Improvement of Dietary Habits among German Medical Students by Attending a Nationwide Online Lecture Series on Nutrition and Planetary Health (“Eat This!”)
Abstract
1. Introduction
2. Materials and Methods
2.1. Lecture Series
2.2. Study Design and Participants
2.3. Questionnaire Development and Application
2.4. Dietary Quality Score
2.5. Students’ Adherence with the Recommendations of the German Nutrition Society
2.6. Lifestyle
2.7. Awareness of Healthy Eating and Planetary Health
2.8. Statistical Analysis
3. Results
3.1. Participants’ Dietary Quality Was Affected by Participation in the Lecture Series
3.2. Students’ Adherence to the Recommendations of the German Nutrition Society
3.3. Lifestyle Habits
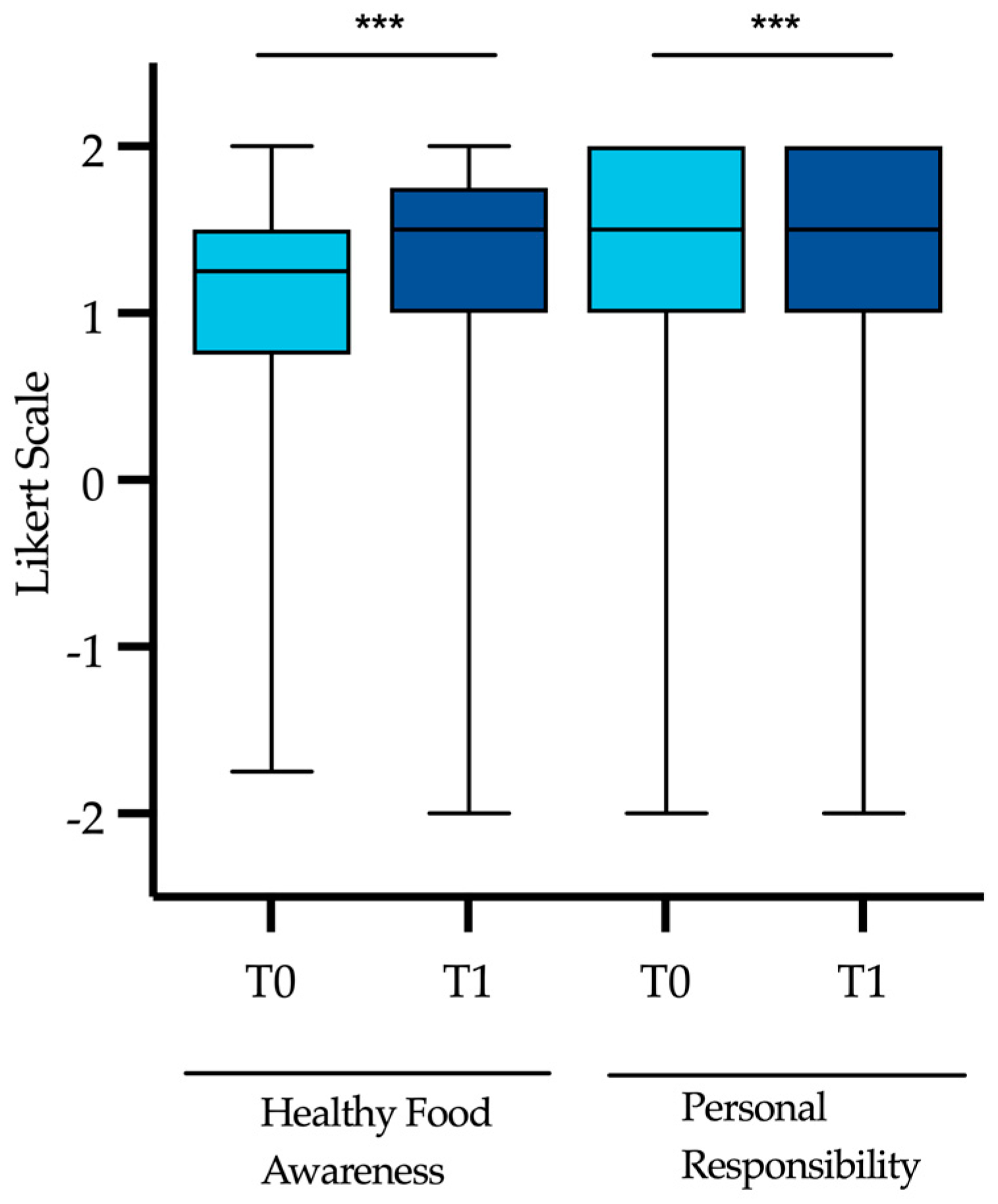
3.4. Medical Students Have a High Awareness of Healthy Nutrition and Planetary Health
3.5. Determinants of Healthy Dietary Habits
4. Discussion
4.1. Study Participants Have Healthier Dietary Habits and a Healthier Lifestyle than the General Population
4.2. Attending “Eat This!” Probably Improved Guideline Adherence and Lifestyle Habits among Participants
4.3. Healthy Food Awareness, Physical Activity, and Following a Vegan or Pescetarian Diet Are Related to a Better Dietary Quality
4.4. Attending the Lecture Series Contributes to Nutritional Education for Medical Students and Could Lead to Future Doctors Providing More Counseling on Nutrition and Planetary Health
4.5. Strengths and Limitations
5. Conclusions and Outlook
Supplementary Materials
Author Contributions
Funding
Institutional Review Board Statement
Informed Consent Statement
Data Availability Statement
Acknowledgments
Conflicts of Interest
References
- Willett, W.; Rockström, J.; Loken, B.; Springmann, M.; Lang, T.; Vermeulen, S.; Garnett, T.; Tilman, D.; DeClerck, F.; Wood, A. Food in the Anthropocene: The EAT–Lancet Commission on Healthy Diets from Sustainable Food Systems. Lancet Comm. 2019, 393, 447–492. [Google Scholar] [CrossRef] [PubMed]
- Meier, T.; Gräfe, K.; Senn, F.; Sur, P.; Stangl, G.I.; Dawczynski, C.; März, W.; Kleber, M.E.; Lorkowski, S. Cardiovascular Mortality Attributable to Dietary Risk Factors in 51 Countries in the WHO European Region from 1990 to 2016: A Systematic Analysis of the Global Burden of Disease Study. Eur. J. Epidemiol. 2019, 34, 37–55. [Google Scholar] [CrossRef] [PubMed]
- Crippa, M.; Solazzo, E.; Guizzardi, D.; Monforti-Ferrario, F.; Tubiello, F.N.; Leip, A. Food Systems Are Responsible for a Third of Global Anthropogenic GHG Emissions. Nat. Food 2021, 2, 198–209. [Google Scholar] [CrossRef]
- Alkerwi, A. Diet Quality Concept. Nutrition 2014, 30, 613–618. [Google Scholar] [CrossRef] [PubMed]
- Miller, V.; Webb, P.; Micha, R.; Mozaffarian, D. Defining Diet Quality: A Synthesis of Dietary Quality Metrics and Their Validity for the Double Burden of Malnutrition. Lancet Planet Health 2020, 4, e352–e370. [Google Scholar] [CrossRef] [PubMed]
- 13th DGE-Nutrition Report; Summary by the German Nutrition Society; German Nutrition Society: Bonn, Germany, 2016; pp. 38–40.
- WHO. Noncommunicable Diseases. Available online: https://www.who.int/news-room/fact-sheets/detail/noncommunicable-diseases (accessed on 4 November 2022).
- Vos, T.; Abajobir, A.A.; Abbafati, C.; Abbas, K.M.; Abate, K.H.; Abd-Allah, F.; Abdulle, A.M.; Abebo, T.A.; Abera, S.F.; Aboyans, V.; et al. Global, Regional, and National Incidence, Prevalence, and Years Lived with Disability for 328 Diseases and Injuries for 195 Countries, 1990–2016: A Systematic Analysis for the Global Burden of Disease Study 2016. Lancet 2017, 390, 1211–1259. [Google Scholar] [CrossRef]
- Romanello, M.; McGushin, A.; di Napoli, C.; Drummond, P.; Hughes, N.; Jamart, L.; Kennard, H.; Lampard, P.; Solano Rodriguez, B.; Arnell, N.; et al. The 2021 Report of the Lancet Countdown on Health and Climate Change: Code Red for a Healthy Future. Lancet 2021, 398, 1619–1662. [Google Scholar] [CrossRef]
- Bolnick, H.J.; Bui, A.L.; Bulchis, A.; Chen, C.; Chapin, A.; Lomsadze, L.; Mokdad, A.H.; Millard, F.; Dieleman, J.L. Health-Care Spending Attributable to Modifiable Risk Factors in the USA: An Economic Attribution Analysis. Lancet Public Health 2020, 5, e525–e535. [Google Scholar] [CrossRef]
- Aspry, K.E.; van Horn, L.; Carson, J.A.S.; Wylie-Rosett, J.; Kushner, R.F.; Lichtenstein, A.H.; Devries, S.; Freeman, A.M.; Crawford, A.; Kris-Etherton, P. Medical Nutrition Education, Training, and Competencies to Advance Guideline-Based Diet Counseling by Physicians: A Science Advisory From the American Heart Association. Circulation 2018, 137, e821–e841. [Google Scholar] [CrossRef]
- Conroy, M.B.; Delichatsios, H.K.; Hafler, J.P.; Rigotti, N.A. Impact of a Preventive Medicine and Nutrition Curriculum for Medical Students. Am. J. Prev. Med. 2004, 27, 77–80. [Google Scholar] [CrossRef]
- Spencer, E.H.; Frank, E.; Elon, L.K.; Hertzberg, V.S.; Serdula, M.K.; Galuska, D.A. Predictors of Nutrition Counseling Behaviors and Attitudes in US Medical Students. Am. J. Clin. Nutr. 2006, 84, 655–662. [Google Scholar] [CrossRef] [PubMed]
- Duperly, J.; Lobelo, F.; Segura, C.; Sarmiento, F.; Herrera, D.; Sarmiento, O.L.; Frank, E. The Association between Colombian Medical Students’ Healthy Personal Habits and a Positive Attitude toward Preventive Counseling: Cross-Sectional Analyses. BMC Public Health 2009, 9, 218. [Google Scholar] [CrossRef] [PubMed]
- el Ansari, W.; Suominen, S.; Samara, A. Eating Habits and Dietary Intake: Is Adherence to Dietary Guidelines Associated with Importance of Healthy Eating among Undergraduate University Students in Finland? Cent. Eur. J. Public Health 2015, 23, 306–313. [Google Scholar] [CrossRef] [PubMed]
- Fiore, M.; Ledda, C.; Rapisarda, V.; Sentina, E.; Mauceri, C.; DAgati, P.; Conti, G.O.; Serra-Majem, L.; Ferrante, M. Medical School Fails to Improve Mediterranean Diet Adherence among Medical Students. Eur. J. Public Health 2015, 25, 1019–1023. [Google Scholar] [CrossRef]
- Baydemir, C.; Ozgur, E.G.; Balci, S. Evaluation of Adherence to Mediterranean Diet in Medical Students at Kocaeli University, Turkey. J. Int. Med. Res. 2018, 46, 1585–1594. [Google Scholar] [CrossRef]
- Mota, I.B.; Castela, I.; Morais, J.; Anjos, M.; Costa, J.P.; Dias, M.; Fernandes, A.; Leitão, I.; Mohanlal, U.; Campos, E.; et al. Nutrition Education in Portuguese Medical Students: Impact on the Attitudes and Knowledge. Acta Med. Port 2020, 33, 246–251. [Google Scholar] [CrossRef]
- Gallo, L.A.; Gallo, T.F.; Young, S.L.; Fotheringham, A.K.; Barclay, J.L.; Walker, J.L.; Moritz, K.M.; Akison, L.K. Adherence to Dietary and Physical Activity Guidelines in Australian Undergraduate Biomedical Students and Associations with Body Composition and Metabolic Health: A Cross-Sectional Study. Nutrients 2021, 13, 3500. [Google Scholar] [CrossRef]
- Suwalska, J.; Kolasińska, K.; Łojko, D.; Bogdański, P. Eating Behaviors, Depressive Symptoms and Lifestyle in University Students in Poland. Nutrients 2022, 14, 1106. [Google Scholar] [CrossRef]
- Crowley, J.; Ball, L.; Leveritt, M.D.; Arroll, B.; Han, D.Y.; Wall, C. Impact of an Undergraduate Course on Medical Students’ Self-Perceived Nutrition Intake and Self-Efficacy to Improve Their Health Behaviours and Counselling Practices. J. Prim. Health Care 2014, 6, 101–107. [Google Scholar] [CrossRef]
- Lobelo, F.; Duperly, J.; Frank, E. Physical Activity Habits of Doctors and Medical Students Influence Their Counselling Practices. Br. J. Sports Med. 2008, 43, 89–92. [Google Scholar] [CrossRef]
- Carlos, S.; Carlos, S.; Rico-Campà, A.; Rico-Campà, A.; Rico-Campà, A.; de La Fuente-Arrillaga, C.; de La Fuente-Arrillaga, C.; de La Fuente-Arrillaga, C.; Echavarri, M.; Fernandez-Montero, A.; et al. Do Healthy Doctors Deliver Better Messages of Health Promotion to Their Patients?: Data from the SUN Cohort Study. Eur. J. Public Health 2020, 30, 466–472. [Google Scholar] [CrossRef] [PubMed]
- Ball, S.; Bax, A. Self-Care in Medical Education: Effectiveness of Health-Habits Interventions for First-Year Medical Students. Acad. Med. 2002, 77, 911–917. [Google Scholar] [CrossRef] [PubMed]
- Dumm, M.; Helbach, A.; Schad, E.; Polidori, M.C.; Matthes, J. Nutrition in Medical Studies: “Eat This!”—A Digital Teaching Concept as an Elective Subject for German Curricula. Ernahr. Umsch. 2022, 69, 2–9. [Google Scholar]
- Hauner, H.; Beyer-Reiners, E.; Bischoff, G.; Breidenassel, C.; Ferschke, M.; Gebhardt, A.; Holzapfel, C.; Lambeck, A.; Meteling-Eeken, M.; Paul, C.; et al. Manual of Nutritional Therapy in Patient Care. Aktuel Ernahr. 2019, 44, 384–419. [Google Scholar]
- United Nations. Sustainable Development Goals. Available online: https://www.un.org/sustainabledevelopment/ (accessed on 10 August 2022).
- Cleghorn, C.L.; Harrison, R.A.; Ransley, J.K.; Wilkinson, S.; Thomas, J.; Cade, J.E. Can a Dietary Quality Score Derived from a Short-Form FFQ Assess Dietary Quality in UK Adult Population Surveys? Public Health Nutr. 2016, 19, 2915–2923. [Google Scholar] [CrossRef]
- German Nutrition Society Orientation Values. Available online: https://www.dge.de/ernaehrungspraxis/vollwertige-ernaehrung/ernaehrungskreis/ (accessed on 1 April 2022).
- Kuhn, D.-A. Development of an Index to Assess Dietary Quality in the Study of Adult Health in Germany (DEGS1); Robert-Koch-Institute: Berlin, Germany, 2018. (In German) [Google Scholar]
- Li, Y.; Pan, A.; Wang, D.D.; Liu, X.; Stampfer, M.; Willett, W.C. The Impact of Healthy Lifestyle Factors on Life Expectancies in the US Population. Circulation 2019, 138, 345–355. [Google Scholar] [CrossRef]
- WHO. Physical Activity. Available online: https://www.who.int/news-room/fact-sheets/detail/physical-activity (accessed on 11 February 2022).
- WHO. Harmful Use of Alcohol. Available online: https://www.who.int/health-topics/alcohol#tab=tab_1 (accessed on 5 May 2022).
- Freisling, H.; Viallon, V.; Lennon, H.; Bagnardi, V.; Ricci, C.; Butterworth, A.S.; Sweeting, M.; Muller, D.; Romieu, I.; Bazelle, P.; et al. Lifestyle Factors and Risk of Multimorbidity of Cancer and Cardiometabolic Diseases: A Multinational Cohort Study. BMC Med. 2020, 18, 5. [Google Scholar] [CrossRef]
- Richter, A.; Schienkiewitz, A.; Starker, A.; Krug, S.; Domanska, O.; Kuhnert, R.; Loss, J.; Mensink, G.B.M. Health-Promoting Behaviour among Adults in Germany—Results from GEDA 2019/2020-EHIS. J. Health Monit. 2021, 6, 26. [Google Scholar]
- Krug, S.; Jordan, S.; Mensink, G.B.M.; Müters, S.; Finger, J.; Lampert, T. Physical Activity: Results of the German Study on Adult Health (DEGS1). Bundesgesundheitsblatt Gesundh. Gesundh. 2013, 56, 765–771. [Google Scholar] [CrossRef]
- Mensink, G.B.M.; Truthmann, J.; Rabenberg, M.; Heidemann, C.; Haftenberger, M.; Schienkiewitz, A.; Richter, A. Fruit and Vegetable Consumption in Germany: Results of the German Study on Adult Health (DEGS1). Bundesgesundheitsblatt Gesundh. Gesundh. 2013, 56, 779–785. [Google Scholar] [CrossRef]
- Germany, as It Eats: Nutrition Report. In Der BMEL-Ernährungsreport 2021; Federal Ministry of Food and Agriculture: Bonn, Germany, 2021; pp. 12–14. (In German)
- Hilger, J.; Loerbroks, A.; Diehl, K. Eating Behaviour of University Students in Germany: Dietary Intake, Barriers to Healthy Eating and Changes in Eating Behaviour since the Time of Matriculation. Appetite 2016, 109, 100–107. [Google Scholar] [CrossRef]
- Robert-Koch-Institute. Facts and Figures: Results of the “Health in Germany 2012” Study; Robert-Koch-Institute: Berlin, Germany, 2014; Volume 32. (In German) [Google Scholar]
- Jacobs, R.; Weyers, S. Health-Promoting Lifestyle of Medical Students: Do They Really Do Better? Pravent. Gesundh. 2019, 14, 264–269. [Google Scholar] [CrossRef]
- Ramón-Arbués, E.; Granada-López, J.M.; Martínez-Abadía, B.; Echániz-Serrano, E.; Antón-Solanas, I.; Jerue, B.A. Factors Related to Diet Quality: A Cross-Sectional Study of 1055 University Students. Nutrients 2021, 13, 3512. [Google Scholar] [CrossRef] [PubMed]
- Vadeboncoeur, C.; Foster, C.; Townsend, N. Freshman 15 in England: A Longitudinal Evaluation of First Year University Student’s Weight Change. BMC Obes 2016, 3, 45. [Google Scholar]
- Mihalopoulos, N.L.; Auinger, P.; Klein, J.D. The Freshman 15: Is It Real? J. Am. Coll. Health 2010, 56, 531–534. [Google Scholar] [CrossRef]
- FAO; IFAD; UNICEF; WFP; WHO. The State of Food Security and Nutrition in the World 2020. Transforming Food Systems for Affordable Healthy Diets; FAO Food and Agriculture Organization of the United Nations: Rome, Italy, 2020. [Google Scholar]
- Gusy, B.; Blaszcyk, W.; Dastan, B.; Diering, L. How Healthy Are Students at Freie Universität Berlin? Report on the Results of the Survey 01/21; Freie Universität: Berlin, Germany, 2021. (In German) [Google Scholar]
- Besson, A.; Tarpin, A.; Flaudias, V.; Brousse, G.; Laporte, C.; Benson, A.; Navel, V.; Bouillon-Minois, J.B.; Dutheil, F. Smoking Prevalence among Physicians: A Systematic Review and Meta-Analysis. Int. J. Environ. Res. Public Health 2021, 18, 13328. [Google Scholar] [CrossRef] [PubMed]
- Nabe-Nielsen, K.; Quist, H.G.; Garde, A.H.; Aust, B. Shiftwork and Changes in Health Behaviors. J. Occup. Environ. Med. 2011, 53, 1413–1417. [Google Scholar] [CrossRef]
- Fleming, C.B.; Duckworth, J.C.; Patrick, M.E.; Fairlie, A.M.; Abdallah, D.A.; Lee, C.M. Calendar Month Variation in Alcohol and Marijuana Use in a Community Sample of Young Adults. J. Stud. Alcohol. Drugs 2021, 82, 169. [Google Scholar] [CrossRef]
- Kushnir, V.; Cunningham, J.A. Event-Specific Drinking in the General Population. J. Stud. Alcohol. Drugs 2014, 75, 968–972. [Google Scholar] [CrossRef]
- Abood, D.A.; Black, D.R.; Birnbaum, R.D. Nutrition Education Intervention for College Female Athletes. J. Nutr. Educ. Behav. 2004, 36, 135–139. [Google Scholar] [CrossRef]
- Ha, E.J.; Caine-Bish, N. Effect of Nutrition Intervention Using a General Nutrition Course for Promoting Fruit and Vegetable Consumption among College Students. J. Nutr. Educ. Behav. 2009, 41, 103–109. [Google Scholar] [CrossRef] [PubMed]
- Ha, E.J.; Caine-Bish, N.; Holloman, C.; Lowry-Gordon, K. Evaluation of Effectiveness of Class-Based Nutrition Intervention on Changes in Soft Drink and Milk Consumption among Young Adults. Nutr. J. 2009, 8, 50. [Google Scholar] [CrossRef] [PubMed]
- Greene, G.W.; White, A.A.; Hoerr, S.L.; Lohse, B.; Schembre, S.M.; Riebe, D.; Patterson, J.; Kattelmann, K.K.; Shoff, S.; Horacek, T.; et al. Impact of an Online Healthful Eating and Physical Activity Program for College Students. Am. J. Health Promot. 2012, 27. [Google Scholar] [CrossRef] [PubMed]
- Dacey, M.L.; Kennedy, M.A.; Polak, R.; Phillips, E.M. Physical Activity Counseling in Medical School Education: A Systematic Review. Med. Educ. Online 2014, 19, 24325. [Google Scholar] [CrossRef] [PubMed]
- Aggarwal, M.; Singh Ospina, N.; Kazory, A.; Joseph, I.; Zaidi, Z.; Ataya, A.; Agito, M.; Bubb, M.; Hahn, P.; Sattari, M. The Mismatch of Nutrition and Lifestyle Beliefs and Actions among Physicians: A Wake-Up Call. Am. J. Lifestyle Med. 2020, 14, 304–315. [Google Scholar] [CrossRef] [PubMed]
- Adams, K.M.; Butsch, W.S.; Kohlmeier, M. The State of Nutrition Education at US Medical Schools. J. Biomed. Educ. 2015, 2015, 357627. [Google Scholar] [CrossRef]
- Harkin, N.; Johnston, E.; Mathews, T.; Guo, Y.; Schwartzbard, A.; Berger, J.; Gianos, E. Physicians’ Dietary Knowledge, Attitudes, and Counseling Practices: The Experience of a Single Health Care Center at Changing the Landscape for Dietary Education. Am. J. Lifestyle Med. 2019, 13, 292–300. [Google Scholar] [CrossRef]
- Ryan, R.M.; Deci, E.L. On Happiness and Human Potentials: A Review of Research on Hedonic and Eudaimonic Well-Being. Annu. Rev. Psychol. 2001, 52, 141–166. [Google Scholar] [CrossRef]
- Lesani, A.; Mohammadpoorasl, A.; Javadi, M.; Esfeh, J.M.; Fakhari, A. Eating Breakfast, Fruit and Vegetable Intake and Their Relation with Happiness in College Students. Eat. Weight. Disord. 2016, 21, 645–651. [Google Scholar] [CrossRef]
- Murphy, M.H.; Carlin, A.; Woods, C.; Nevill, A.; MacDonncha, C.; Ferguson, K.; Murphy, N. Active Students Are Healthier and Happier than Their Inactive Peers: The Results of a Large Representative Cross-Sectional Study of University Students in Ireland. J. Phys. Act. Health 2018, 15, 737–746. [Google Scholar] [CrossRef]
- United Nations Environment Programme. Emissions Gap Report 2020; United Nations: New York, NY, USA, 2020. [Google Scholar]
- Gender of Medical Students in Germany until 2020/2021|Statista. Available online: https://de.statista.com/statistik/daten/studie/200758/umfrage/entwicklung-der-anzahl-der-medizinstudenten/ (accessed on 7 April 2022).
- Lin, L.P.; Dali, W.P.E.W. The Impact of Nutrition Education Interventions on the Dietary Habits of College Students in Developed Nations: A Brief Review. Malays. J. Med. Sci. 2012, 19, 4–14. [Google Scholar]





| Lecture Participants n = 520 | Comparison Group n = 64 | p-Value | ||
|---|---|---|---|---|
| Sex [n (%)] | 0.078 | |||
| male | 106 (20.4) | 14 (21.9) | ||
| female | 414 (79.6) | 50 (78.1) | ||
| Age a | Years | 23 (22–26) | 24 (23–26) | 0.084 |
| Study time a | Semester | 7 (5–9) | 8 (5–11) | 0.061 |
| Study phase [n (%)] | 0.896 | |||
| Preclinical | 111 (21.3) | 15 (23.4) | ||
| Clinical | 383 (73.7) | 42 (65.6) | ||
| Practical Year | 26 (5.0) | 7 (10.9) | ||
| BMI a | kg/m2 | 21.5 (20–23.3) | 21.5 (20.2–23.8) | 0.136 |
| Physical activity per week a | 3 (2–4) | 3 (2–4.75) | 0.381 | |
| Smoking [n (%)] | 0.365 | |||
| Yes | 33 (6.4) | 5 (7.8) | ||
| No | 487 (93.7) | 59 (92.2) | ||
| n/a | 0 (0) | 0 (0) | ||
| Alcohol consumption [n (%)] | 0.545 | |||
| Low | 309 (59.4) | 37 (57.8) | ||
| Medium | 197 (37.9) | 25 (39.1) | ||
| High | 13 (2.5) | 2 (3.1) | ||
| n/a | 1 (0.2) | 0 (0) | ||
| Diet [n (%)] | 0.913 | |||
| Omnivore | 328 (63.1) | 35 (54.7) | ||
| Vegetarian | 77 (14.8) | 17 (26.5) | ||
| Vegan | 66 (12.7) | 5 (7.8) | ||
| Pescetarian | 35 (6.7) | 4 (6.3) | ||
| Other | 14 (2.7) | 3 (4.7) | ||
| n/a | 0 (0) | 0 (0) | ||
| DQS b | 10.8 ± 1.35 | 10.67 ± 1.04 | 0.430 | |
| HLI ≥ 4 [n (%)] | 339 (65.2) | 43 (67.2) | 0.838 |
Disclaimer/Publisher’s Note: The statements, opinions and data contained in all publications are solely those of the individual author(s) and contributor(s) and not of MDPI and/or the editor(s). MDPI and/or the editor(s) disclaim responsibility for any injury to people or property resulting from any ideas, methods, instructions or products referred to in the content. |
© 2023 by the authors. Licensee MDPI, Basel, Switzerland. This article is an open access article distributed under the terms and conditions of the Creative Commons Attribution (CC BY) license (https://creativecommons.org/licenses/by/4.0/).
Share and Cite
Helbach, A.; Dumm, M.; Moll, K.; Böttrich, T.; Leineweber, C.G.; Mueller, W.; Matthes, J.; Polidori, M.C. Improvement of Dietary Habits among German Medical Students by Attending a Nationwide Online Lecture Series on Nutrition and Planetary Health (“Eat This!”). Nutrients 2023, 15, 580. https://doi.org/10.3390/nu15030580
Helbach A, Dumm M, Moll K, Böttrich T, Leineweber CG, Mueller W, Matthes J, Polidori MC. Improvement of Dietary Habits among German Medical Students by Attending a Nationwide Online Lecture Series on Nutrition and Planetary Health (“Eat This!”). Nutrients. 2023; 15(3):580. https://doi.org/10.3390/nu15030580
Chicago/Turabian StyleHelbach, Anna, Moritz Dumm, Katharina Moll, Tim Böttrich, Can Gero Leineweber, Wiebke Mueller, Jan Matthes, and Maria Cristina Polidori. 2023. "Improvement of Dietary Habits among German Medical Students by Attending a Nationwide Online Lecture Series on Nutrition and Planetary Health (“Eat This!”)" Nutrients 15, no. 3: 580. https://doi.org/10.3390/nu15030580
APA StyleHelbach, A., Dumm, M., Moll, K., Böttrich, T., Leineweber, C. G., Mueller, W., Matthes, J., & Polidori, M. C. (2023). Improvement of Dietary Habits among German Medical Students by Attending a Nationwide Online Lecture Series on Nutrition and Planetary Health (“Eat This!”). Nutrients, 15(3), 580. https://doi.org/10.3390/nu15030580

