A Dietary Supplement in the Management of Patients with Lumbar Osteochondrosis: A Randomized, Double-Blinded, Placebo-Controlled Study
Abstract
1. Introduction
2. Materials and Methods
2.1. Study Design
2.2. Participants
2.3. Intervention
- collagen hydrolysate (300 mg/capsule);- ○
- collagen type II (180 mg/capsule);
- ○
- mucopolysaccharides (90 mg/capsule);
- ○
- hyaluronic acid (30 mg/capsule);
 
- n-acetyl-glucosamine (100 mg/capsule);
- bamboo extract (70 mg/capsule);
- L-lysine hydrochloride (25 mg/capsule);
- vitamin C (30 mg/capsule);
- other ingredients: gelatin, magnesium stearate.
2.4. Outcomes
2.4.1. Patient-Reported Outcome Measures (PROMs)
2.4.2. Radiological Assessment
2.4.3. Adverse Events
2.5. Statistical Analysis
2.5.1. Sample Size
2.5.2. Statistical Analysis
3. Results
3.1. Baseline Characteristics
3.2. Patient-Reported Outcome Measures (PROMs)
3.3. Radiological Assessment
3.3.1. Pfirrmann Grade of Disc Degeneration
3.3.2. 3D-MRI Measures
4. Discussion
5. Conclusions
Supplementary Materials
Author Contributions
Funding
Institutional Review Board Statement
Informed Consent Statement
Data Availability Statement
Acknowledgments
Conflicts of Interest
References
- Goggs, R.; Vaughan-Thomas, A.; Clegg, P.D.; Carter, S.D.; Innes, J.F.; Mobasheri, A.; Shakibaei, M.; Schwab, W.; Bondy, C.A. Nutraceutical Therapies for Degenerative Joint Diseases: A Critical Review. Crit. Rev. Food Sci. Nutr. 2005, 45, 145–164. [Google Scholar] [CrossRef] [PubMed]
- Whatley, B.R.; Wen, X. Intervertebral disc (IVD): Structure, degeneration, repair and regeneration. Mater. Sci. Eng. C 2012, 32, 61–77. [Google Scholar] [CrossRef]
- Dionne, C.E.; Laurin, D.; Desrosiers, T.; Abdous, B.; Le Sage, N.; Frenette, J.; Mondor, M.; Pelletier, S. Serum vitamin C and spinal pain: A nationwide study. Pain 2016, 157, 2527–2535. [Google Scholar] [CrossRef]
- Bruyere, O.; Zegels, B.; Leonori, L.; Rabenda, V.; Janssen, A.; Bourges, C.; Reginster, J.Y. Effect of collagen hydrolysate in articular pain: A 6-month randomized, double-blind, placebo controlled study. Complement. Ther. Med. 2012, 20, 124–130. [Google Scholar] [CrossRef]
- Benito-Ruiz, P.; Camacho-Zambrano, M.M.; Carrillo-Arcentales, J.N.; Mestanza-Peralta, M.A.; Vallejo-Flores, C.A.; Vargas-Lopez, S.V.; Villacis-Tamayo, R.A.; Zurita-Gavilanes, L.A. A randomized controlled trial on the efficacy and safety of a food ingredient, collagen hydrolysate, for improving joint comfort. Int. J. Food Sci. Nutr. 2009, 60 (Suppl. S2), 99–113. [Google Scholar] [CrossRef]
- Kalman, D.S.; Heimer, M.; Valdeon, A.; Schwartz, H.; Sheldon, E. Effect of a natural extract of chicken combs with a high content of hyaluronic acid (Hyal-Joint) on pain relief and quality of life in subjects with knee osteoarthritis: A pilot randomized double-blind placebo-controlled trial. Nutr. J. 2008, 7, 3. [Google Scholar] [CrossRef]
- Clegg, D.O.; Reda, D.J.; Harris, C.L.; Klein, M.A.; O’Dell, J.R.; Hooper, M.M.; Bradley, J.D.; Bingham, C.O., 3rd; Weisman, M.H.; Jackson, C.G.; et al. Glucosamine, chondroitin sulfate, and the two in combination for painful knee osteoarthritis. N. Engl. J. Med. 2006, 354, 795–808. [Google Scholar] [CrossRef] [PubMed]
- Oesser, S.; Seifert, J. Stimulation of type II collagen biosynthesis and secretion in bovine chondrocytes cultured with degraded collagen. Cell Tissue Res. 2003, 311, 393–399. [Google Scholar] [CrossRef]
- Oesser, S.; Adam, M.; Babel, W.; Seifert, J. Oral administration of (14)C labeled gelatin hydrolysate leads to an accumulation of radioactivity in cartilage of mice (C57/BL). J. Nutr. 1999, 129, 1891–1895. [Google Scholar] [CrossRef]
- Liu, D.; Nikoo, M.; Boran, G.; Zhou, P.; Regenstein, J.M. Collagen and gelatin. Annu. Rev. Food Sci. Technol. 2015, 6, 527–557. [Google Scholar] [CrossRef]
- Balogh, L.; Polyak, A.; Mathe, D.; Kiraly, R.; Thuroczy, J.; Terez, M.; Janoki, G.; Ting, Y.; Bucci, L.R.; Schauss, A.G. Absorption, uptake and tissue affinity of high-molecular-weight hyaluronan after oral administration in rats and dogs. J. Agric. Food Chem. 2008, 56, 10582–10593. [Google Scholar] [CrossRef] [PubMed]
- Persiani, S.; Rotini, R.; Trisolino, G.; Rovati, L.C.; Locatelli, M.; Paganini, D.; Antonioli, D.; Roda, A. Synovial and plasma glucosamine concentrations in osteoarthritic patients following oral crystalline glucosamine sulphate at therapeutic dose. Osteoarthr. Cartil. 2007, 15, 764–772. [Google Scholar] [CrossRef] [PubMed]
- Persiani, S.; Roda, E.; Rovati, L.C.; Locatelli, M.; Giacovelli, G.; Roda, A. Glucosamine oral bioavailability and plasma pharmacokinetics after increasing doses of crystalline glucosamine sulfate in man. Osteoarthr. Cartil. 2005, 13, 1041–1049. [Google Scholar] [CrossRef] [PubMed]
- Henrotin, Y.; Mobasheri, A.; Marty, M. Is there any scientific evidence for the use of glucosamine in the management of human osteoarthritis? Arthritis Res. Ther. 2012, 14, 201. [Google Scholar] [CrossRef] [PubMed]
- Akeda, K.; Yamada, T.; Inoue, N.; Nishimura, A.; Sudo, A. Risk factors for lumbar intervertebral disc height narrowing: A population-based longitudinal study in the elderly. BMC Musculoskelet. Disord. 2015, 16, 344. [Google Scholar] [CrossRef]
- Higa, J.K.; Panee, J. Bamboo extract reduces interleukin 6 (IL-6) overproduction under lipotoxic conditions through inhibiting the activation of NF-kappaB and AP-1 pathways. Cytokine 2011, 55, 18–23. [Google Scholar] [CrossRef]
- Schulz, K.F.; Altman, D.G.; Moher, D.; Group, C. CONSORT 2010 statement: Updated guidelines for reporting parallel group randomised trials. Int. J. Surg. 2011, 9, 672–677. [Google Scholar] [CrossRef]
- Frestedt, J.L.; Walsh, M.; Kuskowski, M.A.; Zenk, J.L. A natural mineral supplement provides relief from knee osteoarthritis symptoms: A randomized controlled pilot trial. Nutr. J. 2008, 7, 9. [Google Scholar] [CrossRef]
- Giordano, N.; Fioravanti, A.; Papakostas, P.; Montella, A.; Giorgi, G.; Nuti, R. The efficacy and tolerability of glucosamine sulfate in the treatment of knee osteoarthritis: A randomized, double-blind, placebo-controlled trial. Curr. Ther. Res. Clin. Exp. 2009, 70, 185–196. [Google Scholar] [CrossRef]
- Usha, P.R.; Naidu, M.U. Randomised, Double-Blind, Parallel, Placebo-Controlled Study of Oral Glucosamine, Methylsulfonylmethane and their Combination in Osteoarthritis. Clin. Drug Investig. 2004, 24, 353–363. [Google Scholar] [CrossRef]
- Mannion, A.F.; Junge, A.; Fairbank, J.C.; Dvorak, J.; Grob, D. Development of a German version of the Oswestry Disability Index. Part 1: Cross-cultural adaptation, reliability, and validity. Eur. Spine J. 2006, 15, 55–65. [Google Scholar] [CrossRef]
- Mannion, A.F.; Junge, A.; Grob, D.; Dvorak, J.; Fairbank, J.C. Development of a German version of the Oswestry Disability Index. Part 2: Sensitivity to change after spinal surgery. Eur. Spine J. 2006, 15, 66–73. [Google Scholar] [CrossRef]
- Ware, J., Jr.; Kosinski, M.; Keller, S.D. A 12-Item Short-Form Health Survey: Construction of scales and preliminary tests of reliability and validity. Med. Care 1996, 34, 220–233. [Google Scholar] [CrossRef] [PubMed]
- Bull, F.C.; Maslin, T.S.; Armstrong, T. Global physical activity questionnaire (GPAQ): Nine country reliability and validity study. J. Phys. Act. Health 2009, 6, 790–804. [Google Scholar] [CrossRef] [PubMed]
- Pfirrmann, C.W.; Metzdorf, A.; Zanetti, M.; Hodler, J.; Boos, N. Magnetic resonance classification of lumbar intervertebral disc degeneration. Spine 2001, 26, 1873–1878. [Google Scholar] [CrossRef]
- Sharma, A.; Lancaster, S.; Bagade, S.; Hildebolt, C. Early pattern of degenerative changes in individual components of intervertebral discs in stressed and nonstressed segments of lumbar spine: An in vivo magnetic resonance imaging study. Spine 2014, 39, 1084–1090. [Google Scholar] [CrossRef] [PubMed]
- Huemer, D. Magnetresonanztomographie-Vermessene Veränderungen der Disci Intervertebrales nach 3-Monatiger Nahrungsergänzungsmitteleinnahme von Patienten mit Lumbaler Osteochondrose. Master’s Thesis, Medical University Vienna, Vienna, Austria, 2024. [Google Scholar]
- Kim, C.W.; Doerr, T.M.; Luna, I.Y.; Joshua, G.; Shen, S.R.; Fu, X.; Wu, A.M. Minimally Invasive Transforaminal Lumbar Interbody Fusion Using Expandable Technology: A Clinical and Radiographic Analysis of 50 Patients. World Neurosurg. 2016, 90, 228–235. [Google Scholar] [CrossRef]
- Qaseem, A.; Wilt, T.J.; McLean, R.M.; Forciea, M.A.; Clinical Guidelines Committee of the American College of Physicians; Denberg, T.D.; Barry, M.J.; Boyd, C.; Chow, R.D.; Fitterman, N.; et al. Noninvasive Treatments for Acute, Subacute, and Chronic Low Back Pain: A Clinical Practice Guideline from the American College of Physicians. Ann. Intern. Med. 2017, 166, 514–530. [Google Scholar] [CrossRef]
- Reme, S.E.; Tveito, T.H.; Harris, A.; Lie, S.A.; Grasdal, A.; Indahl, A.; Brox, J.I.; Tangen, T.; Hagen, E.M.; Gismervik, S.; et al. Cognitive Interventions and Nutritional Supplements (The CINS Trial): A Randomized Controlled, Multicenter Trial Comparing a Brief Intervention with Additional Cognitive Behavioral Therapy, Seal Oil, and Soy Oil for Sick-Listed Low Back Pain Patients. Spine 2016, 41, 1557–1564. [Google Scholar] [CrossRef]
- Gagnier, J.J. Evidence-informed management of chronic low back pain with herbal, vitamin, mineral, and homeopathic supplements. Spine J. 2008, 8, 70–79. [Google Scholar] [CrossRef]
- Zadro, J.R.; Shirley, D.; Ferreira, M.; Carvalho Silva, A.P.; Lamb, S.E.; Cooper, C.; Ferreira, P.H. Is Vitamin D Supplementation Effective for Low Back Pain? A Systematic Review and Meta-Analysis. Pain Physician 2018, 21, 121–145. [Google Scholar] [CrossRef] [PubMed]
- Jensen, O.K.; Andersen, M.H.; Ostgard, R.D.; Andersen, N.T.; Rolving, N. Probiotics for chronic low back pain with type 1 Modic changes: A randomized double-blind, placebo-controlled trial with 1-year follow-up using Lactobacillus Rhamnosis GG. Eur. Spine J. 2019, 28, 2478–2486. [Google Scholar] [CrossRef] [PubMed]
- Sha, S.; Chen, L.J.; Brenner, H.; Schottker, B. Serum 25-Hydroxyvitamin D Status and Vitamin D Supplements Use Are Not Associated with Low Back Pain in the Large UK Biobank Cohort. Nutrients 2024, 16, 806. [Google Scholar] [CrossRef]
- Ko, S.; Kim, H.C.; Kwon, J. The effectiveness of vitamin D3 supplementation in improving functional outcome of non-surgically treated symptomatic lumbar spinal stenosis: Randomized controlled clinical trial—Pilot study. Medicine 2023, 102, e32672. [Google Scholar] [CrossRef]
- Hayden, J.A.; Ellis, J.; Ogilvie, R.; Malmivaara, A.; van Tulder, M.W. Exercise therapy for chronic low back pain. Cochrane Database Syst. Rev. 2021, 9, CD009790. [Google Scholar] [CrossRef] [PubMed]
- Yuan, Q.L.; Guo, T.M.; Liu, L.; Sun, F.; Zhang, Y.G. Traditional Chinese medicine for neck pain and low back pain: A systematic review and meta-analysis. PLoS ONE 2015, 10, e0117146. [Google Scholar] [CrossRef]
- Coulter, I.D.; Crawford, C.; Hurwitz, E.L.; Vernon, H.; Khorsan, R.; Suttorp Booth, M.; Herman, P.M. Manipulation and mobilization for treating chronic low back pain: A systematic review and meta-analysis. Spine J. 2018, 18, 866–879. [Google Scholar] [CrossRef]
- Machado, G.C.; Maher, C.G.; Ferreira, P.H.; Day, R.O.; Pinheiro, M.B.; Ferreira, M.L. Non-steroidal anti-inflammatory drugs for spinal pain: A systematic review and meta-analysis. Ann. Rheum. Dis. 2017, 76, 1269–1278. [Google Scholar] [CrossRef]
- van Middelkoop, M.; Rubinstein, S.M.; Kuijpers, T.; Verhagen, A.P.; Ostelo, R.; Koes, B.W.; van Tulder, M.W. A systematic review on the effectiveness of physical and rehabilitation interventions for chronic non-specific low back pain. Eur. Spine J. 2011, 20, 19–39. [Google Scholar] [CrossRef]
- Saragiotto, B.T.; Maher, C.G.; Yamato, T.P.; Costa, L.O.; Menezes Costa, L.C.; Ostelo, R.W.; Macedo, L.G. Motor control exercise for chronic non-specific low-back pain. Cochrane Database Syst. Rev. 2016, 2016, CD012004. [Google Scholar] [CrossRef]
- Klinger, R.; Stuhlreyer, J.; Schwartz, M.; Schmitz, J.; Colloca, L. Clinical Use of Placebo Effects in Patients with Pain Disorders. Int. Rev. Neurobiol. 2018, 139, 107–128. [Google Scholar] [CrossRef] [PubMed]
- Videman, T.; Battie, M.C.; Ripatti, S.; Gill, K.; Manninen, H.; Kaprio, J. Determinants of the progression in lumbar degeneration: A 5-year follow-up study of adult male monozygotic twins. Spine 2006, 31, 671–678. [Google Scholar] [CrossRef] [PubMed]
- Borthakur, A.; Maurer, P.M.; Fenty, M.; Wang, C.; Berger, R.; Yoder, J.; Balderston, R.A.; Elliott, D.M. T1rho magnetic resonance imaging and discography pressure as novel biomarkers for disc degeneration and low back pain. Spine 2011, 36, 2190–2196. [Google Scholar] [CrossRef] [PubMed]





| Variable | Supplement (n = 23) | Placebo (n = 22) | p Value | 
|---|---|---|---|
| Age (years) | 52.7 ± 10.4 | 56.5 ± 14.5 | 0.331 1 | 
| Gender (n, %) Female Male | 10 (43.5) 13 (56.5) | 14 (63.6) 8 (36.4) | 0.236 2 | 
| BMI (kg/m2) | 26.8 ± 4.4 | 27.4 ± 3.9 | 0.645 1 | 
| normal weight (18.5–25.0) overweight (25.1–29.9) obese (30.0–34.9) | 8 (34.8) 8 (34.8) 7 (30.4) | 8 (36.4) 7 (31.8) 7 (31.8) | 0.978 2 | 
| Smoking status (n, %) non-smoker ex-smoker current smoker | 7 (31.8) 13 (59.1) 2 (9.1) | 8 (34.8) 12 (52.2) 3 (13.0) | 0.867 2 | 
| Diet (n, %) omnivore only or mainly vegetarian | 20 (87.0) 3 (13.0) | 20 (90.9) 2 (9.1) | 0.673 2 | 
| Allergy (yes, %) | 5 (21.7) | 13 (59.1) | 0.016 2 | 
| Disease (yes, %) | 12 (52.2) | 15 (75.0) | 0.206 2 | 
| Medication (yes, %) | 13 (56.5) | 13 (59.1) | 0.862 2 | 
| Variable | Supplement (n = 23 *) | Placebo (n = 22) | p Value (between Groups) | 
|---|---|---|---|
| Oswestry Disability Index (ODI, %) | |||
| before intervention after intervention | 22.2 (6.0–48.0) 17.0 (4.0–42.2) | 18.0 (4.0–60.0) 16.0 (2.0–46.0) | 0.750 1 0.860 1 | 
| p-value (within groups) | 0.092 2 | 0.121 2 | - | 
| ODI improvement | 2.1 (−8.0 to 16.9) | 2.0 (−15.9 to 28.9) | 0.906 1 | 
| Visual analogue scale for back pain (VAS, %) | |||
| before intervention after intervention | 40 (10–80) 35 (3–70) | 40 (5–80) 30 (0–70) | 0.782 1 0.812 1 | 
| p-value (within groups) | 0.129 2 | 0.019 2 | - | 
| VAS improvement | −7.5 (−50.0 to 25.0) | −6.0 (−40.0 to 20.0) | 0.461 1 | 
| Quality-of-life score Short Form 12 (SF-12) | |||
| PCS before intervention PCS after intervention | 42.8 (24.4–53.1) 43.5 (19.7–51.7) | 43.1 (22.1–57.2) 44.0 (23.0–53.5) | 0.847 1 0.542 1 | 
| p-value (within groups) | 0.615 2 | 0.592 2 | - | 
| PCS improvement | 0.34 (−13.2 to 14.2) | −0.26 (−23.4 to 9.4) | 0.542 1 | 
| MCS before intervention MCS after intervention | 52.1 (22.5–65.3) 55.9 (29.6–62.2) | 51.6 (29.8–64.0) 54.6 (36.6–68.7) | 0.847 1 0.869 1 | 
| p-value (within groups) | 0.236 2 | 0.053 2 | - | 
| MCS improvement | −1.3 (−11.9 to 9.9) | −1.9 (−19.1 to 8.0) | 0.796 1 | 
| Global Physical Activity Questionnaire (GPAQ; MET-min/week) | |||
| before intervention after intervention | 1940 (0–27,360) 2130 (0–11,640) | 5920 (240–30,000) 4800 (0–28,200) | 0.036 1 0.056 1 | 
| p-value (within groups) | 0.341 2 | 0.341 2 | - | 
| PA improvement | −100 (−24,120 to 11,040) | −960 (−5760 to 6680) | 0.778 1 | 
| Variable | Supplement (23 Patients 115 IVDs) | Placebo (22 Patients 110 IVDs) | p Value (between Groups) | 
|---|---|---|---|
| Disc degeneration * (n, %) | |||
| before intervention after intervention | 61 (53.0) 53 (46.1) | 59 (53.6) 52 (47.3) | 0.929 1 0.859 1 | 
| p-value (within groups) | 0.291 1 | 0.345 1 | - | 
| Variable | Supplement (23 Patients 115 IVDs) | Placebo (22 Patients 110 IVDs) | 
|---|---|---|
| Improvements regarding Pfirrmann grades (n, %) | 9 (39.1) | 10 (45.5) | 
| three-grade improvement | 1 (4.3) | 0 | 
| two-grade improvement | 3 (13.0) | 3 (13.6) | 
| one-grade improvement | 5 (21.7) | 7 (31.8) | 
| No changes regarding Pfirrmann grades | 14 (60.9) | 10 (45.5) | 
| Worsening regarding Pfirrmann grades | 0 | 2 (9.1) | 
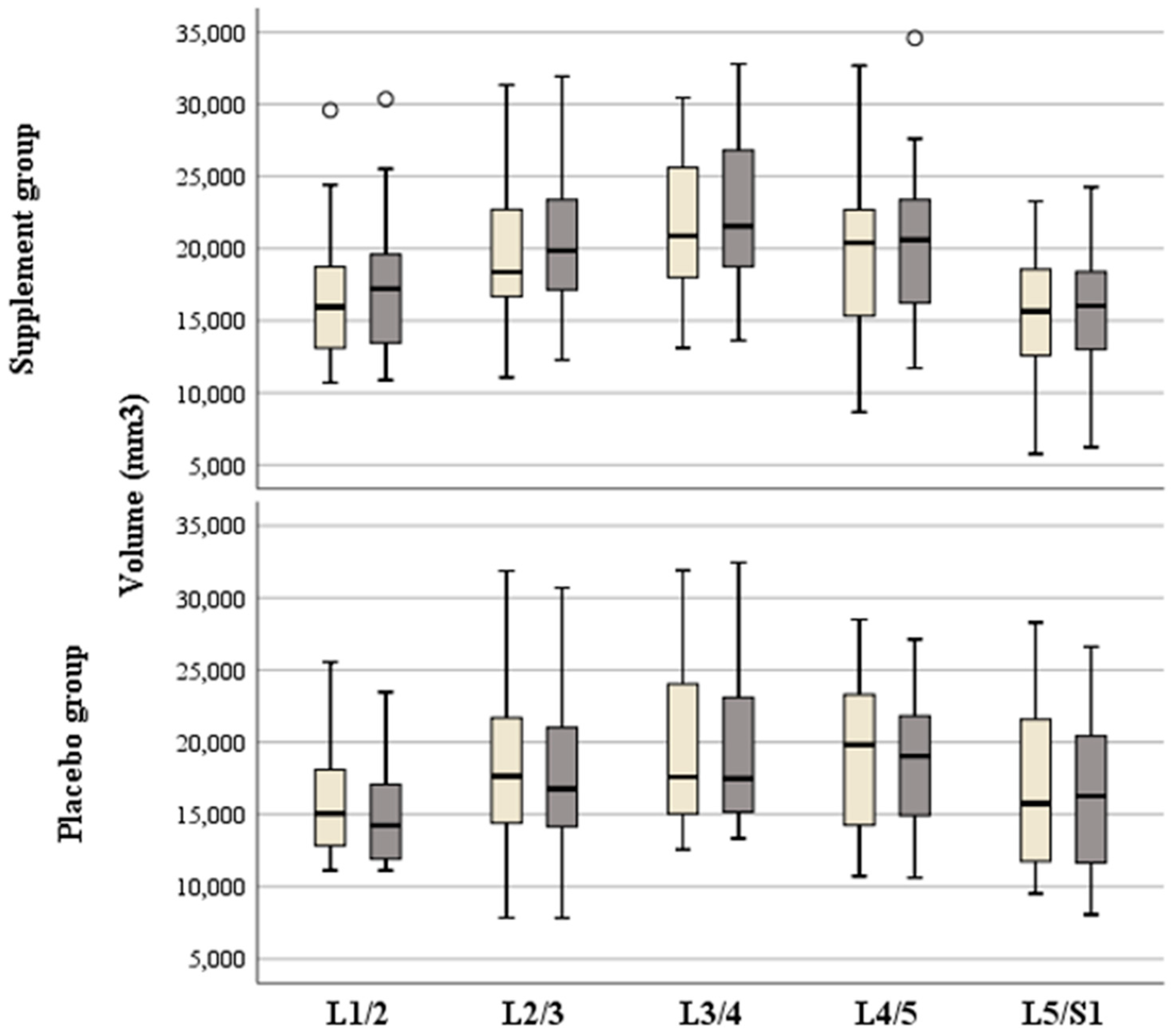
| Variable | Supplement (23 Patients 115 IVDs) | Placebo (22 Patients 110 IVDs) | p Value (between Groups) | 
|---|---|---|---|
| Mean volume (in mm3) | |||
| before intervention after intervention | 18,621.1 ± 4181.4 19,361.4 ± 4489.3 | 17,805.5 ± 4547.9 17,388.3 ± 4369.7 | 0.534 1 0.143 1 | 
| p-value (within groups) | <0.001 2 | 0.036 2 | - | 
| Disclaimer/Publisher’s Note: The statements, opinions and data contained in all publications are solely those of the individual author(s) and contributor(s) and not of MDPI and/or the editor(s). MDPI and/or the editor(s) disclaim responsibility for any injury to people or property resulting from any ideas, methods, instructions or products referred to in the content. | 
© 2024 by the authors. Licensee MDPI, Basel, Switzerland. This article is an open access article distributed under the terms and conditions of the Creative Commons Attribution (CC BY) license (https://creativecommons.org/licenses/by/4.0/).
Share and Cite
Laky, B.; Huemer, D.; Eigenschink, M.; Sagl, B.; Thell, R.; Wagner, K.-H.; Anderl, W.; Heuberer, P.R. A Dietary Supplement in the Management of Patients with Lumbar Osteochondrosis: A Randomized, Double-Blinded, Placebo-Controlled Study. Nutrients 2024, 16, 2695. https://doi.org/10.3390/nu16162695
Laky B, Huemer D, Eigenschink M, Sagl B, Thell R, Wagner K-H, Anderl W, Heuberer PR. A Dietary Supplement in the Management of Patients with Lumbar Osteochondrosis: A Randomized, Double-Blinded, Placebo-Controlled Study. Nutrients. 2024; 16(16):2695. https://doi.org/10.3390/nu16162695
Chicago/Turabian StyleLaky, Brenda, Daniel Huemer, Martin Eigenschink, Benedikt Sagl, Rainer Thell, Karl-Heinz Wagner, Werner Anderl, and Philipp R. Heuberer. 2024. "A Dietary Supplement in the Management of Patients with Lumbar Osteochondrosis: A Randomized, Double-Blinded, Placebo-Controlled Study" Nutrients 16, no. 16: 2695. https://doi.org/10.3390/nu16162695
APA StyleLaky, B., Huemer, D., Eigenschink, M., Sagl, B., Thell, R., Wagner, K.-H., Anderl, W., & Heuberer, P. R. (2024). A Dietary Supplement in the Management of Patients with Lumbar Osteochondrosis: A Randomized, Double-Blinded, Placebo-Controlled Study. Nutrients, 16(16), 2695. https://doi.org/10.3390/nu16162695
 
        



 
                         
       