 0.01) more fiber than OM children (16.67 g/d ± 3.48) (Table 1, Tables S5 and S6; Figure 4A). The results for energy from protein and carbohydrates were confirmed in the limited cumulative analysis, and there was also a significant difference in energy from fat and total energy intake (Figure 3E–H; Table S10). The significant difference in fiber intake was confirmed in the limited analysis. There was also a significant difference in fat and protein intake in the limited cumulative analysis, but only five or three studies were included (Table S7).
3.3.4. Intake of Micronutrients
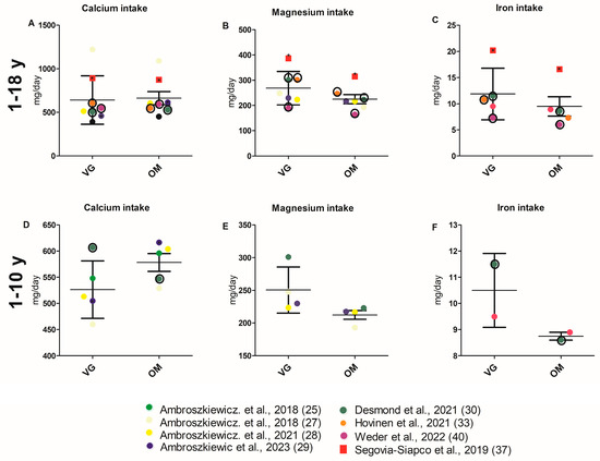
Nine studies [22,25,27,28,29,30,33,37,40] reported calcium intake (Table 1). A significant decrease in calcium intake was observed in the VG group compared to the OM group in one study [29]. VG diet was found to have significantly higher calcium intake compared to OM in another study [37]. Additionally, Desmond et al. reported a significant difference between the VE, VG, and OM groups, whereby calcium intake was increased in VGs in comparison to OMs [30]. Eight studies reported magnesium intake [22,27,28,29,30,33,37,40]. Studies by Segovia-Siapco et al., Hovinen et al., and Weder et al. reported a significant increase in magnesium intake for VGs compared to OMs [33,37,40]. In another study [30], a significant difference was observed between the VE, VG, and OM groups, with higher magnesium intake reported for VEs and VGs. A significantly higher iron intake in VGs was observed in four of six study cohorts [22,24,30,33,37,40]. The mean daily intake of calcium, magnesium, and iron in milligrams did not differ significantly between VG and OM children across all studies reporting data on these nutrients (Figure 5A–C; Tables S11 and S12 for values of all respective parameters and the analysis itself). Furthermore, for the minerals manganese and potassium, a higher intake in VGs was shown in the study of Ambroszkiewicz et al. [28] and Segovia et al. [37], respectively. A reduced zinc intake in VGs compared to OMs was found in one study, while Hovinen et al. reported a higher zinc intake in VGs compared to OMs [33,37].
Figure 5.
(A–F) Intake of selected minerals of children with VG and OM diet. Each data point corresponds to the mean value published in the indicated publication. (A–C) Studies involving all age groups (1–18 y) are included in the analysis. (D–F) Studies investigating children aged 2–10 years are included in the analysis. Significant difference between VG and OM group within a study are indicated by an asterisk (*) inside the data point. Only p-values of unadjusted datasets were considered. Data points for which no significance values (of unadjusted data) are available are framed in black. Square data points indicate that VEs are included in VG group [25,27,28,29,30,33,37,40].
3.3.5. Intake of Vitamins
Vitamin C and vitamin E intake tend to be higher in VG children than in children with an OM diet. A total of eight studies reported on the intake of vitamin C [22,24,28,30,33,36,37,40]. Three of these studies reported significantly higher vitamin C intake in VGs compared to OMs [24,28,37]. One study demonstrated a significantly higher vitamin E intake in VGs than in OMs [37].
Conversely, vitamin B12 and vitamin D intake tend to be lower in the VG group than in the OM group. Significantly lower vitamin B12 intake was reported for VGs in four [22,25,28,36] out of ten study cohorts [22,25,27,28,29,30,33,36,37,40]. Significantly lower vitamin D intake for VGs was observed in one study [29], and a further study reported about a significant difference in vitamin B12 and D intake between OM, VE, and VG groups without supplementation, with lower values in VG and VE [30]. Cumulative analysis further revealed no significant difference in the intake of vitamins B12, C, D, and E between VG and OM children (Figure 5A–D and Tables S14 and S15 for values of all respective parameters and the analysis itself). These results are only confirmed for vitamins C, D, and E by the limited cumulative analysis (age group 2–10) (Figure 6E–H and Table S16).
Figure 6.
(A–H) Intake of selected vitamins of children with VG and OM diet. Each data point corresponds to the mean value published in the indicated publication. (A–D) Studies involving all age groups (1–18 y) are included in the analysis. (E–H) Studies investigating children aged 2–10 years are included in the analysis. Significant difference between VG and OM group within a study are indicated by an asterisk (*) inside the data point. Only p-values of unadjusted datasets were considered. Data points for which no significance values (of unadjusted data) are available are framed in black. Square data points indicate that VEs are included in VG group [24,25,27,28,30,33,36,37,40].
3.3.6. Food Groups
Alexy et al. [23], Segovia et al. [37], and Peddie et al. [35] reported on food group consumption in VG and OM children using different measurement methods (e.g., grams/MJ; the average daily nutrient intake; and percentage of OM and VG consumers). The study cohort of Segovia-Siapco et al. observed a significantly higher consumption of vegetables and fruits by VGs [37]. Cereals, cereal products, and carbohydrate-rich foods were consumed more frequently by VGs than by OMs [23,37]. Milk or dairy products were consumed significantly less by VGs than by OMs in two studies [23,37]. Sugar-sweetened beverages were consumed significantly more often by OMs than by VGs [37]. A significantly higher percentage of VGs consumed legumes, nuts, and meat alternatives than OMs did [35,37] (Table 1).
4. Discussion
4.1. Anthropometry
A balanced and adequate diet is essential for growth and bone development. The data on BMI, height, and weight found here show no significant differences between children who eat a VG diet and those who do not. The results were strengthened by the restricted cumulative analysis of the 2–10 age category. However, significant differences in BMI were mostly found in cohorts that included children over the age of 10 [35,37]. One of the cohorts in these studies that reported significant differences in BMI only included girls [35]. Of the three studies that reported significant size differences, one found VGs to be underweight [31]. Of the three studies that reported significant BMI differences, the VG children were slimmer [34,35,37]. However, the cumulative analyses in this review showed that the BMIs of VG and OM were not significantly different. Elevated BMI and excess body fat are both associated with an increased risk of metabolic disease in children and adolescents [49]. Therefore, a more favorable BMI and lower fat mass are preferable. Regarding height, the significantly smaller height of VGs compared to OMs in one study was within height norms [34]. Cumulative analysis showed that differences in height among the other studies were not significant. It remains unclear whether any height differences persist into adulthood. Reduced energy intake, or a combination of energy and nutrient deficiencies, has been discussed as a cause of height differences between children and adolescents on VG or VE diets and children and adolescents on OM diets [14,50]. The consumption of cow’s milk [51] and the consumption of animal protein compared to vegetable protein have also been cited as causes of height differences [53]. However, animal protein is often ingested through milk. It has been discussed that milk may influence growth not only through its nutrient content but also through its IGF1 content. The influence of IGF1 from animal and plant proteins on growth has not been conclusively clarified [54]. The final question is whether a maximum height is actually healthy or what normal healthy growth actually means [52].
4.2. Nutrient Intake and Biomarker
4.2.1. Health Risk Markers (Inflammation Markers, Bone Markers)
In adults, a VG or VE diet leads to a better ratio of anti-inflammatory to pro-inflammatory markers and a lower risk of atherosclerotic burden and cardiovascular disease [55,56,57]. Atherosclerotic vascular changes begin in childhood [58]. Bone health in terms of bone density is considered critical, especially in VEs [59]. One reason could be the lower BMI, especially in VEs, which has a negative effect on bone density [60]. Elevated Alkaline Phosphatase (ALP) levels have been reported as a possible cause of increased bone turnover in adults with VG and VE [61]. One study included in our review also confirms that VGs have an increased BALP level compared to OMs [25].
4.2.2. Energy and Nutrient Intake
The review shows that there is no significant difference in daily calorie intake between OM and VG children. This result was not supported by the restricted cumulative analysis of the 2–10 age category. It is possible that underlying factors are associated with age-specific variations in total energy intake. There appears to be little difference in their nutrient intake. Due to the small number of studies, the significantly different protein and fat intake identified in the limited analysis should be interpreted with caution. One exception is fiber. Here, it can be seen that VG children consume larger quantities. Additionally, it appears that VG children appear to absorb more energy from carbohydrates than from proteins. Due to their lower protein and fat intake, the carbohydrate intake of VG and especially VE was higher than that of OM. The quality of the carbohydrates was also better due to the lower intake of added/free sugars in the plant-based diets and the higher fiber intake. In adults, an increased intake of carbohydrate and fiber as part of a plant-based, low-fat diet has been shown to improve body weight, body composition, and insulin resistance [62]. Similar effects in children are possible but have not been studied.
4.2.3. Protein Intake and Amino Acid Status
The daily amount of protein intake and the energy derived from protein tended to be higher in OM children. The reference values indicated that the protein intake in VG was sufficient, whereas the OM protein intake clearly exceeded the reference values. However, the quality of the protein (PDCAAS) in VG is controversial due to the pattern of amino acids. The PDCAAS of most plant proteins—such as cereals, legumes, and nuts—is lower than that of animal proteins, except for soy protein. However, Mariotta et al. point out that plant proteins are consumed in combination, which improves the protein quality of plant-based diets [63]. Legumes, nuts, and seeds provide adequate protein and amino acid intake. However, adequate energy intake is a prerequisite [63], which was observed in the studies included in this review. Unfortunately, studies evaluating amino acid intake in VG and VN diets in children are still lacking. In contrast, intakes of other nutrients, especially carbohydrates and their quality, magnesium, vitamin C, vitamin E, and folate were higher in the VG and VE diets.
4.2.4. Fat, Cholesterol Intake, and Status
Some included studies showed a higher fat intake of OM compared to VGs or VEs who had the lowest fat intake. In the limited cumulative analysis, the energy from fat differed significantly. However, the fat quality, i.e., the proportions of saturated and unsaturated fat, is better in VGs and VEs than in OMs, as meat and milk (products) in a mixed diet contribute to the intake of saturated fatty acids [8]. However, fish, as the most important source of preformed long-chain n-3 fatty acids, is lacking in a VE diet. It may also be lacking in a VG diet. In a VG or VE diet, hardly any EPA or DHA is consumed, and the conversion of the n3 fatty acid alpha-linolenic acid is limited [16,64]. Single-cell oil-enriched foods or supplements are also good sources of DHA and EPA in a VG and VE diet [65]. However, it is unclear how often these are used. Studies using the biomarkers of fatty acid status in children on different diets would be important. Two of the included studies showed a higher cholesterol intake in OM diets compared to VG diets. These results are also confirmed in other studies [66]. In only one study in our review was the HDL level significantly lower in VG than in OM [30]. The results for LDL were inconsistent when subgroup analyses were not performed. The results may also depend on whether the VG group consumed milk or not.
4.2.5. Vitamin and Mineral Intake and Status
This review confirms lower intakes of vitamins B12 and D in VGs. Because animal-based foods are the only reliable food source of vitamin B12, this vitamin is of particular interest in the evaluation of plant-based diets in children. As VGs have a lower consumption of animal foods (no meat, fish, less dairy products), vitamin B12 intake is lower in this group, as shown in this review. When assessing B12 intake in studies, it is important to take into account possible supplementation, which is particularly recommended for VEs [67]. Koller et al. found no significant differences in vitamin B12 intake [68]. However, the frequency of supplementation varies between countries, partly due to different healthcare systems and cultural differences. Since vitamin D improves calcium absorption and has other metabolic functions [69], an adequate supply of this vitamin is particularly important in a plant-based diet. This review revealed lower vitamin D intake in VGs in one study, but adequate levels were achieved through supplementation. Studies have shown that vitamin D intake is often too insufficient in children [70] and infants [71], so supplementation is generally recommended regardless of diet.
The vitamin B12 status was significantly lower in VGs and especially VEs than in OMs when not supplemented. Significantly reduced levels of vitamin B12 can lead to developmental delays and neurological deficits, particularly in children and adolescents [67]. It is important to consider whether or not vitamin B12 is being supplemented and, if so, by how much. According to a meta-analysis, vitamin B12 levels are significantly lower in VGs and VEs than in OMs. However, after subgroup analysis, this effect was no longer statistically significant in VGs, although it was in VEs. Those in the VE subgroup are particularly at risk of developing a vitamin B12 deficiency [67].
The mean daily calcium intake in milligrams did not differ significantly between VG and OM children across all studies in this review. As in a recent meta-analysis of adult data, the calcium intake of VEs in this review was the lowest compared to VGs and OMs; however, the differences between VGs and OMs were not significant [72]. Along with protein, calcium is considered an important nutrient for bone health [73]. Adequate calcium intake is particularly important during childhood and adolescence in order to achieve high peak bone mass. Meta-analyses of adults show reduced bone density in VGs and VEs and an increased fracture risk in VEs [59,74]. Comparable studies in children and adolescents are lacking, but differences in bone metabolism biomarkers have been observed (see ‘Health risk markers (inflammatory markers, blood lipids, bone markers’ in this review). Consistent with reviews and meta-analyses of adults [75] and vegan children [68], our review confirmed higher intakes of magnesium, vitamin C, vitamin E, and folate in VGs.
4.2.6. Iron Intake and Status
Iron deficiency has been associated with negative effects on physical and mental development, particularly during childhood and adolescence [24,76]. Serum ferritin levels were significantly lower with VG compared to OM in three studies. An insufficient iron intake in VGs [75] could not be confirmed in our review.
4.3. Food Groups
Food consumption was assessed in only three studies. The lack of data on VG children’s dietary intake is also confirmed by other studies [77]. Children on VG diets consistently consumed higher amounts of food groups considered to be healthy [78,79], such as fruits, whole grains, nuts, and legumes. In contrast, sweets and sweetened beverages were consumed less by VGs, although the reasons for this are unclear. Either there are fewer vegetarian products without gelatine and fewer vegan products without eggs and milk, or the products are too expensive [23]. Alternatively, the improved health awareness of parents and older VG children may influence consumption [80]. It should be noted that a lower consumption of sugar before birth by the mother and afterwards can protect children from chronic diseases, so that a lower sugar consumption by VEs and VGs through fewer sweets or sweetened drinks can only be seen as positive. In three of the four studies, VGs consumed less milk and dairy products than OMs. This is confirmed in adult studies [81]. Milk and dairy products are often replaced by plant-based dairy products in VG diets. However, the nutrient profile differs from that of cow’s milk, and soy products in particular are considered critical due to their isoflavone content [23]. In adults, higher intakes of whole grains, vegetables, and nuts reduce the risk of chronic metabolic diseases [78]. These food groups were consumed more by VGs in our review (see ‘Food groups’ in this review).
4.4. Practical Implications
A physical examination or laboratory analysis of relevant biomarkers can provide valuable information for determining nutritional status and assessing age-appropriate physical development. A personalized nutrition plan that considers a VG or VE diet can help ensure the consumption of all necessary nutrients in the appropriate quantities. Parents may need more information. Pediatricians and general practitioners should offer advice on VG or VE diets for children and adolescents or be available to answer questions. They should also be sufficiently informed on the subject [14]. In Germany, for example, the Gemeinschaftskrankenhaus Herdecke offers a consultation hour for VE or VG children and their parents.
4.5. Limitations
Interpretation of the dietary intake results is limited by the different methods used to record intake and the inconsistent food group definitions. For example, the fruit food group was divided into fresh fruit or 100% fruit juice, canned fruit, and dried fruit [37]. Conversely, fresh, frozen, canned, and dried fruits were grouped together with 100% juices, smoothies, and squeezes [23]. In the review by Schürmann et al., the methods used to record and determine food consumption in the included studies already varied [1].
It is also important to consider that all studies included in the review included a wide range of age groups. For this reason, we performed a limited cumulative analysis, which allowed us to confirm some results and clarify others. A striking feature of the anthropometric data was the variety of recording methods and assessment measures used, which proved difficult to reconcile. Of the studies included in this systematic review, few had comparative data from the United States. This may be because the potential negative effects of a VG diet among children and young people are not critically examined in the United States [16], where there are generally significantly more vitamin- and mineral-fortified foods on the market than in Germany [82]. Therefore, it may be easier to provide the critical nutrients in these countries.
We found no further categorization of vegetarian diets in many of the included studies. Certainly, depending on the subcategory lacto-ovo, ovo, or pescetarian, the food and nutrient intake may again be different, and we cannot draw further conclusions as we did based on the studies roughly divided into VG and VE diets.
5. Conclusions
Finally, it should be noted that future studies should compare dietary intake and biomarker data with reference ranges to better assess deficiency risks or health outcomes [70]. The study design in almost all studies was cross-sectional, which does not allow conclusions to be drawn over time. Longitudinal, prospective observational studies are needed to strengthen the evidence for the effects of a vegetarian diet on dietary intake, health, and nutritional status in children and adolescents.
Supplementary Materials
The following supporting information can be downloaded at https://www.mdpi.com/article/10.3390/nu17132183/s1. Supplemental Table S1: Assessement of risk of bias and certainity of evidence by using the NOS scale; Supplemental Table S2: Anthropometric data of children with VG and OM diet. Data are taken from the references given. Supplemental Table S3: Supplemental data for Figure 2 (A–C; age group: 1–18 y). Supplemental Table S4: Supplemental data for Figure 2 (D–F; age group: 2–10 y). Supplemental Table S5: Intake of selected nutrients of children with VG and OM diet. Data are taken from the references given. Supplemental Table S6: Supplemental data for Figure 4 (A–D; age group: 1–18 y). Supplemental Table S7: Supplemental data for Figure 4 (E–H; age group: 2–10 y). Supplemental Table S8: Intake of energy of children with VG and OM diet. Data are taken from the references given. Supplemental Table S9: Supplemental data for Figure 3 (A–D; age group: 1–18 y). Supplemental Table S10: Supplemental data for Figure 3 (E–H; age group: 2–10 y). Supplemental Table S11: Intake of selected minerals of children with VG and OM diet. Data are taken from the references given. Supplemental Table S12: Supplemental data for Figure 5 (A–C; age group: 1–18 y). Supplemental Table S13: Supplemental data for Figure 5 (D–F; age group: 2–10 y). Supplemental Table S14: Intake of selected vitamins of children with VG and OM diet. Data are taken from the references given. Supplemental table S15: Supplemental data for Figure 6 (A–D; age group: 1–18 y). Supplemental Table S16: Supplemental data for Figure 6 (E–H; age group: 2–10 y). Supplemental Table S17: Overview of potential differences of selected biomarkers between children with VG and OM diet. Data are taken from the references given. Yellow: No significant difference; red: Significant lower values in VG group compared to OM; green: Significant higher values in VG group compared to OM.
Author Contributions
The authors’ responsibilities were as follows: D.R. researched the literature, screened for relevant articles, and evaluated the quality of the data with A.L. D.R., A.L., M.S., L.N., N.N. and T.J.Z. conceived of the study, contributed to the interpretation of the findings, contributed to writing the final article, and read and approved the final manuscript. The authors confirm that the data supporting the findings of this study are available within the study. Raw data supporting the study findings are available from the corresponding author upon reasonable request. All authors have read and agreed to the published version of the manuscript.
Funding
The Software AG Foundation, based in Darmstadt, Germany, is financially supporting this scientific project.
Data Availability Statement
Detailed analyses can be found in the Supplementary Tables.
Acknowledgments
We would like to thank Ute Alexy for her helpful comments and support. DeepL 24.11.4 (DeepL SE, Cologne, Germany, www.deepl.com) was used for language and grammar checks of selected sentences to refine the writing, with consideration of the authors’ non-native speaker status. The authors have reviewed and edited the output and take full responsibility for the content of this publication.
Conflicts of Interest
The authors declare that they have no competing interests.
Abbreviations
The following abbreviations are used in this manuscript:
| OM | Omnivore, omnivorous |
| RCT | Randomized controlled trial |
| VE | Vegan |
| VG | Vegetarian |
References
- Schürmann, S.; Kersting, M.; Alexy, U. Vegetarian diets in children: A systematic review. Eur. J. Nutr. 2017, 56, 1797–1817. [Google Scholar] [CrossRef] [PubMed]
- FranceAgriMer Etablissement National des Produits de l’agriculture et de la Mer et l’OCHA. Combien de Végétariens en Europe?: Synthèse des Résultats à Partir de l’Étude « Panorama de la Consommation Végétarienne en Europe », Réalisée par le CREDOC pour FranceAgriMer et l’OCHA en 2018. Available online: https://www.franceagrimer.fr/sites/default/files/rdd/documents/11_Synth%C3%A8se%20Panorama%20v%C3%A9g%C3%A9tarisme%20en%20Europe_2.pdf (accessed on 27 May 2025).
- Eurispes. Rapporto Italia 2018. Vegani e Vegetariani Sono il 7% della Popolazione dai 18 Anni in su.—Eurispes. Available online: https://eurispes.eu/news/eurispes-rapporto-italia-2018-vegani-e-vegetariani-sono-il-7-della-popolazione-dai-18-anni-in-su/ (accessed on 15 June 2023).
- Smith, M.; Prescott Smith, S. Meet Britain’s Vegans and Vegetarians. YouGov, 20 January 2022. Available online: https://yougov.co.uk/society/articles/40517-meet-britains-vegans-and-vegetarians?redirect_from=%2Ftopics%2Fsociety%2Farticles-reports%2F2022%2F01%2F20%2Fmeet-britains-vegans-and-vegetarians (accessed on 21 September 2023).
- Leitzmann, C. Vegetarian nutrition: Past, present, future. Am. J. Clin. Nutr. 2014, 100 (Suppl. 1), 496S–502S. [Google Scholar] [CrossRef] [PubMed]
- Mensink, G.B.M.; Barbosa, C.L.; Brettschneider, A.-K. Prevalence of persons following a vegetarian diet in Germany. J. Health Monit. 2016, 1, 2–14. [Google Scholar] [CrossRef] [PubMed]
- Patelakis, E.; Barbosa, C.L.; Haftenberger, M.; Brettschneider, A.-K.; Lehmann, F.; Heide, K.; Frank, M.; Perlitz, H.; Richter, A.; Mensink, G.B.M. Prevalence of vegetarian diet among children and adolescents in Germany: Results from EsKiMo II. Ernährungs Umsch. 2019, 66, 85–91. [Google Scholar]
- Agnoli, C.; Baroni, L.; Bertini, I.; Ciappellano, S.; Fabbri, A.; Goggi, S.; Metro, D.; Papa, M.; Sbarbati, R.; Scarino, M.L.; et al. A comprehensive review of healthy effects of vegetarian diets. Nutr. Metab. Cardiovasc. Dis. 2023, 33, 1308–1315. [Google Scholar] [CrossRef]
- Oussalah, A.; Levy, J.; Berthezène, C.; Alpers, D.H.; Guéant, J.-L. Health outcomes associated with vegetarian diets: An umbrella review of systematic reviews and meta-analyses. Clin. Nutr. 2020, 39, 3283–3307. [Google Scholar] [CrossRef]
- Pawlak, R.; Lester, S.E.; Babatunde, T. The prevalence of cobalamin deficiency among vegetarians assessed by serum vitamin B12: A review of literature. Eur. J. Clin. Nutr. 2014, 68, 541–548. [Google Scholar] [CrossRef]
- Tucker, K.L. Vegetarian diets and bone status. Am. J. Clin. Nutr. 2014, 100 (Suppl. 1), 329S–335S. [Google Scholar] [CrossRef]
- Rosell, M.S.; Lloyd-Wright, Z.; Appleby, P.N.; Sanders, T.A.B.; Allen, N.E.; Key, T.J. Long-chain n-3 polyunsaturated fatty acids in plasma in British meat-eating, vegetarian, and vegan men. Am. J. Clin. Nutr. 2005, 82, 327–334. [Google Scholar] [CrossRef]
- Niklewicz, A.; Hannibal, L.; Warren, M.; Ahmadi, K.R. A systematic review and meta-analysis of functional vitamin B12 status among adult vegans. Nutr. Bull. 2024, 49, 463–479. [Google Scholar] [CrossRef]
- Alexy, U. Diet and growth of vegetarian and vegan children. BMJ Nutr. Prev. Health 2023, 6, s3–s11. [Google Scholar] [CrossRef]
- Agnoli, C.; Baroni, L.; Bertini, I.; Ciappellano, S.; Fabbri, A.; Papa, M.; Pellegrini, N.; Sbarbati, R.; Scarino, M.L.; Siani, V.; et al. Position paper on vegetarian diets from the working group of the Italian Society of Human Nutrition. Nutr. Metab. Cardiovasc. Dis. 2017, 27, 1037–1052. [Google Scholar] [CrossRef] [PubMed]
- Melina, V.; Craig, W.; Levin, S. Position of the Academy of Nutrition and Dietetics: Vegetarian Diets. J. Acad. Nutr. Diet. 2016, 116, 1970–1980. [Google Scholar] [CrossRef] [PubMed]
- Rudloff, S.; Bührer, C.; Jochum, F.; Kauth, T.; Kersting, M.; Körner, A.; Koletzko, B.; Mihatsch, W.; Prell, C.; Reinehr, T.; et al. Vegetarian diets in childhood and adolescence: Position paper of the nutrition committee, German Society for Paediatric and Adolescent Medicine (DGKJ). Mol. Cell. Pediatr. 2019, 6, 4. [Google Scholar] [CrossRef]
- Fewtrell, M.; Bronsky, J.; Campoy, C.; Domellöf, M.; Embleton, N.; Fidler Mis, N.; Hojsak, I.; Hulst, J.M.; Indrio, F.; Lapillonne, A.; et al. Complementary Feeding: A Position Paper by the European Society for Paediatric Gastroenterology, Hepatology, and Nutrition (ESPGHAN) Committee on Nutrition. J. Pediatr. Gastroenterol. Nutr. 2017, 64, 119–132. [Google Scholar] [CrossRef]
- Page, M.J.; McKenzie, J.E.; Bossuyt, P.M.; Boutron, I.; Hoffmann, T.C.; Mulrow, C.D.; Shamseer, L.; Tetzlaff, J.M.; Akl, E.A.; Brennan, S.E.; et al. The PRISMA 2020 statement: An updated guideline for reporting systematic reviews. BMJ 2021, 372, n71. [Google Scholar] [CrossRef]
- Cochrane Deutschland. Literaturbewertung. Available online: https://www.cochrane.de/literaturbewertung#erg (accessed on 27 September 2023).
- Wells, G.; Shea, B.; O’Connell, D.; Peterson, J.; Welch, V.; Losos, M.; Tugwell, P. The Newcastle-Ottawa Scale (NOS) for Assessing the Quality of Nonrandomised Studies in Meta-Analyses. Available online: https://www.ohri.ca/programs/clinical_epidemiology/oxford.asp (accessed on 7 August 2023).
- Alexy, U.; Fischer, M.; Weder, S.; Längler, A.; Michalsen, A.; Sputtek, A.; Keller, M. Nutrient Intake and Status of German Children and Adolescents Consuming Vegetarian, Vegan or Omnivore Diets: Results of the VeChi Youth Study. Nutrients 2021, 13, 1707. [Google Scholar] [CrossRef]
- Alexy, U.; Fischer, M.; Weder, S.; Längler, A.; Michalsen, A.; Keller, M. Food group intake of children and adolescents (6–18 years) on a vegetarian, vegan or omnivore diet: Results of the VeChi Youth Study. Br. J. Nutr. 2022, 128, 851–862. [Google Scholar] [CrossRef]
- Ambroszkiewicz, J.; Klemarczyk, W.; Mazur, J.; Gajewska, J.; Rowicka, G.; Strucińska, M.; Chełchowska, M. Serum Hepcidin and Soluble Transferrin Receptor in the Assessment of Iron Metabolism in Children on a Vegetarian Diet. Biol. Trace Elem. Res. 2017, 180, 182–190. [Google Scholar] [CrossRef]
- Ambroszkiewicz, J.; Chełchowska, M.; Szamotulska, K.; Rowicka, G.; Klemarczyk, W.; Strucińska, M.; Gajewska, J. The Assessment of Bone Regulatory Pathways, Bone Turnover, and Bone Mineral Density in Vegetarian and Omnivorous Children. Nutrients 2018, 10, 183. [Google Scholar] [CrossRef]
- Ambroszkiewicz, J.; Chełchowska, M.; Rowicka, G.; Klemarczyk, W.; Strucińska, M.; Gajewska, J. Anti-Inflammatory and Pro-Inflammatory Adipokine Profiles in Children on Vegetarian and Omnivorous Diets. Nutrients 2018, 10, 1241. [Google Scholar] [CrossRef] [PubMed]
- Ambroszkiewicz, J.; Chełchowska, M.; Szamotulska, K.; Rowicka, G.; Klemarczyk, W.; Strucińska, M.; Gajewska, J. Bone status and adipokine levels in children on vegetarian and omnivorous diets. Clin. Nutr. 2019, 38, 730–737. [Google Scholar] [CrossRef]
- Ambroszkiewicz, J.; Gajewska, J.; Mazur, J.; Klemarczyk, W.; Rowicka, G.; Ołtarzewski, M.; Strucińska, M.; Chełchowska, M. Does a Vegetarian Diet Affect the Levels of Myokine and Adipokine in Prepubertal Children? J. Clin. Med. 2021, 10, 3995. [Google Scholar] [CrossRef] [PubMed]
- Ambroszkiewicz, J.; Gajewska, J.; Mazur, J.; Kusmierska, K.; Klemarczyk, W.; Rowicka, G.; Strucinska, M.; Chelchowska, M. Dietary Intake and Circulating Amino Acid Concentrations in Relation with Bone Metabolism Markers in Children Following Vegetarian and Omnivorous Diets. Nutrients 2023, 15, 1376. [Google Scholar] [CrossRef] [PubMed]
- Desmond, M.A.; Sobiecki, J.G.; Jaworski, M.; Płudowski, P.; Antoniewicz, J.; Shirley, M.K.; Eaton, S.; Książyk, J.; Cortina-Borja, M.; Stavola, B.d.; et al. Growth, body composition, and cardiovascular and nutritional risk of 5- to 10-y-old children consuming vegetarian, vegan, or omnivore diets. Am. J. Clin. Nutr. 2021, 113, 1565–1577. [Google Scholar] [CrossRef]
- Elliott, L.J.; Keown-Stoneman, C.D.G.; Birken, C.S.; Jenkins, D.J.A.; Borkhoff, C.M.; Maguire, J.L. Vegetarian Diet, Growth, and Nutrition in Early Childhood: A Longitudinal Cohort Study. Pediatrics 2022, 149, e2021052598. [Google Scholar] [CrossRef]
- Grant, R.; Pawlak, R.; Vos, P.; Bilgin, A.A.; Berg, J.; Pearce, R.; Morris, M. Cardiovascular Disease Risk Factors Profile Among Australian Vegetarian and Nonvegetarian Teenagers. Am. J. Lifestyle Med. 2021, 15, 313–321. [Google Scholar] [CrossRef]
- Hovinen, T.; Korkalo, L.; Freese, R.; Skaffari, E.; Isohanni, P.; Niemi, M.; Nevalainen, J.; Gylling, H.; Zamboni, N.; Erkkola, M.; et al. Vegan diet in young children remodels metabolism and challenges the statuses of essential nutrients. EMBO Mol. Med. 2021, 13, e13492. [Google Scholar] [CrossRef]
- Nieczuja-Dwojacka, J.; Klemarczyk, W.; Siniarska, A.; Kozieł, S.; Szysz, T. Socio-economic determinants of the somatic development and reaction time of vegetarian and non-vegetarian children. Anthropol. Anz. 2020, 77, 137–146. [Google Scholar] [CrossRef]
- Peddie, M.; Scott, T.; Ranasinghe, C.; Fleming, E.; Webster, K.; Brown, R.; Houghton, L.; Haszard, J. A Sample of Female Adolescent Self-Identified Vegetarians in New Zealand Consume Less Protein and Saturated Fat, but More Fiber than Their Omnivorous Peers. Nutrients 2022, 14, 711. [Google Scholar] [CrossRef]
- Rowicka, G.; Klemarczyk, W.; Ambroszkiewicz, J.; Strucinska, M.; Kawiak-Jawor, E.; Weker, H.; Chelchowska, M. Assessment of Oxidant and Antioxidant Status in Prepubertal Children following Vegetarian and Omnivorous Diets. Antioxidants 2023, 12, 682. [Google Scholar] [CrossRef] [PubMed]
- Segovia-Siapco, G.; Burkholder-Cooley, N.; Haddad Tabrizi, S.; Sabaté, J. Beyond Meat: A Comparison of the Dietary Intakes of Vegetarian and Non-vegetarian Adolescents. Front. Nutr. 2019, 6, 86. [Google Scholar] [CrossRef] [PubMed]
- Světnička, M.; Sigal, A.; Selinger, E.; Heniková, M.; El-Lababidi, E.; Gojda, J. Cross-Sectional Study of the Prevalence of Cobalamin Deficiency and Vitamin B12 Supplementation Habits among Vegetarian and Vegan Children in the Czech Republic. Nutrients 2022, 14, 535. [Google Scholar] [CrossRef] [PubMed]
- Weder, S.; Hoffmann, M.; Becker, K.; Alexy, U.; Keller, M. Energy, Macronutrient Intake, and Anthropometrics of Vegetarian, Vegan, and Omnivorous Children (1–3 Years) in Germany (VeChi Diet Study). Nutrients 2019, 11, 832. [Google Scholar] [CrossRef]
- Weder, S.; Keller, M.; Fischer, M.; Becker, K.; Alexy, U. Intake of micronutrients and fatty acids of vegetarian, vegan, and omnivorous children (1–3 years) in Germany (VeChi Diet Study). Eur. J. Nutr. 2022, 61, 1507–1520. [Google Scholar] [CrossRef]
- Weder, S.; Zerback, E.H.; Wagener, S.M.; Koeder, C.; Fischer, M.; Alexy, U.; Keller, M. How Does Selenium Intake Differ among Children (1–3 Years) on Vegetarian, Vegan, and Omnivorous Diets? Results of the VeChi Diet Study. Nutrients 2023, 15, 34. [Google Scholar] [CrossRef]
- Craig, B.A.; Morton, D.P.; Morey, P.J.; Kent, L.M.; Gane, A.B.; Butler, T.L.; Rankin, P.M.; Price, K.R. The association between self-rated health and social environments, health behaviors and health outcomes: A structural equation analysis. BMC Public Health 2018, 18, 440. [Google Scholar] [CrossRef]
- Wirnitzer, K.C.; Drenowatz, C.; Cocca, A.; Tanous, D.R.; Motevalli, M.; Wirnitzer, G.; Schätzer, M.; Ruedl, G.; Kirschner, W. Health Behaviors of Austrian Secondary Level Pupils at a Glance: First Results of the From Science 2 School Study Focusing on Sports Linked to Mixed, Vegetarian, and Vegan Diets. Int. J. Environ. Res. Public Health 2021, 18, 12782. [Google Scholar] [CrossRef]
- Kostecka, M.; Kostecka, J.; Jackowska, I.; Iłowiecka, K. Parental Nutritional Knowledge and Type of Diet as the Key Factors Influencing the Safety of Vegetarian Diets for Children Aged 12–36 Months. Nutrients 2023, 15, 2244. [Google Scholar] [CrossRef]
- Latimer, K.R.; Peddie, M.C.; Scott, T.; Haszard, J.J. Rationalisation of meat consumption in New Zealand adolescents. Public Health Nutr. 2022, 25, 904–912. [Google Scholar] [CrossRef]
- Lemke, N.; Murawski, A.; Schmied-Tobies, M.I.H.; Rucic, E.; Hoppe, H.-W.; Conrad, A.; Kolossa-Gehring, M. Glyphosate and aminomethylphosphonic acid (AMPA) in urine of children and adolescents in Germany—Human biomonitoring results of the German Environmental Survey 2014–2017 (GerES V). Environ. Int. 2021, 156, 106769. [Google Scholar] [CrossRef] [PubMed]
- Segovia-Siapco, G.; Khayef, G.; Pribis, P.; Oda, K.; Haddad, E.; Sabaté, J. Animal Protein Intake Is Associated with General Adiposity in Adolescents: The Teen Food and Development Study. Nutrients 2019, 12, 110. [Google Scholar] [CrossRef] [PubMed]
- Macknin, M.; Kong, T.; Weier, A.; Worley, S.; Tang, A.S.; Alkhouri, N.; Golubic, M. Plant-based, no-added-fat or American Heart Association diets: Impact on cardiovascular risk in obese children with hypercholesterolemia and their parents. J. Pediatr. 2015, 166, 953–959. [Google Scholar] [CrossRef] [PubMed]
- Schipper, M.C.; Blaauwendraad, S.M.; Koletzko, B.; Oei, E.H.G.; Jaddoe, V.W.V.; Gaillard, R. Associations of childhood BMI, general and visceral fat mass with metabolite profiles at school-age. Int. J. Obes. 2024, 48, 1307–1317. [Google Scholar] [CrossRef]
- Sutter, D.O.; Bender, N. Nutrient status and growth in vegan children. Nutr. Res. 2021, 91, 13–25. [Google Scholar] [CrossRef]
- Hoppe, C.; Mølgaard, C.; Michaelsen, K.F. Cow′s milk and linear growth in industrialized and developing countries. Annu. Rev. Nutr. 2006, 26, 131–173. [Google Scholar] [CrossRef]
- Thompson, A.L. What is normal, healthy growth? Global health, human biology, and parental perspectives. Am. J. Hum. Biol. 2021, 33, e23597. [Google Scholar] [CrossRef]
- Hua, Y.; Remer, T. Adult Stature and Protein Intake During Childhood and Adolescence From 3 Years Onward. J. Clin. Endocrinol. Metab. 2022, 107, e2833–e2842. [Google Scholar] [CrossRef]
- Grenov, B.; Larnkjær, A.; Ritz, C.; Michaelsen, K.F.; Damsgaard, C.T.; Mølgaard, C. The effect of milk and rapeseed protein on growth factors in 7–8 year-old healthy children—A randomized controlled trial. Growth Horm. IGF Res. 2021, 60–61, 101418. [Google Scholar] [CrossRef]
- Koch, C.A.; Kjeldsen, E.W.; Frikke-Schmidt, R. Vegetarian or vegan diets and blood lipids: A meta-analysis of randomized trials. Eur. Heart J. 2023, 44, 2609–2622. [Google Scholar] [CrossRef]
- Eichelmann, F.; Schwingshackl, L.; Fedirko, V.; Aleksandrova, K. Effect of plant-based diets on obesity-related inflammatory profiles: A systematic review and meta-analysis of intervention trials. Obes. Rev. 2016, 17, 1067–1079. [Google Scholar] [CrossRef] [PubMed]
- Satija, A.; Hu, F.B. Plant-based diets and cardiovascular health. Trends Cardiovasc. Med. 2018, 28, 437–441. [Google Scholar] [CrossRef] [PubMed]
- Schwab, K.O.; Doerfer, J. Atherosklerose im Kindesalter. In Pädiatrische Fettstoffwechselstörungen und Atheroskleroserisiko—Kompakt; Schwab, K.O., Doerfer, J., Eds.; Springer: Berlin/Heidelberg, Germany, 2022; pp. 23–41. ISBN 978-3-662-63319-9. [Google Scholar]
- Selinger, E.; Neuenschwander, M.; Koller, A.; Gojda, J.; Kühn, T.; Schwingshackl, L.; Barbaresko, J.; Schlesinger, S. Evidence of a vegan diet for health benefits and risks—An umbrella review of meta-analyses of observational and clinical studies. Crit. Rev. Food Sci. Nutr. 2023, 63, 9926–9936. [Google Scholar] [CrossRef] [PubMed]
- Chiu, C.-T.; Lee, J.-I.; Lu, C.-C.; Huang, S.-P.; Chen, S.-C.; Geng, J.-H. The association between body mass index and osteoporosis in a Taiwanese population: A cross-sectional and longitudinal study. Sci. Rep. 2024, 14, 8509. [Google Scholar] [CrossRef]
- Tong, T.Y.N.; Perez-Cornago, A.; Bradbury, K.E.; Key, T.J. Biomarker Concentrations in White and British Indian Vegetarians and Nonvegetarians in the UK Biobank. J. Nutr. 2021, 151, 3168–3179. [Google Scholar] [CrossRef]
- Tran, E.; Dale, H.F.; Jensen, C.; Lied, G.A. Effects of Plant-Based Diets on Weight Status: A Systematic Review. Diabetes Metab. Syndr. Obes. 2020, 13, 3433–3448. [Google Scholar] [CrossRef]
- Mariotti, F.; Gardner, C.D. Dietary Protein and Amino Acids in Vegetarian Diets—A Review. Nutrients 2019, 11, 2661. [Google Scholar] [CrossRef]
- Harris, W.S. Achieving optimal n-3 fatty acid status: The vegetarian’s challenge or not. Am. J. Clin. Nutr. 2014, 100 (Suppl. 1), 449S–452S. [Google Scholar] [CrossRef]
- Lane, K.E.; Wilson, M.; Hellon, T.G.; Davies, I.G. Bioavailability and conversion of plant based sources of omega-3 fatty acids—A scoping review to update supplementation options for vegetarians and vegans. Crit. Rev. Food Sci. Nutr. 2022, 62, 4982–4997. [Google Scholar] [CrossRef]
- Lütjohann, D.; Meyer, S.; von Bergmann, K.; Stellaard, F. Cholesterol Absorption and Synthesis in Vegetarians and Omnivores. Mol. Nutr. Food Res. 2018, 62, e1700689. [Google Scholar] [CrossRef]
- Jensen, C.F. Vitamin B12 levels in children and adolescents on plant-based diets: A systematic review and meta-analysis. Nutr. Rev. 2023, 81, 951–966. [Google Scholar] [CrossRef] [PubMed]
- Koller, A.; Rohrmann, S.; Wakolbinger, M.; Gojda, J.; Selinger, E.; Cahova, M.; Světnička, M.; Haider, S.; Schlesinger, S.; Kühn, T.; et al. Health aspects of vegan diets among children and adolescents: A systematic review and meta-analyses. Crit. Rev. Food Sci. Nutr. 2024, 64, 13247–13258. [Google Scholar] [CrossRef] [PubMed]
- Christakos, S.; Dhawan, P.; Porta, A.; Mady, L.J.; Seth, T. Vitamin D and intestinal calcium absorption. Mol. Cell Endocrinol. 2011, 347, 25–29. [Google Scholar] [CrossRef] [PubMed]
- Kotnik, K.Z.; Seljak, B.K.; Gregorič, M.; Jurak, G.; Golja, P. Questionable advisability of vitamin and mineral dietary supplement use in adolescents. BMC Nutr. 2023, 9, 110. [Google Scholar] [CrossRef]
- Burgard, L.; Spiegler, C.; Jansen, S.; Brettschneider, A.-K.; Straßburg, A.; Alexy, U.; Storcksdieck Genannt Bonsmann, S.; Ensenauer, R.; Heuer, T. Critical vitamin D and iron intakes in infants aged 6–11 months: Results from the nationwide German KiESEL study. Front. Nutr. 2025, 12, 1472685. [Google Scholar] [CrossRef]
- Bickelmann, F.V.; Leitzmann, M.F.; Keller, M.; Baurecht, H.; Jochem, C. Calcium intake in vegan and vegetarian diets: A systematic review and Meta-analysis. Crit. Rev. Food Sci. Nutr. 2023, 63, 10659–10677. [Google Scholar] [CrossRef]
- Proia, P.; Amato, A.; Drid, P.; Korovljev, D.; Vasto, S.; Baldassano, S. The Impact of Diet and Physical Activity on Bone Health in Children and Adolescents. Front. Endocrinol. 2021, 12, 704647. [Google Scholar] [CrossRef]
- Iguacel, I.; Miguel-Berges, M.L.; Gómez-Bruton, A.; Moreno, L.A.; Julián, C. Veganism, vegetarianism, bone mineral density, and fracture risk: A systematic review and meta-analysis. Nutr. Rev. 2019, 77, 1–18. [Google Scholar] [CrossRef]
- Neufingerl, N.; Eilander, A. Nutrient Intake and Status in Adults Consuming Plant-Based Diets Compared to Meat-Eaters: A Systematic Review. Nutrients 2021, 14, 29. [Google Scholar] [CrossRef]
- Moscheo, C.; Licciardello, M.; Samperi, P.; La Spina, M.; Di Cataldo, A.; Russo, G. New Insights into Iron Deficiency Anemia in Children: A Practical Review. Metabolites 2022, 12, 289. [Google Scholar] [CrossRef]
- Hansch, L.; Fischer, M.; Längler, A.; Michalsen, A.; Weder, S.; Keller, M.; Alexy, U.; Perrar, I. Dietary patterns among children and adolescents in Germany consuming vegetarian, vegan or omnivore diets: Results of the VeChi Youth Study. Eur. J. Nutr. 2024, 63, 3161–3174. [Google Scholar] [CrossRef] [PubMed]
- Schwingshackl, L.; Hoffmann, G.; Iqbal, K.; Schwedhelm, C.; Boeing, H. Food groups and intermediate disease markers: A systematic review and network meta-analysis of randomized trials. Am. J. Clin. Nutr. 2018, 108, 576–586. [Google Scholar] [CrossRef] [PubMed]
- Marshall, S.; Petocz, P.; Duve, E.; Abbott, K.; Cassettari, T.; Blumfield, M.; Fayet-Moore, F. The Effect of Replacing Refined Grains with Whole Grains on Cardiovascular Risk Factors: A Systematic Review and Meta-Analysis of Randomized Controlled Trials with GRADE Clinical Recommendation. J. Acad. Nutr. Diet. 2020, 120, 1859–1883.e31. [Google Scholar] [CrossRef] [PubMed]
- Storz, M.A.; Müller, A.; Lombardo, M. Diet and Consumer Behavior in U.S. Vegetarians: A National Health and Nutrition Examination Survey (NHANES) Data Report. Int. J. Environ. Res. Public Health 2021, 19, 67. [Google Scholar] [CrossRef]
- Orlich, M.J.; Jaceldo-Siegl, K.; Sabaté, J.; Fan, J.; Singh, P.N.; Fraser, G.E. Patterns of food consumption among vegetarians and non-vegetarians. Br. J. Nutr. 2014, 112, 1644–1653. [Google Scholar] [CrossRef]
- Newman, J.C.; Malek, A.M.; Hunt, K.J.; Marriott, B.P. Nutrients in the US Diet: Naturally Occurring or Enriched/Fortified Food and Beverage Sources, Plus Dietary Supplements: NHANES 2009–2012. J. Nutr. 2019, 149, 1404–1412. [Google Scholar] [CrossRef]
Disclaimer/Publisher’s Note: The statements, opinions and data contained in all publications are solely those of the individual author(s) and contributor(s) and not of MDPI and/or the editor(s). MDPI and/or the editor(s) disclaim responsibility for any injury to people or property resulting from any ideas, methods, instructions or products referred to in the content. |
© 2025 by the authors. Licensee MDPI, Basel, Switzerland. This article is an open access article distributed under the terms and conditions of the Creative Commons Attribution (CC BY) license (https://creativecommons.org/licenses/by/4.0/).





