Antarctic Krill Euphausia superba Oil Supplementation Attenuates Hypercholesterolemia, Fatty Liver, and Oxidative Stress in Diet-Induced Obese Mice
Abstract
1. Introduction
2. Materials and Methods
2.1. Materials
2.2. Cell Culture
2.3. Preparation of ESKO and Palmitic Acid Solution
2.4. Cell Viability Assay
2.5. Oil Red O Staining
2.6. Triglyceride Level
2.7. HMG-CoA Reductase Activity Analysis
2.8. Molecular Docking
2.9. Animals
2.10. In Vivo DIO Mouse Model and Treatment Groups
2.11. Tissue Analysis and Liver Histology
2.12. Catalase Assay
2.13. Superoxide Dismutase Assay
2.14. Glutathione Peroxidase Assay
2.15. Lipid Peroxidation Assay
2.16. Nitric Oxide Assay
2.17. Biochemical Analysis
2.18. Immunoblotting
2.19. Statistical Analysis
3. Results
3.1. Effect of ESKO and Palmitic Acid on Cell Viability in HepG2 Cells
3.2. Effect of ESKO on Lipid Accumulation and HMG-CoA Reductase Activity in HepG2 Cells
3.3. In Silico Molecular Docking on HMG-CoA Reductase
3.4. Effect of ESKO on CD36, LXRα, SREBP1c, LDLR, and PCSK9 Signaling and HMGCR Activity in HepG2 Cells
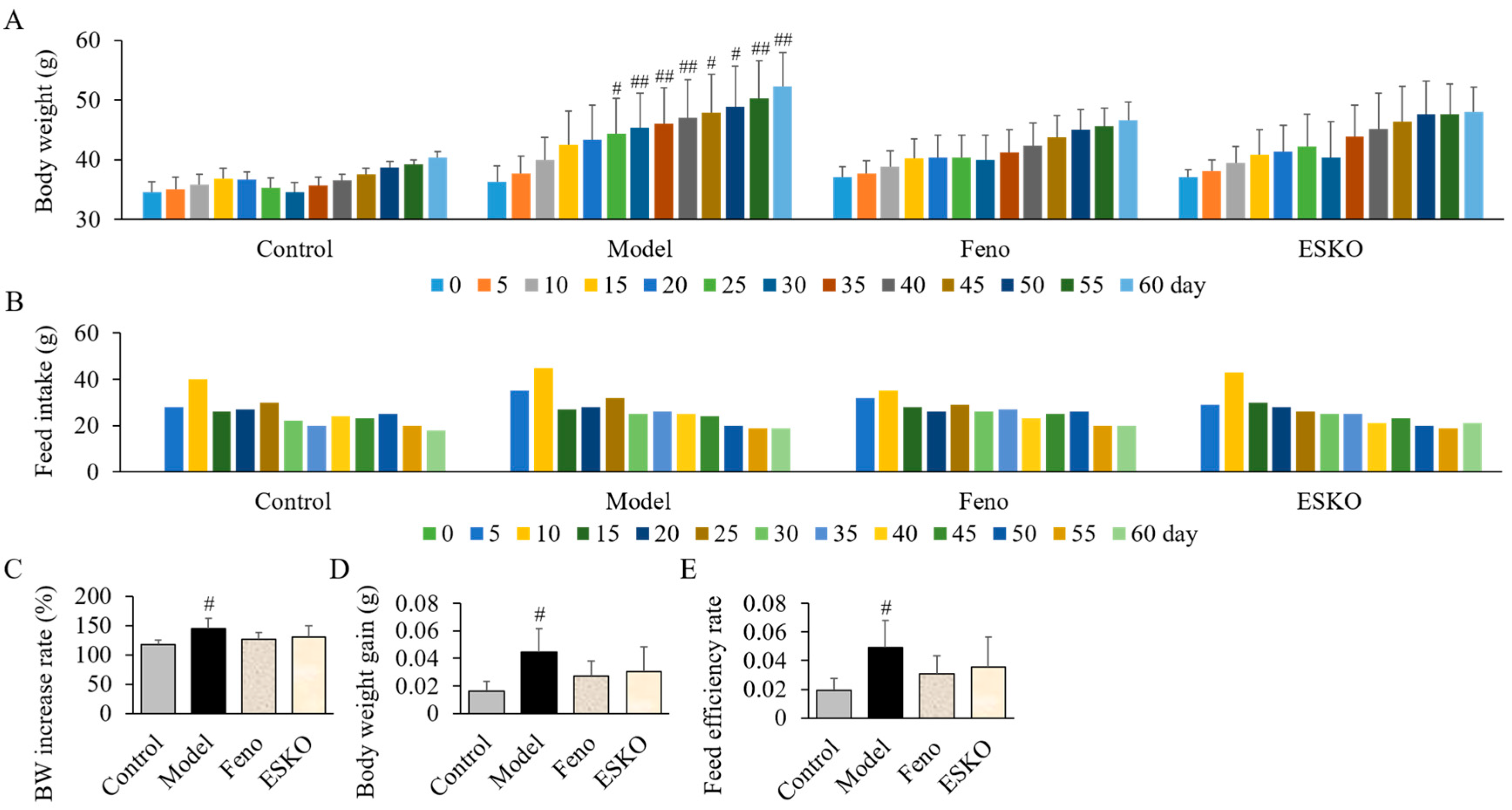
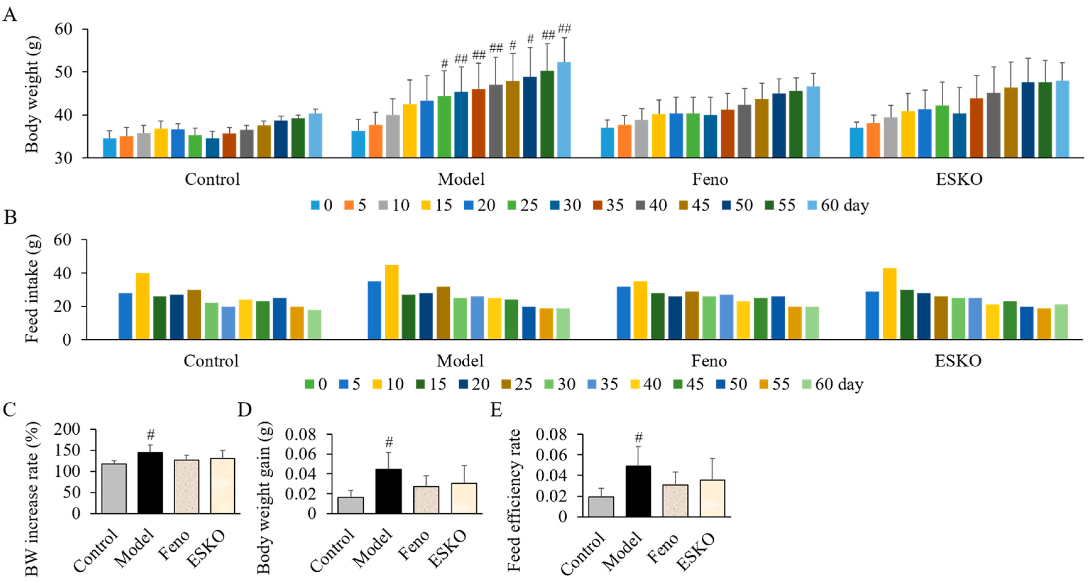
3.5. Effect of ESKO on Body Weight Gain and Feed Efficiency in DIO Mouse Models
3.6. Effect of ESKO on the Weight of Tissues
3.7. Effect of ESKO on Hepatic and Epididymal Fats in DIO Mouse Models
3.8. Effect of ESKO on Lipid, Total Protein, and Oxidative Stress Parameters on Liver
3.9. Effect of ESKO on Oxidative STRESS Parameters in Serum
3.10. Effect of ESKO on Biochemical Parameters of Serum
3.11. Effect of ESKO on HDF-Induced CD36/LXRα/SREBP1c, LDLR/PCSK9 Signaling and HMGCR Level in Livers of Obese Mice
4. Discussion
5. Conclusions
Supplementary Materials
Author Contributions
Funding
Institutional Review Board Statement
Informed Consent Statement
Data Availability Statement
Acknowledgments
Conflicts of Interest
References
- Ryan, D.; Barquera, S.; Barata Cavalcanti, O.; Ralston, J. The Global Pandemic of Overweight and Obesity. In Handbook of Global Health; Kickbusch, I., Ganten, D., Moeti, M., Eds.; Springer: Cham, Switzerland, 2021; Volume 1, pp. 739–773. [Google Scholar]
- Lobstein, T.; Jackson-Leach, R.; Brinsden, H.; Gray, M. World Obesity Atlas 2023; World Obesity Federation: London, UK, 2023. [Google Scholar]
- Korea Disease Control and Prevention Agency. Korea Health Statistics 2020: Korea National Health and Nutrition Examination Survey (KNHANES VIII-2); Korea Disease Control and Prevention Agency: Cheongju, Republic of Korea, 2021; pp. 157–204. [Google Scholar]
- Choi, J.H.; Kim, M.K.; Yeo, S.H.; Kim, S. Short-term Cudrania tricuspidata fruit vinegar administration attenuates obesity in high-fat diet-fed mice by improving fat accumulation and metabolic parameters. Sci. Rep. 2020, 10, 21102. [Google Scholar] [CrossRef] [PubMed]
- Esser, N.; Legrand-Poels, S.; Piette, J.; Scheen, A.J.; Paquot, N. Inflammation as a link between obesity, metabolic syndrome and type 2 diabetes. Diabetes Res. Clin. Pract. 2014, 105, 141–150. [Google Scholar] [CrossRef]
- Morelli, M.; Gaggini, M.; Daniele, G.; Marraccini, P.; Sicari, R.; Gastaldelli, A. Ectopic fat: The true culprit linking obesity and cardiovascular disease? Thromb. Haemost. 2013, 110, 651–660. [Google Scholar] [CrossRef]
- Zheng, L.F.; Chen, P.J.; Zhou, Y.Z.; Xiao, W.H. Fat deposition in skeletal muscle and its regulation. Sheng Li Xue Bao 2017, 69, 344–350. [Google Scholar]
- Kim, H.Y.; Kang, S.M.; Go, G.W. The effects of multi grain with oats (Avena sativa) on obesity in C57BL/6NTac mice fed a high-fat diet: Limited evidence observed. Korean J. Food Sci. Technol. 2023, 55, 346–352. [Google Scholar] [CrossRef]
- Xie, D.; Gong, M.; Wei, W.; Jin, J.; Wang, X.; Wang, X.; Jin, Q. Antarctic krill (Euphausia superba) oil: A comprehensive review of chemical composition, extraction technologies, health benefits, and current applications. Compr. Rev. Food Sci. Food Saf. 2019, 18, 514–534. [Google Scholar] [CrossRef]
- Winther, B.; Hoem, N.; Berge, K.; Reubsaet, L. Elucidation of phosphatidylcholine composition in krill oil extracted from Euphausia superba. Lipids 2011, 46, 25–36. [Google Scholar] [CrossRef]
- Sung, H.H.; Sinclair, A.J.; Lewandowski, P.A.; Su, X.Q. Postprandial long-chain n-3 polyunsaturated fatty acid response to krill oil and fish oil consumption in healthy women: A randomised controlled, single-dose, crossover study. Asia Pac. J. Clin. Nutr. 2018, 27, 148–157. [Google Scholar] [PubMed]
- Grynbaum, M.D.; Hentschel, P.; Putzbach, K.; Rehbein, J.; Krucker, M.; Nicholson, G.; Albert, K. Unambiguous detection of astaxanthin and astaxanthin fatty acid esters in krill (Euphausia superba Dana). J. Sep. Sci. 2005, 28, 1685–1693. [Google Scholar] [CrossRef]
- Wang, H.; Fu, Z.M.; Han, C. The potential applications of marine bioactives against diabetes and obesity. Am. J. Mar. Sci. 2014, 2, 1–8. [Google Scholar]
- Djuricic, I.; Calder, P.C. Beneficial outcomes of omega-6 and omega-3 polyunsaturated fatty acids on human health: An update for 2021. Nutrients 2021, 13, 2421. [Google Scholar] [CrossRef]
- Yu, M.; Jun, H.J.; Son, Y.; Park, C.; Hong, J.T.; Son, D.J. Enzymatically decomposed antarctic krill oil inhibits atherosclerosis by suppressing the vascular endothelial inflammation. Food Suppl. Biomater. Health 2021, 1, e9. [Google Scholar] [CrossRef]
- Tillander, V.; Bjørndal, B.; Burri, L.; Bohov, P.; Skorve, J.; Berge, R.K.; Alexson, S.E. Fish oil and krill oil supplementations differentially regulate lipid catabolic and synthetic pathways in mice. Nutr. Metab. 2014, 11, 20. [Google Scholar] [CrossRef]
- Kim, O.K.; Yun, J.M.; Kim, D.; Park, S.J.; Lee, C.; Go, E.B.; Kim, J.S.; Park, S.Y.; Lee, J. Krill oil inhibits cholesterol synthesis and stimulated cholesterol excretion in hypercholesterolemic rats. Mar. Drugs 2022, 20, 609. [Google Scholar] [CrossRef] [PubMed]
- Kim, J.H.; Seo, H.J.; Pang, Q.Q.; Kwon, Y.R.; Kim, J.H.; Cho, E.J. Protective effects of krill oil on high fat diet-induced cognitive impairment by regulation of oxidative stress. Free Radic. Res. 2021, 55, 799–809. [Google Scholar] [CrossRef] [PubMed]
- Xiang, X.; Zhou, X.; Wang, W.; Zhou, Y.; Zhou, X.; Deng, S.; Zheng, B.; Wen, Z. Effect of Antarctic krill phospholipid (KOPL) on high fat diet-induced obesity in mice. Food Res. Int. 2021, 148, 110456. [Google Scholar] [CrossRef] [PubMed]
- Lee, H.J.; Park, S.E.; Kim, S. Cudrania tricuspidata fruit extract ameliorates free fatty acid-induced lipid accumulation in HepG2 cells. J. Life Sci. 2019, 29, 1144–1151. [Google Scholar]
- Cousin, S.P.; Hügl, S.R.; Wrede, C.E.; Kajio, H.; Myers, M.G., Jr.; Rhodes, C.J. Free fatty acid-induced inhibition of glucose and insulin-like growth factor I-induced deoxyribonucleic acid synthesis in the pancreatic beta-cell line INS-1. Endocrinology 2001, 142, 229–240. [Google Scholar] [CrossRef]
- Morris, G.M.; Huey, R.; Lindstrom, W.; Sanner, M.F.; Belew, R.K.; Goodsell, D.S.; Olson, A.J. AutoDock4 and AutoDockTools4: Automated docking with selective receptor flexibility. J. Comput. Chem. 2009, 30, 2785–2791. [Google Scholar] [CrossRef]
- Schrödinger, LLC. The PyMOL Molecular Graphics System, Version 1.8; Schrödinger LLC: New York, NY, USA, 2015.
- Choi, J.H.; Park, S.M.; Kim, S. Investigation of potential cGMP-specific PDE V and aminopeptidase N inhibitors of Allium ampeloprasum L. and its bioactive components: Kinetic and molecular docking studies. Int. J. Mol. Sci. 2023, 24, 13319. [Google Scholar] [CrossRef]
- Sousa, S.F.; Fernandes, P.A.; Ramos, M.J. Protein-ligand docking: Current status and future challenges. Proteins 2006, 65, 15–26. [Google Scholar] [CrossRef] [PubMed]
- Ikewuchi, C.J.; Ikewuchi, C.C. Alteration of plasma lipid profiles and atherogenic indices by Stachytarpheta jamaicensis L. (Vahl). Biokemistri 2009, 21, 71–77. [Google Scholar] [CrossRef]
- Sun, D.; Zhang, L.; Chen, H.; Feng, R.; Cao, P.; Liu, Y. Effects of Antarctic krill oil on lipid and glucose metabolism in C57BL/6J mice fed with high fat diet. Lipids Health Dis. 2017, 16, 218. [Google Scholar] [CrossRef] [PubMed]
- Hwang, S.M.; Kim, Y.U.; Kim, J.K.; Chun, Y.S.; Kwon, Y.S.; Ku, S.K.; Song, C.H. Preventive and therapeutic effects of krill oil on obesity and obesity-induced metabolic syndromes in high-fat diet-fed mice. Mar. Drugs 2022, 20, 483. [Google Scholar] [CrossRef]
- Choi, J.H.; Kim, K.M.; Park, S.E.; Kim, M.K.; Kim, S. Short-term effects of PJE administration on metabolic parameters in diet-induced obesity mice. Foods 2023, 12, 1675. [Google Scholar] [CrossRef]
- Sistilli, G.; Kalendova, V.; Cajka, T.; Irodenko, I.; Bardova, K.; Oseeva, M.; Zacek, P.; Kroupova, P.; Horakova, O.; Lackner, K.; et al. Krill oil supplementation reduces exacerbated hepatic steatosis induced by thermoneutral housing in mice with diet-induced obesity. Nutrients 2021, 13, 437. [Google Scholar] [CrossRef]
- Lee, M.F.; Lai, C.S.; Cheng, A.C.; Hou, J.S.; Badmaev, V.; Ho, C.T.; Pan, M.H. Krill oil and xanthigen separately inhibit high fat diet induced obesity and hepatic triacylglycerol accumulation in mice. J. Funct. Foods 2015, 19, 913–921. [Google Scholar] [CrossRef]
- Im, S.S.; Yousef, L.; Blaschitz, C.; Liu, J.Z.; Edwards, R.A.; Young, S.G.; Raffatellu, M.; Osborne, T.F. Linking lipid metabolism to the innate immune response in macrophages through sterol regulatory element binding protein-1a. Cell Metab. 2011, 13, 540–549. [Google Scholar] [CrossRef]
- Zou, Y.; Zhang, Y.; Li, M.; Cao, K.; Song, C.; Zhang, Z.; Cai, K.; Geng, D.; Chen, S.; Wu, Y.; et al. Regulation of lipid metabolism by E3 ubiquitin ligases in lipid-associated metabolic diseases. Int. J. Biol. Macromol. 2024, 265, 130961. [Google Scholar] [CrossRef]
- Goldstein, J.L.; Brown, M.S. The LDL receptor. Arterioscler. Thromb. Vasc. Biol. 2009, 29, 431–438. [Google Scholar] [CrossRef]
- Dubuc, G.; Chamberland, A.; Wassef, H.; Davignon, J.; Seidah, N.G.; Bernier, L.; Prat, A. Statins upregulate PCSK9, the gene encoding the proprotein convertase neural apoptosis-regulated convertase-1 implicated in familial hypercholesterolemia. Arterioscler. Thromb. Vasc. Biol. 2004, 24, 1454–1459. [Google Scholar] [CrossRef] [PubMed]
- Krysa, J.A.; Ooi, T.C.; Proctor, S.D.; Vine, D.F. Nutritional and lipid modulation of PCSK9: Effects on cardiometabolic risk factors. J. Nutr. 2017, 147, 473–481. [Google Scholar] [CrossRef] [PubMed]
- Bjermo, H.; Jullberg, J.; Dahlman, I.; Johansson, L.; Persson, L.; Berglund, J.; Pulkki, K.; Basu, S.; Uusitupa, M.; Rudling, M.; et al. Effects of n-6 PUFAs compared with SFAs on liver fat, lipoproteins, and inflammation on abdominal obesity: A randomized controlled trial. Am. J. Clin. Nutr. 2012, 95, 1003–1012. [Google Scholar] [CrossRef] [PubMed]
- Persson, L.; Cao, G.; Ståhle, L.; Sjöberg, B.G.; Troutt, J.S.; Konrad, R.J.; Gälman, C.; Wallén, H.; Eriksson, M.; Hafström, I. Circulating proprotein convertase subtilisin kexin type 9 has a diurnal rhythm synchronous with cholesterol synthesis and is reduced by fasting in humans. Arterioscler. Thromb. Vasc. Biol. 2010, 30, 2666–2672. [Google Scholar] [CrossRef]
- Ou, J.; Tu, H.; Shan, B.; Luk, A.; DeBose-Boyd, R.A.; Bashmakov, Y.; Goldstein, J.L.; Brown, M.S. Unsaturated fatty acids inhibit transcription of the sterol regulatory element-binding protein-1c (SREBP-1c) gene by antagonizing ligand-dependent activation of the LXR. Proc. Natl. Acad. Sci. USA 2001, 98, 6027–6032. [Google Scholar] [CrossRef]
- Chan, M.L.Y.; Shiu, S.W.M.; Cheung, C.L.; Leung, A.Y.H.; Tan, K.C.B. Effects of statins on the inducible degrader of low-density lipoprotein receptor in familial hypercholesterolemia. Endocr. Connect. 2022, 11, e220019. [Google Scholar] [CrossRef]
- Hong, C.; Marshall, S.M.; McDaniel, A.L.; Graham, M.; Layne, J.D.; Cai, L.; Scotti, E.; Boyadjian, R.; Kim, J.; Chamberlain, B.T.; et al. The LXR-Idol axis differentially regulates plasma LDL levels in primates and mice. Cell Metab. 2014, 20, 910–918. [Google Scholar] [CrossRef]
- Esposito, K.; Ciotola, M.; Giugliano, D. Oxidative stress in the metabolic syndrome. J. Endocrinol. Investig. 2006, 29, 791–795. [Google Scholar] [CrossRef]
- Fernández-Sánchez, A.; Madrigal-Santillán, E.; Bautista, M.; Esquivel-Soto, J.; Morales-González, Á.; Esquivel-Chirino, C.; Durante-Montiel, I.; Sánchez-Rivera, G.; Valadez-Vega, C.; Morales-González, J.A. Infammation, oxidative stress, and obesity. Int. J. Mol. Sci. 2011, 12, 3117–3132. [Google Scholar] [CrossRef]
- DeSouza, C.A.; Van Guilder, G.P.; Greiner, J.J.; Smith, D.T.; Hoetzer, G.L.; Stauffer, B.L. Basal endothelial nitric oxide release is preserved in overweight and obese adults. Obes. Res. 2005, 13, 1303–1306. [Google Scholar] [CrossRef]
- Dobrian, A.; Schriver, S.; Lynch, T.; Prewitt, R. Effect of salt on hypertension and oxidative stress in a rat model of diet-induced obesity. Am. J. Physiol. Renal. Physiol. 2003, 285, 619–628. [Google Scholar] [CrossRef] [PubMed]
- Hosseindoust, A.; Oh, S.M.; Ko, H.S.; Jeon, S.M.; Ha, S.H.; Jang, A.; Son, J.S.; Kim, G.Y.; Kang, H.K.; Kim, J.S. Muscle antioxidant activity and meat quality are altered by supplementation of astaxanthin in broilers exposed to high temperature. Antioxidants 2020, 9, 1032. [Google Scholar] [CrossRef] [PubMed]
- Dai, M.; Li, C.; Yang, Z.; Sui, Z.; Li, J.; Dong, P.; Liang, X. The astaxanthin aggregation pattern greatly influences its antioxidant activity: A comparative study in Caco-2 cells. Antioxidants 2020, 9, 126. [Google Scholar] [CrossRef]
- Kim, E.S.; Baek, Y.; Yoo, H.J.; Lee, J.S.; Lee, H.G. Chitosan-tripolyphosphate nanoparticles prepared by ionic gelation improve the antioxidant activities of astaxanthin in the in vitro and in vivo model. Antioxidants 2022, 11, 479. [Google Scholar] [CrossRef]
- Pérez-Torres, I.; Castrejón-Téllez, V.; Soto, M.E.; Rubio-Ruiz, M.E.; Manzano-Pech, L.; Guarner-Lans, V. Oxidative stress, plant natural antioxidants, and obesity. Int. J. Mol. Sci. 2021, 22, 1786. [Google Scholar] [CrossRef]
- Carrasco-Pozo, C.; Cires, M.J.; Gotteland, M. Quercetin and epigallocatechin gallate in the prevention and treatment of obesity: From molecular to clinical studies. J. Med. Food 2019, 22, 753–770. [Google Scholar] [CrossRef]
- Friesen, J.A.; Rodwell, V.W. The 3-hydroxy-3-methylglutaryl coenzyme-A (HMG-CoA) reductases. Genome Biol. 2004, 5, 248. [Google Scholar] [CrossRef]
- Miziorko, H.M. Enzymes of the mevalonate pathway of isoprenoid biosynthesis. Arch. Biochem. Biophys. 2011, 505, 131–143. [Google Scholar] [CrossRef]
- Gesto, D.S.; Pereira, C.M.S.; Cerqueira, N.M.F.S.; Sousa, S.F. An atomic-level perspective of HMG-CoA-Reductase: The target enzyme to treat hypercholesterolemia. Molecules 2020, 25, 3891. [Google Scholar] [CrossRef]
- Istvan, E.S.; Deisenhofer, J. The structure of the catalytic portion of human HMG-CoA reductase. Biochim. Biophys. Acta Mol. Cell Biol. Lipids 2000, 1529, 9–18. [Google Scholar] [CrossRef]
- Istvan, E.S.; Deisenhofer, J. Structural mechanism for statin inhibition of HMG-CoA reductase. Science 2001, 292, 1160–1164. [Google Scholar] [CrossRef] [PubMed]





| Composition | Control | Model | Feno | ESKO |
|---|---|---|---|---|
| w/w | ||||
| Nitrogen-free extract | 59.5 | 37.5 | 37.5 | 37.5 |
| Fat | 4.5 | 34.9 | 34.9 | 34.9 |
| Protein | 20.1 | 23.6 | 23.6 | 23.6 |
| Fiber | 4.6 | - | - | - |
| Ash | 5.8 | - | - | - |
| Mineral mixture | 3.5 | 3 | 3 | 3 |
| Vitamin mixture | 1 | 1 | 1 | 1 |
| Fenofibrate | - | - | 0.91 | - |
| ESKO | - | - | - | - |
| - | - | - | 1.86 | |
| Protein calories | 21.0 | 18.1 | 18.1 | 17.7 |
| Fat calories | 13.7 | 61.6 | 61.6 | 62.4 |
| Carbohydrates calories | 65.3 | 20.3 | 20.3 | 19.9 |
| Energy (kcal/g) | 4.04 | 4.65 | 4.65 | 4.66 |
| Parameters | Control | Model | Feno | ESKO |
|---|---|---|---|---|
| Liver (g) | 2.01 ± 0.12 | 2.52 ± 0.36 | 2.32 ± 0.34 | 2.51 ± 0.31 |
| Kidney (g) | 0.427 ± 0.010 | 0.472 ± 0.025 # | 0.422 ± 0.008 * | 0.432 ± 0.012 * |
| Spleen (g) | 0.126 ± 0.002 | 0.137 ± 0.003 # | 0.120 ± 0.003 * | 0.128 ± 0.003 * |
| Epididymal fat (g) | 0.41 ± 0.20 | 2.69 ± 0.22 # | 1.47 ± 0.26 * | 2.18 ± 0.12 * |
| Parameters | Control | Model | Feno | ESKO |
|---|---|---|---|---|
| MDA | 1.33 ± 0.04 | 1.82 ± 0.06 # | 1.59 ± 0.04 ** | 1.50 ± 0.05 ** |
| CAT | 35.22 ± 2.45 | 22.51 ± 1.98 # | 30.43 ± 2.73 * | 30.19 ± 2.96 * |
| SOD | 0.65 ± 0.02 | 0.42 ± 0.03 # | 0.44 ± 0.03 | 0.48 ± 0.02 |
| NOS | 2.04 ± 0.05 | 2.27 ± 0.09 # | 2.24 ± 0.03 | 2.24 ± 0.04 |
| GPx | 0.23 ± 0.01 | 0.17 ± 0.01 # | 0.20 ± 0.01 | 0.21 ± 0.02 * |
| Liver TG | 0.39 ± 0.03 | 0.73 ± 0.05 # | 0.53 ± 0.03 ** | 0.59 ± 0.05 * |
| Liver TP | 31.5 ± 1.7 | 40.9 ± 0.8 # | 33.6 ± 2.0 ** | 36.3 ± 1.9 |
| Parameters | Control | Model | Feno | ESKO |
|---|---|---|---|---|
| MDA | 1.37 ± 0.08 | 2.41 ± 0.11 # | 1.88 ± 0.13 ** | 2.12 ± 0.17 |
| CAT | 142.2 ± 5.1 | 128.5 ± 3.3 # | 135.9 ± 2.5 | 134.7 ± 2.1 |
| SOD | 96.3 ± 3.0 | 81.7 ± 1.9 # | 89.6 ± 1.7 * | 87.0 ± 2.5 |
| NOx | 9.03 ± 0.31 | 11.02 ± 0.28 # | 10.19 ± 0.33 * | 10.28 ± 0.25 |
| GPx | 13.65 ± 0.94 | 11.05 ± 0.41 # | 12.37 ± 0.31 | 11.97 ± 0.44 |
| Parameters | Control | Model | Feno | ESKO |
|---|---|---|---|---|
| Adiponectin | 5.92 ± 0.21 | 5.15 ± 0.18 # | 5.28 ± 0.16 | 5.66 ± 0.23 * |
| Leptin | 5.51 ± 0.41 | 11.08 ± 0.65 # | 10.34 ± 0.42 | 9.42 ± 0.31 * |
| Albumin | 2.45 ± 0.22 | 2.69 ± 0.08 | 2.39 ± 0.21 | 2.51 ± 0.26 |
| TP | 5.31± 0.43 | 5.36 ± 0.33 | 5.24 ± 0.35 | 5.37 ± 0.39 |
| ALT | 28.5 ± 1.9 | 37.3 ± 2.2 # | 36.1 ± 2.4 | 29.7 ± 2.1 * |
| AST | 93.6 ± 2.7 | 151.3 ± 5.5 # | 127.3 ± 4.9 ** | 109.2 ± 4.1 ** |
| TC | 97.2 ± 3.9 | 295.2 ± 40.6 # | 145.0 ± 26.4 ** | 222.8 ± 31.5 ** |
| TG | 74.9 ± 22.0 | 469.3 ± 98.4 # | 111.7 ± 19.0 ** | 210.0 ± 86.7 ** |
| LDL + VLDL | 4.82 ± 10.30 | 221.3 ± 34.7 # | 55.31 ± 21.81 ** | 141.9 ± 32.8 ** |
| HDL | 92.3 ± 13.1 | 73.9 ± 12.6 | 89.7 ± 12.3 | 80.9 ± 14.3 |
| AI | 0.84 ± 0.34 | 6.40 ± 1.15 # | 1.26 ± 0.26 ** | 2.63 ± 1.12 ** |
| AC | 0.07 ± 0.13 | 3.04 ± 0.56 # | 0.64 ± 0.38 ** | 1.82 ± 0.54 ** |
| CAI | 0.23 ± 0.18 | 4.32 ± 0.50 # | 0.88 ± 0.27 ** | 2.34 ± 0.62 ** |
| CRR | 1.07 ± 0.13 | 4.04 ± 0.56 # | 1.64 ± 0.38 ** | 2.82 ± 0.54 ** |
| Insulin | 6.98 ± 1.34 | 41.78 ± 6.87 # | 9.35 ± 1.60 ** | 13.03 ± 4.59 ** |
| Glucose | 150.0 ± 14.6 | 182.9 ± 21.8 | 161.7 ± 19.7 | 179.5 ± 19.3 |
| HOMA-IR | 2.59 ± 0.64 | 18.67 ± 2.56 # | 3.76 ± 0.96 ** | 5.91 ± 2.65 ** |
Disclaimer/Publisher’s Note: The statements, opinions and data contained in all publications are solely those of the individual author(s) and contributor(s) and not of MDPI and/or the editor(s). MDPI and/or the editor(s) disclaim responsibility for any injury to people or property resulting from any ideas, methods, instructions or products referred to in the content. |
© 2024 by the authors. Licensee MDPI, Basel, Switzerland. This article is an open access article distributed under the terms and conditions of the Creative Commons Attribution (CC BY) license (https://creativecommons.org/licenses/by/4.0/).
Share and Cite
Choi, J.-H.; Park, S.-E.; Kim, S. Antarctic Krill Euphausia superba Oil Supplementation Attenuates Hypercholesterolemia, Fatty Liver, and Oxidative Stress in Diet-Induced Obese Mice. Nutrients 2024, 16, 3614. https://doi.org/10.3390/nu16213614
Choi J-H, Park S-E, Kim S. Antarctic Krill Euphausia superba Oil Supplementation Attenuates Hypercholesterolemia, Fatty Liver, and Oxidative Stress in Diet-Induced Obese Mice. Nutrients. 2024; 16(21):3614. https://doi.org/10.3390/nu16213614
Chicago/Turabian StyleChoi, Jun-Hui, Se-Eun Park, and Seung Kim. 2024. "Antarctic Krill Euphausia superba Oil Supplementation Attenuates Hypercholesterolemia, Fatty Liver, and Oxidative Stress in Diet-Induced Obese Mice" Nutrients 16, no. 21: 3614. https://doi.org/10.3390/nu16213614
APA StyleChoi, J.-H., Park, S.-E., & Kim, S. (2024). Antarctic Krill Euphausia superba Oil Supplementation Attenuates Hypercholesterolemia, Fatty Liver, and Oxidative Stress in Diet-Induced Obese Mice. Nutrients, 16(21), 3614. https://doi.org/10.3390/nu16213614

