Dietary Habits, Nutrition Intake, and Alcohol Consumption Based on Types of Smoking and Smoking Status: A Cross-Sectional Study
Abstract
1. Introduction
2. Materials and Methods
2.1. Participants
2.2. Questionnaires
2.3. Statistical Analysis
2.4. Ethical Statement
3. Results
3.1. Participant Characteristics
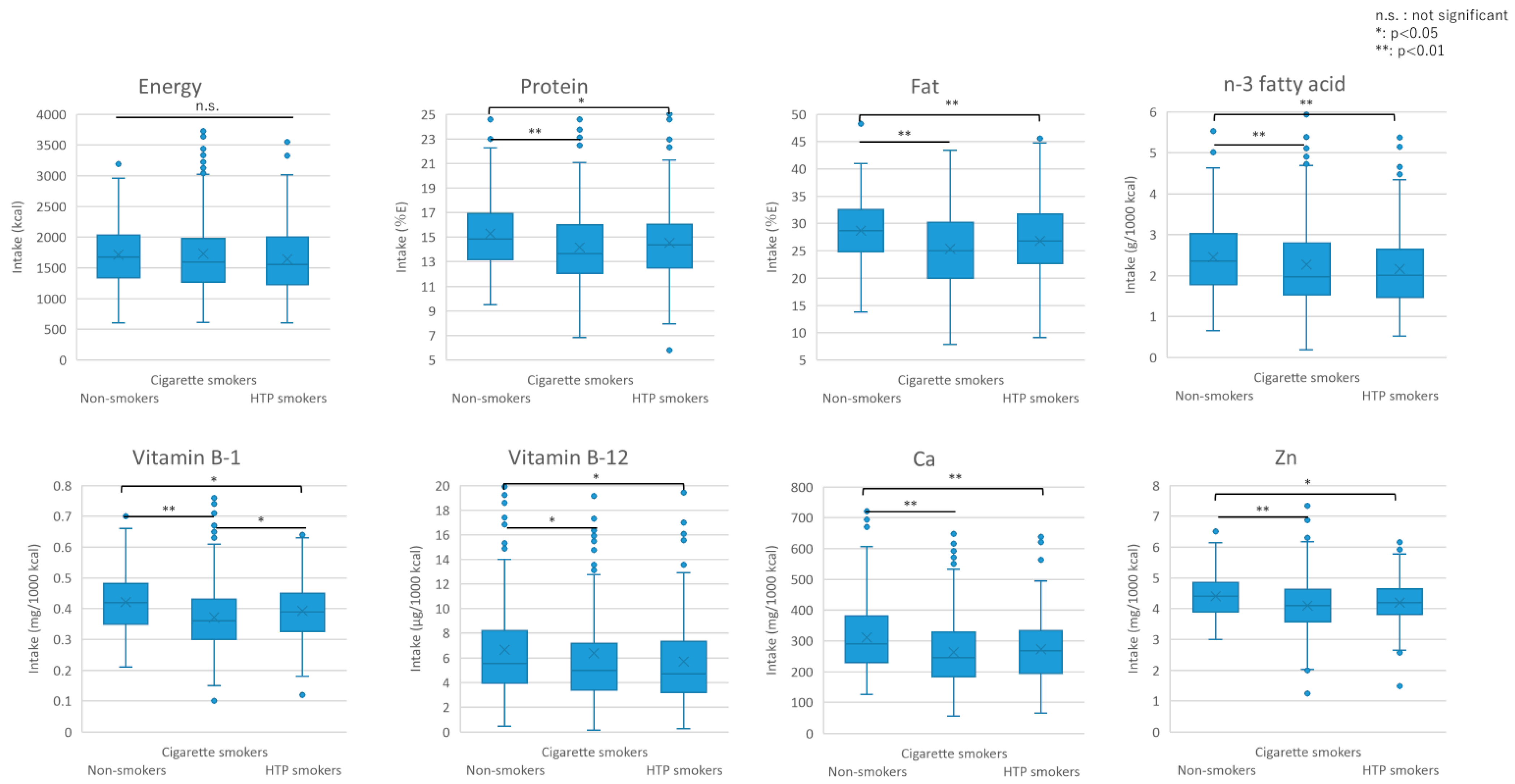
3.2. Food Intake, Nutritional Intake, and Alcohol Consumption by Smoking Status
3.2.1. Food Intake by Smoking Status
3.2.2. Nutritional Intake by Smoking Status
3.2.3. Alcohol Consumption by Smoking Status
4. Discussion
5. Conclusions
Supplementary Materials
Author Contributions
Funding
Institutional Review Board Statement
Informed Consent Statement
Data Availability Statement
Acknowledgments
Conflicts of Interest
References
- Chéruel, F.; Jarlier, M.; Sancho-Garnier, H. Effect of cigarette smoke on gustatory sensitivity, evaluation of the deficit and of the recovery time-course after smoking cessation. Tob. Induc. Dis. 2017, 15, 15. [Google Scholar] [CrossRef] [PubMed]
- Dyer, A.R.; Elliott, P.; Stamler, J.; Chan, Q.; Ueshima, H.; Zhou, B.F.; INTERMAP Research Group. Dietary intake in male and female smokers, ex-smokers, and never smokers: The INTERMAP study. J. Hum. Hypertens. 2003, 17, 641–654. [Google Scholar] [CrossRef] [PubMed]
- Yaguchi-Tanaka, Y.; Ishikawa, H.; Shao, L.; Sasaki, S.; Fukao, A. Association between smoking status and nutrient and food group intakes among community-dwelling Japanese adults. J. Jpn. Soc. Nutr. Food Sci. 2011, 64, 159–167. [Google Scholar] [CrossRef]
- Ruf, T.; Nagel, G.; Altenburg, H.P.; Miller, A.B.; Thorand, B. Food and nutrient intake, anthropometric measurements and smoking according to alcohol consumption in the EPIC Heidelberg study. Ann. Nutr. Metab. 2005, 49, 16–25. [Google Scholar] [CrossRef] [PubMed]
- Palaniappan, U.; Starkey, L.J.; O’Loughlin, J.; Gray-Donald, K. Fruit and vegetable consumption is lower and saturated fat intake is higher among Canadians reporting smoking. J. Nutr. 2001, 131, 1952–1958. [Google Scholar] [CrossRef]
- Oze, I.; Charvat, H.; Matsuo, K.; Ito, H.; Tamakoshi, A.; Nagata, C.; Wada, K.; Sugawara, Y.; Sawada, N.; Yamaji, T.; et al. Revisit of an unanswered question by pooled analysis of eight cohort studies in Japan: Does cigarette smoking and alcohol drinking have interaction for the risk of esophageal cancer? Cancer Med. 2019, 8, 6414–6425. [Google Scholar] [CrossRef]
- Hanioka, T.; Ojima, M.; Tanaka, K.; Aoyama, H. Relationship between smoking status and tooth loss: Findings from national databases in Japan. J. Epidemiol. 2007, 17, 125–132. [Google Scholar] [CrossRef]
- Kawakami, N.; Takatsuka, N.; Inaba, S.; Shimizu, H. Development of a screening questionnaire for tobacco/nicotine dependence according to Icd-10, Dsm-III-r, And Dsm-IV. Addict. Behav. 1999, 24, 155–166. [Google Scholar] [CrossRef]
- Heatherton, T.F.; Kozlowski, L.T.; Frecker, R.C.; Fagerström, K.O. The Fagerström Test for Nicotine Dependence: A revision of the Fagerström Tolerance Questionnaire. Br. J. Addict. 1991, 86, 1119–1127. [Google Scholar] [CrossRef]
- Kobayashi, S.; Murakami, K.; Sasaki, S.; Okubo, H.; Hirota, N.; Notsu, A.; Fukui, M.; Date, C. Comparison of relative validity of food group intakes estimated by comprehensive and brief-type self-administered diet history questionnaires against 16 d dietary records in Japanese adults. Public Health Nutr. 2011, 14, 1200–1211. [Google Scholar] [CrossRef]
- Kobayashi, S.; Honda, S.; Murakami, K.; Sasaki, S.; Okubo, H.; Hirota, N.; Notsu, A.; Fukui, M.; Date, C. Both comprehensive and brief self-administered diet history questionnaires satisfactorily rank nutrient intakes in Japanese adults. J. Epidemiol. 2012, 22, 151–159. [Google Scholar] [CrossRef] [PubMed]
- Okayama, A.; Okuda, N.; Miura, K.; Okamura, T.; Hayakawa, T.; Akasaka, H.; Ohnishi, H.; Saitoh, S.; Arai, Y.; Kiyohara, Y.; et al. Dietary sodium-to-potassium ratio as a risk factor for stroke, cardiovascular disease and all-cause mortality in Japan: The NIPPON DATA80 cohort study. BMJ Open 2016, 6, e011632. [Google Scholar] [CrossRef] [PubMed]
- Ministry of Health, Labour and Welfare. Health Japan 21 [A7]. 2023. Available online: https://www.mhlw.go.jp/content/001102474.pdf (accessed on 23 July 2024).
- Jankowski, M.; Brożek, G.M.; Lawson, J.; Skoczyński, S.; Majek, P.; Zejda, J.E. New ideas, old problems? Heated tobacco products—A systematic review. Int. J. Occup. Med. Environ. Health 2019, 32, 595–634. [Google Scholar] [CrossRef]
- Lee, E.J. Correlations among pain, depressive symptoms, constipation, and serotonin levels in smokers and non smokers. Perspect. Psychiatr. Care 2020, 56, 864–870. [Google Scholar] [CrossRef]
- Cryer, P.E.; Haymond, M.W.; Santiago, J.V.; Shah, S.D. Norepinephrine and epinephrine release and adrenergic mediation of smoking-associated hemodynamic and metabolic events. N. Engl. J. Med. 1976, 295, 573–577. [Google Scholar] [CrossRef]
- Kondo, Y.; Hashimoto, Y.; Hamaguchi, M.; Kaji, A.; Sakai, R.; Inoue, R.; Kashiwagi, S.; Mizushima, K.; Uchiyama, K.; Takagi, T.; et al. Effects of smoking on the gut microbiota in individuals with type 2 diabetes mellitus. Nutrients 2022, 14, 4800. [Google Scholar] [CrossRef]
- Huang, C.; Shi, G. Smoking and microbiome in oral, airway, gut and some systemic diseases. J. Transl. Med. 2019, 17, 225. [Google Scholar] [CrossRef]
- MacLean, R.R.; Cowan, A.; Vernarelli, J.A. More to gain: Dietary energy density is related to smoking status in US adults. BMC Public Health 2018, 18, 365. [Google Scholar] [CrossRef] [PubMed]
- Subar, A.F.; Harlan, L.C.; Mattson, M.E. Food and nutrient intake differences between smokers and non-smokers in the US. Am. J. Public Health 1990, 80, 1323–1329. [Google Scholar] [CrossRef]
- Miyoshi, K.; Kimura, Y.; Nakahata, M.; Miyawaki, T. Foods and beverages associated with smoking craving in heated tobacco product and cigarette smokers: A cross-sectional study. Tob. Induc Dis. 2024, 22, 1–10. [Google Scholar] [CrossRef]
- McClernon, F.J.; Westman, E.C.; Rose, J.E.; Lutz, A.M. The effects of foods, beverages, and other factors on cigarette palatability. Nicotine Tob. Res. 2007, 9, 505–510. [Google Scholar] [CrossRef] [PubMed]
- Tongue testing may reveal reduced sensitivity in smokers. Expert Rev. Respir. Med. 2009, 3, 453–455. [CrossRef] [PubMed][Green Version]
- Strine, T.W.; Okoro, C.A.; Chapman, D.P.; Balluz, L.S.; Ford, E.S.; Ajani, U.A.; Mokdad, A.H. Health-related quality of life and health risk behaviors among smokers. Am. J. Prev. Med. 2005, 28, 182–187. [Google Scholar] [CrossRef] [PubMed]
- Farsalinos, K.E.; Yannovits, N.; Sarri, T.; Voudris, V.; Poulas, K. Nicotine delivery to the aerosol of a heat-not-burn tobacco product: Comparison with a tobacco cigarette and E-cigarettes. Nicotine Tob. Res. 2018, 20, 1004–1009. [Google Scholar] [CrossRef]
- Schwartz, A.; Bellissimo, N. Nicotine and energy balance: A review examining the effect of nicotine on hormonal appetite regulation and energy expenditure. Appetite 2021, 164, 105260. [Google Scholar] [CrossRef]
- Marangon, K.; Herbeth, B.; Lecomte, E.; Paul-Dauphin, A.; Grolier, P.; Chancerelle, Y.; Artur, Y.; Siest, G. Diet, antioxidant status, and smoking habits in French men. Am. J. Clin. Nutr. 1998, 67, 231–239. [Google Scholar] [CrossRef] [PubMed]
- Dallongeville, J.; Marécaux, N.; Fruchart, J.C.; Amouyel, P. Cigarette smoking is associated with unhealthy patterns of nutrient intake: A meta-analysis. J. Nutr. 1998, 128, 1450–1457. [Google Scholar] [CrossRef]
- Gravely, S.; Fong, G.T.; Sutanto, E.; Loewen, R.; Ouimet, J.; Xu, S.S.; Quah, A.C.K.; Thompson, M.E.; Boudreau, C.; Li, G.; et al. Perceptions of harmfulness of heated tobacco products compared to combustible cigarettes among adult smokers in Japan: Findings from the 2018 ITC Japan survey. Int J Environ Res Public Health 2020, 17, 2394. [Google Scholar] [CrossRef]
- Kim, S.J.; Park, B.Y. Changes in smoking patterns and characteristics of Koreans using the Korea National Health and Nutrition Examination Survey 2013–2021 data. Public Health 2024, 227, 259–266. [Google Scholar] [CrossRef]
- Rao, P.; Han, D.D.; Tan, K.; Mohammadi, L.; Derakhshandeh, R.; Navabzadeh, M.; Goyal, N.; Springer, M.L. Comparable impairment of vascular endothelial function by a Wide Range of electronic nicotine delivery devices. Nicotine Tob. Res. 2022, 24, 1055–1062. [Google Scholar] [CrossRef]
- Kagemichi, N.; Umemura, M.; Ishikawa, S.; Iida, Y.; Takayasu, S.; Nagasako, A.; Nakakaji, R.; Akimoto, T.; Ohtake, M.; Horinouchi, T.; et al. Cytotoxic effects of the cigarette smoke extract of heated tobacco products on human oral squamous cell carcinoma: The role of reactive oxygen species and CaMKK2. J. Physiol. Sci. 2024, 74, 35. [Google Scholar] [CrossRef] [PubMed]
- Britt, J.P.; Bonci, A. Alcohol and tobacco: How smoking may promote excessive drinking. Neuron 2013, 79, 406–407. [Google Scholar] [CrossRef] [PubMed]
- Larsson, A.; Engel, J.A. Neurochemical and behavioral studies on ethanol and nicotine interactions. Neurosci. Biobehav. Rev. 2004, 27, 713–720. [Google Scholar] [CrossRef] [PubMed]
- King, A.; McNamara, P.; Conrad, M.; Cao, D. Alcohol-induced increases in smoking behavior for nicotinized and denicotinized cigarettes in men and women. Psychopharmacology 2009, 207, 107–117. [Google Scholar] [CrossRef]
- Garnett, C.; Oldham, M.; Shahab, L.; Tattan-Birch, H.; Cox, S. Characterising smoking and smoking cessation attempts by risk of alcohol dependence: A representative, cross-sectional study of adults in England between 2014–2021. Lancet Reg. Health Eur. 2022, 18, 100418. [Google Scholar] [CrossRef]
- Kawakami, S.; Yamato, R.; Kitamura, K.; Watanabe, Y.; Kabasawa, K.; Takahashi, A.; Saito, T.; Kobayashi, R.; Oshiki, R.; Takachi, R.; et al. Alcohol consumption, smoking, and risk of dementia in community-dwelling Japanese people aged 40–74 years: The Murakami cohort study. Maturitas 2023, 176, 107788. [Google Scholar] [CrossRef]




| Non-Smokers | Cigarette Smokers | HTP Smokers | p-Value | |
|---|---|---|---|---|
| (n = 178) | (n = 242) | (n = 237) | ||
| Sex (male/female) | 89/89 | 115/127 | 118/119 | |
| Age (years) | 53.0 (47.8, 62.0) | 54.0 (47.0, 61.0) | 52.0 (47.0, 60.0) | 0.358 |
| Male | 53.0 (47.5, 62.0) | 54.0 (48.0, 61.5) | 53.0 (47.8, 62.0) | 0.892 |
| Female | 54.0 (47.0, 61.0) | 53.0 (46.0, 61.0) | 51.0 (46.0, 57.0) | 0.155 |
| Height (cm) | 164.0 (157.0, 170.0) | 164.0 (158.0, 170.0) | 165.0 (158.0, 171.0) | 0.543 |
| Male | 169.9 (167.0, 174.5) | 171.0 (168.0, 174.8) | 171.0 (168.0, 174.0) | 0.505 |
| Female | 157.0 (153.0, 161.8) | 158.7 (155.0, 161.0) | 158.0 (156.0, 162.0) | 0.188 |
| Body weight (kg) | 58.5 (51.0, 69.0) | 58.0 (49.8, 67.0) | 58.6 (50.0, 68.0) | 0.535 |
| Male | 67.0 (60.0, 74.3) | 65.0 (60.0, 72.8) | 67.0 (62.9, 73.6) | 0.348 |
| Female | 51.0 (46.0, 56.7) | 50.4 (45.0, 55.5) | 50.7 (47.0, 56.0) | 0.813 |
| BMI (kg/m2) | 21.8 (19.8, 24.1) | 21.2 (19.3, 23.4) | 21.6 (19.7, 23.8) | 0.146 |
| Male | 23.0 (20.8, 25.4) | 22.3 (20.8, 24.2) | 23.1 (21.4, 25.2) | 0.094 |
| Female | 20.6 (18.9, 22.7) | 20.1 (18.4, 22.0) | 20.1 (18.9, 21.7) | 0.336 |
| Smoking history (years) | - | 30.0 (25.0, 40.0) | 30.0 (25.0, 37.3) | 0.194 |
| Male | - | 33.5 (27.3, 40.0) | 32.5 (27.8, 40.0) | 0.758 |
| Female | - | 30.0 (23.0, 39.0) | 30.0 (23.0, 34.0) | 0.098 |
| Number of puffs (Cigarette/HTP) per day | - | 10 (6, 15) | 13 (8, 20) | 0.009 * |
| Male | - | 15 (8, 20) | 15 (10, 20) | 0.426 |
| Female | - | 10 (5, 15) | 12 (7, 16) | 0.005 * |
| Brinkman index | - | 340.0 (174.3, 571.5) | 370.0 (219.0, 594.0) | 0.167 |
| Male | - | 419.0 (271.5, 622.5) | 437.5 (267.5, 621.3) | 0.798 |
| Female | - | 270.0 (126.0, 460.0) | 300.0 (176.3, 500) | 0.125 |
| TDS scores | - | 4 (2, 7) | 5 (2, 7) | 0.127 |
| Male | - | 4 (2, 7) | 5 (1, 7) | 0.504 |
| Female | - | 4 (1, 7) | 5 (2.5, 7) | 0.087 |
| FTND scores | - | 4 (2, 5) | 4 (2, 5) | 0.323 |
| Male | - | 4 (2, 6) | 4 (2, 6) | 0.533 |
| Female | - | 4 (2, 5) | 4 (2, 5) | 0.050 |
| g/1000 kcal | Non-Smokers | Cigarette Smokers | HTP Smokers | p-Value |
|---|---|---|---|---|
| (n = 178) | (n = 242) | (n = 237) | ||
| Cereals | 192.8 (148.9, 242.8) | 201.8 (143.6, 259.5) | 192.8 (139.5, 243.0) | 0.313 |
| Potatoes | 17.0 (8.1, 30.6) | 11.7 (6.0, 22.1) ** | 11.8 (6.7, 21.4) ## | <0.001 |
| Sugar and sweeteners | 27.7 (17.4, 43.6) | 21.0 (11.8, 34.0) ** | 25.4 (12.9, 41.4) | <0.001 |
| Pulses | 32.2 (20.2, 50.1) | 28.3 (14.5, 44.2) | 27.2 (13.9, 49.8) | 0.092 |
| Green and yellow vegetables | 45.8 (29.6, 71.7) | 35.5 (19.7, 62.6) ** | 44.9 (25.7, 74.1) + | 0.002 |
| Other vegetables | 72.7(48.4, 97.9) | 52.4 (31.6, 78.5) ** | 62.1 (39.2, 82.8) # | <0.001 |
| Mushrooms | 5.0 (2.3, 7.9) | 3.2 (1.7, 7.6) * | 4.0 (2.0, 7.1) | 0.043 |
| Fruits | 46.4 (18.1, 81.7) | 22.2 (6.7, 63.9) ** | 31.4 (8.7, 70.9) ## | <0.001 |
| Seaweed | 4.8 (2.0, 9.1) | 3.0 (1.4, 6.5) ** | 3.3 (1.8, 8.1) | 0.006 |
| Fish and shellfish | 30.7 (23.0, 43.7) | 27.7 (19.6, 39.7) | 28.6 (18.4, 41.7) | 0.081 |
| Meat | 38.0 (28.3, 51.2) | 34.5 (23.7, 47.9) | 40.7 (28.4, 53.0) + | 0.031 |
| Eggs | 20.3 (13.2, 33.8) | 20.3 (12.4, 33.1) | 21.1 (10.8, 35.7) | 0.806 |
| Milk and Dairy products | 76.3 (39.5, 120.0) | 48.2 (7.8, 104.1) ** | 57.6 (14.7, 108.8) # | <0.001 |
| Alcoholic beverages | 10.3 (0.0, 89.1) | 76.6 (0.0, 209.6) ** | 39.4 (0.0, 193.9) # | <0.001 |
| Non-alcoholic beverages | 360.1 (246.5, 474.4) | 353.1 (237.5, 502.7) | 378.3 (265.6, 532.1) | 0.235 |
| Seasoning | 11.0 (9.2, 13.6) | 10.9 (7.5, 13.9) | 11.0 (7.9, 13.9) | 0.404 |
| Fat and Oil | 5.8 (4.5, 7.5) | 5.4 (4.0, 7.2) | 5.8 (4.3, 7.7) | 0.105 |
| Non-Smokers | Cigarette Smokers | HTP Smokers | p-Value | |
|---|---|---|---|---|
| (n = 178) | (n = 242) | (n = 237) | ||
| Energy (kcal/day) | 1672.7 (1340.6, 2034.7) | 1597.6 (1271.8, 1970.5) | 1556.8 (1228.3, 2003.7) | 0.246 |
| Protein (%E) | 14.8 (13.2, 16.9) | 13.6 (12.0, 16.0) ** | 14.4 (12.5, 16.1) # | <0.001 |
| Fat (%E) | 28.7 (24.9, 32.5) | 25.0 (20.0, 30.2) ** | 26.8 (22.7, 31.8) ## | <0.001 |
| Carbohydrate (g/1000 kcal) | 128.8 (112.4, 141.5) | 125.1 (104.9, 142.9) | 125.0 (110.8, 142.1) | 0.633 |
| Na (mg/1000 kcal) | 2268.3 (1984.3, 2567.5) | 2196.0 (1855.4, 2579.6) | 2260.3 (1974.2, 2607.8) | 0.227 |
| K (mg/1000 kcal) | 1372.3 (1135.1, 1632.9) | 1178.1 (963.1, 1483.7) ** | 1299.0, (1068.2, 1538.4) + | <0.001 |
| Ca (mg/1000 kcal) | 290.8 (229.4, 381.9) | 245.4 (183.8, 328.2) ** | 267.2 (194.8, 332.9) ## | <0.001 |
| Mg (mg/1000 kcal) | 135.0 (117.8, 160.2) | 127.5 (108.4, 151.4) ** | 131.1 (115.1, 152.9) | 0.01 |
| P (mg/1000 kcal) | 563.7 (485.3, 647.6) | 514 (439.2, 620.4) ** | 532.4 (464.5, 610.0) # | <0.001 |
| Fe (mg/1000 kcal) | 4.3 (3.6, 5.0) | 3.8 (3.1, 4.8) ** | 4.0 (3.4, 4.8) | <0.001 |
| Zn (mg/1000 kcal) | 4.4 (3.9, 4.9) | 4.1 (3.6, 4.6) ** | 4.2 (3.8, 4.6) # | <0.001 |
| Cu (mg/1000 kcal) | 0.6 (0.5, 0.7) | 0.6 (0.5, 0.6) ** | 0.6 (0.5, 0.6) # | 0.006 |
| Mn (mg/1000 kcal) | 1.6 (1.3, 2.1) | 1.5 (1.3, 2.0) | 1.6 (1.3, 2.0) | 0.527 |
| Vit.A (μgRAE/1000 kcal) | 368.5 (272.4, 533.4) | 281.1 (202.3, 470.9) ** | 346.2 (228.0, 506.3) + | <0.001 |
| Vit.D (μg/1000 kcal) | 5.5 (4.0, 8.2) | 4.9 (3.4, 7.1) | 4.7 (3.2, 7.3) ## | 0.008 |
| Vit.E (mg/1000 kcal) | 4.1 (3.3, 4.9) | 3.4 (2.7, 4.3) ** | 3.8 (3.1, 4.7) ++ | <0.001 |
| Vit.K (μg/1000 kcal) | 167.0 (113.4, 224.0) | 136.8 (89.4, 200.2) ** | 148.6 (103.3, 210.9) | 0.003 |
| Vit.B-1 (mg/1000 kcal) | 0.42 (0.35, 0.48) | 0.36 (0.30, 0.43) ** | 0.39 (0.33, 0.45) #+ | <0.001 |
| Vit.B-2 (mg/1000 kcal) | 0.75 (0.62, 0.88) | 0.66 (0.54, 0.84) ** | 0.69 (0.57, 0.85) # | <0.001 |
| Niacin (mg/1000 kcal) | 9.4 (8.0, 10.9) | 9.2 (7.4, 11.1) | 9.5 (8.2, 11.1) | 0.295 |
| Vit.B-6 (mg/1000 kcal) | 0.67 (0.57, 0.79) | 0.60 (0.48, 0.74) ** | 0.63 (0.54, 0.74) | 0.004 |
| Vit.B-12 (μg/1000 kcal) | 4.2 (3.4, 5.6) | 3.7 (2.7, 5.4) * | 3.8 (2.8, 5.4) # | 0.023 |
| Folic acid (μg/1000 kcal) | 178.4 (144.1, 224.4) | 156.0 (116.0, 207.9) ** | 169.4 (132.4, 219.0) + | <0.001 |
| Pantothenic acid (mg/1000 kcal) | 3.5 (3.1, 4.1) | 3.2 (2.7, 3.8) ** | 3.3 (2.9, 3.9) ## | <0.001 |
| Vit.C (mg/1000 kcal) | 56.8 (40.2, 74.2) | 43.3 (28.8, 63.8) ** | 47.9 (35.5, 72.7) + | <0.001 |
| n-3 fatty acid (g/1000 kcal) | 2.4 (1.8, 3.0) | 2.0 (1.5, 2.8) ** | 2.0 (1.5, 2.6) ## | 0.001 |
| Dietary Fiber (g/1000 kcal) | 6.2 (5.2, 7.6) | 5.3 (4.2, 6.7) ** | 5.8 (4.7, 7.0) ## | <0.001 |
| Salt equivalent (g/1000 kcal) | 5.7 (5.0, 6.5) | 5.5 (4.7, 6.5) | 5.7 (5.0, 6.6) | 0.223 |
| Dietary Na/K ratio | 1.6 (1.4, 1.9) | 1.8 (1.5, 2.1) ** | 1.8 (1.5, 2.1) # | 0.001 |
| Non-Smokers | Cigarette Smokers | HTP Smokers | p-Value | |
|---|---|---|---|---|
| (n = 178) | (n = 242) | (n = 237) | ||
| Alcohol drinker/Non-drinker (n, %) | 103, 58%/75, 42% | 169, 70%/72, 30% | 157, 67%/79, 33% | 0.031 |
| Alcohol intake (g/day) | 1.3 (0.0, 15.1) | 7.1 (0.0, 42.6) ** | 4.8 (0.0, 32.1) ## | <0.001 |
| Male drinkers’ alcohol intake (g/day) | 17.6 (2.7, 38.0) | 35.8 (10.0, 54.3) ** | 25.5 (7.0, 49.1) | 0.004 |
| Female drinkers’ alcohol intake (g/day) | 4.5 (2.0, 18.0) | 13.0 (2.9, 50.1) * | 16.7 (3.3, 33.9) | 0.028 |
Disclaimer/Publisher’s Note: The statements, opinions and data contained in all publications are solely those of the individual author(s) and contributor(s) and not of MDPI and/or the editor(s). MDPI and/or the editor(s) disclaim responsibility for any injury to people or property resulting from any ideas, methods, instructions or products referred to in the content. |
© 2024 by the authors. Licensee MDPI, Basel, Switzerland. This article is an open access article distributed under the terms and conditions of the Creative Commons Attribution (CC BY) license (https://creativecommons.org/licenses/by/4.0/).
Share and Cite
Miyoshi, K.; Kimura, Y.; Miyawaki, T. Dietary Habits, Nutrition Intake, and Alcohol Consumption Based on Types of Smoking and Smoking Status: A Cross-Sectional Study. Nutrients 2024, 16, 3881. https://doi.org/10.3390/nu16223881
Miyoshi K, Kimura Y, Miyawaki T. Dietary Habits, Nutrition Intake, and Alcohol Consumption Based on Types of Smoking and Smoking Status: A Cross-Sectional Study. Nutrients. 2024; 16(22):3881. https://doi.org/10.3390/nu16223881
Chicago/Turabian StyleMiyoshi, Kiho, Yuki Kimura, and Takashi Miyawaki. 2024. "Dietary Habits, Nutrition Intake, and Alcohol Consumption Based on Types of Smoking and Smoking Status: A Cross-Sectional Study" Nutrients 16, no. 22: 3881. https://doi.org/10.3390/nu16223881
APA StyleMiyoshi, K., Kimura, Y., & Miyawaki, T. (2024). Dietary Habits, Nutrition Intake, and Alcohol Consumption Based on Types of Smoking and Smoking Status: A Cross-Sectional Study. Nutrients, 16(22), 3881. https://doi.org/10.3390/nu16223881

