Higher Preoperative Serum Neuropeptide Y Concentration May Be Associated with a Better Prognosis After Surgery for Colorectal Cancer
Abstract
1. Introduction
2. Patients and Methods
2.1. Patients
2.2. Parameters of Nutritional Status and Body Composition Assessment
2.3. Biochemical Determinations
2.4. Outcomes Measured
2.4.1. Bioethics
2.4.2. Statistics
3. Results
3.1. Clinical Characteristics in Relation to the Median NPY Value
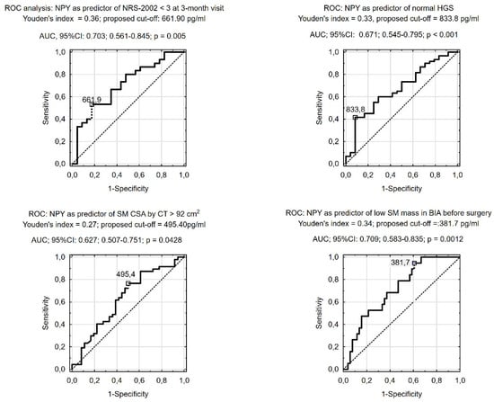
3.2. Prognostic Value of Preoperative NPY (Receiver Operating Characteristic [ROC] Analysis)
4. Discussion
5. Study Limitations and Strengths
6. Conclusions
Author Contributions
Funding
Institutional Review Board Statement
Informed Consent Statement
Data Availability Statement
Conflicts of Interest
References
- Caramujo-Balseiro, S.; Faro, C.; Carvalho, L. Metabolic pathways in sporadic colorectal carcinogenesis: A new proposal. Med. Hypotheses 2021, 148, 110512. [Google Scholar] [CrossRef] [PubMed]
- Beirer, A. Malnutrition and cancer, diagnosis and treatment. Memo 2021, 14, 168–173. [Google Scholar] [CrossRef]
- Muscaritoli, M.; Arends, J.; Bachmann, P.; Baracos, V.; Barthelemy, N.; Bertz, H.; Bozzetti, F.; Hütterer, E.; Isenring, E.; Kaasa, S.; et al. ESPEN practical guideline: Clinical Nutrition in cancer. Clin. Nutr. 2021, 40, 2898–2913. [Google Scholar] [CrossRef]
- Ali, R.; Baracos, V.E.; Sawyer, M.B.; Bianchi, L.; Roberts, S.; Assenat, E.; Mollevi, C.; Senesse, P. Lean body mass as an independent determinant of dose-limiting toxicity and neuropathy in patients with colon cancer treated with FOLFOX regimens. Cancer Med. 2016, 5, 607–616. [Google Scholar] [CrossRef]
- Kasprzak, A.; Adamek, A. The Neuropeptide System and Colorectal Cancer Liver Metastases: Mechanisms and Management. Int. J. Mol. Sci. 2020, 21, 3494. [Google Scholar] [CrossRef]
- Appelt, A.L.; Andersen, R.F.; Lindebjerg, J.; Jakobsen, A. Prognostic value of serum NPY hypermethylation in neoadjuvant chemoradiotherapy for rectal cancer: Secondary analysis of a randomized trial. Am. J. Clin. Oncol. 2020, 43, 9–13. [Google Scholar] [CrossRef]
- Chakroborty, D.; Goswami, S.; Fan, H.; Frankel, W.L.; Basu, S.; Sarkar, C. Neuropeptide Y, a paracrine factor secreted by cancer cells, is an independent regulator of angiogenesis in colon cancer. Br. J. Cancer 2022, 127, 1440–1449. [Google Scholar] [CrossRef] [PubMed]
- Wu, Y.; He, H.; Cheng, Z.; Bai, Y.; Ma, X. The Role of Neuropeptide Y and Peptide YY in the Development of Obesity via Gut-brain Axis. Curr. Protein Pept. Sci. 2019, 20, 750–758. [Google Scholar] [CrossRef]
- Tacad, D.K.M.; Tovar, A.P.; Richardson, C.E.; Horn, W.F.; Keim, N.L.; Krishnan, G.P.; Krishnan, S. Satiety Associated with Calorie Restriction and Time-Restricted Feeding: Central Neuroendocrine Integration. Adv. Nutr. 2022, 13, 758–791. [Google Scholar] [CrossRef]
- Sánchez, M.L.; Rodríguez, F.D.; Coveñas, R. Neuropeptide Y Peptide Family and Cancer: Antitumor Therapeutic Strategies. Int. J. Mol. Sci. 2023, 24, 9962. [Google Scholar] [CrossRef]
- Fonseca, I.C.F.; Castelo-Branco, M.; Cavadas, C.; Abrunhosa, A.J. PET Imaging of the Neuropeptide Y System: A Systematic Review. Molecules 2022, 27, 3726. [Google Scholar] [CrossRef] [PubMed]
- de Luis, D.A.; Izaola, O.; Primo, D.; Aller, R. Different effects of high-protein/low-carbohydrate versus standard hypocaloric diet on insulin resistance and lipid profile: Role of rs16147 variant of neuropeptide Y. Diabetes Res. Clin. Pract. 2019, 156, 107825. [Google Scholar] [CrossRef] [PubMed]
- Akel Bilgiç, H.; Gürel, Ş.C.; Ayhan, Y.; Karahan, S.; Karakaya, İ.; Babaoğlu, M.; Dilbaz, N.; Uluğ, B.D.; Demir, B.; Karaaslan, Ç. Türkiye Örnekleminde Nöropeptit Y Geni (NPY) Promotor Polimorfizmleri ve Alkol Bağımlılığı Arasındaki İlişki [Relationship between alcohol dependence and neuropeptide Y (NPY) gene promoter polymorphisms in a Turkish sample]. Turk. Psikiyatr. Derg. 2020, 31, 232–238. [Google Scholar]
- Kravchychyn, A.C.P.; Campos, R.M.D.S.; e Silva, L.O.; Ferreira, Y.A.M.; Corgosinho, F.C.; Masquio, D.C.L.; Vicente, S.E.C.F.; Oyama, L.M.; Tock, L.; de Mello, M.T.; et al. Adipocytokine and appetite-regulating hormone response to weight loss in adolescents with obesity: Impact of weight loss magnitude. Nutrition 2021, 87–88, 111188. [Google Scholar] [CrossRef]
- Thomsen, C.B.; Hansen, T.F.; Andersen, R.F.; Lindebjerg, J.; Jensen, L.H.; Jakobsen, A. Early identification of treatment benefit by methylated circulating tumor DNA in metastatic colorectal cancer. Ther. Adv. Med. Oncol. 2020, 12, 1758835920918472. [Google Scholar] [CrossRef]
- Abualsaud, N.; Caprio, L.; Galli, S.; Krawczyk, E.; Alamri, L.; Zhu, S.; Gallicano, G.I.; Kitlinska, J. Neuropeptide Y/Y5 Receptor Pathway Stimulates Neuroblastoma Cell Motility Through RhoA Activation. Front. Cell Dev. Biol. 2021, 8, 627090. [Google Scholar] [CrossRef]
- Ding, Y.; Lee, M.; Gao, Y.; Bu, P.; Coarfa, C.; Miles, B.; Sreekumar, A.; Creighton, C.J.; Ayala, G. Neuropeptide Y nerve paracrine regulation of prostate cancer oncogenesis and therapy resistance. Prostate 2021, 81, 58–71. [Google Scholar] [CrossRef] [PubMed]
- Sigorski, D.; Wesołowski, W.; Gruszecka, A.; Gulczyński, J.; Zieliński, P.; Misiukiewicz, S.; Kitlińska, J.; Iżycka-Świeszewska, E. Neuropeptide Y and its receptors in prostate cancer: Associations with cancer invasiveness and perineural spread. J. Cancer Res. Clin. Oncol. 2022, 149, 5803–5822. [Google Scholar] [CrossRef]
- Lin, S.T.; Li, Y.Z.; Sun, X.Q.; Chen, Q.Q.; Huang, S.F.; Lin, S.; Cai, S.Q. Update on the Role of Neuropeptide Y and Other Related Factors in Breast Cancer and Osteoporosis. Front. Endocrinol. 2021, 12, 705499. [Google Scholar] [CrossRef]
- Raunkilde, L.; Hansen, T.F.; Andersen, R.F.; Havelund, B.M.; Thomsen, C.B.; Jensen, L.H. NPY Gene Methylation in Circulating Tumor DNA as an Early Biomarker for Treatment Effect in Metastatic Colorectal Cancer. Cancers 2022, 14, 4459. [Google Scholar] [CrossRef]
- Janssens, K.; Vanhoutte, G.; Lybaert, W.; Demey, W.; Decaestecker, J.; Hendrickx, K.; Kalantari, H.R.; Zwanenpoel, K.; Pauwels, P.; Fransen, E.; et al. NPY Methylated ctDNA is a Promising Biomarker for Treatment Response Monitoring in Metastatic Colorectal Cancer. Clin. Cancer Res. 2023, 29, 1741–1750. [Google Scholar] [CrossRef] [PubMed]
- Chen, Z.-G.; Ji, X.-M.; Xu, Y.-X.; Fong, W.P.; Liu, X.-Y.; Liang, J.-Y.; Tan, Q.; Wen, L.; Cai, Y.-Y.; Wang, D.-S.; et al. Methylated ctDNA predicts early recurrence risk in patients undergoing resection of initially unresectable colorectal cancer liver metastases. Ther. Adv. Med. Oncol. 2024, 16, 17588359241230752. [Google Scholar] [CrossRef] [PubMed]
- Overs, A.; Flammang, M.; Hervouet, E.; Bermont, L.; Pretet, J.-L.; Christophe, B.; Selmani, Z. The detection of specific hypermethylated WIF1 and NPY genes in circulating DNA by crystal digital PCR™ is a powerful new tool for colorectal cancer diagnosis and screening. BMC Cancer 2021, 21, 109. [Google Scholar] [CrossRef] [PubMed]
- Garrigou, S.; Perkins, G.; Garlan, F.; Normand, C.; Didelot, A.; Le Corre, D.; Peyvandi, S.; Mulot, C.; Niarra, R.; Aucouturier, P.; et al. A Study of Hypermethylated Circulating Tumor DNA as a Universal Colorectal Cancer Biomarker. Clin. Chem. 2016, 62, 1129–1139. [Google Scholar] [CrossRef] [PubMed]
- Ogasawara, M.; Murata, J.; Ayukawa, K.; Saiki, I. Differential effect of intestinal neuropeptides on invasion and migration of colon carcinoma cells in vitro. Cancer Lett. 1997, 119, 125–130. [Google Scholar] [CrossRef]
- Dindo, D.; Demartines, N.; Clavien, P.A. Classification of surgical complications: A new proposal with evaluation in a cohort of 6336 patients and results of a survey. Ann. Surg. 2004, 240, 205–213. [Google Scholar] [CrossRef]
- Cruz-Jentoft, A.J.; Bahat, G.; Bauer, J.; Boirie, Y.; Bruyère, O.; Cederholm, T.; Cooper, C.; Landi, F.; Rolland, Y.; Sayer, A.A.; et al. Writing Group for the European Working Group on Sarcopenia in Older People 2 (EWGSOP2), and the Extended Group for EWGSOP2. Sarcopenia: Revised European consensus on definition and diagnosis. Age Ageing 2019, 48, 16–31. [Google Scholar] [CrossRef]
- Branco, M.G.; Mateus, C.; Capelas, M.L.; Pimenta, N.; Santos, T.; Mäkitie, A.; Ganhão-Arranhado, S.; Trabulo, C.; Ravasco, P. Bioelectrical Impedance Analysis (BIA) for the Assessment of Body Composition in Oncology: A Scoping Review. Nutrients 2023, 15, 4792. [Google Scholar] [CrossRef]
- Feng, Y.; Cheng, X.H.; Xu, M.; Zhao, R.; Wan, Q.Y.; Feng, W.H.; Gan, H.T. CT-determined low skeletal muscle index predicts poor prognosis in patients with colorectal cancer. Cancer Med. 2024, 13, e7328. [Google Scholar] [CrossRef]
- Budzyński, J.; Tojek, K.; Czerniak, B.; Banaszkiewicz, Z. Scores of nutritional risk and parameters of nutritional status assessment as predictors of in-hospital mortality and readmissions in the general hospital population. Clin. Nutr. 2016, 35, 1464–1471. [Google Scholar] [CrossRef]
- Shibutani, M.; Kashiwagi, S.; Fukuoka, T.; Iseki, Y.; Kasashima, H.; Maeda, K. Impact of Preoperative Nutritional Status on Long-term Survival in Patients with Stage I–III Colorectal Cancer. Vivo 2023, 37, 1765–1774. [Google Scholar] [CrossRef] [PubMed]
- Wang, L.; Wu, Y.; Deng, L.; Tian, X.; Ma, J. Construction and validation of a risk prediction model for postoperative ICU admission in patients with colorectal cancer: Clinical prediction model study. BMC Anesthesiol. 2024, 24, 222. [Google Scholar] [CrossRef] [PubMed]
- Tang, W.; Li, C.; Huang, D.; Zhou, S.; Zheng, H.; Wang, Q.; Zhang, X.; Fu, J. NRS2002 score as a prognostic factor in solid tumors treated with immune checkpoint inhibitor therapy: A real-world evidence analysis. Cancer Biol. Ther. 2024, 25, 2358551. [Google Scholar] [CrossRef] [PubMed]
- Zheng, X.; Shi, J.Y.; Wang, Z.W.; Ruan, G.T.; Ge, Y.Z.; Lin, S.Q.; Liu, C.A.; Chen, Y.; Xie, H.L.; Song, M.M.; et al. Geriatric Nutritional Risk Index Combined with Calf Circumference Can be a Good Predictor of Prognosis in Patients Undergoing Surgery for Gastric or Colorectal Cancer. Cancer Control. 2024, 31, 10732748241230888. [Google Scholar] [CrossRef] [PubMed]
- Nakamura, Y.; Kawase, M.; Kawabata, Y.; Kanto, S.; Yamaura, T.; Kinjo, Y.; Ogo, Y.; Kuroda, N. Impact of malnutrition on cancer recurrence, colorectal cancer-specific death, and non-colorectal cancer-related death in patients with colorectal cancer who underwent curative surgery. J. Surg. Oncol. 2024, 129, 317–330. [Google Scholar] [CrossRef] [PubMed]
- Steffens, D.; Nott, F.; Koh, C.; Jiang, W.; Hirst, N.; Cole, R.; Karunaratne, S.; West, M.A.; Jack, S.; Solomon, M.J. Effectiveness of Prehabilitation Modalities on Postoperative Outcomes Following Colorectal Cancer Surgery: A Systematic Review of Randomised Controlled Trials. Ann. Surg. Oncol. 2024, 31, 7822–7849. [Google Scholar] [CrossRef]
- Qin, X.; Sun, J.; Liu, M.; Zhang, L.; Yin, Q.; Chen, S. The effects of oral nutritional supplements interventions on nutritional status in patients undergoing colorectal cancer surgery: A systematic review. Int. J. Nurs. Pract. 2024, 30, e13226. [Google Scholar] [CrossRef]
- Pi, J.F.; Zhou, J.; Lu, L.L.; Li, L.; Mao, C.R.; Jiang, L. A study on the effect of nutrition education based on the goal attainment theory on oral nutritional supplementation after colorectal cancer surgery. Support. Care Cancer 2023, 31, 444. [Google Scholar] [CrossRef]


| Parameter | Preoperative | Preoperative | p |
|---|---|---|---|
| NPY ≥ 661.70 pg/mL | NPY < 661.70 pg/mL | ||
| (n = 42) | (n = 42) | ||
| Results obtained preoperatively | |||
| Preoperative serum NPY (pg/mL) | 937.84 ± 212.14 | 367.25 ± 176.49 | <0.001 |
| Age (years) | 66.71 ± 11.03 | 67.95 ± 12.23 | 0.627 |
| Male gender (n, %) | 28 (66.7) | 22 (52.4) | 0.187 |
| NRS-2002 (score) | 2.79 ± 0.84 | 3.02 ± 1.00 | 0.241 |
| NRS-2002 score ≥ 3 | 24 (57.1) | 27 (64.3) | 0.503 |
| MNA (score) | 26.26 ± 2.58 | 24.38 ± 3.16 | 0.004 |
| PG-SGA (score) | 4.17 ± 2.56 | 6.21 ± 5.40 | 0.029 |
| GNRI (score) | 105.95 ± 5.40 | 103.07 ± 9.05 | 0.081 |
| OPNI (score) | 42.34 ± 3.55 | 40.78 ± 5.78 | 0.138 |
| Barthel (score) | 99.64 ± 2.39 | 97.62 ± 5.09 | 0.021 |
| ADL (score) | 6.00 ± 0.00 | 5.93 ± 0.26 | 0.079 |
| IADL (score) | 23.67 ± 1.14 | 22.83 ± 2.19 | 0.031 |
| Mean percentage loss of body weight before surgery during the 3 months before surgery (%) | −2.79 ± 6.00 | −7.03 ± 7.66 | 0.014 |
| BMI (kg/m2) | 29.67 ± 12.20 | 29.31 ± 12.59 | 0.893 |
| Waist circumference (cm) | 100.57 ± 12.14 | 99.88 ± 15.18 | 0.819 |
| Waist-to-hip ratio | 0.97 ± 0.10 | 1.20 ± 1.49 | 0.323 |
| Waist-to-height ratio | 0.59 ± 0.07 | 0.60 ± 0.09 | 0.771 |
| Mid-arm circumference (cm) | 28.66 ± 3.44 | 28.74 ± 3.56 | 0.920 |
| Calf circumference (cm) | 37.32 ± 3.82 | 36.56 ± 3.43 | 0.343 |
| HGS of dominant hand (kg) | 33.82 ± 11.22 | 29.51 ± 13.48 | 0.115 |
| Percentage of patients achieving HGS gender-specific cut-off value | 35 (83.3) | 25 (59.5) | 0.016 |
| Fat mass in BIA (%) | 29.12 ± 8.84 | 29.50 ± 9.80 | 0.855 |
| VAT (score) | 12.45 ± 3.76 | 12.44 ± 5.84 | 0.992 |
| Percentage of skeletal mass (%) | 37.86 ± 5.92 | 39.05 ± 6.68 | 0.404 |
| Blood albumin (g/L) | 4.23 ± 0.36 | 4.08 ± 0.58 | 0.138 |
| CRP (mg/L) | 8.71 ± 14.03 | 9.81 ± 14.29 | 0.723 |
| Hemoglobin (g/L) | 12.72 ± 2.18 | 12.71 ± 1.89 | 0.987 |
| Lymphocytes (G/L) | 1.94 ± 0.63 | 2.07 ± 1.89 | 0.577 |
| Total cholesterol (mg/dL) | 182.60 ± 48.49 | 170.10 ± 42.09 | 0.211 |
| Glucose (mg/dL) | 110.71 ± 23.47 | 111.05 ± 18.91 | 0.943 |
| Creatinine (mg/dL) | 0.87 ± 0.23 | 0.86 ± 0.21 | 0.754 |
| SM CSA by CT before surgery (cm2) | 105.11 ± 28.49 | 94.91 ± 36.02 | 0.156 |
| SAT CSA by CT before surgery (cm2) | 174.30 ± 84.06 | 177.91 ± 77.51 | 0.840 |
| SM CSA ≥ 92 cm2 before surgery (n, %) | 28 (66.7) | 19 (45.2) | 0.061 |
| SAT CSA ≥ 118 cm2 before surgery (n, %) | 29 (69.0) | 33 (78.6) | 0.230 |
| VAT CSA ≥ 241 cm2 before surgery (n, %) | 8 (19.0) | 6 (14.3) | 0.591 |
| Selected results obtained at 3-month visit | |||
| NRS-2002 score ≥ 3 at 3-month visit | 8 (19.0) | 24 (57.1) | 0.001 |
| Barthel score at 3-month visit | 100.00 ± 0.00 | 92.50 ± 17.71 | 0.022 |
| ADL score at 3-month visit | 6.00 ± 0.00 | 5.72 ± 1.06 | 0.149 |
| IADL score at 3-month visit | 23.94 ± 0.25 | 21.64 ± 3.75 | 0.001 |
| HGS of dominant hand at 3-month visit (kg) | 32.44 ± 9.97 | 27.32 ± 12.94 | 0.079 |
| Calf circumference at 3-month visit (cm) | 40.74 ± 6.02 | 37.56 ± 5.69 | 0.031 |
| Parameter | Preoperative | Preoperative | p |
|---|---|---|---|
| NPY ≥ 661.70 pg/mL | NPY < 661.70 pg/mL | ||
| (n = 42) | (n = 42) | ||
| Length of in-hospital stay (days) | 8.88 ± 5.32 | 9.15 ± 4.81 | 0.809 |
| All-cause death during follow-up (n, %) | 12 (28.6) | 15 (35.7) | 0.483 |
| Length of follow-up (days) | 1265.95 ± 497.31 | 1326.05 ± 723.38 | 0.658 |
| Carcinoembryonic antigen (ng/mL) | 6.50 ± 10.5 | 4.58 ± 6.49 | 0.310 |
| Tumor size (cm) | 4.29 ± 1.88 | 4.73 ± 3.32 | 0.472 |
| Localization (rectum/colon) (n, %) | 15 (35.7) | 19 (45.2) | 0.344 |
| 27 (64.3) | 23 (54.8) | ||
| Histopathological grade (G1/G2/G3) (n, %) | 1 (2.4) | 2 (4.8) | 0.169 |
| 39 (92.9) | 35 (83.3) | ||
| 2 (4.8) | 5 (11.9) | ||
| WHO CRC clinical advancement (stage I/II/III/IV) (n, %) | 10 (23.8) | 11 (26.2) | 0.994 |
| 11 (26.2) | 11 (26.2) | ||
| 17 (40.5) | 16 (38.1) | ||
| 4 (9.5) | 4 (9.5) | ||
| Astler–Coller classification (A/B/C/D) (n, %) | 1 (2.4) | 4 (9.5) | 0.467 |
| 19 (45.2) | 21 (50.0) | ||
| 18 (42.9) | 14 (33.3) | ||
| 4 (9.5) | 3 (7.1) | ||
| Lymph gland metastases (n, %) | 18 (42.9) | 17 (40.5) | 0.565 |
| All-cause perioperative complications (n, %) | 5 (11.9) | 13 (31.0) | 0.049 |
| CDC Grade I and II | 5 (11.9) | 9 (21.4) | 0.242 |
| CDC Grade IIIa | 0 | 4 (9.5) | 0.041 |
| Adjuvant chemotherapy (n, %) | 23 (54.8) | 19 (45.2) | 0.258 |
| Neoadjuvant radiotherapy (n, %) | 15 (35.7) | 11 (26.2) | 0.271 |
Disclaimer/Publisher’s Note: The statements, opinions and data contained in all publications are solely those of the individual author(s) and contributor(s) and not of MDPI and/or the editor(s). MDPI and/or the editor(s) disclaim responsibility for any injury to people or property resulting from any ideas, methods, instructions or products referred to in the content. |
© 2024 by the authors. Licensee MDPI, Basel, Switzerland. This article is an open access article distributed under the terms and conditions of the Creative Commons Attribution (CC BY) license (https://creativecommons.org/licenses/by/4.0/).
Share and Cite
Budzyński, J.; Czarnecki, D.; Ziółkowski, M.; Szukay, B.; Mysiak, N.; Staniewska, A.; Michalska, M.; Żekanowska, E.; Tojek, K. Higher Preoperative Serum Neuropeptide Y Concentration May Be Associated with a Better Prognosis After Surgery for Colorectal Cancer. Nutrients 2024, 16, 3825. https://doi.org/10.3390/nu16223825
Budzyński J, Czarnecki D, Ziółkowski M, Szukay B, Mysiak N, Staniewska A, Michalska M, Żekanowska E, Tojek K. Higher Preoperative Serum Neuropeptide Y Concentration May Be Associated with a Better Prognosis After Surgery for Colorectal Cancer. Nutrients. 2024; 16(22):3825. https://doi.org/10.3390/nu16223825
Chicago/Turabian StyleBudzyński, Jacek, Damian Czarnecki, Marcin Ziółkowski, Beata Szukay, Natalia Mysiak, Agata Staniewska, Małgorzata Michalska, Ewa Żekanowska, and Krzysztof Tojek. 2024. "Higher Preoperative Serum Neuropeptide Y Concentration May Be Associated with a Better Prognosis After Surgery for Colorectal Cancer" Nutrients 16, no. 22: 3825. https://doi.org/10.3390/nu16223825
APA StyleBudzyński, J., Czarnecki, D., Ziółkowski, M., Szukay, B., Mysiak, N., Staniewska, A., Michalska, M., Żekanowska, E., & Tojek, K. (2024). Higher Preoperative Serum Neuropeptide Y Concentration May Be Associated with a Better Prognosis After Surgery for Colorectal Cancer. Nutrients, 16(22), 3825. https://doi.org/10.3390/nu16223825

