Efficacy of Dietary Therapy for Eosinophilic Esophagitis in Children and Adults: An Updated Systematic Review and Meta-Analysis
Abstract
1. Introduction
2. Materials and Methods
2.1. Study Protocol
2.2. Selection of Studies and Search Strategy
2.3. Inclusion and Exclusion Criteria
2.4. Data Extraction
2.5. Risk of Bias Assessment
2.6. Study Outcomes and Statistical Analysis
2.7. Subgroup Analysis
2.8. Certainty of Evidence
3. Results
3.1. Literature Search Results and Characteristics of Included Documents
3.2. Risk of Bias and Quality Assessment
| First Author, Publication Years | Design | Period | Country | N Patients (Complete Diet) | Population | Male/Female (%) | Dietary Treatment | Diet Duration (Weeks) | N Histologic Responders (%) | N. Clinical Responders (%) | Clinical Response Method | 
|---|---|---|---|---|---|---|---|---|---|---|---|
| Kelly et al., 1995 [23] | Prospective | 1992–1994 | USA | 10 | Children/Adolescents (0–12.5) | 60/40 | Elemental | At least 6 | 9/10 (90%) | 10/10 (100%) | Symptom improvement | 
| Liacouras C et al., 2005 [24] | Retrospective | 1994–2004 | USA | 239 | Children | 74.5/25.5 | Allergy-test directed diet (SPT, APT) | 4–6 | 18/75 (24%) | 18/75 (24%) | Symptom improvement | 
| Elemental | 4–6 | 160/164 # (97.6%) | 160/164 # (97.6%) | Symptom improvement | |||||||
| Kagalwalla AF et al., 2006 [25] | Retrospective | 2001–2005 | USA | 60 | Children | 80/20 | SFED | 6 | 26/35 (74.3%) | 32/35 (91.4%) | Symptom improvement | 
| Elemental | 6 | 22/25 (88%) | 25/25 (100%) | Symptom improvement | |||||||
| Quaglietta et al., 2007 [26] | Prospective | 2005–2006 | Italy | 7 | Children | - | Allergy-test directed diet (SPT, APT) | 24 | 0/7 (0%) | - | Symptom improvement | 
| Kewalramani et al., 2009 [55] | Prospective | - | USA | 13 | Children/Adolescents (1–19) | - | Allergy-test directed diet (SPT, ImmunoCAP) | 12 | 6/13 (46.1%) | - | - | 
| Hiremath G et al., 2010 [56] | Retrospective | - | USA | 13 | Children | 70/30 | Allergy-test directed diet (SPT, APT) | - | 8/13 (61.5%) | - | - | 
| Muir RJ et al., 2010 [57] | Prospective | - | Australia | 13 | Children/Adolescents (1–15) | 84.6/15.4 | SFED | 6 | 5/13 (38.5%) | 13/13 (100%) | Symptom improvement | 
| Rizo-Pascual JM et al., 2011 [27] | Prospective | 2001–2009 | Spain | 17 (14) | Children (2.8–14.5) | 82.4/17.6 | Elemental | 8 | 3/3 (100%) | 3/3 (100%) | Asymptomatic | 
| Allergy-test directed diet (IgE, SPT) | 8 | 5/11 (45.4%) | 5/11 (45.4%) | Asymptomatic | |||||||
| Gonsalves N et al., 2012 [6] | Prospective | 2006–2010 | USA | 50 | Adolescents/Adults (19–76) | 50/50 | SFED | 6 | 37/50 (74%) | 47/50 (94%) | Dysphagia resolution | 
| Henderson C et al., 2012 [28] | Retrospective | 1999–2011 | USA | 95 | Children/Adolescents (<21) | 77.9/22.1 | Elemental | 12 | 47/49 (95.9%) | - | - | 
| SFED | 12 | 21/26 (80.8%) | |||||||||
| Allergy-test directed diet (SPT, APT) | 12 | 15/23 (65.2%) | |||||||||
| Kagalwalla AF et al., 2012 [29] | Retrospective | 2006–2011 | USA | 111 | Children | - | Allergy-test directed diet | 6 | 52/82 (63.4%) | - | Symptom improvement | 
| Elemental | 6 | 10/12 (83.3%) | - | ||||||||
| OFED (milk) | 6 | 11/17 (64.7%) | - | ||||||||
| Molina Infante J et al., 2012 [30] | Prospective | - | Spain | 22 | Adolescents/Adults (>18) | 77.3/22.7 | Allergy-test directed diet (SPT, PPT, APT) | 6 | 4/15 # (26.7%) | 4/15 (26.7%) | Symptom improvement | 
| Spergel J et al., 2012 [31] | Retrospective | 2000–2011 | USA | 470 | Children | - | Elemental | - | 144/151 (95.4%) | - - | - - | 
| Allergy-test directed diet (IgE, SPT, APT) | - | 169/319 (53%) | |||||||||
| Al-Hussaini A et al., 2013 [32] | Retrospective | 2009–2012 | Saudi Arabia | 13 | Children | 61.5/38.5 | Elemental | 8 | 3/3 (100%) | - | - | 
| Allergy-test directed diet (SPT, RAST) | 8 | 4/10 (40%) | |||||||||
| Gonsalves N et al., 2013 [58] | Prospective | - | USA | 28 | Both | FFED | 6 | 15/28 (53.6%) | - | Symptom improvement | |
| Lucendo AJ et al., 2013 [7] | Prospective | 2008–2010 | Spain | 67 | Adolescents/Adults (17–60) | 82.1/17.9 | SFED | 6 | 49/67 (73.1%) | 67/67 (100%) | Symptom improvement | 
| Peterson et al., 2013 [33] | Prospective | 2009–2011 | USA | 18 | Adolescents/Adults (19–58) | 55.6/44.4 | Elemental | 2–4 | 17/18 (94.4%) | - | Symptom improvement | 
| Colson D et al., 2014 [34] | Retrospective | 2006–2012 | France | 59 | Children | 62.7/37.8 | SFED + AAF | 8 | 35/51 (68.6%) | 58/59 (98.3%) | Symptom improvement | 
| SFED | 8 | 6/8 (75%) | |||||||||
| Molina-Infante J et al., 2014 [8] | Prospective | 2012–2014 | Spain | 52 | Adolescents/Adults (>14) | 63.5/36.5 | FFED | 6 | 28/52 (53.8%) | 35/52 (67.3%) | DSS | 
| SFED | 6 | 34/47 (72.3%) | |||||||||
| Rodríguez-Sánchez J et al., 2014 [35] | Prospective | 2011–2013 | Spain | 17 | Adolescents/Adults (>14) | 76.5/23.5 | SFED | 6 | 9/17 (52.9%) | - | VAS-EoE score | 
| Wolf WA et al., 2014 [36] | Retrospective | 2006–2012 | USA | 31 | Adolescents/Adults (>18) | 48.4/51.6 | Allergy-test directed diet (SPT) | 6 | 6/19 (31.6%) | 15/22 (68.2%) | Symptom improvement | 
| SFED | 6 | 5/9 (55.6%) | 7/9 (77.8%) | ||||||||
| Homan M et al., 2015 [37] | Retrospective | 2005–2012 | Slovenia | 25 | Children/Adolescents (0–18) | 92/8 | SFED | - | 8/13 (61.5%) | 9/13 (69.2%) | Asymptomatic | 
| Allergy-test directed diet (IgE, SPT, APT) | - | 9/19 (47.4%) | 10/19 (52.6%) | ||||||||
| Elemental | - | 1/1 (100%) | - | ||||||||
| Leung J et al., 2015 [38] | Retrospective | - | USA | 100 (34) | Children/Adolescents (8–18) | 78/22 | OFED (milk) | 8 | 13/22 (59.1%) | - | - | 
| Elemental | 8 | 12/12 (100%) | |||||||||
| van Rhijn B et al., J 2015 [39] | Prospective | - | Netherlands | 15 | Adults | 86.7/13.3 | Allergy-test directed diet (microarray) | 6 | 1/15 (6.7%) | - | - | 
| Philpott H et al., 2016 [40] | Prospective | 2013–2015 | Australia | 56 | Adolescents/Adults (>18) | 67.9/32.1 | SFED | At least 2 | 29/56 (51.8%) | - | - | 
| Constantine G et al., 2017 [41] | Retrospective | 2006–2012 | USA | 14 | Adolescents/Children | 85.7/14.3 | Allergy-test directed diet (APT, SPT) | At least 12 | 6/10# (60%) | 9/14 (64%) | Symptom improvement | 
| Kagalwalla AF et al., 2017 [9] | Prospective | 2011–2016 | USA | 78 | Children/Adolescents (<18) | 66.7/33.3 | FFED | 6–8 | 50/78 (64.1%) | - | |
| Molina-Infante J et al., 2017 [42] | Prospective | 2014–2016 | Spain | 130 | Both | 72.3/27.7 | TFED | 6 | 56/130 (43.1%) | 98/130 (75.4%) | DSS | 
| FFED | 6 | 66/110 (60%) | |||||||||
| SFED | 6 | 74/93 (79.6%) | |||||||||
| Reed C et al., 2017 [43] | Retrospective | 2008–2017 | USA | 52 (50) | Adolescents/Adults (>18) | 59.6/40.4 | SFED | - | 8/18 (44.4%) | 38/52 (73.1%) | Dysphagia resolution | 
| Allergy-test directed diet (SPT, RAST) | - | 11/32 (34.4%) | |||||||||
| Warners MJ et al., 2017 [44] | Prospective | 2014–2015 | Netherlands | 21 (17) | Adults | 70.6/29.4 | Elemental | 4 | 12/17 (70.6%) | 17/17 (100%) | SDI and RDQ | 
| Eckmann JD et al., 2018 [45] | Prospective | 2014–2016 | USA | 8 | Adults | 50/50 | SFED * | 6 | 7 (1 *)/8 (87.5%) | 8/8 (100%) | MDQ-30 | 
| Dellon ES et al., 2019 [46] | Prospective | - | USA | 43 | Adolescents/Adults (>18) | - | SFED | 6 | 15/24 (62.5%) | - | - | 
| Allergy-test directed diet (IgG4) | 6 | 4/19 (21.1%) | |||||||||
| Kliewer K et al., 2019 [59] | Prospective RCT | - | USA | 63 | Children/Adolescents (6–17) | - | OFED (milk) | 12 | 15/34 # (44.1%) | - | PEESS V2.0 | 
| FFED | 12 | 7/17 # (41.2%) | |||||||||
| Teoh T et al., 2019 [47] | Retrospective | 2013–2016 | Canada | 31 | Children/Adolescents (<16) | 83.9/16.1 | OFED (milk) | 8 | 18/31 (58.1%) | 28/31 (90.3%) | Symptom improvement | 
| Iglesia E et al., 2020 [48] | Retrospective | - | USA | 8 | Adolescents/Adults (12–67) | 22/78 | TFED | 6–8 | 2/2 (100%) | 7/8 (78%) | - | 
| FFED | 6–8 | 3/3 (100%) | |||||||||
| SFED | 6–8 | 6/8 (75%) | |||||||||
| Wong J et al., 2020 [49] | Retrospective | - | USA | 152 (21) | Children/Adolescents (<21) | 76.3/23.7 | OFED (dairy) | - | 3/12 (25%) | - | - | 
| SFED | - | 5/9 (55.6%) | |||||||||
| de Rooij WE et al., 2022 [50] | Prospective RCT | 2017–2020 | Netherlands | 41 | Adults | 64/40 | FFED | 6 | 5/20 (25%) | - | SDI | 
| FFED + AAF | 6 | 10/21 (47.6%) | |||||||||
| Wang L et al., 2022 [51] | Retrospective | 2012–2019 | USA | 68 | Adolescents/Adults (>18) | 52.9/47.1 | SFED * | 6 | 42 (4 *)/68 (55.9%) | - | - | 
| Wechsler JB et al., 2022 [11] | Prospective | 2012–2017 | USA | 41 | Children/Adolescents (2–18) | 75.6/24.4 | OFED (milk) | 8–12 | 21/41 (51.2%) | 37/41 (90.2%) | - | 
| Zalewski A et al., 2022 [52] | Retrospective | 2006–2021 | USA | 213 | Adolescents/Adults | 54/46 | SFED * | 6 | 123 (8 *)/213 (57.7%) | 164/213 (77%) | Symptom improvement | 
| Alexander JA et al., 2023 [53] | Prospective | 2016–2018 | USA | 40 | Adolescents/Adults (18–65) | - | SFED * | 6 | 30 (2 *)/40 (75%) | - | EEsAI PRO | 
| Kliewer K et al., 2023 [12] | Prospective RCT | 2016–2019 | USA | 129 | Adolescents/Adults (>18) | 54.3/45.7 | OFED (milk) | 6 | 23/67 (34.3%) | - | EEsAI PRO | 
| SFED | 6 | 25/62 (40.3%) | |||||||||
| Visaggi P et al., 2023 [54] | Retrospective | 2017–2022 | Italy & UK | 58 | Adults (>18) | SFED | 6 | 33/58 (56.9%) | 21/28 (75%) | Symptoms improvement | 
3.3. Effectiveness of Dietary Interventions to Induce Histologic Remission of EoE
3.3.1. Elemental Diet
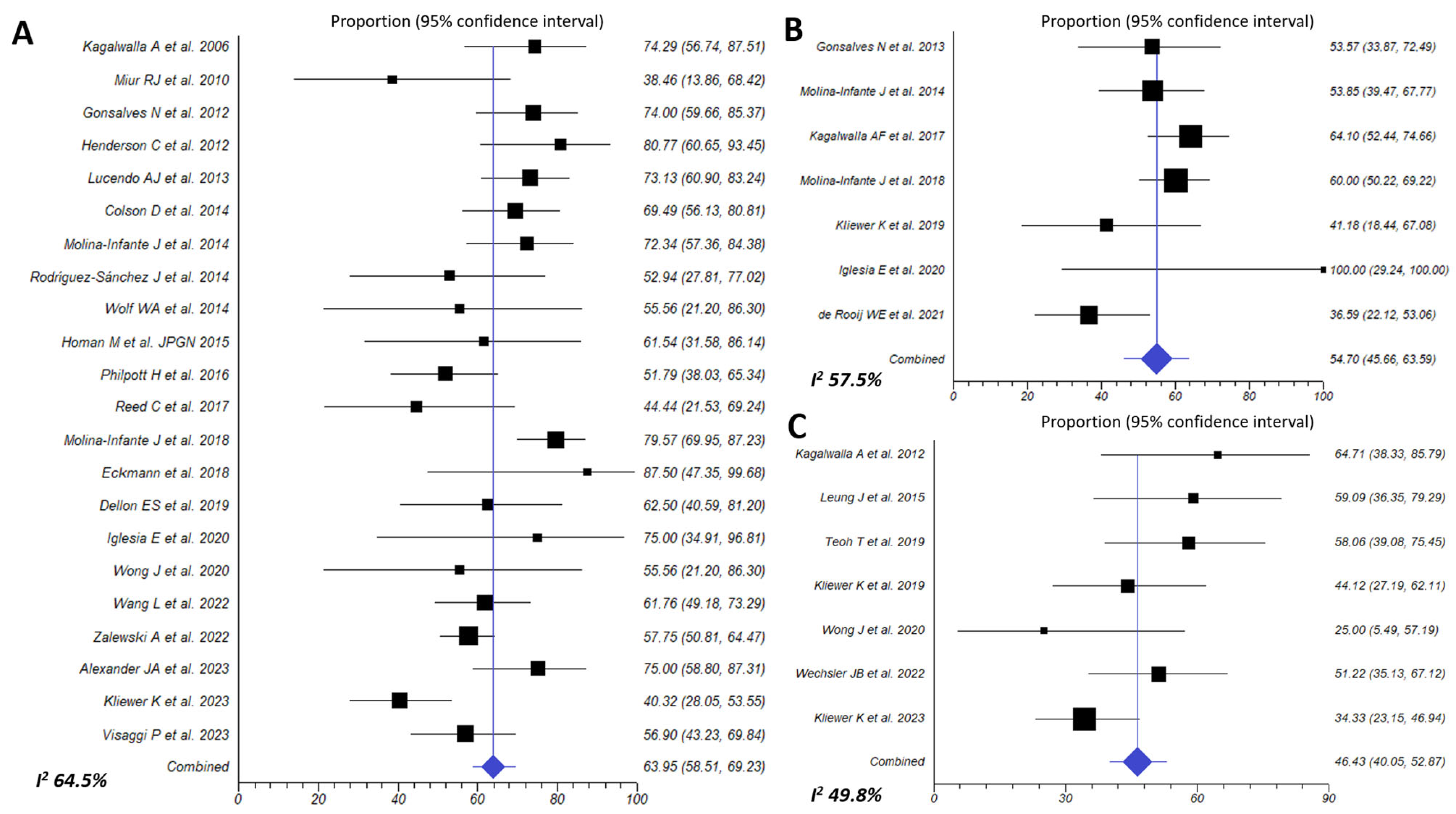
3.3.2. Empiric Six-Food Elimination Diet (SFED)
3.3.3. Empiric Four-Food Elimination Diet (FFED)
3.3.4. Empiric Two Food Elimination Diet (TFED)
3.3.5. One-Food Elimination Diet (OFED) (Milk Avoidance)
3.3.6. Allergy Testing-Directed Food Elimination Diet
3.4. Subgroup and Sensitivity Analyses
3.5. Effectiveness of Dietary Interventions on Symptomatic Improvement of EoE
4. Discussion
5. Conclusions
Supplementary Materials
Author Contributions
Funding
Conflicts of Interest
References
- Lucendo, A.J.; Molina-Infante, J.; Arias, A.; von Arnim, U.; Bredenoord, A.J.; Bussmann, C.; Amil Dias, J.; Bove, M.; Gonzalez-Cervera, J.; Larsson, H.; et al. Guidelines on Eosinophilic Esophagitis: Evidence-Based Statements and Recommendations for Diagnosis and Management in Children and Adults. United Eur. Gastroenterol. J. 2017, 5, 335–358. [Google Scholar] [CrossRef] [PubMed]
- Hill, D.A.; Grundmeier, R.W.; Ramos, M.; Spergel, J.M. Eosinophilic Esophagitis Is a Late Manifestation of the Allergic March. J. Allergy Clin. Immunol. Pract. 2018, 6, 1528–1533. [Google Scholar] [CrossRef] [PubMed]
- Molina-Infante, J.; Lucendo, A.J. Approaches to Diet Therapy for Eosinophilic Esophagitis. Curr. Opin. Gastroenterol. 2020, 36, 359–363. [Google Scholar] [CrossRef] [PubMed]
- Arias, A.; Gonzalez-Cervera, J.; Tenias, J.M.; Lucendo, A.J. Efficacy of Dietary Interventions for Inducing Histologic Remission in Patients with Eosinophilic Esophagitis: A Systematic Review and Meta-Analysis. Gastroenterology 2014, 146, 1639–1648. [Google Scholar] [CrossRef] [PubMed]
- Kagalwalla, A.F.; Shah, A.; Li, B.U.K.; Sentongo, T.A.; Ritz, S.; Manuel-Rubio, M.; Jacques, K.; Wang, D.; Melin-Aldana, H.; Nelson, S.P. Identification of Specific Foods Responsible for Inflammation in Children with Eosinophilic Esophagitis Successfully Treated with Empiric Elimination Diet. J. Pediatr. Gastroenterol. Nutr. 2011, 53, 145–149. [Google Scholar] [CrossRef] [PubMed]
- Gonsalves, N.; Yang, G.-Y.; Doerfler, B.; Ritz, S.; Ditto, A.M.; Hirano, I. Elimination Diet Effectively Treats Eosinophilic Esophagitis in Adults; Food Reintroduction Identifies Causative Factors. Gastroenterology 2012, 142, 1451–1459.e1, quiz e14–e15. [Google Scholar] [CrossRef] [PubMed]
- Lucendo, A.J.; Arias, A.; Gonzalez-Cervera, J.; Yague-Compadre, J.L.; Guagnozzi, D.; Angueira, T.; Jimenez-Contreras, S.; Gonzalez-Castillo, S.; Rodriguez-Domingez, B.; De Rezende, L.C.; et al. Empiric 6-Food Elimination Diet Induced and Maintained Prolonged Remission in Patients with Adult Eosinophilic Esophagitis: A Prospective Study on the Food Cause of the Disease. J. Allergy Clin. Immunol. 2013, 131, 797–804. [Google Scholar] [CrossRef] [PubMed]
- Molina-Infante, J.; Arias, A.; Barrio, J.; Rodríguez-Sánchez, J.; Sanchez-Cazalilla, M.; Lucendo, A.J. Four-Food Group Elimination Diet for Adult Eosinophilic Esophagitis: A Prospective Multicenter Study. J. Allergy Clin. Immunol. 2014, 134, 1093–1099.e1. [Google Scholar] [CrossRef] [PubMed]
- Kagalwalla, A.F.; Wechsler, J.B.; Amsden, K.; Schwartz, S.; Makhija, M.; Olive, A.; Davis, C.M.; Manuel-Rubio, M.; Marcus, S.; Sulkowski, M.; et al. Efficacy of a 4-Food Elimination Diet for Children with Eosinophilic Esophagitis. Clin. Gastroenterol. Hepatol. 2017, 15, 1698–1707.e7. [Google Scholar] [CrossRef] [PubMed]
- Zhan, T.; Ali, A.; Choi, J.G.; Lee, M.; Leung, J.; Dellon, E.S.; Garber, J.J.; Hur, C. Model to Determine the Optimal Dietary Elimination Strategy for Treatment of Eosinophilic Esophagitis. Clin. Gastroenterol. Hepatol. 2018, 16, 1730–1737.e2. [Google Scholar] [CrossRef] [PubMed]
- Wechsler, J.B.; Schwartz, S.; Arva, N.C.; Kim, K.-Y.A.; Chen, L.; Makhija, M.; Amsden, K.; Keeley, K.; Mohammed, S.; Dellon, E.S.; et al. A Single-Food Milk Elimination Diet Is Effective for Treatment of Eosinophilic Esophagitis in Children. Clin. Gastroenterol. Hepatol. 2022, 20, 1748–1756.e11. [Google Scholar] [CrossRef]
- Kliewer, K.L.; Gonsalves, N.; Dellon, E.S.; Katzka, D.A.; Abonia, J.P.; Aceves, S.S.; Arva, N.C.; Besse, J.A.; Bonis, P.A.; Caldwell, J.M.; et al. One-Food versus Six-Food Elimination Diet Therapy for the Treatment of Eosinophilic Oesophagitis: A Multicentre, Randomised, Open-Label Trial. Lancet Gastroenterol. Hepatol. 2023, 8, 408–421. [Google Scholar] [CrossRef] [PubMed]
- Page, M.J.; McKenzie, J.E.; Bossuyt, P.M.; Boutron, I.; Hoffmann, T.C.; Mulrow, C.D.; Shamseer, L.; Tetzlaff, J.M.; Akl, E.A.; Brennan, S.E.; et al. The PRISMA 2020 Statement: An Updated Guideline for Reporting Systematic Reviews. BMJ 2021, 372, n71. [Google Scholar] [CrossRef] [PubMed]
- Dellon, E.S.; Liacouras, C.A.; Molina-Infante, J.; Furuta, G.T.; Spergel, J.M.; Zevit, N.; Spechler, S.J.; Attwood, S.E.; Straumann, A.; Aceves, S.S.; et al. Updated International Consensus Diagnostic Criteria for Eosinophilic Esophagitis: Proceedings of the AGREE Conference. Gastroenterology 2018, 155, 1022–1033.e10. [Google Scholar] [CrossRef] [PubMed]
- Sterne, J.A.; Hernán, M.A.; Reeves, B.C.; Savović, J.; Berkman, N.D.; Viswanathan, M.; Henry, D.; Altman, D.G.; Ansari, M.T.; Boutron, I.; et al. ROBINS-I: A Tool for Assessing Risk of Bias in Non-Randomised Studies of Interventions. BMJ 2016, 355, i4919. [Google Scholar] [CrossRef] [PubMed]
- Sterne, J.A.C.; Savović, J.; Page, M.J.; Elbers, R.G.; Blencowe, N.S.; Boutron, I.; Cates, C.J.; Cheng, H.-Y.; Corbett, M.S.; Eldridge, S.M.; et al. RoB 2: A Revised Tool for Assessing Risk of Bias in Randomised Trials. BMJ 2019, 366, l4898. [Google Scholar] [CrossRef]
- DerSimonian, R.; Laird, N. Meta-Analysis in Clinical Trials Revisited. Contemp. Clin. Trials 2015, 45, 139–145. [Google Scholar] [CrossRef] [PubMed]
- Higgins, J.P.T.; Thompson, S.G.; Deeks, J.J.; Altman, D.G. Measuring Inconsistency in Meta-Analyses. BMJ 2003, 327, 557–560. [Google Scholar] [CrossRef] [PubMed]
- Begg, C.B.; Mazumdar, M. Operating Characteristics of a Rank Correlation Test for Publication Bias. Biometrics 1994, 50, 1088–1101. [Google Scholar] [CrossRef] [PubMed]
- Egger, M.; Smith, G.D.; Schneider, M.; Minder, C. Bias in Meta-Analysis Detected by a Simple, Graphical Test. BMJ 1997, 315, 629–634. [Google Scholar] [CrossRef] [PubMed]
- Santesso, N.; Glenton, C.; Dahm, P.; Garner, P.; Akl, E.A.; Alper, B.; Brignardello-Petersen, R.; Carrasco-Labra, A.; De Beer, H.; Hultcrantz, M.; et al. GRADE Guidelines 26: Informative Statements to Communicate the Findings of Systematic Reviews of Interventions. J. Clin. Epidemiol. 2020, 119, 126–135. [Google Scholar] [CrossRef] [PubMed]
- Schünemann, H.J.; Higgins, J.P.T.; Vist, G.E.; Glasziou, P.; Akl, E.A.; Skoetz, N.; Guyatt, G.H. Completing ‘Summary of Findings’ Tables and Grading the Certainty of the Evidence. In Cochrane Handbook for Systematic Reviews of Interventions; Higgins, J.P.T., Thomas, J., Chandler, J., Cumpston, M., Li, T., Page, M.J., Welch, V.A., Eds.; Wiley-Blackwell: Hoboken, NJ, USA, 2019; pp. 375–402. ISBN 978-1-119-53662-8. [Google Scholar]
- Kelly, K.J.; Lazenby, A.J.; Rowe, P.C.; Yardley, J.H.; Perman, J.A.; Sampson, H.A. Eosinophilic Esophagitis Attributed to Gastroesophageal Reflux: Improvement with an Amino Acid-Based Formula. Gastroenterology 1995, 109, 1503–1512. [Google Scholar] [CrossRef] [PubMed]
- Liacouras, C.A.; Spergel, J.M.; Ruchelli, E.; Verma, R.; Mascarenhas, M.; Semeao, E.; Flick, J.; Kelly, J.; Brown-Whitehorn, T.; Mamula, P.; et al. Eosinophilic Esophagitis: A 10-Year Experience in 381 Children. Clin. Gastroenterol. Hepatol. 2005, 3, 1198–1206. [Google Scholar] [CrossRef] [PubMed]
- Kagalwalla, A.F.; Sentongo, T.A.; Ritz, S.; Hess, T.; Nelson, S.P.; Emerick, K.M.; Melin-Aldana, H.; Li, B.U.K. Effect of Six-Food Elimination Diet on Clinical and Histologic Outcomes in Eosinophilic Esophagitis. Clin. Gastroenterol. Hepatol. 2006, 4, 1097–1102. [Google Scholar] [CrossRef] [PubMed]
- Quaglietta, L.; Coccorullo, P.; Miele, E.; Pascarella, F.; Troncone, R.; Staiano, A. Eosinophilic Oesophagitis and Coeliac Disease: Is There an Association? Aliment. Pharmacol. Ther. 2007, 26, 487–493. [Google Scholar] [CrossRef] [PubMed]
- Rizo Pascual, J.M.; De La Hoz Caballer, B.; Redondo Verge, C.; Terrados Cepeda, S.; Roy Ariño, G.; Riesco López, J.M.; Camarero Salces, C. Allergy Assessment in Children with Eosinophilic Esophagitis. J. Investig. Allergol. Clin. Immunol. 2011, 21, 59–65. [Google Scholar] [PubMed]
- Henderson, C.J.; Abonia, J.P.; King, E.C.; Putnam, P.E.; Collins, M.H.; Franciosi, J.P.; Rothenberg, M.E. Comparative Dietary Therapy Effectiveness in Remission of Pediatric Eosinophilic Esophagitis. J. Allergy Clin. Immunol. 2012, 129, 1570–1578. [Google Scholar] [CrossRef] [PubMed]
- Kagalwalla, A.F.; Amsden, K.; Shah, A.; Ritz, S.; Manuel-Rubio, M.; Dunne, K.; Nelson, S.P.; Wershil, B.K.; Melin-Aldana, H. Cow’s Milk Elimination: A Novel Dietary Approach to Treat Eosinophilic Esophagitis. J. Pediatr. Gastroenterol. Nutr. 2012, 55, 711–716. [Google Scholar] [CrossRef] [PubMed]
- Molina-Infante, J.; Martin-Noguerol, E.; Alvarado-Arenas, M.; Porcel-Carreño, S.L.; Jimenez-Timon, S.; Hernandez-Arbeiza, F.J. Selective Elimination Diet Based on Skin Testing Has Suboptimal Efficacy for Adult Eosinophilic Esophagitis. J. Allergy Clin. Immunol. 2012, 130, 1200–1202. [Google Scholar] [CrossRef] [PubMed]
- Spergel, J.M.; Brown-Whitehorn, T.F.; Cianferoni, A.; Shuker, M.; Wang, M.-L.; Verma, R.; Liacouras, C.A. Identification of Causative Foods in Children with Eosinophilic Esophagitis Treated with an Elimination Diet. J. Allergy Clin. Immunol. 2012, 130, 461–467.e5. [Google Scholar] [CrossRef] [PubMed]
- Al-Hussaini, A.; Al-Idressi, E.; Al-Zahrani, M. The Role of Allergy Evaluation in Children with Eosinophilic Esophagitis. J. Gastroenterol. 2013, 48, 1205–1212. [Google Scholar] [CrossRef] [PubMed]
- Peterson, K.A.; Byrne, K.R.; Vinson, L.A.; Ying, J.; Boynton, K.K.; Fang, J.C.; Gleich, G.J.; Adler, D.G.; Clayton, F. Elemental Diet Induces Histologic Response in Adult Eosinophilic Esophagitis. Am. J. Gastroenterol. 2013, 108, 759–766. [Google Scholar] [CrossRef] [PubMed]
- Colson, D.; Kalach, N.; Soulaines, P.; Vannerom, Y.; Campeotto, F.; Talbotec, C.; Chatenoud, L.; Hankard, R.; Dupont, C. The Impact of Dietary Therapy on Clinical and Biologic Parameters of Pediatric Patients with Eosinophilic Esophagitis. J. Allergy Clin. Immunol. Pract. 2014, 2, 587–593. [Google Scholar] [CrossRef] [PubMed]
- Rodríguez-Sánchez, J.; Gõmez Torrijos, E.; Lõpez Viedma, B.; De La Santa Belda, E.; Martín Dávila, F.; García Rodríguez, C.; Feo Brito, F.; Olmedo Camacho, J.; Reales Figueroa, P.; Molina-Infante, J. Efficacy of IgE-Targeted vs Empiric Six-Food Elimination Diets for Adult Eosinophilic Oesophagitis. Allergy Eur. J. Allergy Clin. Immunol. 2014, 69, 936–942. [Google Scholar] [CrossRef] [PubMed]
- Wolf, W.A.; Jerath, M.R.; Sperry, S.L.W.; Shaheen, N.J.; Dellon, E.S. Dietary Elimination Therapy Is an Effective Option for Adults with Eosinophilic Esophagitis. Clin. Gastroenterol. Hepatol. 2014, 12, 1272–1279. [Google Scholar] [CrossRef] [PubMed][Green Version]
- Homan, M.; Blagus, R.; Jeverica, A.K.; Orel, R. Pediatric Eosinophilic Esophagitis in Slovenia: Data from a Retrospective 2005–2012 Epidemiological Study. J. Pediatr. Gastroenterol. Nutr. 2015, 61, 313–318. [Google Scholar] [CrossRef] [PubMed]
- Leung, J.; Mehrzad, R.; Hundal, N.V.; Alejos, A.; Hesterberg, P.E.; Katz, A.J.; Yuan, Q.; Shreffler, W.G. Longitudinal Perspective on Managing Refractory Eosinophilic Esophagitis. J. Allergy Clin. Immunol. Pract. 2015, 3, 951–956. [Google Scholar] [CrossRef] [PubMed]
- van Rhijn, B.D.; Vlieg-Boerstra, B.J.; Versteeg, S.A.; Akkerdaas, J.H.; van Ree, R.; Terreehorst, I.; Sprikkelman, A.B.; Verheij, J.; Smout, A.J.P.M.; Bredenoord, A.J. Evaluation of Allergen-Microarray-Guided Dietary Intervention as Treatment of Eosinophilic Esophagitis. J. Allergy Clin. Immunol. 2015, 136, 1095–1097.e3. [Google Scholar] [CrossRef] [PubMed]
- Philpott, H.; Nandurkar, S.; Royce, S.G.; Thien, F.; Gibson, P.R. A Prospective Open Clinical Trial of a Proton Pump Inhibitor, Elimination Diet and/or Budesonide for Eosinophilic Oesophagitis. Aliment. Pharmacol. Ther. 2016, 43, 985–993. [Google Scholar] [CrossRef] [PubMed]
- Constantine, G.; Seth, N.; Chokshi, N.; Minard, C.G.; Guffey, D.; Olive, A.P.; Davis, C.M. Combination Steroid and Test-Based Food Elimination for Eosinophilic Esophagitis: A Retrospective Analysis. J. Pediatr. Gastroenterol. Nutr. 2017, 64, 933–938. [Google Scholar] [CrossRef] [PubMed]
- Molina-Infante, J.; Arias, Á.; Alcedo, J.; Garcia-Romero, R.; Casabona-Frances, S.; Prieto-Garcia, A.; Modolell, I.; Gonzalez-Cordero, P.L.; Perez-Martinez, I.; Martin-Lorente, J.L.; et al. Step-up Empiric Elimination Diet for Pediatric and Adult Eosinophilic Esophagitis: The 2-4-6 Study. J. Allergy Clin. Immunol. 2017, in press. [Google Scholar] [CrossRef]
- Reed, C.C.; Fan, C.; Koutlas, N.T.; Shaheen, N.J.; Dellon, E.S. Food Elimination Diets Are Effective for Long-Term Treatment of Adults with Eosinophilic Oesophagitis. Aliment. Pharmacol. Ther. 2017, 46, 836–844. [Google Scholar] [CrossRef] [PubMed]
- Warners, M.J.; Vlieg-Boerstra, B.J.; Verheij, J.; van Rhijn, B.D.; Van Ampting, M.T.J.; Harthoorn, L.F.; de Jonge, W.J.; Smout, A.J.P.M.; Bredenoord, A.J. Elemental Diet Decreases Inflammation and Improves Symptoms in Adult Eosinophilic Oesophagitis Patients. Aliment. Pharmacol. Ther. 2017, 45, 777–787. [Google Scholar] [CrossRef] [PubMed]
- Eckmann, J.D.; Ravi, K.; Katzka, D.A.; Davis, D.R.; See, J.A.; Geno, D.R.; Kryzer, L.A.; Alexander, J.A. Efficacy of Atopy Patch Testing in Directed Dietary Therapy of Eosinophilic Esophagitis: A Pilot Study. Dig. Dis. Sci. 2018, 63, 694–702. [Google Scholar] [CrossRef] [PubMed]
- Dellon, E.S.; Guo, R.; McGee, S.J.; Hamilton, D.K.; Nicolai, E.; Covington, J.; Moist, S.E.; Arrington, A.; Wright, B.L.; Burks, A.W.; et al. A Novel Allergen-Specific Immune Signature-Directed Approach to Dietary Elimination in Eosinophilic Esophagitis. Clin. Transl. Gastroenterol. 2019, 10, e00099. [Google Scholar] [CrossRef] [PubMed]
- Teoh, T.; Mill, C.; Chan, E.; Zimmer, P.; Avinashi, V. Liberalized Versus Strict Cow’s Milk Elimination for the Treatment of Children with Eosinophilic Esophagitis. J. Can. Assoc. Gastroenterol. 2019, 2, 81–85. [Google Scholar] [CrossRef] [PubMed]
- Iglesia, E.G.A.; Reed, C.C.; Nicolai, E.; Dellon, E.S. Dietary Elimination Therapy Is Effective for a Majority of Proton Pump Inhibitor-Responsive Adults with Eosinophilic Esophagitis. Clin. Gastroenterol. Hepatol. 2020, 18, 1638–1640.e2. [Google Scholar] [CrossRef] [PubMed]
- Wong, J.; Goodine, S.; Samela, K.; Vance, K.S.; Chatfield, B.; Wang, Z.; Sayej, W.N. Efficacy of Dairy Free Diet and 6-Food Elimination Diet as Initial Therapy for Pediatric Eosinophilic Esophagitis: A Retrospective Single-Center Study. Pediatr. Gastroenterol. Hepatol. Nutr. 2020, 23, 79–88. [Google Scholar] [CrossRef]
- De Rooij, W.E.; Vlieg-Boerstra, B.; Warners, M.J.; Van Ampting, M.T.J.; Van Esch, B.C.A.M.; Eussen, S.R.B.M.; Bredenoord, A.J. Effect of Amino Acid-based Formula Added to Four-food Elimination in Adult Eosinophilic Esophagitis Patients: A Randomized Clinical Trial. Neurogastroenterol. Motil. 2022, 34, e14291. [Google Scholar] [CrossRef] [PubMed]
- Wang, L.; Mara, K.C.; Ravi, K.; Wu, T.; Smyrk, T.C.; Katzka, D.A.; Alexander, J.A. Predictors of Histologic Response to Dietary Therapy in Eosinophilic Oesophagitis. Aliment. Pharmacol. Ther. 2022, 56, 1444–1452. [Google Scholar] [CrossRef]
- Zalewski, A.; Doerfler, B.; Krause, A.; Hirano, I.; Gonsalves, N. Long-Term Outcomes of the Six-Food Elimination Diet and Food Reintroduction in a Large Cohort of Adults with Eosinophilic Esophagitis. Am. J. Gastroenterol. 2022, 117, 1963–1970. [Google Scholar] [CrossRef] [PubMed]
- Alexander, J.A.; Ravi, K.; Symrk, T.C.; Wu, T.-T.; Lavey, C.J.; Geno, D.; Johnson, A.J.; Lennon, R.J.; Collins, M.H.; Dellon, E.S.; et al. Use of the Esophageal Sponge in Directing Food Reintroduction in Eosinophilic Esophagitis. Clin. Gastroenterol. Hepatol. 2023, 21, 299–306.e3. [Google Scholar] [CrossRef] [PubMed]
- Visaggi, P.; Savarino, E.; Del Corso, G.; Hunter, H.; Baiano Svizzero, F.; Till, S.J.; Dunn, J.; Wong, T.; De Bortoli, N.; Zeki, S. Six-Food Elimination Diet Is Less Effective during Pollen Season in Adults with Eosinophilic Esophagitis Sensitized to Pollens. Am. J. Gastroenterol. 2023, 118, 1957–1962. [Google Scholar] [CrossRef] [PubMed]
- Kewalramani, A.; Bollinger, M.; Vibbert, C.; Demetrakis, J. Fresh Food Skin Tessting in Eosinophilic Esophagitis Patients. Ann. Allergy Asthma Immunol. 2009, 103 (Suppl. S3), A3. [Google Scholar]
- Hiremath, G.; Kaushal, S.; Badalyan, V.; Loizou, D.; Enav, B.; Chao, C.; Sikka, N.; Duffy, L.; Lee, P.; Leibowitz, I.; et al. Pediatric Eosinophilic Esophagitis: The Northern Virginia Experience. J. Pediatr. Gastroenterol. Nutr. 2010, 51 (Suppl. S2), E15–E16. [Google Scholar]
- Muir, R.; Ee, L.C.; Lewindon, P.J. Food Allergen Restricted Diet in the Treatment of Paediatric Eosinophilic Oesophagitis. Gastroenterology 2010, 138, S137. [Google Scholar] [CrossRef]
- Gonsalves, N.; Doerfler, B.; Schwartz, S.; Yang, G.-Y.; Zalewski, A.; Amsden, K.; Mughal, S.; Manuel-Rubio, M.; Melin-Aldana, H.; Wershil, B.K.; et al. Prospective Trial of Four Food Elimination Diet Demonstrates Comparable Effectiveness in the Treatment of Adult and Pediatric Eosinophilic Esophagitis. Gastroenterology 2013, 144, S-154. [Google Scholar] [CrossRef]
- Kliewer, K.; Aceves, S.S.; Atkins, D.; Bonis, P.A.; Chehade, M.; Collins, M.H.; Dellon, E.S.; Fei, L.; Gupta, S.K.; Kagalwalla, A.F.; et al. Efficacy of 1-Food and 4-Food Elimination Diets for Peditric Eosinophilic Esophagitis in a Randomized Multisite Study. Gastroenterology 2019, 156, S-172–S-173. [Google Scholar] [CrossRef]
- Mayerhofer, C.; Kavallar, A.M.; Aldrian, D.; Lindner, A.K.; Müller, T.; Vogel, G.F. Efficacy of Elimination Diets in Eosinophilic Esophagitis: A Systematic Review and Meta-Analysis. Clin. Gastroenterol. Hepatol. 2023, 21, 2197–2210.e3. [Google Scholar] [CrossRef] [PubMed]
- Lucendo, A.J.; Arias, A.; Redondo-Gonzalez, O.; Gonzalez-Cervera, J. Seasonal Distribution of Initial Diagnosis and Clinical Recrudescence of Eosinophilic Esophagitis: A Systematic Review and Meta-Analysis. Allergy 2015, 70, 1640–1650. [Google Scholar] [CrossRef] [PubMed]






| Dietary Treatment | N | Patients (n) | Overall Efficacy (%, 95% CI) | I2 | Publication Bias † | |
|---|---|---|---|---|---|---|
| Any dietary treatment | 66 | 2825 | 60.6% (54.6–66.5%) | 90% | 0.106 | |
| Exclusive feeding with an elemental diet | 12 | 465 | 94.5% (92.3–96.4%) | 39.8% | 0.582 | |
| Six-food elimination diet | 22 | 993 | 63.9% (58.5–69.2%) | 63.6% | 0.572 | |
| Four-food elimination diet | 7 | 329 | 54.7% (45.7–63.6%) | 57.5% | 0.965 * | |
| Two-food elimination diet | 2 | 132 | 44.3% (36.1–52.8%) ‡ | - | - | |
| One-food (milk) elimination diet | 7 | 224 | 46.4% (40–52.9%) ‡ | 49.8% | 0.326 * | |
| Allergy testing-directed food elimination | 16 | 682 | 39.5% (30.3–49.2%) | 78.8% | 0.787 | |
| Subgroups according to patients’ age | ||||||
| Any dietary treatment | Children | 34 | 1389 | 63.4% (53.7–72.6%) | 91.7% | 0.328 | 
| Adults | 27 | 1104 | 54.1% (46.9–61.3%) | 82.4% | 0.482 | |
| Both ages | 9 | 332 | 70.8% (52.9–85.8%) | 84.9% | 0.728 * | |
| Exclusive feeding with an elemental diet | Children | 9 | 381 | 95.2% (92.9–97.1%) ‡ | 10.2% | 0.324 * | 
| Adults | 2 | 35 | 82.7% (69–93%) ‡ | - | - | |
| Both ages | 1 | 49 | - | - | - | |
| Six-food elimination diet | Children | 5 | 137 | 67.5% (59.6–74.9%) ‡ | 34.7% | 0.306 * | 
| Adults | 14 | 600 | 63.5% (56.1–70.7%) | 69.9% | 0.518 | |
| Both ages | 4 | 256 | 60.6% (54.6–78%) ‡ | 51.8% | 0.441 * | |
| Four-food elimination diet | Children | 4 | 129 | 59.5% (51–67.6%) ‡ | 0.2% | 0.287 * | 
| Adults | 4 | 197 | 52.7% (45.8–59.6%) ‡ | 55.3% | 0.410 * | |
| Both ages | 1 | 3 | - | - | - | |
| Two-food elimination diet | Children | 1 | 25 | - | - | - | 
| Adults | 1 | 105 | - | - | - | |
| Both ages | 1 | 2 | - | - | - | |
| One-food (milk) elimination diet | Children | 5 | 145 | 53.7% (45.7–61.6%) | 0% | 0.142 * | 
| Adults | 1 | 67 | - | - | - | |
| Both ages | 1 | 12 | - | - | - | |
| Allergy testing-directed food elimination | Children | 10 | 572 | 45.7% (34.4–57.2%) | 79.6% | 0.583 * | 
| Adults | 5 | 100 | 26.4% (18.5–35.2%) ‡ | 21.9% | 0.377 * | |
| Both ages | 1 | 10 | - | - | - | |
| Subgroup analysis according to study design | ||||||
| Any dietary treatment | Prospective | 31 | 1203 | 54.4% (47.4–61.4%) | 82.5% | 0.590 | 
| Retrospective | 35 | 1622 | 66.4% (57.4–74.9%) | 92% | 0.182 | |
| Exclusive feeding with an elemental diet | Prospective | 4 | 48 | 84.5% (73.5–93%) ‡ | 22.7% | 0.768 * | 
| Retrospective | 8 | 417 | 95.4% (93.2–97.2%) ‡ | 10.6% | 0.340 * | |
| Six-food elimination diet | Prospective | 11 | 477 | 64.6% (55.2–73.5%) | 76.3% | 0.359 | 
| Retrospective | 11 | 516 | 61.6% (57.4–65.7%) ‡ | 24.3% | 0.814 | |
| Four-food elimination diet | Prospective | 6 | 326 | 55.4% (50.1–60.8%) ‡ | 53% | 0.128 * | 
| Retrospective | 1 | 3 | - | - | - | |
| Two-food elimination diet | Prospective | 1 | 130 | - | - | - | 
| Retrospective | 1 | 2 | - | - | - | |
| One-food (milk) elimination diet | Prospective | 3 | 142 | 41.6% (33.8–49.7%) ‡ | 35.4% | 0.398 ** | 
| Retrospective | 4 | 82 | 54.6% (44–64.9%) ‡ | 42.5% | 0.436 * | |
| Allergy testing-directed food elimination | Prospective | 6 | 80 | 24.2% (11.6–39.6%) | 58.6% | 0.031 * | 
| Retrospective | 10 | 602 | 47.5% (37.5–57.6%) | 76.5% | 0.782 * | |
| N | Patients (n) | Overall Efficacy (%, 95% CI) | I2 | Publication Bias * | |
|---|---|---|---|---|---|
| SPT + APT | 7 | 225 | 42.6% (24.4–61.2%) | 86.3% | 0.904 | 
| IgE + SPT | 4 | 66 | 39.9% (28.8–51.6%) | 0% | 0.125 | 
| IgE + SPT + APT | 2 | 338 | 52.7% (47.3–57.9%) | - | - | 
| Dietary Treatment | N | Patients (n) | Overall Efficacy (%, 95% CI) | I2 | Publication Bias † | |
|---|---|---|---|---|---|---|
| Subgroups according to geographic origin of studies | ||||||
| Any dietary treatment | Europe | 19 | 775 | 54% (44.9–63%) | 82.3% | 0.581 | 
| North America | 43 | 1968 | 64.1% (56.2–71.7%) | 91.8% | 0.320 | |
| Exclusive feeding with an elemental diet | Europe | 3 | 21 | 75.7% (57–90.3%) ‡ | 0% | 0.257 ** | 
| North America | 8 | 441 | 95.2% (93–97%) ‡ | 21.3% | 0.074 * | |
| Six-food elimination diet | Europe | 7 | 354 | 70% (65.1–74.6%) ‡ | 49.7% | 0.062 * | 
| North America | 13 | 571 | 63.8% (56.4–70.9%) | 61.6% | 0.903 | |
| Four-food elimination diet | Europe | 3 | 203 | 51.2% (38.2–64.1%) | 69.6% | 0.302 ** | 
| North America | 4 | 126 | 59.7% (51.2–68%) ‡ | 52.6% | 0.883 * | |
| Two-food elimination diet | Europe | 1 | - | - | - | - | 
| North America | 1 | - | - | - | - | |
| One-food (milk) elimination diet | Europe | - | - | - | - | - | 
| North America | 7 | 224 | 46.4% (40–52.9%) ‡ | 49.8% | 0.326 * | |
| Allergy testing-directed food elimination | Europe | 5 | 67 | 25% (9.2–45.4%) | 70.3% | 0.131 * | 
| North America | 10 | 605 | 45.5% (34.9–56.2%) | 79.7% | 0.624 * | |
| Subgroups according to risk of bias of source studies | ||||||
| Any dietary treatment | Low/moderate | 51 | 2384 | 63.7% (56.8–70.3%) | 90.8% | 0.245 | 
| High | 15 | 441 | 49.4% (39.4–49.5%) | 75.7% | 0.559 | |
| Exclusive feeding with an elemental diet | Low/moderate | 10 | 450 | 94.8% (92.6–96.6%) ‡ | 43% | 0.152 | 
| High | 2 | 15 | 84.3% (63.9–97.2%) | - | - | |
| Six-food elimination diet | Low/moderate | 18 | 855 | 65.6% (60.2–70.9%) | 57% | 0.791 | 
| High | 4 | 138 | 55.8% (36.9–73.8%) | 77.2% | 0.943 | |
| Four-food elimination diet | Low/moderate | 5 | 271 | 59.8% (54–65.5%) ‡ | 15.3% | 0.410 * | 
| High | 2 | 58 | 38.3% (26.5–50.9%) ‡ | - | - | |
| Two-food elimination diet | Low/moderate | 2 | 132 | 44.3% (36.1–52.8%) ‡ | - | - | 
| One-food (milk) elimination diet | Low/moderate | 3 | 94 | 55.2% (45.2–64.9%) ‡ | 0% | 0.310 ** | 
| High | 4 | 130 | 40.1% (32–48.6%) ‡ | 52.8% | 0.620 * | |
| Allergy testing-directed food elimination | Low/moderate | 13 | 582 | 39.3% (29.6–49.49%) | 76% | 0.392 | 
| High | 3 | 100 | 35.8% (5.8–74.3%) | 87.8% | 0.266 ** | |
| Disclaimer/Publisher’s Note: The statements, opinions and data contained in all publications are solely those of the individual author(s) and contributor(s) and not of MDPI and/or the editor(s). MDPI and/or the editor(s) disclaim responsibility for any injury to people or property resulting from any ideas, methods, instructions or products referred to in the content. | 
© 2024 by the authors. Licensee MDPI, Basel, Switzerland. This article is an open access article distributed under the terms and conditions of the Creative Commons Attribution (CC BY) license (https://creativecommons.org/licenses/by/4.0/).
Share and Cite
Arias, Á.; Tejera-Muñoz, A.; Gutiérrez-Ramírez, L.; Molina-Infante, J.; Lucendo, A.J., on behalf of the EUREOS Guidelines Committee. Efficacy of Dietary Therapy for Eosinophilic Esophagitis in Children and Adults: An Updated Systematic Review and Meta-Analysis. Nutrients 2024, 16, 2231. https://doi.org/10.3390/nu16142231
Arias Á, Tejera-Muñoz A, Gutiérrez-Ramírez L, Molina-Infante J, Lucendo AJ on behalf of the EUREOS Guidelines Committee. Efficacy of Dietary Therapy for Eosinophilic Esophagitis in Children and Adults: An Updated Systematic Review and Meta-Analysis. Nutrients. 2024; 16(14):2231. https://doi.org/10.3390/nu16142231
Chicago/Turabian StyleArias, Ángel, Antonio Tejera-Muñoz, Lucía Gutiérrez-Ramírez, Javier Molina-Infante, and Alfredo J. Lucendo on behalf of the EUREOS Guidelines Committee. 2024. "Efficacy of Dietary Therapy for Eosinophilic Esophagitis in Children and Adults: An Updated Systematic Review and Meta-Analysis" Nutrients 16, no. 14: 2231. https://doi.org/10.3390/nu16142231
APA StyleArias, Á., Tejera-Muñoz, A., Gutiérrez-Ramírez, L., Molina-Infante, J., & Lucendo, A. J., on behalf of the EUREOS Guidelines Committee. (2024). Efficacy of Dietary Therapy for Eosinophilic Esophagitis in Children and Adults: An Updated Systematic Review and Meta-Analysis. Nutrients, 16(14), 2231. https://doi.org/10.3390/nu16142231
 
        



 
       