Clustering of Dietary Patterns Associated with Health-Related Quality of Life in Spanish Children and Adolescents
Abstract
1. Introduction
2. Materials and Methods
2.1. Population and Study Design
2.2. Procedures
2.2.1. Health-Related Quality of Life
2.2.2. Dietary Patterns
2.2.3. Covariates
2.3. Statistical Analysis
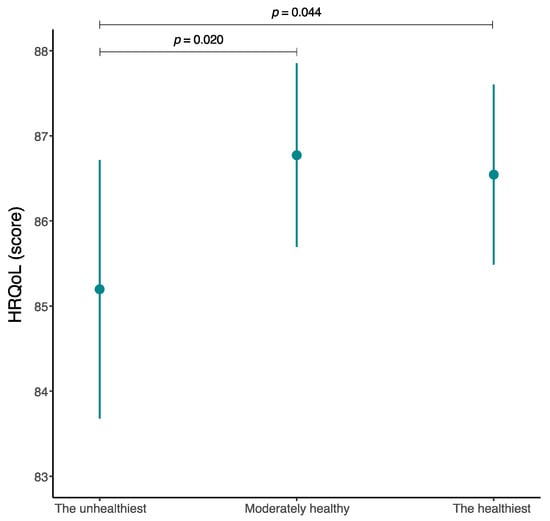
3. Results
4. Discussion
5. Conclusions
Supplementary Materials
Author Contributions
Funding
Institutional Review Board Statement
Informed Consent Statement
Data Availability Statement
Acknowledgments
Conflicts of Interest
References
- Testa, M.A.; Simonson, D.C. Assessment of Quality-of-Life Outcomes. N. Engl. J. Med. 1996, 334, 835–840. [Google Scholar] [CrossRef] [PubMed]
- Solans, M.; Pane, S.; Estrada, M.-D.; Serra-Sutton, V.; Berra, S.; Herdman, M.; Alonso, J.; Rajmil, L. Health-Related Quality of Life Measurement in Children and Adolescents: A Systematic Review of Generic and Disease-Specific Instruments. Value Health 2008, 11, 742–764. [Google Scholar] [CrossRef] [PubMed]
- Kaplan, R.M.; Hays, R.D. Health-Related Quality of Life Measurement in Public Health. Annu. Rev. Public Health 2022, 43, 355–373. [Google Scholar] [CrossRef] [PubMed]
- Matza, L.S.; Swensen, A.R.; Flood, E.M.; Secnik, K.; Leidy, N.K. Assessment of Health-Related Quality of Life in Children: A Review of Conceptual, Methodological, and Regulatory Issues. Value Health 2004, 7, 79–92. [Google Scholar] [CrossRef] [PubMed]
- Organization for Economic Cooperation and Development. Measuring What Matters for Child Well-Being and Policies; OECD Publishing: Paris, France, 2021; ISBN 978-92-64-58353-5. [Google Scholar]
- Zullig, K.J.; Valois, R.F.; Huebner, E.S.; Drane, J.W. Adolescent Health-Related Quality of Life and Perceived Satisfaction with Life. Qual. Life Res. 2005, 14, 1573–1584. [Google Scholar] [CrossRef]
- Faure, M.I.; Urquidi, C.; Bustamante, F.; Florenzano, R.; Ampuero, K.; Terán, L.; Figueroa, M.I.; Farías, M.; Rueda, M.L.; Giacaman, E. Association of Health-Related Quality of Life and Suicidal Risk in Adolescents: A Cross-Sectional Study. Rev. Chil. Pediatría 2018, 89, 318–324. [Google Scholar] [CrossRef]
- World Health Organization. Healthy Diet; WHO: Geneva, Switzerland, 2020. [Google Scholar]
- Afshin, A.; Sur, P.J.; Fay, K.A.; Cornaby, L.; Ferrara, G.; Salama, J.S.; Mullany, E.C.; Abate, K.H.; Abbafati, C.; Abebe, Z.; et al. Health Effects of Dietary Risks in 195 Countries, 1990–2017: A Systematic Analysis for the Global Burden of Disease Study 2017. Lancet 2019, 393, 1958–1972. [Google Scholar] [CrossRef] [PubMed]
- Gakidou, E.; Afshin, A.; Abajobir, A.A.; Abate, K.H.; Abbafati, C.; Abbas, K.M.; Abd-Allah, F.; Abdulle, A.M.; Abera, S.F.; Aboyans, V.; et al. Global, Regional, and National Comparative Risk Assessment of 84 Behavioural, Environmental and Occupational, and Metabolic Risks or Clusters of Risks, 1990–2016: A Systematic Analysis for the Global Burden of Disease Study 2016. Lancet 2017, 390, 1345–1422. [Google Scholar] [CrossRef] [PubMed]
- World Health Organization. Global Action Plan for the Prevention and Control of NCDs 2013–2020; WHO: Geneva, Switzerland, 2015. [Google Scholar]
- Silva, P.; Araújo, R.; Lopes, F.; Ray, S. Nutrition and Food Literacy: Framing the Challenges to Health Communication. Nutrients 2023, 15, 4708. [Google Scholar] [CrossRef]
- Sreedhara, M.; Goins, K.V.; Frisard, C.; Rosal, M.C.; Lemon, S.C. Healthy Eating Policy Strategies in Community Health Improvement Plans: A Cross-Sectional Survey of US Local Health Departments. J. Public Health Manag. Pract. 2021, 27, 125–134. [Google Scholar] [CrossRef]
- Vajdi, M.; Farhangi, M.A. A Systematic Review of the Association between Dietary Patterns and Health-Related Quality of Life. Health Qual. Life Outcomes 2020, 18, 337. [Google Scholar] [CrossRef] [PubMed]
- Victoria-Montesinos, D.; Tárraga-Marcos, A.; Brazo-Sayavera, J.; Jiménez-López, E.; Gutiérrez-Espinoza, H.; Panisello Royo, J.M.; Tárraga-López, P.J.; López-Gil, J.F. Adherence to the Mediterranean Diet and Health-Related Quality of Life during the COVID-19 Lockdown: A Cross-Sectional Study Including Preschoolers, Children, and Adolescents from Brazil and Spain. Nutrients 2023, 15, 677. [Google Scholar] [CrossRef] [PubMed]
- Shariati-Bafghi, S.-E.; Rashidkhani, B.; Salehi Fadardi, J.; Safarian, M.; Edalatian, J.; Ranjbar, G.; Nematy, M. Dietary Patterns and Health-Related Quality of Life among Iranian Adolescents. Qual. Life Res. 2022, 31, 789–802. [Google Scholar] [CrossRef] [PubMed]
- Jiménez-López, E.; Mesas, A.E.; Bizzozero-Peroni, B.; Fernández-Rodríguez, R.; Garrido-Miguel, M.; Victoria-Montesinos, D.; López-Bueno, R.; López-Gil, J.F. Clustering of Mediterranean Dietary Patterns Linked with Health-Related Quality of Life in Adolescents: The EHDLA Study. Eur. J. Pediatr. 2023, 182, 4113–4121. [Google Scholar] [CrossRef] [PubMed]
- Riley, A.W.; Spiel, G.; Coghill, D.; Döpfner, M.; Falissard, B.; Lorenzo, M.J.; Preuss, U.; Ralston, S.J.; ADORE Study Group. Factors Related to Health-Related Quality of Life (HRQoL) among Children with ADHD in Europe at Entry into Treatment. Eur. Child Adolesc. Psychiatry 2006, 15, i38–i45. [Google Scholar] [CrossRef] [PubMed]
- Ministry of Health, Consumer Affairs and Social Welfare. Spanish National Health Survey; Ministry of Health, Consumer Affairs and Social Welfare: Madrid, Spain, 2018.
- National Statistics Institute. National Health Survey. Results; National Statistics Institute: Madrid, Spain, 2018. [Google Scholar]
- Ravens-Sieberer, U.; Erhart, M.; Rajmil, L.; Herdman, M.; Auquier, P.; Bruil, J.; Power, M.; Duer, W.; Abel, T.; Czemy, L.; et al. Reliability, Construct and Criterion Validity of the KIDSCREEN-10 Score: A Short Measure for Children and Adolescents’ Well-Being and Health-Related Quality of Life. Qual. Life Res. 2010, 19, 1487–1500. [Google Scholar] [CrossRef] [PubMed]
- The KIDSCREEN Group Europe. The KIDSCREEN Questionnaires: Quality of Life Questionnaires for Children and Adolescents Handbook; Pabst Science Publishers: Lengerich, Germany, 2006. [Google Scholar]
- Aymerich, M.; Berra, S.; Guillamón, I.; Herdman, M.; Alonso, J.; Ravens-Sieberer, U.; Rajmil, L. Desarrollo de la versión en español del KIDSCREEN, un cuestionario de calidad de vida para la población infantil y adolescente. Gac. Sanit. 2005, 19, 93–102. [Google Scholar] [CrossRef] [PubMed]
- Roman-Viñas, B.; Serra-Majem, L.; Hagströmer, M.; Ribas-Barba, L.; Sjöström, M.; Segura-Cardona, R. International Physical Activity Questionnaire: Reliability and Validity in a Spanish Population. Eur. J. Sport Sci. 2010, 10, 297–304. [Google Scholar] [CrossRef]
- Bodega, P.; Fernández-Alvira, J.; Santos-Beneit, G.; de Cos-Gandoy, A.; Fernández-Jiménez, R.; Moreno, L.; de Miguel, M.; Carral, V.; Orrit, X.; Carvajal, I.; et al. Dietary Patterns and Cardiovascular Risk Factors in Spanish Adolescents: A Cross-Sectional Analysis of the SI! Program for Health Promotion in Secondary Schools. Nutrients 2019, 11, 2297. [Google Scholar] [CrossRef]
- López-Gil, J.F.; Brazo-Sayavera, J.; García-Hermoso, A.; de Camargo, E.M.; Yuste Lucas, J.L. Clustering Patterns of Physical Fitness, Physical Activity, Sedentary, and Dietary Behavior among School Children. Child. Obes. 2020, 16, 564–570. [Google Scholar] [CrossRef]
- López-Gil, J.F.; Smith, L.; Abellán-Huerta, J.; Abellán-Alemán, J.; Panisello Royo, J.M.; Gutiérrez-Espinoza, H.; López-Bueno, R.; Tárraga-López, P.J. Food Consumption Patterns Related to Excess Weight and Obesity in Spanish Preschoolers. Pediatr. Res. 2023, 94, 385–391. [Google Scholar] [CrossRef]
- Steinley, D.; Brusco, M.J. Evaluating Mixture Modeling for Clustering: Recommendations and Cautions. Psychol. Methods 2011, 16, 63–79. [Google Scholar] [CrossRef]
- Sari, P.; Herawati, D.M.D.; Dhamayanti, M.; Hilmanto, D. The Study of Nutrient Intake and Adolescent Girls’ Quality of Life in a Rural Area of Indonesia. Children 2022, 9, 1248. [Google Scholar] [CrossRef]
- Davison, J.; Stewart-Knox, B.; Connolly, P.; Lloyd, K.; Dunne, L.; Bunting, B. Exploring the Association between Mental Wellbeing, Health-Related Quality of Life, Family Affluence and Food Choice in Adolescents. Appetite 2021, 158, 105020. [Google Scholar] [CrossRef]
- Głąbska, D.; Kołota, A.; Lachowicz, K.; Skolmowska, D.; Stachoń, M.; Guzek, D. The Influence of Vitamin D Intake and Status on Mental Health in Children: A Systematic Review. Nutrients 2021, 13, 952. [Google Scholar] [CrossRef]
- O’Loughlin, R.; Hiscock, H.; Pan, T.; Devlin, N.; Dalziel, K. The Relationship between Physical and Mental Health Multimorbidity and Children’s Health-Related Quality of Life. Qual. Life Res. 2022, 31, 2119–2131. [Google Scholar] [CrossRef]
- Fabios, E.; Martínez-González, M.Á.; García-Blanco, L.; De La O, V.; Santiago, S.; Zazpe, I.; Martín-Calvo, N. Association between the Carbohydrate Quality Index (CQI) and Nutritional Adequacy in a Pediatric Cohort: The SENDO Project. Children 2023, 10, 1711. [Google Scholar] [CrossRef]
- Visser, P.M.; Enes, C.C.; Nucci, L.B. Association of Health Predictors with Quality of Life in Children and Adolescents. Int. J. Adolesc. Med. Health 2023, 35, 339–346. [Google Scholar] [CrossRef]
- Juton, C.; Berruezo, P.; Rajmil, L.; Lerin, C.; Fíto, M.; Homs, C.; Según, G.; Gómez, S.F.; Schröder, H. Prospective Association between Adherence to the Mediterranean Diet and Health-Related Quality of Life in Spanish Children. Nutrients 2022, 14, 5304. [Google Scholar] [CrossRef]
- Fulton, S.L.; McKinley, M.C.; Neville, C.E.; Baldrick, F.R.; Mulligan, C.; McCall, D.O.; McCance, D.R.; Edgar, J.D.; Elborn, J.S.; Young, I.S.; et al. The Effect of Increased Fruit and Vegetable Consumption on Selected Macronutrient and Micronutrient Intakes in Four Randomised-Controlled Trials. Br. J. Nutr. 2017, 117, 1270–1278. [Google Scholar] [CrossRef]
- Gómez-Pinilla, F. Brain Foods: The Effects of Nutrients on Brain Function. Nat. Rev. Neurosci. 2008, 9, 568–578. [Google Scholar] [CrossRef]
- Regan, C.; Walltott, H.; Kjellenberg, K.; Nyberg, G.; Helgadóttir, B. Investigation of the Associations between Diet Quality and Health-Related Quality of Life in a Sample of Swedish Adolescents. Nutrients 2022, 14, 2489. [Google Scholar] [CrossRef]
- Qin, Z.; Wang, N.; Ware, R.S.; Sha, Y.; Xu, F. Lifestyle-Related Behaviors and Health-Related Quality of Life among Children and Adolescents in China. Health Qual. Life Outcomes 2021, 19, 8. [Google Scholar] [CrossRef]
- Da Costa, B.G.G.; Chaput, J.-P.; Lopes, M.V.V.; Da Costa, R.M.; Malheiros, L.E.A.; Silva, K.S. Association between Lifestyle Behaviors and Health-Related Quality of Life in a Sample of Brazilian Adolescents. Int. J. Environ. Res. Public. Health 2020, 17, 7133. [Google Scholar] [CrossRef]
- Rabia, M.; Knäuper, B.; Miquelon, P. The Eternal Quest for Optimal Balance between Maximizing Pleasure and Minimizing Harm: The Compensatory Health Beliefs Model. Br. J. Health Psychol. 2006, 11, 139–153. [Google Scholar] [CrossRef]
- Wu, X.Y.; Zhuang, L.H.; Li, W.; Guo, H.W.; Zhang, J.H.; Zhao, Y.K.; Hu, J.W.; Gao, Q.Q.; Luo, S.; Ohinmaa, A.; et al. The Influence of Diet Quality and Dietary Behavior on Health-Related Quality of Life in the General Population of Children and Adolescents: A Systematic Review and Meta-Analysis. Qual. Life Res. 2019, 28, 1989–2015. [Google Scholar] [CrossRef]
- Romero-Robles, M.A.; Ccami-Bernal, F.; Ortiz-Benique, Z.N.; Pinto-Ruiz, D.F.; Benites-Zapata, V.A.; Casas Patiño, D. Adherence to Mediterranean Diet Associated with Health-Related Quality of Life in Children and Adolescents: A Systematic Review. BMC Nutr. 2022, 8, 57. [Google Scholar] [CrossRef]
- Martínez-González, M.A.; Trichopoulou, A. Observational Epidemiology, Lifestyle, and Health: The Paradigm of the Mediterranean Diet. Am. J. Health Promot. 2020, 34, 948–950. [Google Scholar] [CrossRef]
- Ródenas-Munar, M.; Monserrat-Mesquida, M.; Gómez, S.F.; Wärnberg, J.; Medrano, M.; González-Gross, M.; Gusi, N.; Aznar, S.; Marín-Cascales, E.; González-Valeiro, M.A.; et al. Perceived Quality of Life Is Related to a Healthy Lifestyle and Related Outcomes in Spanish Children and Adolescents: The Physical Activity, Sedentarism, and Obesity in Spanish Study. Nutrients 2023, 15, 5125. [Google Scholar] [CrossRef]
- Blaine, R.E.; Kachurak, A.; Davison, K.K.; Klabunde, R.; Fisher, J.O. Food Parenting and Child Snacking: A Systematic Review. Int. J. Behav. Nutr. Phys. Act. 2017, 14, 146. [Google Scholar] [CrossRef]



| Variable | Cluster 1 (The Unhealthiest) | Cluster 2 (Moderately Healthy) | Cluster 3 (The Healthiest) | Total | |
|---|---|---|---|---|---|
| Age | Mean (SD) | 11.1 (2.0) | 11.3 (2.0) | 11.1 (2.0) | 11.2 (2.0) |
| Sex | Boys (%) | 88 (36.8) | 619 (53.2) | 636 (48.7) | 1343 (49.6) |
| Girls (%) | 151 (63.2) | 544 (46.8) | 670 (51.3) | 1365 (50.4) | |
| SES status | Low SES (%) | 103 (43.1) | 574 (49.4) | 566 (43.3) | 1243 (45.9) |
| Medium SES (%) | 79 (33.1) | 377 (32.4) | 445 (34.1) | 901 (33.3) | |
| High SES (%) | 57 (23.8) | 212 (18.2) | 295 (22.6) | 564 (20.8) | |
| Immigrant status | Native-born (%) | 231 (96.7) | 1101 (94.7) | 1252 (95.9) | 2584 (95.4) |
| Foreign-born (%) | 8 (3.3) | 62 (5.3) | 54 (4.1) | 124 (4.6) | |
| Body mass index (kg/m2) | Mean (SD) | 19.7 (4.5) | 19.4 (3.6) | 19.2 (3.6) | 19.3 (3.7) |
| Physical activity (status) | No exercise (%) | 37 (15.5) | 157 (13.5) | 172 (13.2) | 366 (13.5) |
| Occasional physical activity or sport (%) | 46 (19.2) | 231 (19.9) | 252 (19.3) | 529 (19.5) | |
| Physical activity several times a month (%) | 75 (31.4) | 349 (30.0) | 412 (31.5) | 836 (30.9) | |
| Sports or physical training several times a week (%) | 81 (33.9) | 426 (36.6) | 470 (36.0) | 977 (36.1) | |
| Overall screen time (minutes) | Mean (SD) | 130.2 (81.5) | 141.1 (78.4) | 117.6 (67.0) | 128.8 (74.2) |
| Overall sleep duration (hours) | Mean (SD) | 8.9 (1.0) | 9.0 (1.0) | 9.1 (1.0) | 9.0 (1.0) |
| HRQoL (score) | Mean (SD) | 85.7 (11.3) | 87.5 (10.5) | 87.4 (11.5) | 87.3 (11.1) |
Disclaimer/Publisher’s Note: The statements, opinions and data contained in all publications are solely those of the individual author(s) and contributor(s) and not of MDPI and/or the editor(s). MDPI and/or the editor(s) disclaim responsibility for any injury to people or property resulting from any ideas, methods, instructions or products referred to in the content. |
© 2024 by the authors. Licensee MDPI, Basel, Switzerland. This article is an open access article distributed under the terms and conditions of the Creative Commons Attribution (CC BY) license (https://creativecommons.org/licenses/by/4.0/).
Share and Cite
López-Gil, J.F.; Martínez-López, M.F. Clustering of Dietary Patterns Associated with Health-Related Quality of Life in Spanish Children and Adolescents. Nutrients 2024, 16, 2308. https://doi.org/10.3390/nu16142308
López-Gil JF, Martínez-López MF. Clustering of Dietary Patterns Associated with Health-Related Quality of Life in Spanish Children and Adolescents. Nutrients. 2024; 16(14):2308. https://doi.org/10.3390/nu16142308
Chicago/Turabian StyleLópez-Gil, José Francisco, and Mayra Fernanda Martínez-López. 2024. "Clustering of Dietary Patterns Associated with Health-Related Quality of Life in Spanish Children and Adolescents" Nutrients 16, no. 14: 2308. https://doi.org/10.3390/nu16142308
APA StyleLópez-Gil, J. F., & Martínez-López, M. F. (2024). Clustering of Dietary Patterns Associated with Health-Related Quality of Life in Spanish Children and Adolescents. Nutrients, 16(14), 2308. https://doi.org/10.3390/nu16142308
