The Interplay Between Depression, Probiotics, Diet, Immunometabolic Health, the Gut, and the Liver—A Secondary Analysis of the Pro-Demet Randomized Clinical Trial
Abstract
1. Introduction
2. Materials and Methods
2.1. Study Participants
2.2. Primary Outcome Measures
2.3. Statistical Analysis
3. Results
4. Discussion
4.1. Correlation Analyses Results
4.2. Predictors of Probiotics Possible Efficacy for Liver Dysfunction Improvement
4.3. The Assessment of Probiotics Efficacy and Diet in the Cardiovascular Risk Reduction
4.4. The Generalizability of the Results
4.5. Limitations
5. Conclusions
Author Contributions
Funding
Institutional Review Board Statement
Informed Consent Statement
Data Availability Statement
Conflicts of Interest
Appendix A
Appendix A.1
| 1. Sample Characteristics (n = 92) Parameter | Number (%) or Mdn (IQR) |
| MetS according to IDF | 20 (21.74%) |
| Antidepressants | 63 (68.47%) |
| Antipsychotics | 4 (4.35%) |
| Other pharmacological treatment | 33 (35.87%) |
| Comorbidities | 48 (52.17%) |
| Smoking status | 13 (4.13%) |
| Dietary supplements | 48 (52.17%) |
| Physical activity (MET-min/week) | 1783.50 (1026.50–2892.00) |
| ALT (U/L) | 16.20 (12.90–23.30) |
| ALT/AST | 0.75 (0.63–0.89) |
| HSI | 32.13 (28.49–35.14) |
| FSI | −2.64 (−3.50–−1.61) |
| APRI | 0.24 (0.19–0.30) |
| FIB-4 | 0.61 (0.46–0.80) |
| Weight (kg) | 68.30 (56.50–79.60) |
| BMI (kg/m2) | 24.31 (21.21–27.15) |
| WC (cm) | 83.25 (72.00–93.50) |
| fGlc (mmol/L) | 5.07 (4.86–5.38) |
| HDL-c (mmol/L) | 1.61 (1.43–1.90) |
| non-HDL-c (mmol/L) | 3.60 (2.88–4.36) |
| TG (mmol/L) | 0.95 (0.80–1.39) |
| Sweets and snacks | 2.57 (2.14–3.14) |
| Diary and eggs | 3.17 (2.67–3.67) |
| Cereal products | 3.20 (2.60–3.40) |
| Oils | 2.67 (2.33–3.00) |
| Fruits | 2.70 (2.40–3.20) |
| Vegetables and seeds | 3.36 (2.91–3.82) |
| Meat (including fish) | 2.25 (1.86–2.75) |
| Drinks (excluding water) | 2.00 (1.71–2.43) |
| Processed food products | 2.36 (2.10–2.71) |
| MADRS score | 19.00 (16.00–24.00) |
| DASS score | 64.50 (47.00–80.00) |
| Depression | 21.00 (14.00–27.00) |
| Anxiety | 16.00 (10.00–23.00) |
| Stress | 24.00 (20.00–34.00) |
| CRP (mg/L) | 1.20 (0.50–2.85) |
| TNF-α (pg/mL) | 6.00 (1.84–7.57) |
| I-FABP (ng/mL) | 1843.38 (1169.14–2485.55) |
| bSCFAs (pg/mL) | 4341.41 (3376.19–5820.68) |
| Dietary habits: 1—never or almost never; 2—once a month; 3—several times a month; 4—several times a week; 5—every day; 6—several times a day. Abbreviations: ALT = alanine aminotransferase; APRI = aspartate aminotransferase-to-platelets ratio index; BMI = body mass index; bSCFAs = blood short-chain fatty acids; CRP = C-reactive protein; DASS = Depression, Anxiety, and Stress Scale; fGlc = fasting glucose; FSI = Framingham Steatosis Index; HDL-c = HDL cholesterol; HSI = hepatic steatosis index; IDF = International Diabetes Federation; I-FABP = intestinal fatty acid-binding protein; IQR = interquartile range; MADRS = Montgomery–Asberg Depression Rating Scale; Mdn = median; MET = metabolic equivalent of task; MetS = metabolic syndrome; TG = triglycerides; TNF-α = tumor necrosis factor alpha; WC = waist circumference. | |
Appendix A.2. Secondary Outcomes
References
- Sahoo, S.; Mishra, E.; Premkumar, M. Antidepressants in People with Chronic Liver Disease and Depression: When Are They Warranted and How to Choose the Suitable One? J. Clin. Exp. Hepatol. 2024, 14, 101390. [Google Scholar] [CrossRef] [PubMed]
- Ueberberg, B.; Frommberger, U.; Messer, T.; Zwanzger, P.; Kuhn, J.; Anghelescu, I.; Ackermann, K.; Assion, H.J. Drug-Induced Liver Injury (DILI) in Patients with Depression Treated with Antidepressants: A Retrospective Multicenter Study. Pharmacopsychiatry 2020, 53, 60–64. [Google Scholar] [CrossRef] [PubMed]
- Hsu, J.H.; Chien, I.C.; Lin, C.H. Increased Risk of Chronic Liver Disease in Patients with Major Depressive Disorder: A Population-Based Study. J. Affect. Disord. 2019, 251, 180–185. [Google Scholar] [CrossRef] [PubMed]
- Gu, Y.; Zhang, W.; Hu, Y.; Chen, Y.; Shi, J. Association between Nonalcoholic Fatty Liver Disease and Depression: A Systematic Review and Meta-Analysis of Observational Studies. J. Affect. Disord. 2022, 301, 8–13. [Google Scholar] [CrossRef] [PubMed]
- Huang, X.; Liu, X.; Yu, Y. Depression and Chronic Liver Diseases: Are There Shared Underlying Mechanisms? Front. Mol. Neurosci. 2017, 10, 134. [Google Scholar] [CrossRef]
- Manikat, R.; Nguyen, M.H. Nonalcoholic Fatty Liver Disease and Non-Liver Comorbidities. Clin. Mol. Hepatol. 2023, 29, S86–S102. [Google Scholar] [CrossRef]
- Dmytriv, T.R.; Storey, K.B.; Lushchak, V.I. Intestinal Barrier Permeability: The Influence of Gut Microbiota, Nutrition, and Exercise. Front. Physiol. 2024, 15, 1380713. [Google Scholar] [CrossRef]
- Kronsten, V.T.; Tranah, T.H.; Pariante, C.; Shawcross, D.L. Gut-Derived Systemic Inflammation as a Driver of Depression in Chronic Liver Disease. J. Hepatol. 2022, 76, 665–680. [Google Scholar] [CrossRef]
- Liu, L.; Wang, H.; Chen, X.; Zhang, Y.; Zhang, H.; Xie, P. Gut Microbiota and Its Metabolites in Depression: From Pathogenesis to Treatment. eBioMedicine 2023, 90, 104527. [Google Scholar] [CrossRef]
- Schwenger, K.J.; Clermont-Dejean, N.; Allard, J.P. The Role of the Gut Microbiome in Chronic Liver Disease: The Clinical Evidence Revised. JHEP Rep. 2019, 1, 214. [Google Scholar] [CrossRef]
- Fang, J.; Yu, C.H.; Li, X.J.; Yao, J.M.; Fang, Z.Y.; Yoon, S.H.; Yu, W.Y. Gut Dysbiosis in Nonalcoholic Fatty Liver Disease: Pathogenesis, Diagnosis, and Therapeutic Implications. Front. Cell Infect. Microbiol. 2022, 12, 997018. [Google Scholar] [CrossRef] [PubMed]
- Mega, A.; Marzi, L.; Kob, M.; Piccin, A.; Floreani, A. Food and Nutrition in the Pathogenesis of Liver Damage. Nutrients 2021, 13, 1326. [Google Scholar] [CrossRef] [PubMed]
- Mrozek, W.; Socha, J.; Sidorowicz, K.; Skrok, A.; Syrytczyk, A.; Piątkowska-Chmiel, I.; Herbet, M. Pathogenesis and Treatment of Depression: Role of Diet in Prevention and Therapy. Nutrition 2023, 115, 112143. [Google Scholar] [CrossRef] [PubMed]
- Bischoff, S.C.; Bernal, W.; Dasarathy, S.; Merli, M.; Plank, L.D.; Schütz, T.; Plauth, M. ESPEN Practical Guideline: Clinical Nutrition in Liver Disease. Clin. Nutr. 2020, 39, 3533–3562. [Google Scholar] [CrossRef] [PubMed]
- Firth, J.; Marx, W.; Dash, S.; Carney, R.; Teasdale, S.B.; Solmi, M.; Stubbs, B.; Schuch, F.B.; Carvalho, A.F.; Jacka, F.; et al. The Effects of Dietary Improvement on Symptoms of Depression and Anxiety: A Meta-Analysis of Randomized Controlled Trials. Psychosom. Med. 2019, 81, 265. [Google Scholar] [CrossRef]
- Merkouris, E.; Mavroudi, T.; Miliotas, D.; Tsiptsios, D.; Serdari, A.; Christidi, F.; Doskas, T.K.; Mueller, C.; Tsamakis, K. Probiotics’ Effects in the Treatment of Anxiety and Depression: A Comprehensive Review of 2014–2023 Clinical Trials. Microorganisms 2024, 12, 411. [Google Scholar] [CrossRef]
- Maslennikov, R.; Ivashkin, V.; Efremova, I.; Poluektova, E.; Shirokova, E. Probiotics in Hepatology: An Update. World J. Hepatol. 2021, 13, 1154. [Google Scholar] [CrossRef]
- Semmler, G.; Datz, C.; Trauner, M. Eating, Diet, and Nutrition for the Treatment of Non-Alcoholic Fatty Liver Disease. Clin. Mol. Hepatol. 2023, 29, S244–S260. [Google Scholar] [CrossRef]
- Gawlik-Kotelnicka, O.; Margulska, A.; Płeska, K.; Skowró Nska, A.; Strzelecki, D. Metabolic Status Influences Probiotic Efficacy for Depression—PRO-DEMET Randomized Clinical Trial Results. Nutrients 2024, 16, 1389. [Google Scholar] [CrossRef]
- Gawlik-Kotelnicka, O.; Burzyński, J.; Rogalski, J.; Skowrońska, A.; Strzelecki, D. Probiotics May Be Useful for Drug-Induced Liver Dysfunction in Patients with Depression–A Secondary Analysis of a Randomized Clinical Trial. Clin. Nutr. ESPEN 2024, 63, 604–614. [Google Scholar] [CrossRef]
- Gawlik-Kotelnicka, O.; Skowrońska, A.; Margulska, A.; Czarnecka-Chrebelska, K.H.; Łoniewski, I.; Skonieczna-Żydecka, K.; Strzelecki, D. The Influence of Probiotic Supplementation on Depressive Symptoms, Inflammation, and Oxidative Stress Parameters and Fecal Microbiota in Patients with Depression Depending on Metabolic Syndrome Comorbidity—PRO-DEMET Randomized Study Protocol. J. Clin. Med. 2021, 10, 1342. [Google Scholar] [CrossRef] [PubMed]
- Gawlik-Kotelnicka, O.; Margulska, A.; Skowrońska, A.; Strzelecki, D. PRO-DEMET Randomized Controlled Trial on Probiotics in Depression—Pilot Study Results. Nutrients 2023, 15, 1400. [Google Scholar] [CrossRef] [PubMed]
- Long, M.T.; Pedley, A.; Colantonio, L.D.; Massaro, J.M.; Hoffmann, U.; Muntner, P.; Fox, C.S. Development and Validation of the Framingham Steatosis Index to Identify Persons with Hepatic Steatosis. Clin. Gastroenterol. Hepatol. 2016, 14, 1172–1180.e2. [Google Scholar] [CrossRef] [PubMed]
- Lee, J.H.; Kim, D.; Kim, H.J.; Lee, C.H.; Yang, J.I.; Kim, W.; Kim, Y.J.; Yoon, J.H.; Cho, S.H.; Sung, M.W.; et al. Hepatic Steatosis Index: A Simple Screening Tool Reflecting Nonalcoholic Fatty Liver Disease. Dig. Liver Dis. 2010, 42, 503–508. [Google Scholar] [CrossRef] [PubMed]
- Park, J.H.; Choi, J.; Jun, D.W.; Han, S.W.; Yeo, Y.H.; Nguyen, M.H. Low Alanine Aminotransferase Cut-Off for Predicting Liver Outcomes; A Nationwide Population-Based Longitudinal Cohort Study. J. Clin. Med. 2019, 8, 1445. [Google Scholar] [CrossRef]
- Basheer, M.; Naffaa, M.; Assy, N. Non-Invasive Biomarkers of Liver Fibrosis in Nonalcoholic Fatty Liver Disease. Clin. Mol. Hepatol. 2023, 29, 398–400. [Google Scholar] [CrossRef]
- Jang, H.; Kim, Y.; Lee, D.H.; Joo, S.K.; Koo, B.K.; Lim, S.; Lee, W.; Kim, W. Outcomes of Various Classes of Oral Antidiabetic Drugs on Nonalcoholic Fatty Liver Disease. JAMA Intern. Med. 2024, 184, 375–383. [Google Scholar] [CrossRef]
- Schreiner, A.D.; Zhang, J.; Moran, W.P.; Koch, D.G.; Marsden, J.; Livingston, S.; Mauldin, P.D.; Gebregziabher, M. FIB-4 and Incident Severe Liver Outcomes in Patients with Undiagnosed Chronic Liver Disease: A Fine-Gray Competing Risk Analysis. Liver Int. 2023, 43, 170–179. [Google Scholar] [CrossRef]
- De Matteis, C.; Cariello, M.; Graziano, G.; Battaglia, S.; Suppressa, P.; Piazzolla, G.; Sabbà, C.; Moschetta, A. AST to Platelet Ratio Index (APRI) Is an Easy-to-Use Predictor Score for Cardiovascular Risk in Metabolic Subjects. Sci. Rep. 2021, 11, 14834. [Google Scholar] [CrossRef]
- Arnone, D. Increased Levels of Intestinal-Type Fatty Acid-Binding Protein (I-FABP) in Mood Disorders. Psychol. Med. 2023, 53, 4827–4828. [Google Scholar] [CrossRef]
- Lau, E.; Marques, C.; Pestana, D.; Santoalha, M.; Carvalho, D.; Freitas, P.; Calhau, C. The Role of I-FABP as a Biomarker of Intestinal Barrier Dysfunction Driven by Gut Microbiota Changes in Obesity. Nutr. Metab. 2016, 13, 31. [Google Scholar] [CrossRef] [PubMed]
- Saresella, M.; Marventano, I.; Barone, M.; La Rosa, F.; Piancone, F.; Mendozzi, L.; d’Arma, A.; Rossi, V.; Pugnetti, L.; Roda, G.; et al. Alterations in Circulating Fatty Acid Are Associated with Gut Microbiota Dysbiosis and Inflammation in Multiple Sclerosis. Front. Immunol. 2020, 11, 543824. [Google Scholar] [CrossRef]
- Deleu, S.; Machiels, K.; Raes, J.; Verbeke, K.; Vermeire, S. Short Chain Fatty Acids and Its Producing Organisms: An Overlooked Therapy for IBD? eBioMedicine 2021, 66, 103293. [Google Scholar] [CrossRef] [PubMed]
- Gandhi, P.; Gandhi, I.; Hoeschen, A.; Mosher, W.; MacMillan, M.L.; Rashidi, A.; El Jurdi, N.H.; Khoruts, A.; Weisdorf, D.J.; Blazar, B.R.; et al. Plasma Short Chain Fatty Acids as a Predictor of Response to Therapy for Life-Threatening Acute Graft-Versus-Host Disease. Blood 2020, 136, 14. [Google Scholar] [CrossRef]
- Zheng, Y.; Zhang, Z.; Tang, P.; Wu, Y.; Zhang, A.; Li, D.; Wang, C.Z.; Wan, J.Y.; Yao, H.; Yuan, C.S. Probiotics Fortify Intestinal Barrier Function: A Systematic Review and Meta-Analysis of Randomized Trials. Front. Immunol. 2023, 14, 1143548. [Google Scholar] [CrossRef] [PubMed]
- McFarland, L.V. Use of Probiotics to Correct Dysbiosis of Normal Microbiota Following Disease or Disruptive Events: A Systematic Review. BMJ Open 2014, 4, e005047. [Google Scholar] [CrossRef]
- Han, J.W.; Kim, D.I.; Nam, H.C.; Chang, U.I.; Yang, J.M.; Song, D.S. Association between Serum Tumor Necrosis Factor-α and Sarcopenia in Liver Cirrhosis. Clin. Mol. Hepatol. 2021, 28, 219–231. [Google Scholar] [CrossRef]
- Yan, M.; Man, S.; Ma, L.; Guo, L.; Huang, L.; Gao, W. Immunological Mechanisms in Steatotic Liver Diseases: An Overview and Clinical Perspectives. Clin. Mol. Hepatol. 2024, 30, 620–648. [Google Scholar] [CrossRef]
- Huang, Y.; Wang, X.; Zhang, L.; Zheng, K.; Xiong, J.; Li, J.; Cong, C.; Gong, Z.; Mao, J. Effect of Probiotics Therapy on Nonalcoholic Fatty Liver Disease. Comput. Math. Methods Med. 2022, 2022, 7888076. [Google Scholar] [CrossRef]
- Nemati, M.; Ebrahimi, B.; Montazeri-Najafabady, N. Probiotics Ameliorate Endocrine Disorders via Modulating Inflammatory Pathways: A Systematic Review. Genes. Nutr. 2024, 19, 7. [Google Scholar] [CrossRef]
- Gawlik-Kotelnicka, O.; Czarnecka-Chrebelska, K.; Margulska, A.; Pikus, E.; Wasiak, J.; Skowrońska, A.; Brzeziańska-Lasota, E.; Strzelecki, D. Associations between Intestinal Fatty-Acid Binding Protein and Clinical and Metabolic Characteristics of Depression. Prog. Neuropsychopharmacol. Biol. Psychiatry 2025, 136, 111170. [Google Scholar] [CrossRef] [PubMed]
- Cussotto, S.; Strain, C.R.; Fouhy, F.; Strain, R.G.; Peterson, V.L.; Clarke, G.; Stanton, C.; Dinan, T.G.; Cryan, J.F. Differential Effects of Psychotropic Drugs on Microbiome Composition and Gastrointestinal Function. Psychopharmacology 2019, 236, 1671–1685. [Google Scholar] [CrossRef] [PubMed]
- Hatamnejad, M.R.; Baradaran Ghavami, S.; Shirvani, M.; Asghari Ahmadabad, M.; Shahrokh, S.; Farmani, M.; Sherkat, G.; Asadzadeh Aghdaei, H.; Zali, M.R. Selective Serotonin Reuptake Inhibitors and Inflammatory Bowel Disease; Beneficial or Malpractice. Front. Immunol. 2022, 13, 980189. [Google Scholar] [CrossRef] [PubMed]
- Sjöstedt, P.; Enander, J.; Isung, J. Serotonin Reuptake Inhibitors and the Gut Microbiome: Significance of the Gut Microbiome in Relation to Mechanism of Action, Treatment Response, Side Effects, and Tachyphylaxis. Front. Psychiatry 2021, 12, 682868. [Google Scholar] [CrossRef] [PubMed]
- Dang, L.; Li, D.; Mu, Q.; Zhang, N.; Li, C.; Wang, M.; Tian, H.; Jha, R.; Li, C. Youth-Derived Lactobacillus Rhamnosus with Prebiotic Xylo-Oligosaccharide Exhibits Anti-Hyperlipidemic Effects as a Novel Synbiotic. Food Res. Int. 2024, 195, 114976. [Google Scholar] [CrossRef]
- Angelino, D.; Martina, A.; Rosi, A.; Veronesi, L.; Antonini, M.; Mennella, I.; Vitaglione, P.; Grioni, S.; Brighenti, F.; Zavaroni, I.; et al. Glucose- and Lipid-Related Biomarkers Are Affected in Healthy Obese or Hyperglycemic Adults Consuming a Whole-Grain Pasta Enriched in Prebiotics and Probiotics: A 12-Week Randomized Controlled Trial. J. Nutr. 2019, 149, 1714–1723. [Google Scholar] [CrossRef]
- Dahlberg, C.J.; Ou, J.J.; Babish, J.G.; Lamb, J.J.; Eliason, S.; Brabazon, H.; Gao, W.; Kaadige, M.R.; Tripp, M.L. A 13-Week Low Glycemic Load Diet and Lifestyle Modification Program Combining Low Glycemic Load Protein Shakes and Targeted Nutraceuticals Improved Weight Loss and Cardio-Metabolic Risk Factors. Can. J. Physiol. Pharmacol. 2017, 95, 1414–1425. [Google Scholar] [CrossRef]
- Garzón, A.G.; Veras, F.F.; Brandelli, A.; Drago, S.R. Bio-Functional and Prebiotics Properties of Products Based on Whole Grain Sorghum Fermented with Lactic Acid Bacteria. J. Sci. Food Agric. 2024, 104, 2971–2979. [Google Scholar] [CrossRef]
- Ramezani, F.; Pourghazi, F.; Eslami, M.; Gholami, M.; Mohammadian Khonsari, N.; Ejtahed, H.S.; Larijani, B.; Qorbani, M. Dietary Fiber Intake and All-Cause and Cause-Specific Mortality: An Updated Systematic Review and Meta-Analysis of Prospective Cohort Studies. Clin. Nutr. 2024, 43, 65–83. [Google Scholar] [CrossRef]
- Girigosavi, K.B.; Etta, I.; Kambham, S.; Panjiyar, B.K. Sweet Surprises: An In-Depth Systematic Review of Artificial Sweeteners and Their Association with Cerebrovascular Accidents. Curr. Nutr. Rep. 2024, 13, 97–105. [Google Scholar] [CrossRef]
- Yeterian, M.; Parikh, M.A.; Frishman, W.H.; Peterson, S.J. The Bittersweet Reality: The Cardiovascular Risk of Artificial Sweeteners. Cardiol. Rev. 2024; online ahead of print. [Google Scholar] [CrossRef]
- Moludi, J.; Alizadeh, M.; Behrooz, M.; Maleki, V.; Seyed Mohammadzad, M.H.; Golmohammadi, A. Interactive Effect of Probiotics Supplementation and Weight Loss Diet on Metabolic Syndrome Features in Patients with Coronary Artery Diseases: A Double-Blind, Placebo-Controlled, Randomized Clinical Trial. Am. J. Lifestyle Med. 2021, 15, 653. [Google Scholar] [CrossRef] [PubMed]
- Paans, N.P.G.; Gibson-Smith, D.; Bot, M.; van Strien, T.; Brouwer, I.A.; Visser, M.; Penninx, B.W.J.H. Depression and Eating Styles Are Independently Associated with Dietary Intake. Appetite 2019, 134, 103–110. [Google Scholar] [CrossRef] [PubMed]
- Dabravolskaj, J.; Patte, K.A.; Yamamoto, S.; Leatherdale, S.T.; Veugelers, P.J.; Maximova, K. Association Between Diet and Mental Health Outcomes in a Sample of 13,887 Adolescents in Canada. Prev. Chronic Dis. 2024, 21, 240187. [Google Scholar] [CrossRef] [PubMed]
- Alrehaili, S.; Afifi, A.A.; Algheshairy, R.M.; Bushnaq, T.; Alharbi, T.A.F.; Alharbi, H.F. Prevalence of Anhedonia, Anxiety, and Their Impact on Food Consumption among Postgraduate Qassim University Students. Front. Nutr. 2024, 11, 1445125. [Google Scholar] [CrossRef] [PubMed]
- Olaniyi, K.S.; Areloegbe, S.E.; Badejogbin, O.C.; Ajadi, I.O.; Ajadi, M.B. Butyrate-Mediated Modulation of Paraoxonase-1 Alleviates Cardiorenometabolic Abnormalities in a Rat Model of Polycystic Ovarian Syndrome. Cardiovasc. Drugs Ther. 2024; online ahead of print. [Google Scholar] [CrossRef]
- Ziętek, M.; Celewicz, Z.; Kikut, J.; Szczuko, M. Implications of Scfas on the Parameters of the Lipid and Hepatic Profile in Pregnant Women. Nutrients 2021, 13, 1749. [Google Scholar] [CrossRef]
- Tan, J.K.; Macia, L.; Mackay, C.R. Dietary Fiber and SCFAs in the Regulation of Mucosal Immunity. J. Allergy Clin. Immunol. 2023, 151, 361–370. [Google Scholar] [CrossRef]
- Wasiak, J.; Gawlik-Kotelnicka, O. Intestinal Permeability and Its Significance in Psychiatric Disorders–A Narrative Review and Future Perspectives. Behav. Brain Res. 2023, 448, 114459. [Google Scholar] [CrossRef]
- Gamboa, J.; Le, G.H.; Wong, S.; Alteza, E.A.; Zachos, K.A.; Teopiz, K.M.; McIntyre, R.S. Impact of Antidepressants on the Composition of the Gut Microbiome: A Systematic Review and Meta-Analysis of in Vivo Studies. J. Affect. Disord. 2024, 369, 819–833. [Google Scholar] [CrossRef]
- Teixeira, A.L.; Scholl, J.N.; Bauer, M.E. Psychoneuroimmunology of Mood Disorders. Methods Mol. Biol. 2024, 2868, 49–72. [Google Scholar] [CrossRef]
- Cooper, K.M.; Delk, M.; Devuni, D.; Sarkar, M. Sex Differences in Chronic Liver Disease and Benign Liver Lesions. JHEP Rep. 2023, 5, 100870. [Google Scholar] [CrossRef]
- Merenstein, D.; Pot, B.; Leyer, G.; Ouwehand, A.C.; Preidis, G.A.; Elkins, C.A.; Hill, C.; Lewis, Z.T.; Shane, A.L.; Zmora, N.; et al. Emerging Issues in Probiotic Safety: 2023 Perspectives. Gut Microbes 2023, 15, 2185034. [Google Scholar] [CrossRef] [PubMed]
- Lundelin, K.; Poussa, T.; Salminen, S.; Isolauri, E. Long-Term Safety and Efficacy of Perinatal Probiotic Intervention: Evidence from a Follow-up Study of Four Randomized, Double-Blind, Placebo-Controlled Trials. Pediatr. Allergy Immunol. 2017, 28, 170–175. [Google Scholar] [CrossRef] [PubMed]
- Davies, G.; Jordan, S.; Brooks, C.J.; Thayer, D.; Storey, M.; Morgan, G.; Allen, S.; Garaiova, I.; Plummer, S.; Gravenor, M. Long Term Extension of a Randomised Controlled Trial of Probiotics Using Electronic Health Records. Sci. Rep. 2018, 8, 7668. [Google Scholar] [CrossRef] [PubMed]
- Darwesh, M.A.K.; Bakr, W.; Omar, T.E.I.; El-Kholy, M.A.; Azzam, N.F. Unraveling the Relative Abundance of Psychobiotic Bacteria in Children with Autism Spectrum Disorder. Sci. Rep. 2024, 14, 24321. [Google Scholar] [CrossRef] [PubMed]
- Makara-Studzińska, M.; Załuski, M.; Amczyk, K.A.D.; Tyburski, E. Polish Version of the Depression Anxiety Stress Scale (DASS-42)-Adaptation and Normalization. Psychiatr. Pol. 2024, 58, 63–78. [Google Scholar] [CrossRef] [PubMed]
- Kosmas, C.E.; Rodriguez Polanco, S.; Bousvarou, M.D.; Papakonstantinou, E.J.; Peña Genao, E.; Guzman, E.; Kostara, C.E. The Triglyceride/High-Density Lipoprotein Cholesterol (TG/HDL-C) Ratio as a Risk Marker for Metabolic Syndrome and Cardiovascular Disease. Diagnostics 2023, 13, 929. [Google Scholar] [CrossRef]
- Amato, M.C.; Giordano, C.; Galia, M.; Criscimanna, A.; Vitabile, S.; Midiri, M.; Galluzzo, A. Visceral Adiposity Index: A Reliable Indicator of Visceral Fat Function Associated with Cardiometabolic Risk. Diabetes Care 2010, 33, 920–922. [Google Scholar] [CrossRef]
- Simental-Mendía, L.E.; Rodríguez-Morán, M.; Guerrero-Romero, F. The Product of Fasting Glucose and Triglycerides as Surrogate for Identifying Insulin Resistance in Apparently Healthy Subjects. Metab. Syndr. Relat. Disord. 2008, 6, 299–304. [Google Scholar] [CrossRef]
- Stevens, B.R.; Goel, R.; Seungbum, K.; Richards, E.M.; Holbert, R.C.; Pepine, C.J.; Raizada, M.K. Increased Human Intestinal Barrier Permeability Plasma Biomarkers Zonulin and FABP2 Correlated with Plasma LPS and Altered Gut Microbiome in Anxiety or Depression. Gut 2018, 67, 1555. [Google Scholar] [CrossRef]
- Yu, S.; Wang, L.; Jing, X.; Wang, Y.; An, C. Features of Gut Microbiota and Short-Chain Fatty Acids in Patients with First-Episode Depression and Their Relationship with the Clinical Symptoms. Front. Psychol. 2023, 14, 1088268. [Google Scholar] [CrossRef]

| The Name of the Non-Invasive Liver-Related Biomarker | Abbreviation | Liver Abnormality Detection | Formula | Cut-Off Point for Detecting/Ruling Out Liver Abnormalities |
|---|---|---|---|---|
| Alanine Transaminase | ALT | (acute/chronic) hepatic cytotoxic injury | - | the upper limit of normal |
| Aspartate Aminotransferase | AST | - | the upper limit of normal | |
| Alanine Aminotransferase to Aspartate Aminotransferase Ratio | ALT/AST ratio | fatty liver disease | [ALT value]/[AST value] | 1.33 |
| Hepatic Steatosis Index | HSI | 8 × [ALT value]/[AST value] + [BMI in kg/m2] + 2 * + 2 ** | 36 | |
| Framingham Steatosis Index | FSI | 7.981 + 0.011 × [age] − 0.146 × [se×] *** + 0.173 × [BMI in kg/m2] + 0.007 × [TG in mg/dL] + 0.593 × [HTN] **** + 0.789 × [DM] ***** + 1.1 × [ALT/AST ratio] ****** | −1.2 | |
| AST to Platelet Ratio Index | APRI | liver fibrosis | [AST value]/[AST value upper limit of normal]/[PLT value] × 100 | 0.5 |
| Fibrosis-4 Index | FIB-4 | [age] × [AST value]/[PLT value] × √[ALT value] | 1.3 |
| R | ≥0.40 | 0.30 to 0.39 | 0.20 to 0.29 | 0.10 to 0.19 | −0.09 to 0.09 | −0.10 to −0.19 | −0.20 to −0.29 | −0.30 to −0.39 | ≤−0.40 |
| PRO | |||||||||
| % ΔHSI | % ΔALT | % ΔALT/AST | % ΔFSI | % ΔAPRI | % ΔFIB-4 | ||||
| HSI | −0.04 | −0.06 | −0.06 | 0.04 | −0.06 | 0.02 | |||
| ALT | −0.33 * | −0.33 * | −0.34 * | 0.06 | −0.17 | 0.12 | |||
| ALT/AST | −0.25 | −0.22 | −0.26 | 0.01 | −0.03 | 0.16 | |||
| FSI | 0.07 | −0.03 | 0.04 | 0.18 | −0.12 | −0.09 | |||
| APRI | −0.38 ** | −0.45 ** | −0.45 ** | −0.07 | −0.26 | 0.17 | |||
| FIB-4 | −0.35 * | −0.25 | −0.35 * | 0.13 | 0.05 | 0.27 | |||
| AST | −0.41 ** | −0.56 *** | −0.46 *** | 0.05 | −0.35 * | 0.1 | |||
| age | −0.37 ** | −0.15 | −0.28 | 0.21 | 0.14 | 0.30 * | |||
| sBP | 0.16 | 0.13 | 0.15 | 0.09 | 0.01 | −0.2 | |||
| dBP | 0.27 | 0.21 | 0.23 | 0.01 | 0.1 | −0.21 | |||
| weight | 0.22 | 0.06 | 0.2 | 0.04 | −0.16 | −0.19 | |||
| VAI | 0.2 | 0.1 | 0.22 | 0.25 | −0.17 | −0.33 * | |||
| fGlc | −0.22 | −0.15 | −0.17 | −0.02 | 0.03 | 0.27 | |||
| TG | 0.15 | 0.05 | 0.15 | 0.35 * | −0.19 | −0.33 * | |||
| HDL-c | −0.2 | −0.1 | −0.22 | 0.11 | 0.04 | 0.17 | |||
| LDL-c | 0.05 | 0.08 | 0.1 | 0.17 | 0.21 | 0.07 | |||
| Non-HDL-c | 0.06 | 0.06 | 0.11 | 0.16 | 0.14 | −0.04 | |||
| CHOL | −0.01 | 0 | 0.03 | 0.19 | 0.13 | 0.01 | |||
| TG/HDL-c | 0.17 | 0.08 | 0.2 | 0.32 * | −0.17 | −0.34 * | |||
| TyG | 0.05 | −0.01 | 0.06 | 0.30 * | −0.2 | −0.22 | |||
| CRP | −0.09 | −0.14 | −0.11 | −0.09 | −0.17 | −0.04 | |||
| I-FABP | −0.28 * | −0.43 ** | −0.39 ** | 0.09 | −0.32 * | 0.01 | |||
| bSCFAs | −0.05 | −0.1 | −0.11 | 0.04 | 0.16 | 0.18 | |||
| fruits | 0.07 | 0.08 | −0.01 | 0.02 | 0.25 | 0.13 | |||
| vegetables and seeds | 0.09 | −0.03 | 0.01 | 0.03 | −0.04 | 0.05 | |||
| oils | 0.04 | −0.01 | 0.06 | 0.05 | −0.05 | −0.04 | |||
| sweets | 0.08 | 0.14 | 0.02 | −0.04 | 0.27 | 0.18 | |||
| meat | −0.04 | −0.15 | −0.06 | −0.02 | −0.05 | −0.01 | |||
| diary and eggs | −0.08 | 0.08 | −0.05 | −0.02 | 0.11 | 0.14 | |||
| cereal | 0.19 | 0.14 | 0.23 | −0.14 | −0.1 | −0.22 | |||
| drinks | 0.2 | 0.09 | 0.11 | −0.18 | 0.04 | −0.05 | |||
| processed food products | 0.17 | 0.09 | 0.11 | −0.16 | 0.07 | −0.02 | |||
| physical activity | 0.02 | 0.05 | −0.03 | −0.32 | −0.14 | 0.07 | |||
| MADRS | 0.06 | 0.12 | 0.03 | 0.14 | 0.22 | 0.1 | |||
| D-DASS | 0.17 | 0.22 | 0.06 | −0.1 | 0.27 | 0.11 | |||
| S-DASS | −0.03 | −0.07 | −0.11 | 0.08 | 0.05 | 0.22 | |||
| PLC | |||||||||
| % ΔHSI | % ΔALT | % ΔALT/AST | % ΔFSI | % ΔAPRI | % ΔFIB-4 | ||||
| HSI | −0.19 | −0.22 | −0.23 | −0.15 | −0.18 | 0.01 | |||
| ALT | −0.14 | −0.31 * | −0.24 | −0.1 | −0.3 | −0.09 | |||
| ALT/AST | −0.23 | −0.36 * | −0.33 * | −0.04 | −0.1 | 0.11 | |||
| FSI | −0.07 | −0.19 | −0.09 | −0.05 | −0.29 | −0.13 | |||
| APRI | −0.12 | −0.18 | −0.19 | −0.25 | −0.33* | −0.19 | |||
| FIB-4 | 0.06 | 0.02 | −0.05 | −0.11 | −0.16 | −0.13 | |||
| AST | −0.07 | −0.26 | −0.13 | −0.12 | −0.42 ** | −0.24 | |||
| age | −0.04 | −0.08 | −0.12 | 0.1 | −0.09 | −0.01 | |||
| sBP | 0.12 | −0.1 | 0.02 | −0.17 | −0.25 | −0.2 | |||
| dBP | 0.05 | −0.11 | 0.1 | −0.01 | −0.23 | −0.17 | |||
| weight | −0.08 | −0.13 | −0.1 | −0.16 | −0.26 | −0.1 | |||
| VAI | 0.13 | 0.01 | 0.15 | 0.02 | −0.26 | −0.22 | |||
| fGlc | −0.02 | 0.07 | −0.01 | −0.35 * | −0.06 | −0.12 | |||
| TG | 0.11 | −0.06 | 0.18 | 0.16 | −0.33 * | −0.28 | |||
| HDL-c | −0.09 | −0.14 | −0.13 | 0.18 | −0.1 | 0.01 | |||
| LDL-c | 0.2 | −0.18 | 0.13 | 0.14 | −0.45 ** | −0.3 | |||
| non-HDL-c | 0.2 | −0.15 | 0.17 | 0.12 | −0.46 ** | −0.35 * | |||
| CHOL | 0.17 | −0.2 | 0.11 | 0.15 | −0.49 ** | −0.32 * | |||
| TG/HDL-c | 0.17 | 0.03 | 0.23 | 0.09 | −0.2 | −0.21 | |||
| TyG | 0.14 | −0.01 | 0.2 | 0.1 | −0.26 | −0.25 | |||
| CRP | 0.05 | −0.13 | −0.01 | 0.03 | −0.33 * | −0.26 | |||
| I-FABP | −0.16 | −0.15 | −0.23 | 0.07 | 0.07 | 0.21 | |||
| bSCFAs | 0.23 | 0.37 * | 0.27 | 0.21 | 0.08 | 0 | |||
| fruits | 0.09 | 0.2 | 0.05 | −0.17 | 0.46 ** | 0.39 * | |||
| oils | −0.01 | 0.19 | −0.03 | 0.07 | 0.34 * | 0.2 | |||
| vegetables and seeds | 0.3 | 0.34 * | 0.26 | −0.2 | 0.33 * | 0.15 | |||
| sweets | −0.08 | −0.12 | −0.09 | 0.27 | 0.09 | −0.06 | |||
| meat | 0.17 | 0.25 | 0.21 | 0.09 | 0.01 | −0.19 | |||
| diary and eggs | 0.13 | 0.08 | −0.01 | 0.04 | −0.12 | −0.28 | |||
| cereal | 0.34 * | 0.35 * | 0.32 * | −0.1 | 0.1 | −0.08 | |||
| drinks | 0.04 | 0.28 | 0.23 | 0.01 | 0.02 | −0.15 | |||
| processed food products | 0.11 | 0.16 | 0.18 | 0.19 | −0.01 | −0.25 | |||
| physical activity | −0.38 | −0.28 | −0.47 | 0.3 | 0 | 0.51 * | |||
| (n = 41) | |||||||||
| MADRS | 0.02 | 0.16 | 0.06 | −0.12 | 0.11 | 0.03 | |||
| D-DASS | −0.06 | −0.03 | 0.03 | −0.02 | −0.34 * | −0.3 | |||
| S-DASS | −0.1 | 0.02 | −0.14 | 0.12 | −0.05 | 0.1 | |||
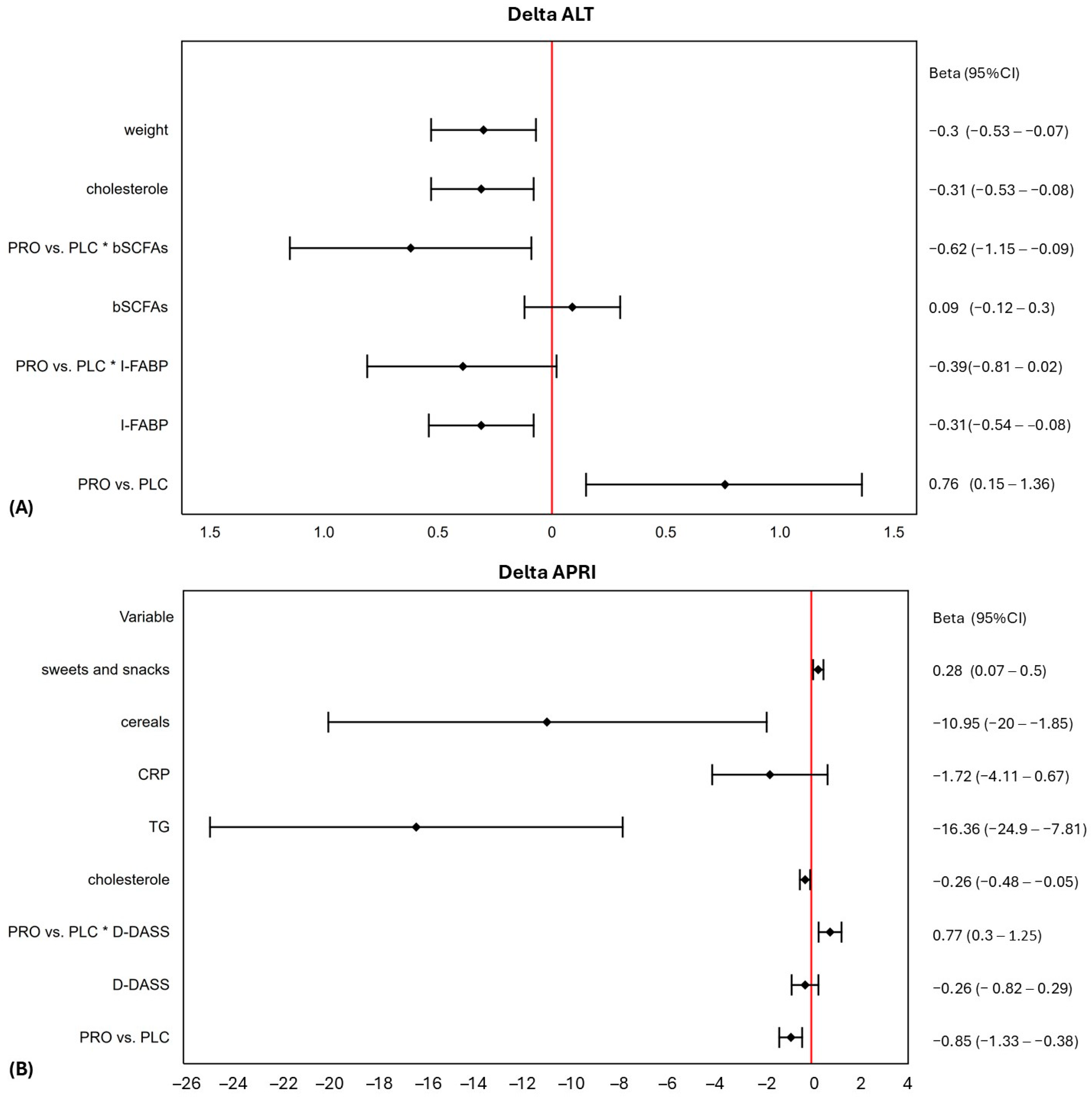
| Dependent Variable | R2adj | F | p | Independent Variable | Coefficient (β [95% CI]) | p-Value |
|---|---|---|---|---|---|---|
| Δ ALT | 0.186 | 3.74 | 0.001 | PRO vs. PLC | 0.76 (0.15–1.36) | 0.014 |
| I-FABP | −0.31 (−0.54–−0.08) | 0.008 | ||||
| PRO vs. PLC * I-FABP | −0.39 (−0.81–0.02) | 0.061 | ||||
| bSCFAs | 0.09 (−0.12–0.30) | 0.378 | ||||
| PRO vs. PLC * bSCFAs | −0.62 (−1.15–−0.09) | 0.023 | ||||
| cholesterol | −0.31 (−0.53–−0.08) | 0.009 | ||||
| weight | −0.30 (−0.53–−0.07) | 0.010 | ||||
| Δ APRI | 0.304 | 4.88 | <0.001 | PRO vs. PLC | −0.85 (−1.33–−0.38) | <0.001 |
| D-DASS | −0.26 (−0.82–0.29) | 0.349 | ||||
| PRO vs. PLC * D-DASS | 0.77 (0.30–1.25) | 0.002 | ||||
| cholesterol | −0.26 (−0.48–−0.05) | 0.018 | ||||
| TG | −16.36 (−24.91–−7.81) | <0.001 | ||||
| CRP | −1.72 (−4.11–0.67) | 0.157 | ||||
| cereals | −10.95 (−20.06–−1.85) | 0.019 | ||||
| sweets and snacks | 0.28 (0.07–0.50) | 0.010 |
Disclaimer/Publisher’s Note: The statements, opinions and data contained in all publications are solely those of the individual author(s) and contributor(s) and not of MDPI and/or the editor(s). MDPI and/or the editor(s) disclaim responsibility for any injury to people or property resulting from any ideas, methods, instructions or products referred to in the content. |
© 2024 by the authors. Licensee MDPI, Basel, Switzerland. This article is an open access article distributed under the terms and conditions of the Creative Commons Attribution (CC BY) license (https://creativecommons.org/licenses/by/4.0/).
Share and Cite
Gawlik-Kotelnicka, O.; Rogalski, J.; Czarnecka-Chrebelska, K.H.; Burzyński, J.; Jakubowska, P.; Skowrońska, A.; Strzelecki, D. The Interplay Between Depression, Probiotics, Diet, Immunometabolic Health, the Gut, and the Liver—A Secondary Analysis of the Pro-Demet Randomized Clinical Trial. Nutrients 2024, 16, 4024. https://doi.org/10.3390/nu16234024
Gawlik-Kotelnicka O, Rogalski J, Czarnecka-Chrebelska KH, Burzyński J, Jakubowska P, Skowrońska A, Strzelecki D. The Interplay Between Depression, Probiotics, Diet, Immunometabolic Health, the Gut, and the Liver—A Secondary Analysis of the Pro-Demet Randomized Clinical Trial. Nutrients. 2024; 16(23):4024. https://doi.org/10.3390/nu16234024
Chicago/Turabian StyleGawlik-Kotelnicka, Oliwia, Jakub Rogalski, Karolina H. Czarnecka-Chrebelska, Jacek Burzyński, Paulina Jakubowska, Anna Skowrońska, and Dominik Strzelecki. 2024. "The Interplay Between Depression, Probiotics, Diet, Immunometabolic Health, the Gut, and the Liver—A Secondary Analysis of the Pro-Demet Randomized Clinical Trial" Nutrients 16, no. 23: 4024. https://doi.org/10.3390/nu16234024
APA StyleGawlik-Kotelnicka, O., Rogalski, J., Czarnecka-Chrebelska, K. H., Burzyński, J., Jakubowska, P., Skowrońska, A., & Strzelecki, D. (2024). The Interplay Between Depression, Probiotics, Diet, Immunometabolic Health, the Gut, and the Liver—A Secondary Analysis of the Pro-Demet Randomized Clinical Trial. Nutrients, 16(23), 4024. https://doi.org/10.3390/nu16234024

