Serum Branched-Chain Amino Acids and Long-Term Complications of Liver Cirrhosis: Evidence from a Population-Based Prospective Study
Abstract
1. Introduction
2. Materials and Methods
2.1. Study Population
2.2. Assessment of Serum BCAAs
2.3. Ascertainment of Liver Cirrhosis Complications
2.4. Assessment of Covariates
2.5. Statistical Analysis
3. Results
3.1. Baseline Characteristics of the Study Populations
3.2. Associations between BCAA Concentration and Liver Cirrhosis Complication Risk
3.3. Mediation Analysis
3.4. Subgroup and Joint Effect Analysis
4. Discussion
5. Conclusions
Supplementary Materials
Author Contributions
Funding
Data Availability Statement
Conflicts of Interest
Abbreviations
| Abbreviation | Definition |
| BCAA | branched-chain amino acids |
| T2DM | type 2 diabetes mellitus |
| CLD | chronic liver disease |
| TDI | townsend deprivation index |
| BMI | body mass index |
| HR | hazard ratio |
| CI | confidence interval |
| IQR | interquartile range |
| ALT | alanine aminotransferase |
| AST | aspartate transaminase |
Appendix A. Variables Used to Define the Study Population
Appendix B. The Lists of Demographic Factors and Laboratory Metrics
Appendix C. Categorical Criteria of Physical Activity Level
- (1)
- 3 or more days of vigorous-intensity activity of at least 20 min per day;
- (2)
- 5 or more days of moderate-intensity activity and/or walking of at least 30 min per day;
- (3)
- 5 or more days of any combination of walking, moderate-intensity or vigorous intensity activities achieving a minimum Total physical activity of at least 600 MET-minutes/week.
- (1)
- vigorous-intensity activity on at least 3 days achieving a minimum Total physical activity of at least 1500 MET-minutes/week;
- (2)
- 7 or more days of any combination of walking, moderate-intensity or vigorous-intensity activities achieving a minimum Total physical activity of at least 3000 MET-minutes/week.
References
- Asrani, S.K.; Devarbhavi, H.; Eaton, J.; Kamath, P.S. Burden of liver diseases in the world. J. Hepatol. 2019, 70, 151–171. [Google Scholar] [CrossRef] [PubMed]
- Ginès, P.; Krag, A.; Abraldes, J.G.; Solà, E.; Fabrellas, N.; Kamath, P.S. Liver cirrhosis. Lancet 2021, 398, 1359–1376. [Google Scholar] [CrossRef] [PubMed]
- Innes, H.; Morling, J.R.; Buch, S.; Hamill, V.; Stickel, F.; Guha, I.N. Performance of routine risk scores for predicting cirrhosis-related morbidity in the community. J. Hepatol. 2022, 77, 365–376. [Google Scholar] [CrossRef] [PubMed]
- Morgan, M.Y.; Marshall, A.W.; Milsom, J.P.; Sherlock, S. Plasma amino-acid patterns in liver disease. Gut 1982, 23, 362–370. [Google Scholar] [CrossRef] [PubMed]
- Siddik, M.A.B.; Shin, A.C. Recent Progress on Branched-Chain Amino Acids in Obesity, Diabetes, and Beyond. Endocrinol. Metab. 2019, 34, 234–246. [Google Scholar] [CrossRef] [PubMed]
- Kawaguchi, T.; Izumi, N.; Charlton, M.R.; Sata, M. Branched-chain amino acids as pharmacological nutrients in chronic liver disease. Hepatology 2011, 54, 1063–1070. [Google Scholar] [CrossRef]
- Konstantis, G.; Pourzitaki, C.; Chourdakis, M.; Kitsikidou, E.; Germanidis, G. Efficacy of branched chain amino acids supplementation in liver cirrhosis: A systematic review and meta-analysis. Clin. Nutr. 2022, 41, 1171–1190. [Google Scholar] [CrossRef] [PubMed]
- van Dijk, A.M.; Bruins Slot, A.S.; Portincasa, P.; Siegerink, S.N.; Chargi, N.; Verstraete, C.J.; de Bruijne, J.; Vleggaar, F.P.; van Erpecum, K.J. Systematic review with meta-analysis: Branched-chain amino acid supplementation in liver disease. Eur. J. Clin. Investig. 2023, 53, e13909. [Google Scholar] [CrossRef]
- Hayaishi, S.; Chung, H.; Kudo, M.; Ishikawa, E.; Takita, M.; Ueda, T.; Kitai, S.; Inoue, T.; Yada, N.; Hagiwara, S.; et al. Oral branched-chain amino acid granules reduce the incidence of hepatocellular carcinoma and improve event-free survival in patients with liver cirrhosis. Dig. Dis. 2011, 29, 326–332. [Google Scholar] [CrossRef]
- Tada, T.; Kumada, T.; Toyoda, H.; Kiriyama, S.; Tanikawa, M.; Hisanaga, Y.; Kanamori, A.; Kitabatake, S.; Niinomi, T.; Ito, T.; et al. Oral supplementation with branched-chain amino acid granules prevents hepatocarcinogenesis in patients with hepatitis C-related cirrhosis: A propensity score analysis. Hepatol. Res. Off. J. Jpn. Soc. Hepatol. 2014, 44, 288–295. [Google Scholar] [CrossRef]
- Kawaguchi, T.; Shiraishi, K.; Ito, T.; Suzuki, K.; Koreeda, C.; Ohtake, T.; Iwasa, M.; Tokumoto, Y.; Endo, R.; Kawamura, N.H.; et al. Branched-chain amino acids prevent hepatocarcinogenesis and prolong survival of patients with cirrhosis. Clin. Gastroenterol. Hepatol. Off. Clin. Pract. J. Am. Gastroenterol. Assoc. 2014, 12, 1012–1018.e1. [Google Scholar] [CrossRef] [PubMed]
- Kobayashi, M.; Ikeda, K.; Arase, Y.; Suzuki, Y.; Suzuki, F.; Akuta, N.; Hosaka, T.; Murashima, N.; Saitoh, S.; Someya, T.; et al. Inhibitory effect of branched-chain amino acid granules on progression of compensated liver cirrhosis due to hepatitis C virus. J. Gastroenterol. 2008, 43, 63–70. [Google Scholar] [CrossRef] [PubMed]
- Ichikawa, T.; Naota, T.; Miyaaki, H.; Miuma, S.; Isomoto, H.; Takeshima, F.; Nakao, K. Effect of an oral branched chain amino acid-enriched snack in cirrhotic patients with sleep disturbance. Hepatol. Res. Off. J. Jpn. Soc. Hepatol. 2010, 40, 971–978. [Google Scholar] [CrossRef] [PubMed]
- Kawamura, E.; Habu, D.; Morikawa, H.; Enomoto, M.; Kawabe, J.; Tamori, A.; Sakaguchi, H.; Saeki, S.; Kawada, N.; Shiomi, S. A randomized pilot trial of oral branched-chain amino acids in early cirrhosis: Validation using prognostic markers for pre-liver transplant status. Liver Transplant. Off. Publ. Am. Assoc. Study Liver Dis. Int. Liver Transplant. Soc. 2009, 15, 790–797. [Google Scholar] [CrossRef] [PubMed]
- Zhuang, P.; Liu, X.; Li, Y.; Wu, Y.; Li, H.; Wan, X.; Zhang, L.; Xu, C.; Jiao, J.; Zhang, Y. Circulating fatty acids, genetic risk, and incident coronary artery disease: A prospective, longitudinal cohort study. Sci. Adv. 2023, 9, eadf9037. [Google Scholar] [CrossRef] [PubMed]
- Hodson, L.; Skeaff, C.M.; Fielding, B.A. Fatty acid composition of adipose tissue and blood in humans and its use as a biomarker of dietary intake. Prog. Lipid Res. 2008, 47, 348–380. [Google Scholar] [CrossRef] [PubMed]
- Palmer, L.J. UK Biobank: Bank on it. Lancet 2007, 369, 1980–7982. [Google Scholar] [CrossRef]
- Sudlow, C.; Gallacher, J.; Allen, N.; Beral, V.; Burton, P.; Danesh, J.; Downey, P.; Elliott, P.; Green, J.; Landray, M.; et al. UK biobank: An open access resource for identifying the causes of a wide range of complex diseases of middle and old age. PLoS Med. 2015, 12, e1001779. [Google Scholar] [CrossRef] [PubMed]
- Ratib, S.; Fleming, K.M.; Crooks, C.J.; Walker, A.J.; West, J. Causes of death in people with liver cirrhosis in England compared with the general population: A population-based cohort study. Am. J. Gastroenterol. 2015, 110, 1149–1158. [Google Scholar] [CrossRef] [PubMed]
- Guo, F.; Chen, R.; Kong, L.; Wei, P.; Liu, Z.; Wang, X.; Hao, H.; Lu, Y.; Hu, W. Effects of serum branched-chain amino acids on nonalcoholic fatty liver disease and subsequent cardiovascular disease. Hepatol. Int. 2022, 16, 1424–1434. [Google Scholar] [CrossRef]
- Montanari, A.; Simoni, I.; Vallisa, D.; Trifirò, A.; Colla, R.; Abbiati, R.; Borghi, L.; Novarini, A. Free amino acids in plasma and skeletal muscle of patients with liver cirrhosis. Hepatology 1988, 8, 1034–1039. [Google Scholar] [CrossRef] [PubMed]
- Moriwaki, H.; Miwa, Y.; Tajika, M.; Kato, M.; Fukushima, H.; Shiraki, M. Branched-chain amino acids as a protein- and energy-source in liver cirrhosis. Biochem. Biophys. Res. Commun. 2004, 313, 405–409. [Google Scholar] [CrossRef] [PubMed]
- Sato, S.; Amano, N.; Sato, S.; Kita, Y.; Ikeda, Y.; Kabemura, D.; Murata, A.; Yatagai, N.; Tsuzura, H.; Shimada, Y.; et al. Elevated serum tyrosine concentration is associated with a poor prognosis among patients with liver cirrhosis. Hepatol. Res. Off. J. Jpn. Soc. Hepatol. 2021, 51, 786–795. [Google Scholar] [CrossRef] [PubMed]
- Gart, E.; van Duyvenvoorde, W.; Caspers, M.P.M.; van Trigt, N.; Snabel, J.; Menke, A.; Keijer, J.; Salic, K.; Morrison, M.C.; Kleemann, R. Intervention with isoleucine or valine corrects hyperinsulinemia and reduces intrahepatic diacylglycerols, liver steatosis, and inflammation in Ldlr−/− Leiden mice with manifest obesity-associated NASH. FASEB J. Off. Publ. Fed. Am. Soc. Exp. Biol. 2022, 36, e22435. [Google Scholar] [CrossRef] [PubMed]
- Honda, T.; Ishigami, M.; Luo, F.; Lingyun, M.; Ishizu, Y.; Kuzuya, T.; Hayashi, K.; Nakano, I.; Ishikawa, T.; Feng, G.-G.; et al. Branched-chain amino acids alleviate hepatic steatosis and liver injury in choline-deficient high-fat diet induced NASH mice. Metab. Clin. Exp. 2017, 69, 177–187. [Google Scholar] [CrossRef] [PubMed]
- Eguchi, A.; Iwasa, M.; Tamai, Y.; Tempaku, M.; Takamatsu, S.; Miyoshi, E.; Hasegawa, H.; Kobayashi, Y.; Takei, Y. Branched-chain amino acids protect the liver from cirrhotic injury via suppression of activation of lipopolysaccharide-binding protein, toll-like receptor 4, and signal transducer and activator of transcription 3, as well as Enterococcus faecalis translocation. Nutrition 2021, 86, 111194. [Google Scholar] [PubMed]
- Tamai, Y.; Chen, Z.; Wu, Y.; Okabe, J.; Kobayashi, Y.; Chiba, H.; Hui, S.-P.; Eguchi, A.; Iwasa, M.; Ito, M.; et al. Branched-chain amino acids and l-carnitine attenuate lipotoxic hepatocellular damage in rat cirrhotic liver. Biomed. Pharmacother. 2021, 135, 111181. [Google Scholar] [CrossRef]
- Korenaga, M.; Nishina, S.; Korenaga, K.; Tomiyama, Y.; Yoshioka, N.; Hara, Y.; Sasaki, Y.; Shimonaka, Y.; Hino, K. Branched-chain amino acids reduce hepatic iron accumulation and oxidative stress in hepatitis C virus polyprotein-expressing mice. Liver Int. Off. J. Int. Assoc. Study Liver 2015, 35, 1303–1314. [Google Scholar] [CrossRef] [PubMed]
- Newgard, C.B.; An, J.; Bain, J.R.; Muehlbauer, M.J.; Stevens, R.D.; Lien, L.F.; Haqq, A.M.; Shah, S.H.; Arlotto, M.; Slentz, C.A.; et al. A branched-chain amino acid-related metabolic signature that differentiates obese and lean humans and contributes to insulin resistance. Cell Metab. 2009, 9, 311–326. [Google Scholar] [CrossRef] [PubMed]
- Doisaki, M.; Katano, Y.; Nakano, I.; Hirooka, Y.; Itoh, A.; Ishigami, M.; Hayashi, K.; Goto, H.; Fujita, Y.; Kadota, Y.; et al. Regulation of hepatic branched-chain alpha-keto acid dehydrogenase kinase in a rat model for type 2 diabetes mellitus at different stages of the disease. Biochem. Biophys. Res. Commun. 2010, 393, 303–307. [Google Scholar] [CrossRef]
- Huang, D.Q.; Noureddin, N.; Ajmera, V.; Amangurbanova, M.; Bettencourt, R.; Truong, E.; Gidener, T.; Siddiqi, H.; Majzoub, A.M.; Nayfeh, T.; et al. Type 2 diabetes, hepatic decompensation, and hepatocellular carcinoma in patients with non-alcoholic fatty liver disease: An individual participant-level data meta-analysis. Lancet Gastroenterol. Hepatol. 2023, 8, 829–836. [Google Scholar] [CrossRef] [PubMed]
- Nakanishi, K.; Namisaki, T.; Mashitani, T.; Kaji, K.; Ozaki, K.; Saikawa, S.; Sato, S.; Inoue, T.; Sawada, Y.; Kitagawa, K.; et al. Late-Evening Snack with Branched-Chain Amino Acid-Enriched Nutrients Does Not Always Inhibit Overt Diabetes in Patients with Cirrhosis: A Pilot Study. Nutrients 2019, 11, 2140. [Google Scholar] [CrossRef] [PubMed]
- UK Biobank. Protocol for a Large-Scale Prospective Epidemiological Resource. Available online: https://www.ukbiobank.ac.uk/media/gnkeyh2q/study-rationale.pdf (accessed on 20 April 2020).
- Osborne, B.; Cooper, V. Health Survey for England 2017: Adult Health Related Behaviours; NHS Digital: Leeds, UK, 2019. [Google Scholar]
- Okely, A.D.; Kontsevaya, A.; Ng, J.; Abdeta, C. 2020 WHO guidelines on physical activity and sedentary behavior. Sports Med. Health Sci. 2021, 3, 115–118. [Google Scholar] [CrossRef] [PubMed]


| Variables | Overall | Q1 (0.13–0.31) | Q2 (0.31–0.36) | Q3 (0.36–0.41) | Q4 (0.41–1.30) | p for Trend a |
|---|---|---|---|---|---|---|
| N | 64,005 | 16,001 | 16,001 | 16,002 | 16,001 | |
| Age (mean (SD)) | 56.80 (7.94) | 56.53 (8.10) | 56.96 (7.92) | 56.97 (7.89) | 56.76 (7.83) | 0.015 |
| Gender (%) | <0.001 | |||||
| Female | 28,806 (45.0) | 10,062 (62.9) | 7583 (47.4) | 5856 (36.6) | 5305 (33.2) | |
| Male | 35,199 (55.0) | 5939 (37.1) | 8418 (52.6) | 10,146 (63.4) | 10,696 (66.8) | |
| Ethnic (%) | <0.001 | |||||
| White | 61,480 (96.1) | 15,451 (96.6) | 15,361 (96.0) | 15,373 (96.1) | 15,295 (95.6) | |
| Others | 2525 (3.9) | 550 (3.4) | 640 (4.0) | 629 (3.9) | 706 (4.4) | |
| Townsend deprivation index (%) | 0.142 | |||||
| 1 | 12,788 (20.0) | 3135 (19.6) | 3243 (20.3) | 3226 (20.2) | 3184 (19.9) | |
| 2 | 12,792 (20.0) | 3224 (20.1) | 3094 (19.3) | 3199 (20.0) | 3275 (20.5) | |
| 3 | 12,826 (20.0) | 3154 (19.7) | 3221 (20.1) | 3271 (20.4) | 3180 (19.9) | |
| 4 | 12,807 (20.0) | 3263 (20.4) | 3223 (20.1) | 3166 (19.8) | 3155 (19.7) | |
| 5 | 12,792 (20.0) | 3225 (20.2) | 3220 (20.1) | 3140 (19.6) | 3207 (20.0) | |
| BMI (mean (SD)) | 29.48 (5.15) | 27.86 (5.20) | 29.28 (5.05) | 30.04 (5.00) | 30.73 (4.92) | <0.001 |
| Drinking status (%) | <0.001 | |||||
| Never | 2118 (3.3) | 476 (3.0) | 509 (3.2) | 567 (3.5) | 566 (3.5) | |
| Previous | 1765 (2.8) | 339 (2.1) | 442 (2.8) | 424 (2.6) | 560 (3.5) | |
| Current | 60,122 (93.9) | 15,186 (94.9) | 15,050 (94.1) | 15,011 (93.8) | 14,875 (93.0) | |
| Smoking status (%) | <0.001 | |||||
| Never | 30,140 (47.1) | 7529 (47.1) | 7640 (47.7) | 7413 (46.3) | 7558 (47.2) | |
| Former | 26,019 (40.7) | 6205 (38.8) | 6432 (40.2) | 6692 (41.8) | 6690 (41.8) | |
| Current | 7846 (12.3) | 2267 (14.2) | 1929 (12.1) | 1897 (11.9) | 1753 (11.0) | |
| Physical activity (%) | <0.001 | |||||
| Low | 9242 (14.4) | 2120 (13.2) | 2241 (14.0) | 2373 (14.8) | 2508 (15.7) | |
| Moderate | 37,999 (59.4) | 9452 (59.1) | 9461 (59.1) | 9545 (59.6) | 9541 (59.6) | |
| High | 16,764 (26.2) | 4429 (27.7) | 4299 (26.9) | 4084 (25.5) | 3952 (24.7) | |
| T2DM (%) | <0.001 | |||||
| Yes | 59,614 (93.1) | 15,390 (96.2) | 15,246 (95.3) | 14,836 (92.7) | 14,142 (88.4) | |
| No | 4391 (6.9) | 611 (3.8) | 755 (4.7) | 1166 (7.3) | 1859 (11.6) | |
| Education (%) | 0.095 | |||||
| No degree | 44,468 (69.5) | 10,994 (68.7) | 11,183 (69.9) | 11,130 (69.6) | 11,161 (69.8) | |
| Degree | 19,537 (30.5) | 5007 (31.3) | 4818 (30.1) | 4872 (30.4) | 4840 (30.2) | |
| Family history of cancer (%) | 0.400 | |||||
| Without | 44,384 (69.3) | 11,157 (69.7) | 11,036 (69.0) | 11,133 (69.6) | 11,058 (69.1) | |
| With | 19,621 (30.7) | 4844 (30.3) | 4965 (31.0) | 4869 (30.4) | 4942 (30.9) |
| Variables | Per IQR | Quartile Categories | p for Trend a | |||
|---|---|---|---|---|---|---|
| Q1 | Q2 | Q3 | Q4 | |||
| Total branched-chain amino acids | ||||||
| Range, mmol/L | 0.13–0.31 | 0.31–0.36 | 0.36–0.41 | 0.41–1.30 | ||
| Age, gender, BMI and T2DM-adjusted HR b | 0.82 (0.75–0.90) | Ref | 0.78 (0.62, 0.98) | 0.67 (0.53, 0.85) | 0.65 (0.51, 0.82) | <0.001 |
| Multivariable-adjusted HR c | 0.84 (0.77–0.92) | Ref | 0.80 (0.63, 1.00) | 0.71 (0.56, 0.90) | 0.69 (0.55, 0.88) | <0.001 |
| Isoleucine | ||||||
| Range, mmol/L | ≤0.04 | 0.04–0.05 | 0.05–0.06 | 0.06–0.20 | ||
| Age, gender, BMI and T2DM-adjusted HR | 0.86 (0.78–0.94) | Ref | 0.83 (0.66, 1.04) | 0.72 (0.57, 0.92) | 0.67 (0.53, 0.86) | <0.001 |
| Multivariable-adjusted HR | 0.87 (0.80–0.95) | Ref | 0.84 (0.67, 1.05) | 0.75 (0.59, 0.95) | 0.70 (0.55, 0.89) | 0.003 |
| Leucine | ||||||
| Range, mmol/L | 0.03–0.09 | 0.09–0.10 | 0.10–0.12 | 0.12–0.45 | ||
| Age, gender, BMI and T2DM-adjusted HR | 0.82 (0.75–0.90) | Ref | 0.71 (0.56, 0.89) | 0.67 (0.53, 0.85) | 0.63 (0.50, 0.80) | <0.001 |
| Multivariable-adjusted HR | 0.84 (0.77–0.92) | Ref | 0.73 (0.58, 0.92) | 0.71 (0.56, 0.89) | 0.67 (0.52, 0.84) | <0.001 |
| Valine | ||||||
| Range, mmol/L | 0.07–0.18 | 0.18–0.21 | 0.21–0.23 | 0.23–0.85 | ||
| Age, gender, BMI and T2DM-adjusted HR | 0.82 (0.75–0.90) | Ref | 0.87 (0.69, 1.09) | 0.68 (0.54, 0.87) | 0.69 (0.54, 0.87) | <0.001 |
| Multivariable-adjusted HR | 0.84 (0.77–0.92) | Ref | 0.90 (0.71, 1.13) | 0.72 (0.56, 0.91) | 0.73 (0.58, 0.93) | 0.003 |
| Prop. Mediated (Average) | Estimate | 95% CI Lower | 95% CI Upper | p-Value |
|---|---|---|---|---|
| Total branched-chain amino acids | −27.43% | −67.86% | −12% | 0.04 |
| Isoleucine | −21.22% | −76.94% | −10% | 0.02 |
| Leucine | −21.78% | −136% | 30% | 0.06 |
| Valine | −28.40% | −154% | 19% | 0.06 |
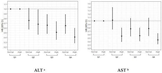
| Variables | Count | Percent | p-Value | HR a (95% CI) | p for Interaction |
|---|---|---|---|---|---|
| Ethnic | 0.128 | ||||
| White | 61,480 | 96.1 | <0.001 | 0.83 (0.76, 0.91) | |
| Others | 2525 | 3.9 | 0.032 | 0.49 (0.26, 0.94) | |
| Townsend deprivation index | 0.007 | ||||
| 1 | 12,788 | 20 | 0.541 | 0.93 (0.73, 1.18) | |
| 2 | 12,792 | 20 | 0.852 | 0.98 (0.80, 1.21) | |
| 3 | 12,826 | 20 | 0.126 | 0.85 (0.68, 1.05) | |
| 4 | 12,807 | 20 | 0.023 | 0.78 (0.63, 0.97) | |
| 5 | 12,792 | 20 | <0.001 | 0.74 (0.63, 0.86) | |
| Ever drinking | 0.307 | ||||
| No | 2118 | 3.3 | 0.468 | 1.19 (0.74, 1.91) | |
| Yes | 61,887 | 96.7 | <0.001 | 0.81 (0.74, 0.89) | |
| Ever smoking | 0.479 | ||||
| No | 30,140 | 47.1 | 0.013 | 0.82 (0.70, 0.96) | |
| Yes | 33,865 | 52.9 | <0.001 | 0.82 (0.74, 0.92) | |
| Physical activity | 0.020 | ||||
| Low | 9242 | 14.4 | <0.001 | 0.68 (0.55, 0.83) | |
| Moderate | 37,999 | 59.4 | 0.003 | 0.83 (0.74, 0.93) | |
| High | 16,764 | 26.2 | 0.323 | 0.91 (0.76, 1.10) | |
| Education | 0.215 | ||||
| No degree | 44,468 | 69.5 | <0.001 | 0.81 (0.73, 0.90) | |
| Degree | 19,537 | 30.5 | 0.107 | 0.85 (0.71, 1.04) | |
| Family history of cancer | 0.127 | ||||
| Without | 44,384 | 69.3 | <0.001 | 0.78 (0.69, 0.87) | |
| With | 19,621 | 30.7 | 0.199 | 0.91 (0.78, 1.05) | |
| ALT | 0.045 | ||||
| Normal | 56,711 | 88.6 | <0.001 | 0.80 (0.71, 0.90) | |
| High | 7294 | 11.4 | <0.001 | 0.70 (0.61, 0.81) | |
| AST | 0.009 | ||||
| Normal | 59,764 | 93.4 | 0.009 | 0.85 (0.75, 0.96) | |
| High | 4241 | 6.6 | <0.001 | 0.73 (0.64, 0.83) |
Disclaimer/Publisher’s Note: The statements, opinions and data contained in all publications are solely those of the individual author(s) and contributor(s) and not of MDPI and/or the editor(s). MDPI and/or the editor(s) disclaim responsibility for any injury to people or property resulting from any ideas, methods, instructions or products referred to in the content. |
© 2024 by the authors. Licensee MDPI, Basel, Switzerland. This article is an open access article distributed under the terms and conditions of the Creative Commons Attribution (CC BY) license (https://creativecommons.org/licenses/by/4.0/).
Share and Cite
Zhu, Y.; Guo, C.; Fan, H.; Han, X.; Li, Y.; Chen, X.; Zhang, T. Serum Branched-Chain Amino Acids and Long-Term Complications of Liver Cirrhosis: Evidence from a Population-Based Prospective Study. Nutrients 2024, 16, 2295. https://doi.org/10.3390/nu16142295
Zhu Y, Guo C, Fan H, Han X, Li Y, Chen X, Zhang T. Serum Branched-Chain Amino Acids and Long-Term Complications of Liver Cirrhosis: Evidence from a Population-Based Prospective Study. Nutrients. 2024; 16(14):2295. https://doi.org/10.3390/nu16142295
Chicago/Turabian StyleZhu, Yichen, Chengnan Guo, Hong Fan, Xinyu Han, Yi Li, Xingdong Chen, and Tiejun Zhang. 2024. "Serum Branched-Chain Amino Acids and Long-Term Complications of Liver Cirrhosis: Evidence from a Population-Based Prospective Study" Nutrients 16, no. 14: 2295. https://doi.org/10.3390/nu16142295
APA StyleZhu, Y., Guo, C., Fan, H., Han, X., Li, Y., Chen, X., & Zhang, T. (2024). Serum Branched-Chain Amino Acids and Long-Term Complications of Liver Cirrhosis: Evidence from a Population-Based Prospective Study. Nutrients, 16(14), 2295. https://doi.org/10.3390/nu16142295

