Hemoglobin Regeneration Efficiency and Relative Iron Bioavailability of Four Elemental Iron Powders in Rats
Abstract
1. Introduction
2. Materials and Methods
2.1. Elemental Iron Powders
2.2. Study Design and Dietary Treatments
2.3. Iron Powder Dissolution (Solubility) Testing
2.4. Hemoglobin and Hemoglobin Iron Determinations
2.5. Hemoglobin Regeneration Efficiency and Relative Iron Bioavailability
2.6. Hemoglobin Maintenance Study Arm
2.7. Statistical Analyses
3. Results
3.1. Elemental Iron Powder Dissolution (Solubility)
3.2. Hemoglobin Change and Hemoglobin Regeneration Efficiency: No Added Iron and Ferrous Sulfate
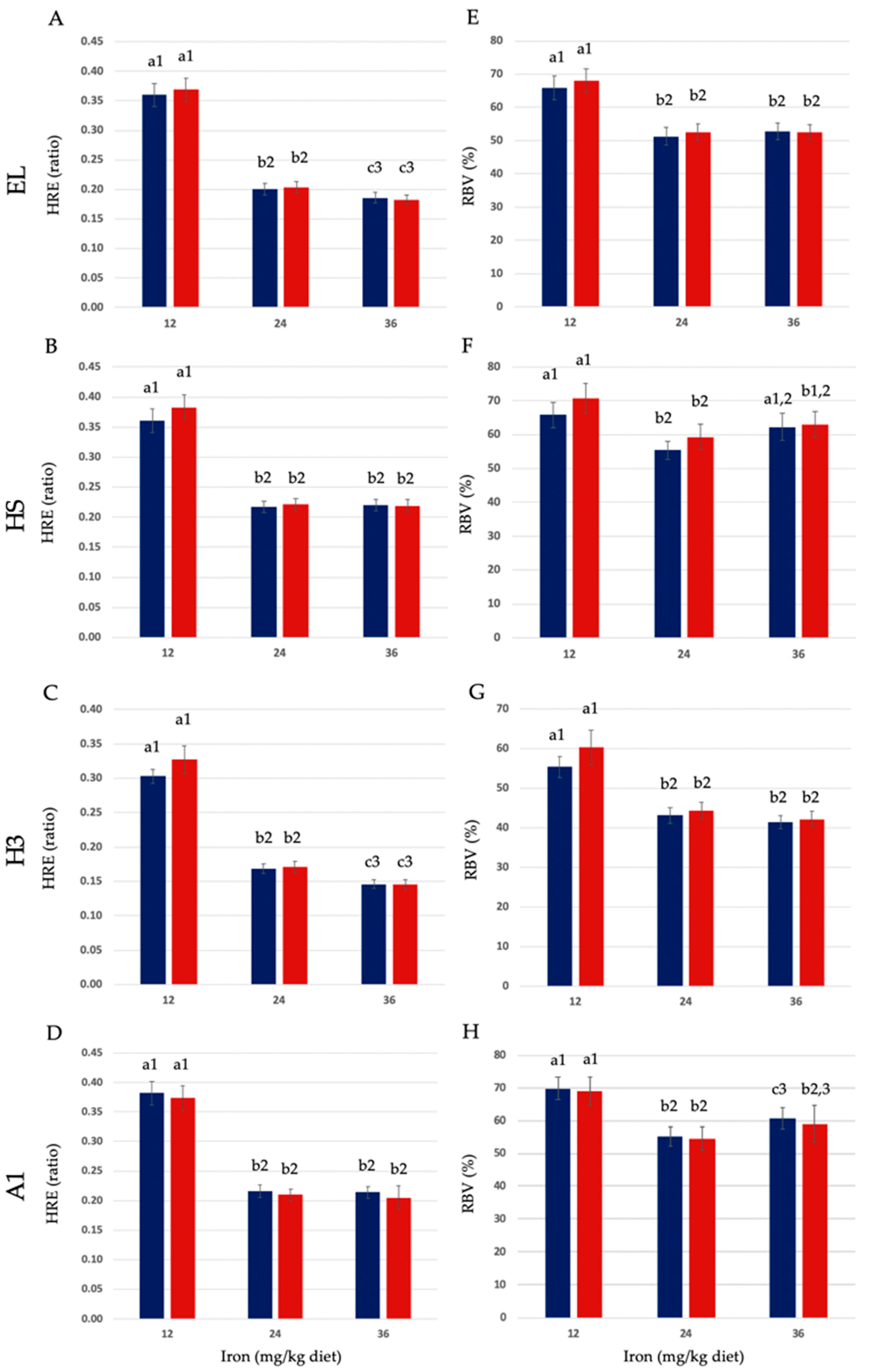
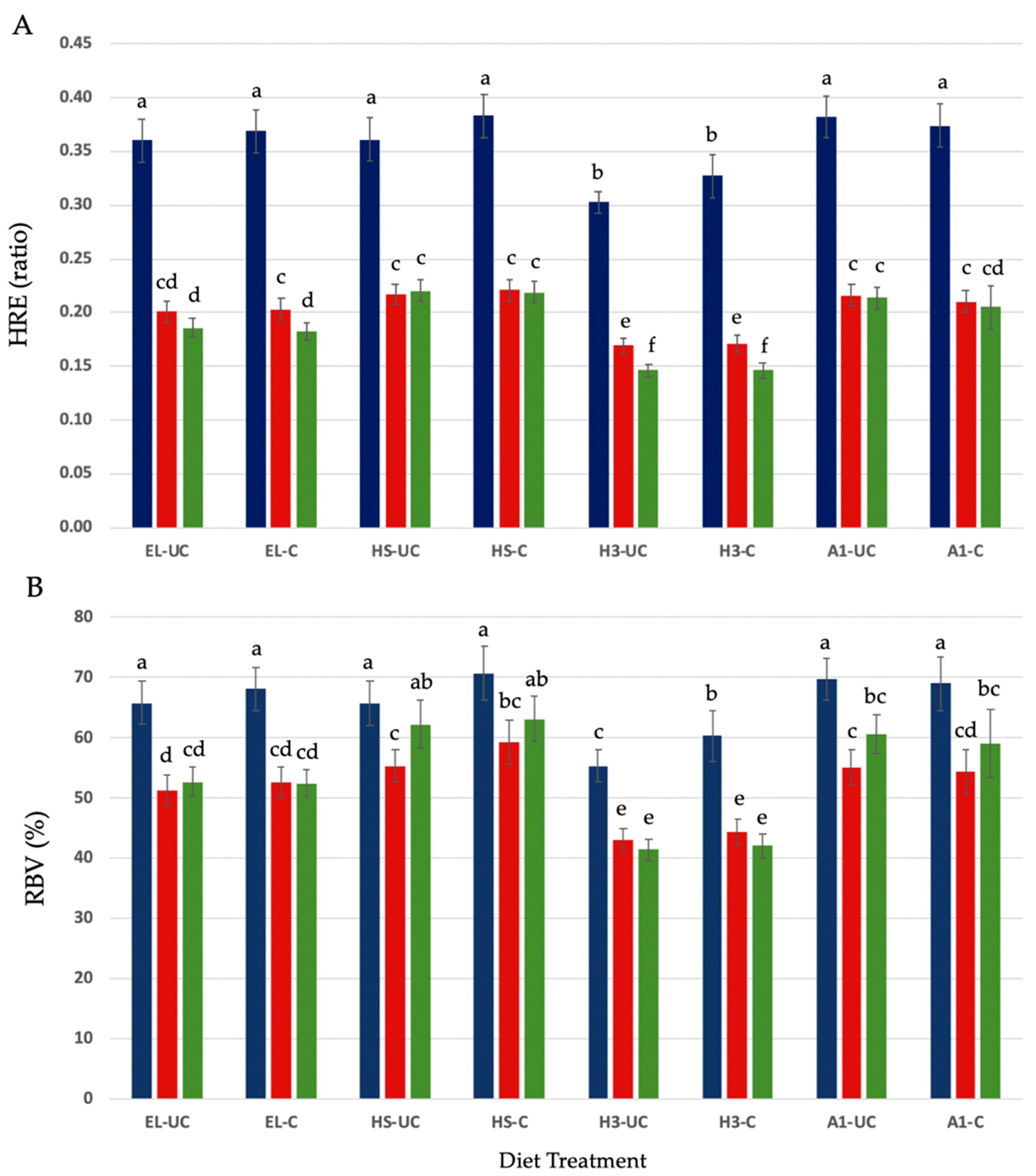
3.3. Hemoglobin Regeneration Efficiency and Relative Iron Bioavailability of Elemental Iron Powders
3.4. Hemoglobin Maintenance Study
4. Discussion
5. Conclusions
Supplementary Materials
Author Contributions
Funding
Institutional Review Board Statement
Informed Consent Statement
Data Availability Statement
Acknowledgments
Conflicts of Interest
References
- Leung, A.K.C.; Lam, J.M.; Wong, A.H.C.; Hon, K.L.; Li, X. Iron Deficiency Anemia: An Updated Review. Curr. Pediatr. Rev. 2024, 20, 339–356. [Google Scholar] [CrossRef] [PubMed]
- Hurrell, R.F. Fortification: Overcoming technical and practical barriers. J. Nutr. 2002, 132 (Suppl. S4), 806S–812S. [Google Scholar] [CrossRef] [PubMed]
- Paim, T.C.; Wermuth, D.P.; Bertaco, I.; Zanatelli, C.; Naasani, L.I.S.; Slaviero, M.; Driemeier, D.; Schaeffer, L.; Wink, M.R. Evaluation of in vitro and in vivo biocompatibility of iron produced by powder metallurgy. Mater. Sci. Eng. C Mater. Biol. Appl. 2020, 115, 111129. [Google Scholar] [CrossRef] [PubMed]
- Shah, B.G.; Giroux, A.; Belonje, B. Specifications for reduced iron as a food additive. J. Agric. Food Chem. 1977, 25, 592–594. [Google Scholar] [CrossRef] [PubMed]
- Motzok, I.; Verma, R.S.; Chen, S.S.; Rasper, J.; Hancock, R.G.; Ross, H.U. Bioavailability, in vitro solubility, and physical and chemical properties of elemental iron powders. J. Assoc. Off. Anal. Chem. 1978, 61, 887–893. [Google Scholar] [CrossRef] [PubMed]
- Forbes, A.L.; Arnaud, M.J.; Chichester, C.O.; Cook, J.D.; Harrison, B.N.; Hurrell, R.F.; Kahn, S.G.; Morris, E.R.; Tanner, J.T.; Whittaker, P.; et al. Comparison of in vitro, animal, and clinical determinations of iron bioavailability: International Nutritional Anemia Consultative Group Task Force report on iron bioavailability. Am. J. Clin. Nutr. 1989, 49, 225–238. [Google Scholar] [CrossRef] [PubMed]
- Fritz, J.C.; Pla, G.W.; Harrison, B.N.; Clark, G.A. Estimation of the bioavailability of iron. J. Assoc. Off. Anal. Chem. 1975, 58, 902–905. [Google Scholar] [CrossRef] [PubMed]
- Pennell, M.D.; Davies, M.I.; Rasper, J.; Motzok, I. Biological availability of iron supplements for rats, chicks and humans. J. Nutr. 1976, 106, 265–274. [Google Scholar] [CrossRef] [PubMed]
- Coccodrilli, G.D., Jr.; Reussner, G.H.; Thiessen, R., Jr. Relative biological value of iron supplements in processed food products. J. Agric. Food Chem. 1976, 24, 351–353. [Google Scholar] [CrossRef]
- Sacks, P.V.; Houchin, D.N. Comparative bioavailability of elemental iron powders for repair of iron deficiency anemia in rats. Studies of efficacy and toxicity of carbonyl iron. Am. J. Clin. Nutr. 1978, 31, 566–571. [Google Scholar] [CrossRef]
- Park, Y.W.; Mahoney, A.W.; Hendricks, D.G. Bioavailability of different sources of ferrous sulfate iron fed to anemic rats. J. Nutr. 1983, 113, 2223–2228. [Google Scholar] [CrossRef] [PubMed]
- Hurrell, R.F.; Furniss, D.E.; Burri, J.; Whittaker, P.; Lynch, S.R.; Cook, J.D. Iron fortification of infant cereals: A proposal for the use of ferrous fumarate or ferrous succinate. Am. J. Clin. Nutr. 1989, 49, 1274–1282. [Google Scholar] [CrossRef] [PubMed]
- Elwood, P.C. A Clinical Trial of Iron-fortified Bread. Br. Med. J. 1963, 1, 224–227. [Google Scholar] [CrossRef] [PubMed]
- Höglund, S.; Reizenstein, P. Studies in iron absorption. V. Effect of gastrointestinal factors on iron absorption. Blood 1969, 34, 486–504. [Google Scholar] [PubMed]
- Elwood, P.C.; Waters, W.E.; Sweetnam, P. The haematinic effect of iron in flour. Clin. Sci. 1971, 40, 31–37. [Google Scholar] [CrossRef] [PubMed]
- Cook, J.D.; Minnich, V.; Moore, C.V.; Rasmussen, A.; Bradley, W.B.; Finch, C.A. Absorption of fortification iron in bread. Am. J. Clin. Nutr. 1973, 26, 861–872. [Google Scholar] [CrossRef] [PubMed]
- Rios, E.; Hunter, R.E.; Cook, J.D.; Smith, N.J.; Finch, C.A. The absorption of iron as supplements in infant cereal and infant formulas. Pediatrics 1975, 55, 686–693. [Google Scholar] [CrossRef] [PubMed]
- Björn-Rasmussen, E.; Hallberg, L.; Rossander, L. Absorption of ‘fortification’ iron. Bioavailability in man of different samples of reduced Fe, and prediction of the effects of Fe fortification. Br. J. Nutr. 1977, 37, 375–388. [Google Scholar] [CrossRef]
- Hallberg, L.; Brune, M.; Rossander, L. Low bioavailability of carbonyl iron in man: Studies on iron fortification of wheat flour. Am. J. Clin. Nutr. 1986, 43, 59–67. [Google Scholar] [CrossRef]
- Walter, T.; Dallman, P.R.; Pizarro, F.; Velozo, L.; Peña, G.; Bartholmey, S.J.; Hertrampf, E.; Olivares, M.; Letelier, A.; Arredondo, M. Effectiveness of iron-fortified infant cereal in prevention of iron deficiency anemia. Pediatrics 1993, 91, 976–982. [Google Scholar] [CrossRef] [PubMed]
- Roe, M.A.; Fairweather-Tait, S.J. High bioavailability of reduced iron added to UK flour. Lancet 1999, 353, 1938–1939. [Google Scholar] [CrossRef] [PubMed]
- Turner, L. Monterrey Workshop summary: Evaluating the usefulness of elemental iron powders. Nutr. Rev. 2002, 60 (Suppl. S7), S16–S17, discussion S43–S45. [Google Scholar] [CrossRef]
- Whittaker, P. Iron and zinc interactions in humans. Am. J. Clin. Nutr. 1998, 68 (Suppl. S2), 442S–446S. [Google Scholar] [CrossRef] [PubMed]
- Chen, C.; Chaudhary, A.; Mathys, A. Nutrient Adequacy of Global Food Production. Front. Nutr. 2021, 8, 739755. [Google Scholar] [CrossRef] [PubMed]
- Committee on Codex Specifications, Food and Nutrition Board, Division of Biological Sciences, Assembly of Life Sciences, National Research Council. Food Chemicals Codex, 13th ed.; National Academy Press: Washington, DC, USA, 2022; Available online: https://www.foodchemicalscodex.org/ (accessed on 27 June 2024).
- Reeves, P.G.; Nielsen, F.H.; Fahey, G.C., Jr. AIN-93 purified diets for laboratory rodents: Final report of the American Institute of Nutrition ad hoc writing committee on the reformulation of the AIN-76A rodent diet. J. Nutr. 1993, 123, 1939–1951. [Google Scholar] [CrossRef] [PubMed]
- Swain, J.H.; Newman, S.M.; Hunt, J.R. Bioavailability of elemental iron powders to rats is less than bakery-grade ferrous sulfate and predicted by iron solubility and particle surface area. J. Nutr. 2003, 133, 3546–3552. [Google Scholar] [CrossRef] [PubMed]
- Fritz, J.C.; Pla, G.W.; Harrison, B.N.; Clark, G.A.; Smith, E.A. Measurement of the bioavailability of iron, using the rat hemoglobin repletion test. J. Assoc. Off. Anal. Chem. 1978, 61, 709–714. [Google Scholar] [CrossRef] [PubMed]
- Whittaker, P.; Mahoney, A.W.; Hendricks, D.G. Effect of iron-deficiency anemia on percent blood volume in growing rats. J. Nutr. 1984, 114, 1137–1142. [Google Scholar] [CrossRef]
- Lisbona, F.; Reyes-Andrada, M.D.; López-Aliaga, I.; Barrionuevo, M.; Alférez, M.J.; Campos, M.S. The importance of the proportion of heme/nonheme iron in the diet to minimize the interference with calcium, phosphorus, and magnesium metabolism on recovery from nutritional ferropenic anemia. J. Agric. Food Chem. 1999, 47, 2026–2032. [Google Scholar] [CrossRef]
- Littell, R.C.; Henry, P.R.; Lewis, A.J.; Ammerman, C.B. Estimation of relative bioavailability of nutrients using SAS procedures. J. Anim. Sci. 1997, 75, 2672–2683. [Google Scholar] [CrossRef]
- Walter, T.; Pizarro, F.; Abrams, S.A.; Boy, E. Bioavailability of elemental iron powder in white wheat bread. Eur. J. Clin. Nutr. 2004, 58, 555–558. [Google Scholar] [CrossRef] [PubMed]
- Biebinger, R.; Zimmermann, M.B.; Al-Hooti, S.N.; Al-Hamed, N.; Al-Salem, E.; Zafar, T.; Kabir, Y.; Al-Obaid, I.; Petry, N.; Hurrell, R.F. Efficacy of wheat-based biscuits fortified with microcapsules containing ferrous sulfate and potassium iodate or a new hydrogen-reduced elemental iron: A randomised, double-blind, controlled trial in Kuwaiti women. Br. J. Nutr. 2009, 102, 1362–1369. [Google Scholar] [CrossRef] [PubMed]
- Jyrwa, Y.W.; Yaduvanshi, P.S.; Sinha, G.R.; Dwarapudi, S.; Madhari, R.S.; Boiroju, N.K.; Pullakhandam, R.; Palika, R. Bioavailability of iron from novel hydrogen reduced iron powders: Studies in Caco-2 cells and rat model. J. Food Sci. 2021, 86, 3480–3491. [Google Scholar] [CrossRef] [PubMed]
- Huang, J.; Sun, J.; Li, W.X.; Wang, L.J.; Wang, A.X.; Huo, J.S.; Chen, J.S.; Chen, C.M. Efficacy of different iron fortificants in wheat flour in controlling iron deficiency. Biomed. Environ. Sci. 2009, 22, 118–121. [Google Scholar] [CrossRef]
- Dickmann, R.S.; Strasburg, G.M.; Romsos, D.R.; Wilson, L.A.; Lai, G.H.; Huang, H. Particle Size, Surface Area, and Amorphous Content as Predictors of Solubility and Bioavailability for Five Commercial Sources of Ferric Orthophosphate in Ready-To-Eat Cereal. Nutrients 2016, 8, 129. [Google Scholar] [CrossRef] [PubMed]
- Zhu, Q.; Qian, Y.; Yang, Y.; Wu, W.; Xie, J.; Wei, D. Effects of carbonyl iron powder on iron deficiency anemia and its subchronic toxicity. J. Food Drug Anal. 2016, 24, 746–753. [Google Scholar] [CrossRef] [PubMed]
- 38. da Silva Lopes, K.; Yamaji, N.; Rahman, M.O.; Suto, M.; Takemoto, Y.; Garcia-Casal, M.N.; Ota, E. Nutrition-specific interventions for preventing and controlling anaemia throughout the life cycle: An overview of systematic reviews. Cochrane Database Syst. Rev. 2021, 9, CD013092. [Google Scholar] [CrossRef]
- Wienk, K.J.; Marx, J.J.; Beynen, A.C. The concept of iron bioavailability and its assessment. Eur. J. Nutr. 1999, 38, 51–75. [Google Scholar] [CrossRef] [PubMed]
- Akhtar, S.; Ahmed, A.; Ahmad, A.; Ali, Z.; Riaz, M.; Ismail, T. Iron status of the Pakistani population-current issues and strategies. Asia Pac. J. Clin. Nutr. 2013, 22, 340–347. [Google Scholar] [CrossRef]
- Hoppe, M.; Hulthén, L.; Hallberg, L. Serum iron concentration as a tool to measure relative iron absorption from elemental iron powders in man. Scand. J. Clin. Lab. Investig. 2003, 63, 489–496. [Google Scholar] [CrossRef]
- Zimmermann, M.B.; Winichagoon, P.; Gowachirapant, S.; Hess, S.Y.; Harrington, M.; Chavasit, V.; Lynch, S.R.; Hurrell, R.F. Comparison of the efficacy of wheat-based snacks fortified with ferrous sulfate, electrolytic iron, or hydrogen-reduced elemental iron: Randomized, double-blind, controlled trial in Thai women. Am. J. Clin. Nutr. 2005, 82, 1276–1282. [Google Scholar] [CrossRef] [PubMed]
- Hoppe, M.; Hulthén, L.; Hallberg, L. The relative bioavailability in humans of elemental iron powders for use in food fortification. Eur. J. Nutr. 2006, 45, 37–44. [Google Scholar] [CrossRef] [PubMed]
- Hurrell, R. Linking the bioavailability of iron compounds to the efficacy of iron-fortified foods. Int. J. Vitam. Nutr. Res. 2007, 77, 166–173. [Google Scholar] [CrossRef] [PubMed]
- Hurrell, R.; Bothwell, T.; Cook, J.D.; Dary, O.; Davidsson, L.; Fairweather-Tait, S.; Hallberg, L.; Lynch, S.; Rosado, J.; Walter, T.; et al. The usefulness of elemental iron for cereal flour fortification: A SUSTAIN Task Force report. Sharing United States Technology to Aid in the Improvement of Nutrition. Nutr. Rev. 2002, 60, 391–406. [Google Scholar] [CrossRef] [PubMed]
- Nielsen, O.H.; Coskun, M.; Weiss, G. Iron replacement therapy: Do we need new guidelines? Curr. Opin. Gastroenterol. 2016, 32, 128–135. [Google Scholar] [CrossRef]
- Hunt, J.R. How important is dietary iron bioavailability? Am. J. Clin. Nutr. 2001, 73, 3–4. [Google Scholar] [CrossRef]



| Formula | g/Kg | |
| Casein, low Cu and Fe | 200.0 | |
| Sucrose | 314.5 | |
| Corn starch | 315.0 | |
| Soybean oil | 70.0 | |
| Cellulose, microcrystalline (Alphacel™) | 50.0 | |
| Mineral mix modified, no added iron (81062) 2 * | 35.0 | |
| Vitamin mix, AIN-93-VX (40077) 3 ** | 10.0 | |
| L-cysteine | 3.0 | |
| Choline bitartrate | 2.5 | |
| TBHQ, antioxidant | 0.014 | |
| Macronutrients | % dry weight | % kcal |
| Protein | 17.7 | 17.8 |
| Carbohydrate | 69.8 | 70.4 |
| Fat | 5.2 | 11.8 |
| Elemental Iron Powder | % Dissolution 2,3 |
|---|---|
| El-Lyte | 58.7 ± 1.1 a |
| Hi-Sol | 75.5 ± 2.7 b |
| H-325 | 43.7 ± 1.4 c |
| A-131 | 72.7 ± 3.0 b |
| Control (C) (No Added Iron) | Ferrous Sulfate (FS) | |||||||||||
|---|---|---|---|---|---|---|---|---|---|---|---|---|
| Diet Code | C-UC | C-C | FS-1UC | FS-2UC | FS-3UC | FS-4UC | FS-5UC | FS-1C | FS-2C | FS-3C | FS-4C | FS-5C |
| Diet Fe (mg/kg) | ||||||||||||
| Calculated | 1.6 | 1.6 | 6 | 12 | 18 | 24 | 36 | 6 | 12 | 18 | 24 | 36 |
| (Analyzed) | (1.4) | (1.5) | (6.2) | (11.8) | (18.3) | (23.7) | (36.1) | (5.9) | (12.2) | (17.8) | (24.3) | (36.4) |
| Food intake (g/day) | 11.8 ± 0.53 a | 11.9 ± 0.53 a | 12.1 ± 0.62 a | 12.9 ± 0.61 ab | 13.7 ± 0.73 bc | 14.6 ± 0.77 c | 14.9 ± 0.72 c | 12.3 ± 0.76 a | 13.1 ± 0.60 ab | 13.9 ± 0.75 bc | 14.5 ± 0.81 bc | 14.8 ± 0.80 c |
| Fe intake (mg/day) | 0.017 ± 7−04 a | 0.018 ± 9−04 a | 0.075 ± 4−03 a | 0.152 ± 8−03 b | 0.251 ± 0.01 c | 0.346 ± 0.02 d | 0.538 ± 0.02 e | 0.073 ± 4−04 a | 0.160 ± 7−03 b | 0.247 ± 0.01 c | 0.353 ± 0.02 d | 0.539 ± 0.03 e |
| Body weight (g) | ||||||||||||
| Initial | 84.1 ± 3.3 a | 83.8 ± 3.2 a | 82.1 ± 3.6 a | 83.4 ± 3.0 a | 83.9 ± 3.9 a | 84.3 ± 4.1 a | 84.7 ± 3.2 a | 83.2 ± 3.5 a | 84.1 ± 2.9 a | 83.6 ± 3.5 a | 84.4 ± 3.4 a | 83.9 ± 3.9 a |
| (Gain) | (16.1 ± 0.6 a) | (15.2 ± 0.5 a) | (53.2 ± 2.3 a) | (55.6 ± 2.7 a) | (54.9 ± 2.5 a) | (56.2 ± 2.3 a) | (58.1 ± 2.9 a) | (53.7 ± 2.3 a) | (54.4 ± 2.6 a) | (54.8 ± 2.9 a) | (57.1 ± 2.0 a) | (57.8 ± 3.2 a) |
| Hemoglobin (g/dL) | ||||||||||||
| Initial | 4.69 ± 0.2 a | 4.72 ± 0.4 a | 4.73 ± 0.2 a | 4.75 ± 0.3 a | 4.68 ± 0.2 a | 4.81 ± 0.3 a | 4.70 ± 0.2 a | 4.77 ± 0.2 a | 4.83 ± 0.3 a | 4.61 ± 0.4 a | 4.66 ± 0.3 a | 4.65 ± 0.3 a |
| (Gain) | (−0.39 ± 0.02 a) | (−0.41 ± 0.02 a) | (1.24 ± 0.05 a) | (1.83 ± 0.1 b) | (3.36 ± 0.2 c) | (4.10 ± 0.2 d) | (6.39 ± 0.4 e) | (1.29 ± 0.05 a) | (2.01 ± 0.2 b) | (3.14 ± 0.3 c) | (4.09 ± 0.2 d) | (6.33 ± 0.3 e) |
| Hemoglobin Fe 3 | ||||||||||||
| Gain (mg) | −0.082 ± 4−03 a | −0.070 ± 3−03 b | 0.941 ± 0.03 a | 1.164 ± 0.04 b | 1.624 ± 0.03 c | 1.899 ± 0.09 d | 2.662 ± 0.14 e | 0.971 ± 0.03 a | 1.215 ± 0.04 b | 1.543 ± 0.08 c | 1.903 ± 0.11 d | 2.616 ± 0.15 e |
| HRE ratio 4 | n/a | n/a | 0.896 ± 0.04 a | 0.547 ± 0.03 b | 0.462 ± 0.02 c | 0.392 ± 0.01 d | 0.353 ± 0.01 e | 0.950 ± 0.05 a | 0.542 ± 0.03 b | 0.446 ± 0.03 c | 0.386 ± 0.02 d | 0.347 ± 0.02 d |
| El-Lyte (EL) | ||||||
|---|---|---|---|---|---|---|
| Diet Code | EL-1UC | EL-2UC | EL-3UC | EL-1C | EL-2C | EL-3C |
| Diet Fe (mg/kg) | ||||||
| Calculated | 12 | 24 | 36 | 12 | 24 | 36 |
| (Analyzed) | (11.7) | (23.5) | (36.2) | (11.6) | (24.3) | (35.8) |
| Food intake (g/day) | 13.2 ± 0.62 a | 14.1 ± 0.76 ab | 14.9 ± 0.86 b | 12.9 ± 0.64 a | 13.9 ± 0.82 ab | 15.1 ± 0.91 b |
| Fe intake (mg/day) | 0.154 ± 7−03 a | 0.331 ± 0.02 b | 0.539 ± 0.02 c | 0.150 ± 7−03 a | 0.338 ± 0.02 b | 0.541 ± 0.03 c |
| Body weight (g) | ||||||
| Initial | 84.3 ± 3.4 a | 83.6 ± 3.2 a | 84.9 ± 3.4 a | 83.8 ± 3.7 a | 85.1 ± 4.4 a | 84.6 ± 3.5 a |
| (Gain) | (53.2 ± 2.6 a) | (54.7 ± 2.1 a) | (54.9 ± 3.3 a) | (53.6 ± 1.9 a) | (54.2 ± 3.1 a) | (55.3 ± 2.7 a) |
| Hemoglobin (g/dL) | ||||||
| Initial | 4.85 ± 0.4 a | 4.63 ± 0.2 a | 4.81 ± 0.3 a | 4.67 ± 0.2 a | 4.79 ± 0.2 a | 4.81 ± 0.3 a |
| (Gain) | (0.64 ± 0.03 a) | (1.17 ± 0.1 b) | (2.59 ± 0.2 c) | (0.69 ± 0.04 a) | (1.20 ± 0.1 b) | (2.48 ± 0.2 c) |
| Hemoglobin Fe 3 | ||||||
| Gain (mg) | 0.777 ± 0.03 a | 0.932 ± 0.03 b | 1.405 ± 0.05 c | 0.775 ± 0.04 a | 0.958 ± 0.04 b | 1.376 ± 0.06 c |
| HRE ratio 4 | 0.360 ± 0.02 a | 0.201 ± 0.01 b | 0.186 ± 9−03 c | 0.369 ± 0.02 a | 0.203 ± 0.01 b | 0.182 ± 8−03 c |
| RBV 5 | 65.8 ± 3.6 a | 51.3 ± 2.6 b | 52.7 ± 2.5 b | 68.1 ± 3.5 a | 52.6 ± 2.5 b | 52.5 ± 2.3 b |
| Hi-Sol (HS) | ||||||
|---|---|---|---|---|---|---|
| Diet Code | HS-1 UC | HS-2UC | HS-3UC | HS-1C | HS-2C | HS-3C |
| Diet Fe (mg/kg) | ||||||
| Calculated | 12 | 24 | 36 | 12 | 24 | 36 |
| (Analyzed) | (12.3) | (24.5) | (35.7) | (11.8) | (24.2) | (36.3) |
| Food intake (g/day) | 13.4 ± 0.53 a | 14.1 ± 0.65 ab | 15.2 ± 0.81 b | 13.3 ± 0.67 a | 13.9 ± 0.71 ab | 14.7 ± 0.59 b |
| Fe intake (mg/day) | 0.165 ± 7−03 a | 0.345 ± 0.02 b | 0.543 ± 0.03 c | 0.157 ± 8−03 a | 0.336 ± 0.02 b | 0.534 ± 0.03 c |
| Body weight (g) | ||||||
| Initial | 84.7 ± 3.0 a | 84.9 ± 3.6 a | 85.2 ± 4.1 a | 84.1 ± 3.0 a | 85.3 ± 2.8 a | 85.1 ± 3.3 a |
| (Gain) | (54.8 ± 2.6 a) | (56.4 ± 2.9 a) | (57.1 ± 2.2 a) | (54.7 ± 2.1 a) | (56.6 ± 3.4 a) | (56.9 ± 2.6 a) |
| Hemoglobin (g/dL) | ||||||
| Initial | 4.69 ± 0.3 a | 4.71 ± 0.2 a | 4.79 ± 0.3 a | 4.72 ± 0.2 a | 4.68 ± 0.2 a | 4.78 ± 0.3 a |
| (Gain) | (0.81 ± 0.04 a) | (1.43 ± 0.1 b) | (3.31 ± 0.2 c) | (0.84 ± 0.05 a) | (1.51 ± 0.1 b) | (3.22 ± 0.3 c) |
| Hemoglobin Fe 3 | ||||||
| Gain (mg) | 0.817 ± 0.04 a | 1.022 ± 0.04 b | 1.638 ± 0.07 c | 0.821 ± 0.03 a | 1.052 ± 0.05 b | 1.624 ± 0.06 c |
| HRE ratio 4 | 0.361 ± 0.02 a | 0.217 ± 0.01 b | 0.220 ± 0.01 b | 0.383 ± 0.02 a | 0.221 ± 0.01 b | 0.219 ± 0.01 b |
| RBV 5 | 65.8 ± 3.7 a | 55.4 ± 2.6 b | 62.3 ± 3.9 a | 70.7 ± 4.5 a | 59.3 ± 3.7 b | 63.1 ± 3.8 b |
| H-325 (H3) | ||||||
|---|---|---|---|---|---|---|
| Diet Code | H3-1UC | H3-2UC | H3-3UC | H3-1C | H3-2C | H3-3C |
| Diet Fe (mg/kg) | ||||||
| Calculated | 12 | 24 | 36 | 12 | 24 | 36 |
| (Analyzed) | (12.2) | (24.6) | (36.3) | (11.7) | (23.8) | (36.2) |
| Food intake (g/day) | 13.1 ± 0.49 a | 14.6 ± 0.66 b | 15.1 ± 0.71 b | 12.8 ± 0.67 a | 14.1 ± 0.73 ab | 14.7 ± 0.62 b |
| Fe intake (mg/day) | 0.160 ± 8−03 a | 0.359 ± 0.02 b | 0.548 ± 0.03 c | 0.150 ± 9−03 a | 0.336 ± 0.05 b | 0.532 ± 0.04 c |
| Body weight (g) | ||||||
| Initial | 84.8 ± 4.3 a | 83.7 ± 3.6 a | 84.6 ± 3.2 a | 83.2 ± 3.1 a | 84.1 ± 3.8 a | 83.9 ± 4.1 a |
| (Gain) | (50.8 ± 2.5 a) | (51.2 ± 2.1 a) | (51.9 ± 3.1 a) | (51.6 ± 3.0 a) | (51.0 ± 2.1 a) | (52.6 ± 2.2 a) |
| Hemoglobin (g/dL) | ||||||
| Initial | 4.68 ± 0.2 a | 4.82 ± 0.3 a | 4.71 ± 0.3 a | 4.73 ± 0.3 a | 4.65 ± 0.5 a | 4.73 ± 0.3 a |
| (Gain) | (0.48 ± 0.03 a) | (0.98 ± 0.1 b) | (1.86 ± 0.3 c) | (0.46 ± 0.03 a) | (0.89 ± 0.1 b) | (1.72 ± 0.2 c) |
| Hemoglobin Fe 3 | ||||||
| Gain (mg) | 0.679 ± 0.03 a | 0.851 ± 0.04 b | 1.119 ± 0.04 c | 0.687 ± 0.03 a | 0.802 ± 0.02 b | 1.085 ± 0.04 c |
| HRE ratio 4 | 0.303 ± 0.01 a | 0.169 ± 7−03 b | 0.146 ± 6−03 c | 0.327 ± 0.02 a | 0.171 ± 8−03 b | 0.146 ± 7−03 c |
| RBV 5 | 55.4 ± 2.7 a | 43.1 ± 1.9 b | 41.4 ± 1.7 b | 60.3 ± 4.3 a | 44.3 ± 2.1 b | 42.1 ± 2.0 b |
| A-131 (A1) | ||||||
|---|---|---|---|---|---|---|
| Diet Code | A1-1UC | A1-2UC | A1-3UC | A1-1C | A1-2C | A1-3C |
| Diet Fe (mg/kg) | ||||||
| Calculated | 12 | 24 | 36 | 12 | 24 | 36 |
| (Analyzed) | (11.5) | (23.6) | (35.7) | (11.4) | (24.4) | (36.3) |
| Food intake (g/day) | 13.3 ± 0.70 a | 13.8 ± 0.59 ab | 14.8 ± 0.82 b | 12.7 ± 0.58 a | 13.7 ± 0.53 a | 15.2 ± 0.92 b |
| Fe intake (mg/day) | 0.153 ± 8−03 a | 0.326 ± 0.02 ab | 0.528 ± 0.02 b | 0.145 ± 7−03 a | 0.334 ± 0.02 a | 0.552 ± 0.03 b |
| Body weight (g) | ||||||
| Initial | 84.2 ± 2.9 a | 84.5 ± 3.0 a | 84.3 ± 5.5 a | 83.6 ± 3.3 a | 84.6 ± 2.8 a | 84.3 ± 3.9 a |
| (Gain) | (54.2 ± 3.1 a) | (55.2 ± 2.7 a) | (56.7 ± 2.4 a) | (53.9 ± 2.4 a) | (55.9 ± 2.6 a) | (56.7 ± 3.2 a) |
| Hemoglobin (g/dL) | ||||||
| Initial | 4.71 ± 0.3 a | 4.75 ± 0.2 a | 4.61 ± 0.2 a | 4.69 ± 0.2 a | 4.84 ± 0.3 a | 4.70 ± 0.3 a |
| (Gain) | (0.79 ± 0.04 a) | (1.27 ± 0.05 b) | (3.06 ± 0.3 c) | (0.64 ± 0.03 a) | (1.19 ± 0.05 b) | (3.12 ± 0.2 c) |
| Hemoglobin Fe 3 | ||||||
| Gain (mg) | 0.818 ± 0.04 a | 0.987 ± 0.04 b | 1.581 ± 0.06 c | 0.759 ± 0.03 a | 0.983 ± 0.04 b | 1.586 ± 0.07 c |
| HRE ratio 4 | 0.382 ± 0.02 a | 0.216 ± 0.01 b | 0.214 ± 0.01 b | 0.374 ± 0.02 a | 0.210 ± 0.01 b | 0.205 ± 0.02 b |
| RBV 5 | 69.8 ± 3.5 a | 55.1 ± 2.9 b | 60.6 ± 3.3 c | 69.0 ± 4.4 a | 54.4 ± 3.6 b | 59.1 ± 5.7 b |
| Control (No Added Iron) | Ferrous Sulfate (FS) | EL-Lyte (EL) | Hi-Sol (HS) | |||||
|---|---|---|---|---|---|---|---|---|
| Diet Code | C-UC | C-C | FS-UC | FS-C | EL-UC | EL-C | HS-UC | HS-C |
| Diet Fe (mg/kg) | ||||||||
| Calculated | 1.6 | 1.6 | 6 | 6 | 6 | 6 | 6 | 6 |
| (Analyzed) | (1.4) | (1.5) | (6.2) | (6.1) | (5.8) | (6.2) | (6.1) | (5.9) |
| Hemoglobin (g/dL) | ||||||||
| Baseline (start wk 0) | 13.2 ± 0.5 a | 12.9 ± 0.6 a | 12.8 ± 0.9 a | 13.1 ± 0.7 a | 13.4 ± 0.8 a | 13.0 ± 0.7 a | 13.3 ± 0.9 a | 12.9 ± 0.6 a |
| Mid (end wk 3) | 5.3 ± 0.3 a | 4.9 ± 0.4 a | 12.6 ± 0.8 b | 12.4 ± 0.6 b | 12.1 ± 0.5 b | 12.0 ± 0.4 b | 12.8 ± 0.9 b | 12.6 ± 0.3 b |
| Post (end wk 6) | 4.1 ± 0.3 a | 4.2 ± 0.2 a | 12.9 ± 0.8 b | 12.8 ± 0.7 b | 12.3 ± 0.9 b | 12.1 ± 0.6 b | 12.4 ± 0.4 b | 12.7 ± 0.5 b |
Disclaimer/Publisher’s Note: The statements, opinions and data contained in all publications are solely those of the individual author(s) and contributor(s) and not of MDPI and/or the editor(s). MDPI and/or the editor(s) disclaim responsibility for any injury to people or property resulting from any ideas, methods, instructions or products referred to in the content. |
© 2024 by the authors. Licensee MDPI, Basel, Switzerland. This article is an open access article distributed under the terms and conditions of the Creative Commons Attribution (CC BY) license (https://creativecommons.org/licenses/by/4.0/).
Share and Cite
Swain, J.H.; Nemeth, R.C.; Bethi, A.R.; Jang, C.J.; Zheng, E.L. Hemoglobin Regeneration Efficiency and Relative Iron Bioavailability of Four Elemental Iron Powders in Rats. Nutrients 2024, 16, 2258. https://doi.org/10.3390/nu16142258
Swain JH, Nemeth RC, Bethi AR, Jang CJ, Zheng EL. Hemoglobin Regeneration Efficiency and Relative Iron Bioavailability of Four Elemental Iron Powders in Rats. Nutrients. 2024; 16(14):2258. https://doi.org/10.3390/nu16142258
Chicago/Turabian StyleSwain, James H., Ryan C. Nemeth, Anshul R. Bethi, Caroline J. Jang, and Eva L. Zheng. 2024. "Hemoglobin Regeneration Efficiency and Relative Iron Bioavailability of Four Elemental Iron Powders in Rats" Nutrients 16, no. 14: 2258. https://doi.org/10.3390/nu16142258
APA StyleSwain, J. H., Nemeth, R. C., Bethi, A. R., Jang, C. J., & Zheng, E. L. (2024). Hemoglobin Regeneration Efficiency and Relative Iron Bioavailability of Four Elemental Iron Powders in Rats. Nutrients, 16(14), 2258. https://doi.org/10.3390/nu16142258
