Predictive Feasibility of the Graz Malnutrition Screening, Controlling Nutritional Status Score, Geriatric Nutritional Risk Index, and Prognostic Nutritional Index for Postoperative Long-Term Mortality After Surgically Treated Proximal Femur Fracture
Abstract
1. Introduction
2. Materials and Methods
2.1. Study Design and Population
2.2. Nutritional Screening Tools
2.3. Surgical Treatment
2.4. Statistical Analysis
- ▪
- Categorical variables were presented as counts and percentages, while continuous variables were reported as means with standard deviations or medians with interquartile ranges, depending on normality (assessed using the Shapiro–Wilk test).
- ▪
- Associations between nutritional scores and postoperative mortality were analyzed using the chi-squared test and logistic regression analysis.
- ▪
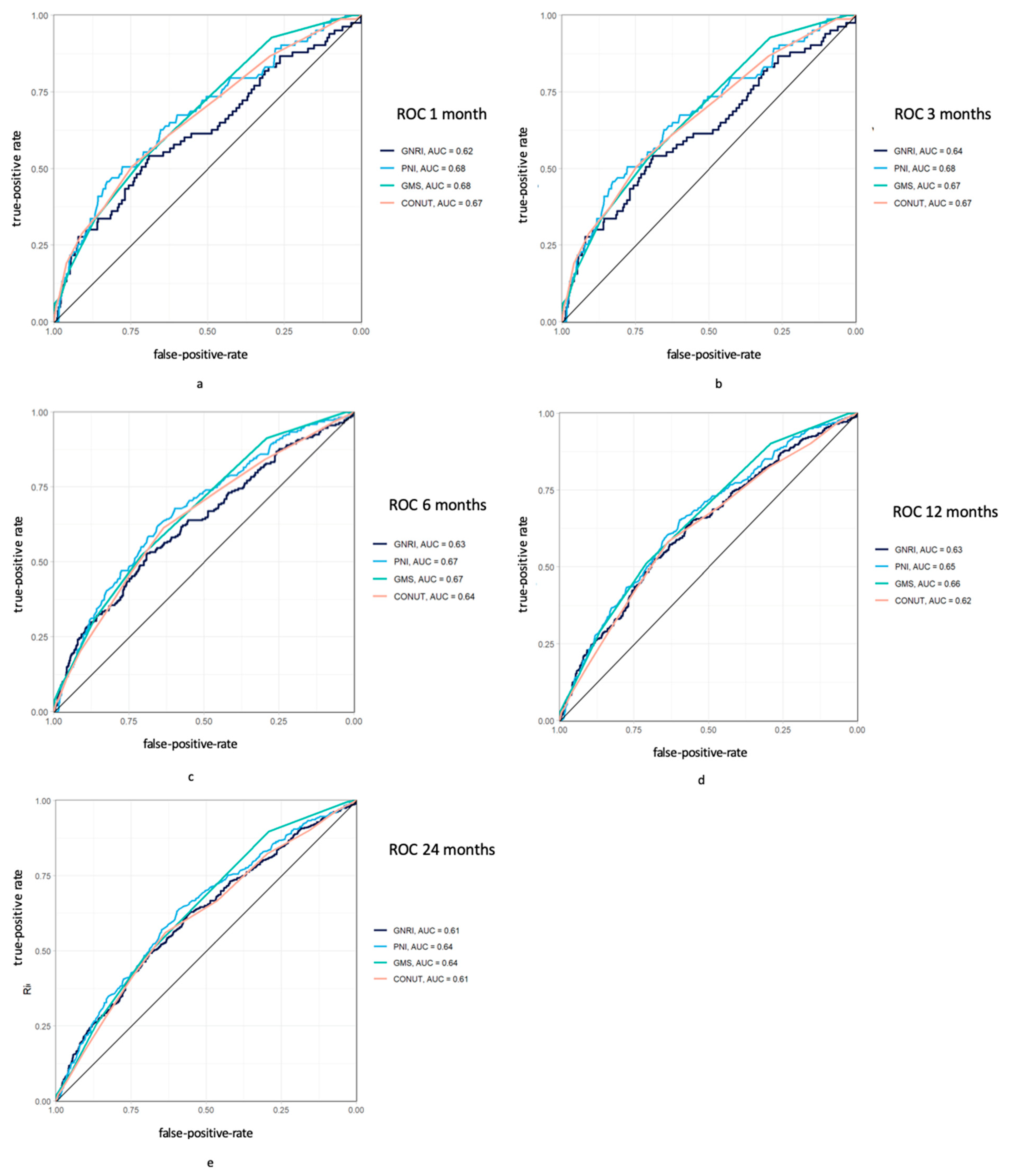
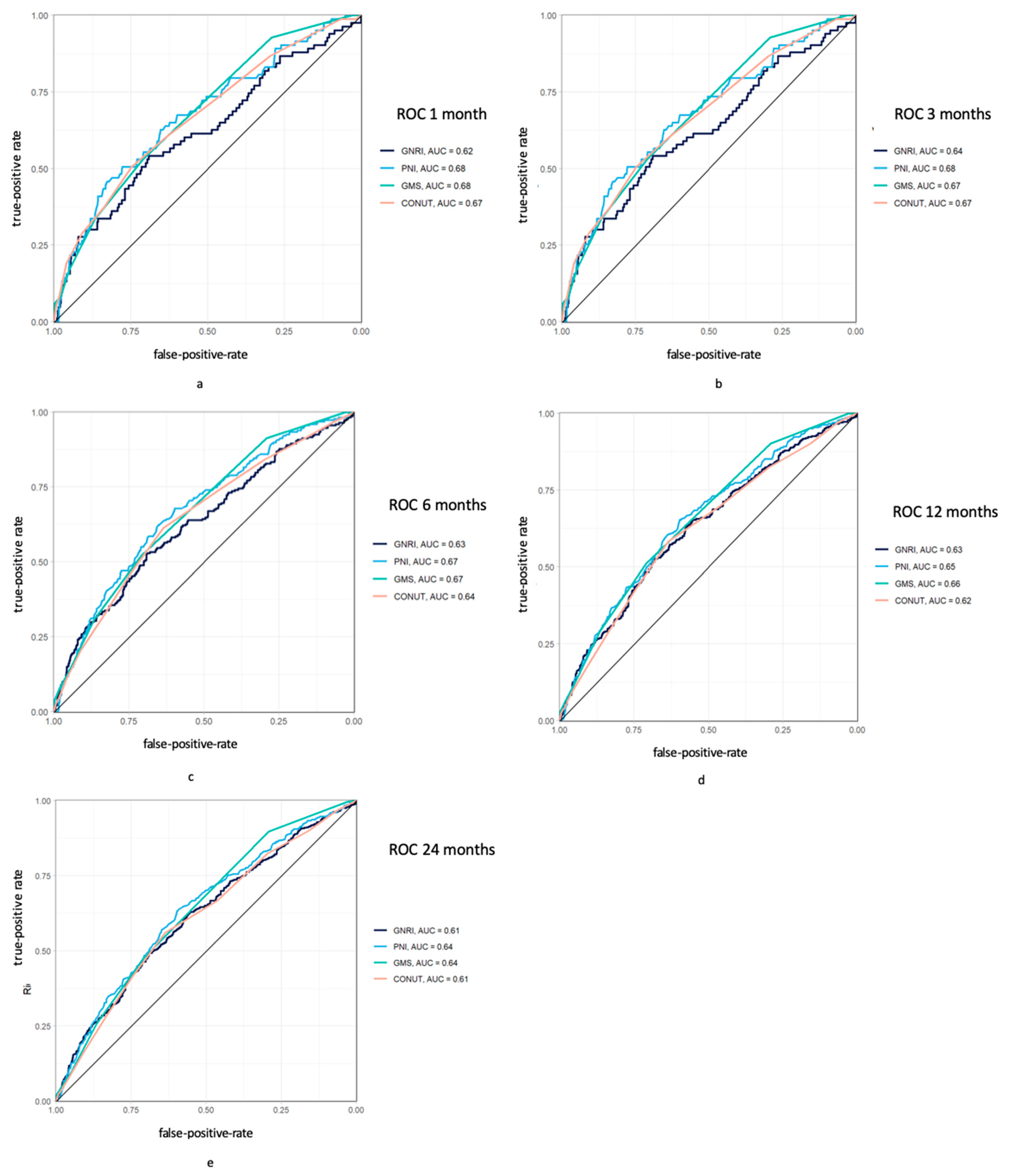
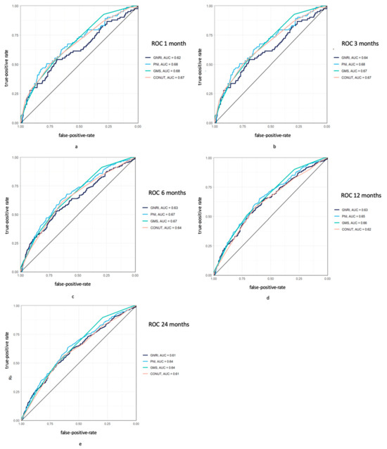
- Receiver operating characteristic (ROC) curves and area under the curve (AUC) were calculated to determine the discriminative ability of each score for predicting mortality at 1, 3, 6, 12, and 24 months. An AUC value of 0.5 served as a threshold for stratifying patients into “deceased” and “alive” groups, with those exceeding a predicted mortality rate of 50% classified as “more likely to die”.
3. Results
3.1. GMS
3.2. CONUT
3.3. PNI
3.4. GNRI
3.5. Predictive Power of Nutritional Scores
4. Discussion
4.1. Nutritional Scores
4.2. GMS
4.3. CONUT
4.4. PNI
4.5. GNRI
5. Conclusions
Limitations
Author Contributions
Funding
Institutional Review Board Statement
Informed Consent Statement
Data Availability Statement
Conflicts of Interest
References
- Kannus, P.; Parkkari, J.; Sievänen, H.; Heinonen, A.; Vuori, I.; Järvinen, M. Epidemiology of hip fractures. Bone 1996, 18, 57s–63s. [Google Scholar] [CrossRef] [PubMed]
- Sambrook, P.; Cooper, C. Osteoporosis. Lancet 2006, 367, 2010–2018. [Google Scholar] [CrossRef] [PubMed]
- Sing, C.W.; Lin, T.C.; Bartholomew, S.; Bell, J.S.; Bennett, C.; Beyene, K.; Bosco-Levy, P.; Bradbury, B.D.; Chan, A.H.Y.; Chandran, M.; et al. Global Epidemiology of Hip Fractures: Secular Trends in Incidence Rate, Post-Fracture Treatment, and All-Cause Mortality. J. Bone Miner. Res. 2023, 38, 1064–1075. [Google Scholar] [CrossRef] [PubMed]
- Johnell, O.; Kanis, J.A. An estimate of the worldwide prevalence and disability associated with osteoporotic fractures. Osteoporos. Int. 2006, 17, 1726–1733. [Google Scholar] [CrossRef] [PubMed]
- Pekonen, S.R.; Kopra, J.; Kröger, H.; Rikkonen, T.; Sund, R. Regional and gender-specific analyses give new perspectives for secular trend in hip fracture incidence. Osteoporos. Int. 2021, 32, 1725–1733. [Google Scholar] [CrossRef]
- Brauer, C.A.; Coca-Perraillon, M.; Cutler, D.M.; Rosen, A.B. Incidence and mortality of hip fractures in the United States. Jama 2009, 302, 1573–1579. [Google Scholar] [CrossRef]
- Katsoulis, M.; Benetou, V.; Karapetyan, T.; Feskanich, D.; Grodstein, F.; Pettersson-Kymmer, U.; Eriksson, S.; Wilsgaard, T.; Jørgensen, L.; Ahmed, L.A.; et al. Excess mortality after hip fracture in elderly persons from Europe and the USA: The CHANCES project. J. Intern. Med. 2017, 281, 300–310. [Google Scholar] [CrossRef]
- Auais, M.; Angermann, H.; Grubb, M.; Thomas, C.; Feng, C.; Chu, C.H. The effectiveness and cost-effectiveness of clinical fracture-risk assessment tools in reducing future osteoporotic fractures among older adults: A structured scoping review. Osteoporos. Int. 2023, 34, 823–840. [Google Scholar] [CrossRef]
- Abrahamsen, B.; van Staa, T.; Ariely, R.; Olson, M.; Cooper, C. Excess mortality following hip fracture: A systematic epidemiological review. Osteoporos. Int. 2009, 20, 1633–1650. [Google Scholar] [CrossRef]
- Salpakoski, A.; Törmäkangas, T.; Edgren, J.; Sihvonen, S.; Pekkonen, M.; Heinonen, A.; Pesola, M.; Kallinen, M.; Rantanen, T.; Sipilä, S. Walking recovery after a hip fracture: A prospective follow-up study among community-dwelling over 60-year old men and women. Biomed. Res. Int. 2014, 2014, 289549. [Google Scholar] [CrossRef]
- Statistik Austria; Bundesanstalt Statistik Österreich. Available online: https://www.statistik.at/web_de/statistiken/menschen_und_gesellschaft/bevoelkerung/gestorbene/index.html (accessed on 22 November 2023).
- Mundi, S.; Pindiprolu, B.; Simunovic, N.; Bhandari, M. Similar mortality rates in hip fracture patients over the past 31 years. Acta Orthop. 2014, 85, 54–59. [Google Scholar] [CrossRef] [PubMed]
- Veronese, N.; Maggi, S. Epidemiology and social costs of hip fracture. Injury 2018, 49, 1458–1460. [Google Scholar] [CrossRef] [PubMed]
- Haleem, S.; Choudri, M.J.; Kainth, G.S.; Parker, M.J. Mortality following hip fracture: Trends and geographical variations over the last SIXTY years. Injury 2023, 54, 620–629. [Google Scholar] [CrossRef]
- Hirsch, K.R.; Wolfe, R.R.; Ferrando, A.A. Pre- and Post-Surgical Nutrition for Preservation of Muscle Mass, Strength, and Functionality Following Orthopedic Surgery. Nutrients 2021, 13, 1675. [Google Scholar] [CrossRef]
- Avenell, A.; Smith, T.O.; Curtain, J.P.; Mak, J.C.; Myint, P.K. Nutritional supplementation for hip fracture aftercare in older people. Cochrane Database Syst. Rev. 2016, 11, Cd001880. [Google Scholar] [CrossRef]
- Franz, K.; Deutschbein, J.; Riedlinger, D.; Pigorsch, M.; Schenk, L.; Lindner, T.; Möckel, M.; Norman, K.; Müller-Werdan, U. Malnutrition is associated with six-month mortality in older patients admitted to the emergency department with hip fracture. Front. Med. 2023, 10, 1173528. [Google Scholar] [CrossRef]
- Xiong, J.; Wang, M.; Zhang, Y.; Nie, L.; He, T.; Wang, Y.; Huang, Y.; Feng, B.; Zhang, J.; Zhao, J. Association of Geriatric Nutritional Risk Index with Mortality in Hemodialysis Patients: A Meta-Analysis of Cohort Studies. Kidney Blood Press. Res. 2018, 43, 1878–1889. [Google Scholar] [CrossRef]
- Norman, K.; Pichard, C.; Lochs, H.; Pirlich, M. Prognostic impact of disease-related malnutrition. Clin. Nutr. 2008, 27, 5–15. [Google Scholar] [CrossRef]
- Schönherr, S.; Halfens, R.J.; Meijers, J.M.; Schols, J.M.; Lohrmann, C. Structural and process indicators of nutritional care: A comparison between Austrian hospitals and nursing homes. Nutrition 2012, 28, 868–873. [Google Scholar] [CrossRef]
- Dubé, M.D.; Rothfusz, C.A.; Emara, A.K.; Hadad, M.; Surace, P.; Krebs, V.E.; Molloy, R.M.; Piuzzi, N.S. Nutritional Assessment and Interventions in Elective Hip and Knee Arthroplasty: A Detailed Review and Guide to Management. Curr. Rev. Musculoskelet. Med. 2022, 15, 311–322. [Google Scholar] [CrossRef]
- Morrison, C.A.; Morrison, M.M. For you were hungry and I gave you food: The prevalence and treatment of malnutrition in patients with acute hip fracture. Nutr. Clin. Pract. 2022, 37, 59–67. [Google Scholar] [CrossRef] [PubMed]
- Soeters, P.B.; Reijven, P.L.; van Bokhorst-de van der Schueren, M.A.; Schols, J.M.; Halfens, R.J.; Meijers, J.M.; van Gemert, W.G. A rational approach to nutritional assessment. Clin. Nutr. 2008, 27, 706–716. [Google Scholar] [CrossRef] [PubMed]
- Roller, R.E.; Eglseer, D.; Eisenberger, A.; Wirnsberger, G.H. The Graz Malnutrition Screening (GMS): A new hospital screening tool for malnutrition. Br. J. Nutr. 2016, 115, 650–657. [Google Scholar] [CrossRef] [PubMed]
- Kotera, A. Geriatric Nutritional Risk Index and Controlling Nutritional Status Score can predict postoperative 180-day mortality in hip fracture surgeries. JA Clin. Rep. 2019, 5, 62. [Google Scholar] [CrossRef] [PubMed]
- Buzby, G.P.; Mullen, J.L.; Matthews, D.C.; Hobbs, C.L.; Rosato, E.F. Prognostic nutritional index in gastrointestinal surgery. Am. J. Surg. 1980, 139, 160–167. [Google Scholar] [CrossRef] [PubMed]
- Ignacio de Ulíbarri, J.; González-Madroño, A.; de Villar, N.G.; González, P.; González, B.; Mancha, A.; Rodríguez, F.; Fernández, G. CONUT: A tool for controlling nutritional status. First validation in a hospital population. Nutr. Hosp. 2005, 20, 38–45. [Google Scholar]
- A Healthy Lifestyle—WHO Recommendations. Available online: https://www.who.int/europe/news-room/fact-sheets/item/a-healthy-lifestyle---who-recommendations (accessed on 21 November 2022).
- Abd Aziz, N.A.S.; Teng, N.; Abdul Hamid, M.R.; Ismail, N.H. Assessing the nutritional status of hospitalized elderly. Clin. Interv. Aging 2017, 12, 1615–1625. [Google Scholar] [CrossRef]
- Dent, E.; Hoogendijk, E.O.; Visvanathan, R.; Wright, O.R.L. Malnutrition Screening and Assessment in Hospitalised Older People: A Review. J. Nutr. Health Aging 2019, 23, 431–441. [Google Scholar] [CrossRef]
- Taberna, D.J.; Navas-Carretero, S.; Martinez, J.A. Current nutritional status assessment tools for metabolic care and clinical nutrition. Curr. Opin. Clin. Nutr. Metab. Care 2019, 22, 323–328. [Google Scholar] [CrossRef]
- Pratt, K.J.; Hernandez, B.; Blancato, R.; Blankenship, J.; Mitchell, K. Impact of an interdisciplinary malnutrition quality improvement project at a large metropolitan hospital. BMJ Open Qual. 2020, 9, e000735. [Google Scholar] [CrossRef]
- Traub, J.; Bergheim, I.; Horvath, A.; Stadlbauer, V. Validation of Malnutrition Screening Tools in Liver Cirrhosis. Nutrients 2020, 12, 1306. [Google Scholar] [CrossRef] [PubMed]
- Dalmiglio, C.; Brilli, L.; Campanile, M.; Ciuoli, C.; Cartocci, A.; Castagna, M.G. CONUT Score: A New Tool for Predicting Prognosis in Patients with Advanced Thyroid Cancer Treated with TKI. Cancers 2022, 14, 724. [Google Scholar] [CrossRef] [PubMed]
- Peng, L.; Meng, C.; Li, J.; You, C.; Du, Y.; Xiong, W.; Xia, Z.; Cao, D.; Li, Y. The prognostic significance of controlling nutritional status (CONUT) score for surgically treated renal cell cancer and upper urinary tract urothelial cancer: A systematic review and meta-analysis. Eur. J. Clin. Nutr. 2022, 76, 801–810. [Google Scholar] [CrossRef] [PubMed]
- Onodera, T.; Goseki, N.; Kosaki, G. Prognostic nutritional index in gastrointestinal surgery of malnourished cancer patients. Nihon Geka Gakkai Zasshi 1984, 85, 1001–1005. [Google Scholar]
- Canbolat, N.; Buyuk, D.; Sulejmani, İ.; Sağlam, Y.; Altun, D.; Durmaz, H.; Buget, M. The Relationship Between Preoperative Prognostic Nutritional Index and Postoperative Mortality in Patients with Hip Fracture. Turk. J. Intensive Care 2022, 20, 62634. [Google Scholar] [CrossRef]
- Feng, L.; Chen, W.; Ping, P.; Ma, T.; Li, Y.; Xu, L.; Feng, Z.; Zhao, Y.; Fu, S. Preoperative malnutrition as an independent risk factor for the postoperative mortality in elderly Chinese individuals undergoing hip surgery: A single-center observational study. Ther. Adv. Chronic Dis. 2022, 13, 20406223221102739. [Google Scholar] [CrossRef]
- He, M.; Fan, Q.; Zhu, Y.; Liu, D.; Liu, X.; Xu, S.; Peng, J.; Zhu, Z. The need for nutritional assessment and interventions based on the prognostic nutritional index for patients with femoral fractures: A retrospective study. Perioper. Med. 2021, 10, 61. [Google Scholar] [CrossRef]
- Shirakabe, A.; Hata, N.; Kobayashi, N.; Okazaki, H.; Matsushita, M.; Shibata, Y.; Nishigoori, S.; Uchiyama, S.; Asai, K.; Shimizu, W. The prognostic impact of malnutrition in patients with severely decompensated acute heart failure, as assessed using the Prognostic Nutritional Index (PNI) and Controlling Nutritional Status (CONUT) score. Heart Vessels 2018, 33, 134–144. [Google Scholar] [CrossRef]
- Hua, X.; Long, Z.Q.; Huang, X.; Deng, J.P.; He, Z.Y.; Guo, L.; Zhang, W.W.; Lin, H.X. The Value of Prognostic Nutritional Index (PNI) in Predicting Survival and Guiding Radiotherapy of Patients With T1-2N1 Breast Cancer. Front. Oncol. 2019, 9, 1562. [Google Scholar] [CrossRef]
- Funahashi, H.; Morita, D.; Iwase, T.; Asamoto, T. Usefulness of nutritional assessment using Geriatric Nutritional Risk Index as an independent predictor of 30-day mortality after hip fracture surgery. Orthop. Traumatol. Surg. Res. 2022, 108, 103327. [Google Scholar] [CrossRef]
- Fujimoto, Y.; Setoguchi, T.; Ishidou, Y.; Taniguchi, N. Low geriatric nutritional risk index is a risk factor for death within 1 year following hip fracture. J. Orthop. Surg. 2022, 30, 10225536221103360. [Google Scholar] [CrossRef]
- Su, W.T.; Wu, S.C.; Huang, C.Y.; Chou, S.E.; Tsai, C.H.; Li, C.; Hsu, S.Y.; Hsieh, C.H. Geriatric Nutritional Risk Index as a Screening Tool to Identify Patients with Malnutrition at a High Risk of In-Hospital Mortality among Elderly Patients with Femoral Fractures-A Retrospective Study in a Level I Trauma Center. Int. J. Environ. Res. Public Health 2020, 17, 8920. [Google Scholar] [CrossRef]


| pOP-Time | Death | Mortality Rate | Death/Month |
|---|---|---|---|
| 1 | 81 | 5.4% | 81 |
| 3 | 165 | 11% | 55 |
| 6 | 225 | 15% | 37.5 |
| 12 | 321 | 21.4% | 26.75 |
| 24 | 473 | 31.5% | 19.7 |
| pOP-Time | RR GMS ≥ 3 | RR CONUT ≥ 5 | RR PNI < 40 | RR GNRI < 92 |
|---|---|---|---|---|
| 1 | 2.35 | 2.25 | 2.41 | 1.96 |
| 3 | 2.24 | 2.34 | 2.44 | 2.05 |
| 6 | 2.18 | 2.03 | 2.19 | 1.82 |
| 12 | 2.00 | 1.69 | 1.98 | 1.80 |
| 24 | 1.68 | 1.46 | 1.74 | 1.58 |
| CONUT Value | n | % |
|---|---|---|
| 0 | 21 | 1.4% |
| 1 | 63 | 4.2% |
| 2 | 124 | 8.3% |
| 3 | 180 | 12% |
| 4 | 244 | 16.3% |
| 5 | 228 | 15.2% |
| 6 | 184 | 12.3% |
| 7 | 157 | 10.5% |
| 8 | 129 | 8.6% |
| 9 | 92 | 6.1% |
| 10 | 44 | 2.9% |
| 11 | 18 | 1.2% |
| 12 | 16 | 1% |
Disclaimer/Publisher’s Note: The statements, opinions and data contained in all publications are solely those of the individual author(s) and contributor(s) and not of MDPI and/or the editor(s). MDPI and/or the editor(s) disclaim responsibility for any injury to people or property resulting from any ideas, methods, instructions or products referred to in the content. |
© 2024 by the authors. Licensee MDPI, Basel, Switzerland. This article is an open access article distributed under the terms and conditions of the Creative Commons Attribution (CC BY) license (https://creativecommons.org/licenses/by/4.0/).
Share and Cite
Popp, D.; Stich-Regner, M.; Schmoelz, L.; Silvaieh, S.; Heisinger, S.; Nia, A. Predictive Feasibility of the Graz Malnutrition Screening, Controlling Nutritional Status Score, Geriatric Nutritional Risk Index, and Prognostic Nutritional Index for Postoperative Long-Term Mortality After Surgically Treated Proximal Femur Fracture. Nutrients 2024, 16, 4280. https://doi.org/10.3390/nu16244280
Popp D, Stich-Regner M, Schmoelz L, Silvaieh S, Heisinger S, Nia A. Predictive Feasibility of the Graz Malnutrition Screening, Controlling Nutritional Status Score, Geriatric Nutritional Risk Index, and Prognostic Nutritional Index for Postoperative Long-Term Mortality After Surgically Treated Proximal Femur Fracture. Nutrients. 2024; 16(24):4280. https://doi.org/10.3390/nu16244280
Chicago/Turabian StylePopp, Domenik, Marie Stich-Regner, Lukas Schmoelz, Sara Silvaieh, Stephan Heisinger, and Arastoo Nia. 2024. "Predictive Feasibility of the Graz Malnutrition Screening, Controlling Nutritional Status Score, Geriatric Nutritional Risk Index, and Prognostic Nutritional Index for Postoperative Long-Term Mortality After Surgically Treated Proximal Femur Fracture" Nutrients 16, no. 24: 4280. https://doi.org/10.3390/nu16244280
APA StylePopp, D., Stich-Regner, M., Schmoelz, L., Silvaieh, S., Heisinger, S., & Nia, A. (2024). Predictive Feasibility of the Graz Malnutrition Screening, Controlling Nutritional Status Score, Geriatric Nutritional Risk Index, and Prognostic Nutritional Index for Postoperative Long-Term Mortality After Surgically Treated Proximal Femur Fracture. Nutrients, 16(24), 4280. https://doi.org/10.3390/nu16244280

