Nutritional Inequality and Co-Morbid Chronic Disease Among Breast Cancer Survivors in China
Abstract
1. Introduction
2. Materials and Methods
2.1. Study Design and Participants
2.2. Dietary Quality
2.3. Nutrition Literacy
2.4. Primary Outcomes
2.5. Statistical Analysis
3. Results
3.1. Characteristics of the Participants
3.2. Nutrition Literacy and Comorbid Chronic Conditions
3.3. Food Intake and Diet Quality According to Nutrition Literacy Levels
3.4. Dietary Quality and Comorbid Chronic Disease
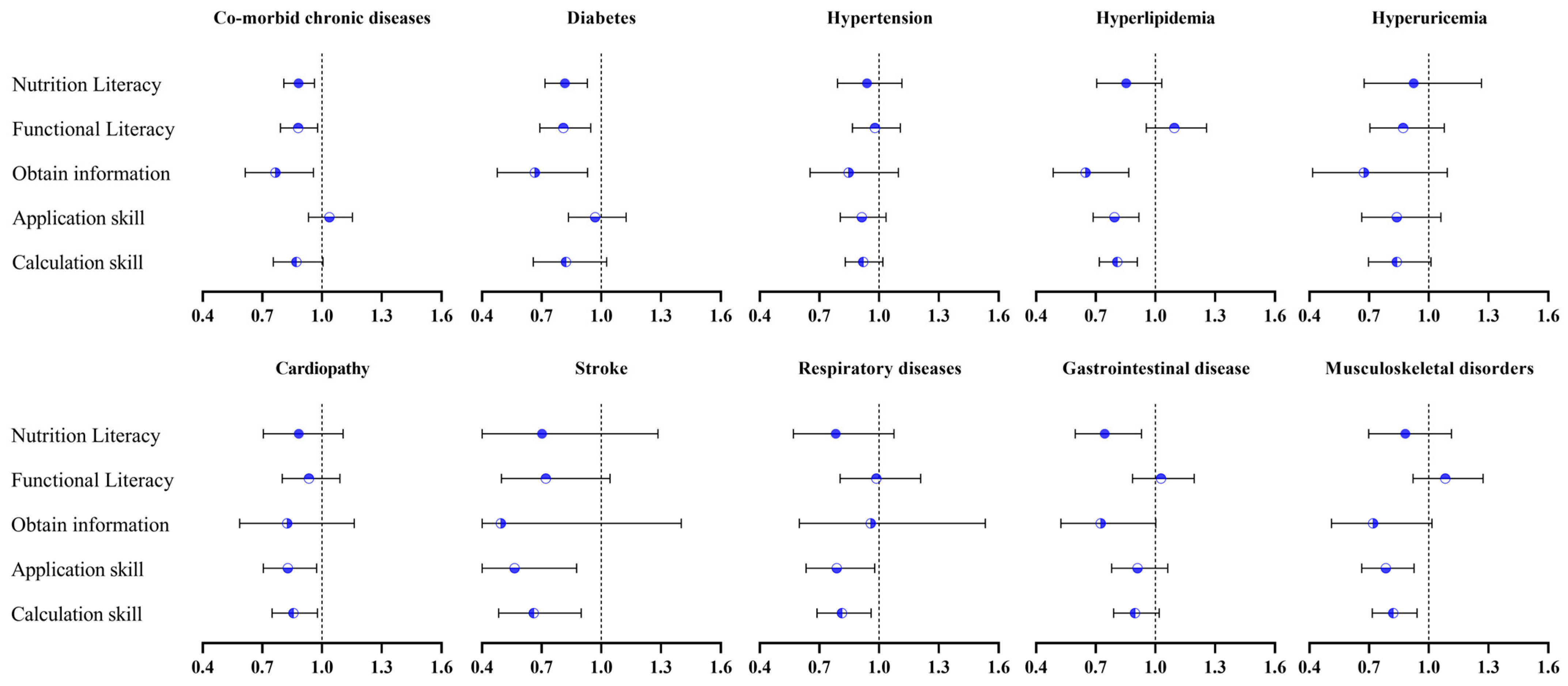
3.5. Nutrition Literacy and Co-Morbid Chronic Disease
3.6. The Mediating Effect of Nutrition Literacy
4. Discussion
5. Conclusions
Supplementary Materials
Author Contributions
Funding
Institutional Review Board Statement
Informed Consent Statement
Data Availability Statement
Acknowledgments
Conflicts of Interest
References
- World Health Organization; International Agency for Research on Cancer Statistics. Breast Cancer. Available online: https://www.iarc.who.int/cancer-type/breast-cancer/ (accessed on 24 September 2024).
- Han, B.; Zheng, R.; Zeng, H.; Wang, S.; Sun, K.; Chen, R.; Li, L.; Wei, W.; He, J. Cancer incidence and mortality in China, 2022. J. Natl. Cancer Cent. 2024, 4, 47–53. [Google Scholar] [CrossRef] [PubMed]
- Waks, A.G.; Winer, E.P. Breast Cancer Treatment: A Review. JAMA 2019, 321, 288. [Google Scholar] [CrossRef] [PubMed]
- World Health Organization. The Global Breast Cancer Initiative. Available online: https://www.who.int/initiatives/global-breast-cancer-initiative (accessed on 25 September 2024).
- Institute for Health Metrics and Evaluation (IHME). GBD Results. 2024. Published Online May 16. Available online: https://vizhub.healthdata.org/gbd-results/ (accessed on 24 September 2024).
- Kwan, M.L.; Cheng, R.K.; Iribarren, C.; Neugebauer, R.; Rana, J.S.; Nguyen-Huynh, M.; Shi, Z.; Laurent, C.A.; Lee, V.S.; Roh, J.M.; et al. Risk of Cardiometabolic Risk Factors in Women with and Without a History of Breast Cancer: The Pathways Heart Study. J. Clin. Oncol. 2022, 40, 1635–1646. [Google Scholar] [CrossRef] [PubMed]
- Cathcart-Rake, E.J.; Tevaarwerk, A.J.; Haddad, T.C.; D’Andre, S.D.; Ruddy, K.J. Advances in the care of breast cancer survivors. BMJ 2023, 382, e071565. [Google Scholar] [CrossRef] [PubMed]
- Guan, T.; Jiang, Y.; Luo, Z.; Liang, Y.; Feng, M.; Lu, Z.; Yi, M.; Teng, Y.; Zhou, R.; Zeng, L.; et al. Long-term risks of cardiovascular death in a population-based cohort of 1,141,675 older patients with cancer. Age Ageing 2023, 52, afad068. [Google Scholar] [CrossRef]
- Pilleron, S.; O’Hanlon, S. Understanding cardiovascular disease death risk in older cancer survivors. Age Ageing 2023, 52, afad147. [Google Scholar] [CrossRef]
- Galimzhanov, A.; Istanbuly, S.; Tun, H.N.; Ozbay, B.; Alasnag, M.; Ky, B.; Lyon, A.R.; Kayikcioglu, M.; Tenekecioglu, E.; Panagioti, M. Cardiovascular outcomes in breast cancer survivors: A systematic review and meta-analysis. Eur. J. Prev. Cardiol. 2023, 30, 2018–2031. [Google Scholar] [CrossRef]
- Medical Emergency Department. Notice on the Issuance of the Healthy China Initiative—Implementation Plan for Cancer Prevention and Control (2023–2030). 2023; Published Online November 14. Available online: http://www.nhc.gov.cn/ylyjs/pqt/202311/18bd5bb5abc74ebc896f9d5c9ca63422.shtml (accessed on 25 September 2024).
- Xu, W.; Li, A.; Yackel, H.D.; Sarta, M.L.; Salner, A.; Judge, M.P. Dietary consumption patterns in breast cancer survivors: Pilot evaluation of diet, supplements and clinical factors. Eur. J. Oncol. Nurs. 2024, 72, 102678. [Google Scholar] [CrossRef]
- Baughman, C.; Norman, K.; Mukamal, K. Adherence to American Cancer Society Nutrition and Physical Activity Guidelines Among Cancer Survivors. JAMA Oncol. 2024, 10, 789–792. [Google Scholar] [CrossRef]
- Mishra, A.; Giuliani, G.; Longo, V.D. Nutrition and dietary restrictions in cancer prevention. Biochim. Biophys. Acta Rev. Cancer 2024, 1879, 189063. [Google Scholar] [CrossRef]
- Puklin, L.S.; Harrigan, M.; Cartmel, B.; Sanft, T.; Gottlieb, L.; Zhou, B.; Ferrucci, L.M.; Li, F.-Y.; Spiegelman, D.; Sharifi, M.; et al. Randomized Trial Evaluating a Self-Guided Lifestyle Intervention Delivered via Evidence-Based Materials versus a Waitlist Group on Changes in Body Weight, Diet Quality, Physical Activity, and Quality of Life among Breast Cancer Survivors. Cancers 2023, 15, 4719. [Google Scholar] [CrossRef] [PubMed]
- Pannu, M.K.; Constantinou, C. Inflammation, Nutrition, and Clinical Outcomes in Breast Cancer Survivors: A Narrative Review. Curr. Nutr. Rep. 2023, 12, 643–661. [Google Scholar] [CrossRef] [PubMed]
- Castro-Espin, C.; Agudo, A. The Role of Diet in Prognosis among Cancer Survivors: A Systematic Review and Meta-Analysis of Dietary Patterns and Diet Interventions. Nutrients 2022, 14, 348. [Google Scholar] [CrossRef]
- Shanghai Cancer Rehabilitation Club. Available online: https://www.shcrc.cn/ (accessed on 30 September 2024).
- He, Y.; Ye, C.; Fang, Y.; Lian, Y. Update of the chinese diet balance index: DBI_22. Acta Nutr. Sin. 2024, 46, 209–214. [Google Scholar]
- Shams-White, M.M.; Pannucci, T.E.; Lerman, J.L.; Herrick, K.A.; Zimmer, M.; Mathieu, K.M.; Stoody, E.E.; Reedy, J. Healthy Eating Index-2020: Review and Update Process to Reflect the Dietary Guidelines for Americans, 2020–2025. J. Acad. Nutr. Diet 2023, 123, 1280–1288. [Google Scholar] [CrossRef]
- Xia, J.; Shao, J.; Zhu, W.; Meng, X.; Lv, L.; Huai, X.; Yu, J. Development and Validation of Nutrition Literacy Assessment Scale for cancer survivors. Chin. J. Gen. Pract. 2024, 22, 29–33. [Google Scholar]
- Tang, H.; Wang, R.; Liu, W.; Xiao, H.; Jing, H.; Song, F.; Guo, S.; Li, T.; Yi, L.; Zhang, Y.; et al. The influence of nutrition literacy, self-care self-efficacy and social support on the dietary practices of breast cancer patients undergoing chemotherapy: A multicentre study. Eur. J. Oncol. Nurs. 2023, 64, 102344. [Google Scholar] [CrossRef]
- Tang, H.; Wang, R.; Yan, P.; Zhang, W.; Yang, F.; Guo, S.; Li, T.; Yi, L.; Bai, X.; Lin, S.; et al. Dietary Behavior and Its Association with Nutrition Literacy and Dietary Attitude Among Breast Cancer Patients Treated with Chemotherapy: A Multicenter Survey of Hospitals in China. Patient Prefer. Adherence 2023, 17, 1407–1419. [Google Scholar] [CrossRef] [PubMed]
- Narimatsu, H.; Yaguchi, Y.T. The Role of Diet and Nutrition in Cancer: Prevention, Treatment, and Survival. Nutrients 2022, 14, 3329. [Google Scholar] [CrossRef]
- Rock, C.L.; Thomson, C.A.; Sullivan, K.R.; Howe, C.L.; Kushi, L.H.; Caan, B.J.; Neuhouser, M.L.; Bandera, E.V.; Wang, Y.; Robien, K.; et al. American Cancer Society nutrition and physical activity guideline for cancer survivors. CA Cancer J. Clin. 2022, 72, 230–262. [Google Scholar] [CrossRef]
- Sanft, T.; Harrigan, M.; McGowan, C.; Cartmel, B.; Zupa, M.; Li, F.-Y.; Ferrucci, L.M.; Puklin, L.; Cao, A.; Nguyen, T.H. Randomized Trial of Exercise and Nutrition on Chemotherapy Completion and Pathologic Complete Response in Women with Breast Cancer: The Lifestyle, Exercise, and Nutrition Early After Diagnosis Study. J. Clin. Oncol. 2023, 41, 5285–5295. [Google Scholar] [CrossRef] [PubMed]
- Martínez-Garay, C.; Djouder, N. Dietary interventions and precision nutrition in cancer therapy. Trends Mol. Med. 2023, 29, 489–511. [Google Scholar] [CrossRef]
- Guo, N.; Zhu, Y.; Tian, D.; Zhao, Y.; Zhang, C.; Mu, C.; Han, C.; Zhu, R.; Liu, X. Role of diet in stroke incidence: An umbrella review of meta-analyses of prospective observational studies. BMC Med. 2022, 20, 194. [Google Scholar] [CrossRef] [PubMed]
- Ibsen, D.B.; Christiansen, A.H.; Olsen, A.; Tjønneland, A.; Overvad, K.; Wolk, A.; Mortensen, J.K.; Dahm, C.C. Adherence to the EAT-Lancet Diet and Risk of Stroke and Stroke Subtypes: A Cohort Study. Stroke 2022, 53, 154–163. [Google Scholar] [CrossRef]
- Fang, Y.; Xia, J.; Lian, Y.; Zhang, M.; Kang, Y.; Zhao, Z.; Wang, L.; Yin, P.; Wang, Z.; Ye, C.; et al. The burden of cardiovascular disease attributable to dietary risk factors in the provinces of China, 2002–2018: A nationwide population-based study. Lancet Reg. Health West. Pac. 2023, 37, 100784. [Google Scholar] [CrossRef] [PubMed]
- Kang, K.; Bagaoisan, M.A.P. Research Status of the Knowledge-Attitude-Practice Theory Model in Gastric Cancer Prevention. Cureus 2024, 16, e64960. [Google Scholar] [CrossRef]
- Mo, G.; Zhu, E.; Guo, X.; Kong, S.; Ma, J. Nutrition literacy level of medical personnel in tertiary hospitals: Evidence from a cross-sectional study. Arch. Public Health 2024, 82, 124. [Google Scholar] [CrossRef]
- Parekh, N.; Jiang, J.; Buchan, M.; Meyers, M.; Gibbs, H.; Krebs, P. Nutrition Literacy among Cancer Survivors: Feasibility Results from the Healthy Eating and Living Against Breast Cancer (HEAL-BCa) Study: A Pilot Randomized Controlled Trial. J. Cancer Educ. 2018, 33, 1239–1249. [Google Scholar] [CrossRef]
- Wang, P.; Song, M.; Eliassen, A.H.; Wang, M.; Fung, T.T.; Clinton, S.K.; Rimm, E.B.; Hu, F.B.; Willett, W.C.; Tabung, F.K.; et al. Optimal dietary patterns for prevention of chronic disease. Nat. Med. 2023, 29, 719–728. [Google Scholar] [CrossRef]
- Fanelli, S.M.; Jonnalagadda, S.S.; Pisegna, J.L.; Kelly, O.J.; Krok-Schoen, J.L.; Taylor, C.A. Poorer Diet Quality Observed Among US Adults with a Greater Number of Clinical Chronic Disease Risk Factors. J. Prim. Care Community Health 2020, 11, 2150132720945898. [Google Scholar] [CrossRef]
- Guillermo, C.; Boushey, C.J.; Franke, A.A.; Monroe, K.R.; Lim, U.; Wilkens, L.R.; Le Marchand, L.; Maskarinec, G. Diet Quality and Biomarker Profiles Related to Chronic Disease Prevention: The Multiethnic Cohort Study. J. Am. Coll. Nutr. 2020, 39, 216–223. [Google Scholar] [CrossRef] [PubMed]
- Neuhouser, M.L.; Pettinger, M.; Tinker, L.F.; Thomson, C.; Van Horn, L.; Haring, B.; Shikany, J.M.; Stefanick, M.L.; Prentice, R.L.; E Manson, J.; et al. Associations of Biomarker-Calibrated Healthy Eating Index-2010 Scores with Chronic Disease Risk and Their Dependency on Energy Intake and Body Mass Index in Postmenopausal Women. J. Nutr. 2023, 152, 2808–2817. [Google Scholar] [CrossRef] [PubMed]
- Ashoori, M.; Soltani, S.; T-Clark, C.C.; Eini-Zinab, H.; Shakibazadeh, E.; Doustmohamadian, A.; Abdar-Esfahani, B.; Mazandaranian, M.; Omidvar, N. Food and nutrition literacy: A predictor for diet quality and nutrient density among late adolescents. Turk. J. Pediatr. 2023, 65, 290–300. [Google Scholar] [CrossRef] [PubMed]



| Characteristics | Functional Nutrition Literacy | Information | Application | Calculation | Nutrition Literacy |
|---|---|---|---|---|---|
| Sex | |||||
| Male | 3 (50.00) | 2 (33.33) | 3 (50.00) | 1 (16.67) | 2 (33.33) |
| Female | 760 (49.16) | 744 (48.12) | 798 (51.62) | 528 (34.15) | 770 (49.81) |
| 0.002 | 0.524 | 0.006 | 0.813 | 0.649 | |
| p-value | 0.967 | 0.469 | 0.937 | 0.367 | 0.421 |
| Age group | |||||
| <60 | 200 (49.63) | 234 (58.06) | 232 (57.57) | 162 (40.20) | 220 (54.59) |
| 60~65 | 162 (48.36) | 150 (44.78) | 159 (47.46) | 120 (35.82) | 166 (49.55) |
| 65~69 | 230 (49.68) | 214 (46.22) | 226 (48.81) | 154 (33.26) | 218 (47.08) |
| ≥70 | 165 (50.00) | 136 (41.21) | 177 (53.64) | 91 (27.58) | 161 (48.79) |
| 0.214 | 24.429 | 9.994 | 13.376 | 5.192 | |
| p-value | 0.975 | <0.001 | 0.019 | 0.004 | 0.158 |
| Education | |||||
| Primary and below | 40 (39.22) | 32 (31.37) | 30 (29.41) | 22 (21.57) | 34 (33.33) |
| Junior high school | 289 (43.99) | 307 (46.73) | 282 (42.92) | 201 (30.59) | 292 (44.44) |
| Senior high school | 283 (54.21) | 267 (51.15) | 324 (62.07) | 192 (36.78) | 291 (55.75) |
| College or above | 96 (64.86) | 93 (62.84) | 118 (79.73) | 78 (52.70) | 105 (70.95) |
| 30.919 | 26.344 | 109.163 | 34.888 | 52.162 | |
| p-value | <0.001 | <0.001 | <0.001 | <0.001 | <0.001 |
| Inhabiting information | |||||
| With spouse | 350 (51.17) | 322 (47.08) | 342 (50.00) | 236 (34.50) | 342 (50.00) |
| With family | 57 (50.00) | 53 (46.49) | 64 (56.14) | 43 (37.72) | 62 (54.39) |
| With spouse and family | 275 (46.69) | 292 (49.58) | 304 (51.61) | 201 (34.13) | 289 (49.07) |
| Live alone | 80 (50.00) | 77 (48.13) | 90 (56.25) | 48 (30.00) | 79 (49.38) |
| 2.615 | 0.919 | 3.020 | 1.910 | 1.102 | |
| p-value | 0.455 | 0.821 | 0.389 | 0.591 | 0.777 |
| Self income (¥) | |||||
| ≤1000 | 52 (41.94) | 44 (35.48) | 42 (33.87) | 30 (24.19) | 47 (37.90) |
| 1001~3000 | 198 (43.61) | 217 (47.80) | 194 (42.73) | 139 (30.62) | 200 (44.05) |
| 3001~5000 | 389 (50.32) | 366 (47.35) | 442 (57.18) | 276 (35.71) | 396 (51.23) |
| 5001~8000 | 96 (63.58) | 90 (59.60) | 99 (65.56) | 64 (42.38) | 100 (66.23) |
| >8000 | 21 (61.76) | 23 (67.65) | 18 (52.94) | 13 (38.24) | 23 (67.65) |
| 23.313 | 21.299 | 51.349 | 13.636 | 34.274 | |
| p-value | <0.001 | <0.001 | <0.001 | 0.009 | <0.001 |
| Physical activity (times per week) | |||||
| 5~7 | 228 (57.87) | 205 (52.03) | 203 (51.52) | 137 (34.77) | 225 (57.11) |
| 3~4 | 274 (53.52) | 259 (50.59) | 307 (59.96) | 198 (38.67) | 288 (56.25) |
| 1~2 | 162 (43.32) | 175 (46.79) | 167 (44.65) | 124 (33.16) | 159 (42.51) |
| <1 | 79 (36.74) | 83 (38.60) | 105 (48.84) | 57 (26.51) | 80 (37.21) |
| 34.031 | 11.701 | 21.942 | 10.325 | 38.361 | |
| p-value | <0.001 | 0.009 | <0.001 | 0.016 | <0.001 |
| BMI | |||||
| Underweight | 22 (56.41) | 14 (35.90) | 26 (66.67) | 18 (46.15) | 22 (56.41) |
| Normal | 417 (50.61) | 396 (48.06) | 457 (55.46) | 297 (36.04) | 431 (52.31) |
| Overweight | 265 (49.53) | 260 (48.60) | 261 (48.79) | 170 (31.78) | 259 (48.41) |
| Obesity | 52 (36.62) | 73 (51.41) | 51 (35.92) | 38 (26.76) | 54 (38.03) |
| 10.473 | 2.989 | 24.149 | 8.601 | 11.033 | |
| p-value | 0.015 | 0.393 | <0.001 | 0.035 | 0.012 |
| Number of chronic diseases | |||||
| 0 | 272 (53.65) | 276 (54.44) | 265 (52.27) | 200 (39.45) | 283 (55.82) |
| 1–2 | 368 (48.74) | 345 (45.70) | 397 (52.58) | 244 (32.32) | 367 (48.61) |
| ≥3 | 123 (42.41) | 125 (43.10) | 139 (47.93) | 85 (29.31) | 122 (42.07) |
| 9.421 | 12.807 | 1.946 | 10.482 | 14.706 | |
| p-value | 0.009 | 0.002 | 0.378 | 0.005 | 0.001 |
| Total | Inadequate Nutrition Literacy | Adequate Nutrition Literacy | p Value | |
|---|---|---|---|---|
| Rice and products | 171.4 (100.0, 214.3) | 200.0 (100.0, 257.1) | 171.4 (100.0, 214.3) | 0.051 |
| Wheat and products | 50.0 (28.6, 100.0) | 42.9 (28.6, 85.7) | 57.1 (28.6, 100.0) | <0.001 |
| Coarse grains | 42.9 (14.3, 75.0) | 28.6 (14.3, 71.4) | 42.9 (21.4, 85.7) | 0.039 |
| Fried foods | 7.1 (0.0, 14.3) | 7.1 (0.0, 14.3) | 7.1 (0.0, 14.3) | 0.072 |
| Pork | 42.9 (28.6, 85.7) | 42.9 (28.6, 85.7) | 42.9 (28.6, 71.4) | 0.505 |
| Beef and lamb | 14.3 (7.1, 28.6) | 14.3 (7.1, 28.6) | 14.3 (7.1, 28.6) | 0.167 |
| Poultry | 14.3 (14.3, 42.9) | 14.3 (14.3, 28.6) | 15.7 (14.3, 42.9) | 0.041 |
| Eggs | 42.9 (21.4, 71.4) | 42.9 (21.4, 71.4) | 42.9 (28.6, 71.4) | 0.014 |
| Fish and shellfish | 50.0 (42.9, 100.0) | 50.0 (42.9, 100.0) | 50.0 (50.0, 100.0) | 0.231 |
| Vegetables | 300.0 (200.0, 500.0) | 300.0 (160.7, 500.0) | 300.0 (200.0, 500.0) | 0.800 |
| Dark-colored vegetables | 100.0 (57.1, 200.0) | 100.0 (42.9, 200.0) | 114.3 (64.3, 250.0) | <0.001 |
| Soybean and products | 35.7 (14.3, 71.4) | 28.6 (14.3, 71.4) | 35.7 (21.4, 71.4) | 0.107 |
| Pickled food | 7.1 (0.0, 14.3) | 7.1 (0.0, 14.3) | 7.1 (0.0, 14.3) | 0.004 |
| Fruits | 142.9 (100.0, 214.3) | 128.6 (85.7, 200.0) | 150.0 (100.0, 250.0) | 0.009 |
| Nuts | 28.6 (14.3, 50.0) | 28.6 (14.3, 50.0) | 28.6 (14.3, 50.0) | 0.032 |
| Dairy products | 250.0 (142.9, 250.0) | 250.0 (107.1, 250.0) | 250.0 (142.9, 250.0) | 0.022 |
| Cooking oil | 40.0 (27.8, 55.6) | 40.0 (27.8, 55.6) | 39.2 (27.8, 50.0) | 0.006 |
| Salt | 5.0 (2.9, 5.8) | 5.0 (2.9, 5.8) | 4.7 (2.9, 5.8) | 0.262 |
| Sugar | 2.8 (0.5, 5.6) | 2.8 (0.5, 5.6) | 2.8 (0.6, 5.6) | 0.254 |
| Drinking water | 1000.0 (800.0, 1500.0) | 1000.0 (600.0, 1500.0) | 1000.0 (800.0, 1500.0) | <0.001 |
| Diet quality distance | 67.0 (55.0, 81.0) | 71.0 (58.0, 85.0) | 63.5 (52.0, 77.0) | <0.001 |
| Low bound score | −39.0 (−51.0, −28.0) | −41.0 (−55.0, −30.0) | −36.0 (−48.0, −25.0) | <0.001 |
| High bound score | 25.0 (16.0, 36.0) | 26.0 (16.0, 37.0) | 25.0 (16.0, 35.0) | 0.162 |
| Variable | Logistic | Poisson | ||
|---|---|---|---|---|
| AOR (95%CI) | p Value | AOR (95%CI) | p Value | |
| Nutrition literacy | 0.882 (0.808–0.962) | 0.005 | 0.940 (0.911–0.971) | 0.0002 |
| Functional literacy | 0.880 (0.791–0.978) | 0.018 | 0.929 (0.893–0.967) | 0.0003 |
| Obtain information | 0.766 (0.614–0.957) | 0.019 | 0.908 (0.835–0.987) | 0.0239 |
| Application skill | 1.037 (0.932–1.153) | 0.505 | 1.000 (0.962–1.041) | 0.9846 |
| Calculation skill | 0.871 (0.755–1.005) | 0.059 | 0.961 (0.907–1.019) | 0.1838 |
| Estimate | Standard Error | 95%CI | p Value | |
|---|---|---|---|---|
| Total Effect | 0.877 | 0.039 | 0.801–0.952 | 0.001 |
| Controlled direct effect (CDE) | 0.882 | 0.039 | 0.805–0.959 | 0.003 |
| Natural direct effect (NDE) | 0.882 | 0.039 | 0.805–0.959 | 0.003 |
| Natural indirect effect (NIE) | 0.994 | 0.007 | 0.980–1.008 | 0.433 |
| Percentage mediated | 4.027 | 5.351 | −6.460–14.514 | 0.452 |
| Percentage due to interaction | −0.157 | 0.142 | −0.434–0.120 | 0.268 |
| Percentage eliminated | 4.411 | 5.939 | −7.230–16.052 | 0.458 |
Disclaimer/Publisher’s Note: The statements, opinions and data contained in all publications are solely those of the individual author(s) and contributor(s) and not of MDPI and/or the editor(s). MDPI and/or the editor(s) disclaim responsibility for any injury to people or property resulting from any ideas, methods, instructions or products referred to in the content. |
© 2024 by the authors. Licensee MDPI, Basel, Switzerland. This article is an open access article distributed under the terms and conditions of the Creative Commons Attribution (CC BY) license (https://creativecommons.org/licenses/by/4.0/).
Share and Cite
Xia, J.; Yu, J.; Qu, L.; Lv, L.; Zhu, W.; Meng, X.; Shao, J.; Luo, Y. Nutritional Inequality and Co-Morbid Chronic Disease Among Breast Cancer Survivors in China. Nutrients 2024, 16, 4031. https://doi.org/10.3390/nu16234031
Xia J, Yu J, Qu L, Lv L, Zhu W, Meng X, Shao J, Luo Y. Nutritional Inequality and Co-Morbid Chronic Disease Among Breast Cancer Survivors in China. Nutrients. 2024; 16(23):4031. https://doi.org/10.3390/nu16234031
Chicago/Turabian StyleXia, Juan, Jinming Yu, Lindi Qu, Lin Lv, Wenyu Zhu, Xinyu Meng, Jian Shao, and Yanxia Luo. 2024. "Nutritional Inequality and Co-Morbid Chronic Disease Among Breast Cancer Survivors in China" Nutrients 16, no. 23: 4031. https://doi.org/10.3390/nu16234031
APA StyleXia, J., Yu, J., Qu, L., Lv, L., Zhu, W., Meng, X., Shao, J., & Luo, Y. (2024). Nutritional Inequality and Co-Morbid Chronic Disease Among Breast Cancer Survivors in China. Nutrients, 16(23), 4031. https://doi.org/10.3390/nu16234031
