Inflammation and Insulin Resistance in Diabetic Chronic Coronary Syndrome Patients
Abstract
1. Introduction
2. Materials and Methods
2.1. Study Design and Participants
2.2. Measures of Insulin Resistance and Systemic Inflammation
2.3. Blood Sampling and Laboratory Testing
2.4. Endpoints and Follow-Up
2.5. Definition of Variables
2.6. Statistical Analysis
3. Results
3.1. Study Population and Baseline Characteristics
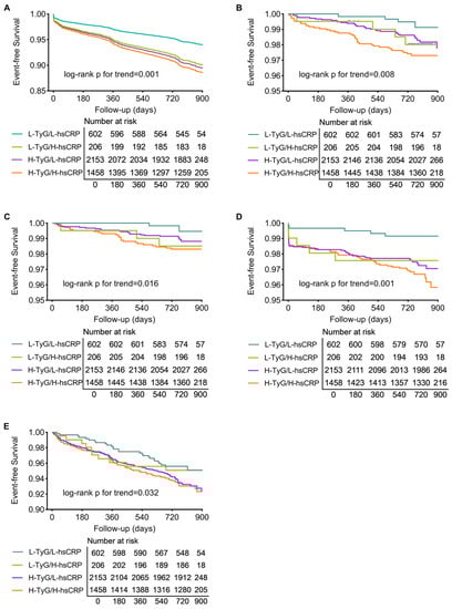
3.2. Association of TyG and hsCRP with Cardiovascular Events
3.3. Subgroup Analyses and Sensitivity Analyses
3.4. Mediation Analysis
4. Discussion
5. Conclusions
Supplementary Materials
Author Contributions
Funding
Institutional Review Board Statement
Informed Consent Statement
Data Availability Statement
Acknowledgments
Conflicts of Interest
References
- Ralapanawa, U.; Sivakanesan, R. Epidemiology and the Magnitude of Coronary Artery Disease and Acute Coronary Syndrome: A Narrative Review. J. Epidemiol. Glob. Health 2021, 11, 169–177. [Google Scholar] [CrossRef] [PubMed]
- Cavender, M.A.; Steg, P.G.; Smith, S.C., Jr.; Eagle, K.; Ohman, E.M.; Goto, S.; Kuder, J.; Im, K.; Wilson, P.W.; Bhatt, D.L.; et al. Impact of Diabetes Mellitus on Hospitalization for Heart Failure, Cardiovascular Events, and Death: Outcomes at 4 Years from the Reduction of Atherothrombosis for Continued Health (REACH) Registry. Circulation 2015, 132, 923–931. [Google Scholar] [CrossRef] [PubMed]
- Li, Y.; Teng, D.; Shi, X.; Qin, G.; Qin, Y.; Quan, H.; Shi, B.; Sun, H.; Ba, J.; Chen, B.; et al. Prevalence of diabetes recorded in mainland China using 2018 diagnostic criteria from the American Diabetes Association: National cross sectional study. BMJ 2020, 369, m997. [Google Scholar] [CrossRef] [PubMed]
- Cho, N.H.; Shaw, J.E.; Karuranga, S.; Huang, Y.; da Rocha Fernandes, J.D.; Ohlrogge, A.W.; Malanda, B. IDF Diabetes Atlas: Global estimates of diabetes prevalence for 2017 and projections for 2045. Diabetes Res. Clin. Pract. 2018, 138, 271–281. [Google Scholar] [CrossRef]
- Arnold, S.V.; Bhatt, D.L.; Barsness, G.W.; Beatty, A.L.; Deedwania, P.C.; Inzucchi, S.E.; Kosiborod, M.; Leiter, L.A.; Lipska, K.J.; Newman, J.D.; et al. Clinical Management of Stable Coronary Artery Disease in Patients with Type 2 Diabetes Mellitus: A Scientific Statement from the American Heart Association. Circulation 2020, 141, e779–e806. [Google Scholar] [CrossRef]
- Cosentino, F.; Grant, P.J.; Aboyans, V.; Bailey, C.J.; Ceriello, A.; Delgado, V.; Federici, M.; Filippatos, G.; Grobbee, D.E.; Hansen, T.B.; et al. 2019 ESC Guidelines on diabetes, pre-diabetes, and cardiovascular diseases developed in collaboration with the EASD. Eur. Heart J. 2020, 41, 255–323. [Google Scholar] [CrossRef]
- Zhao, D.; Liu, J.; Wang, M.; Zhang, X.; Zhou, M. Epidemiology of cardiovascular disease in China: Current features and implications. Nat. Rev. Cardiol. 2019, 16, 203–212. [Google Scholar] [CrossRef]
- Tao, L.C.; Xu, J.N.; Wang, T.T.; Hua, F.; Li, J.J. Triglyceride-glucose index as a marker in cardiovascular diseases: Landscape and limitations. Cardiovasc. Diabetol. 2022, 21, 68. [Google Scholar] [CrossRef]
- Hill, M.A.; Yang, Y.; Zhang, L.; Sun, Z.; Jia, G.; Parrish, A.R.; Sowers, J.R. Insulin resistance, cardiovascular stiffening and cardiovascular disease. Metabolism 2021, 119, 154766. [Google Scholar] [CrossRef]
- Ormazabal, V.; Nair, S.; Elfeky, O.; Aguayo, C.; Salomon, C.; Zuniga, F.A. Association between insulin resistance and the development of cardiovascular disease. Cardiovasc. Diabetol. 2018, 17, 122. [Google Scholar] [CrossRef]
- Patel, T.P.; Rawal, K.; Bagchi, A.K.; Akolkar, G.; Bernardes, N.; Dias, D.D.S.; Gupta, S.; Singal, P.K. Insulin resistance: An additional risk factor in the pathogenesis of cardiovascular disease in type 2 diabetes. Heart Fail. Rev. 2016, 21, 11–23. [Google Scholar] [CrossRef]
- Hartge, M.M.; Unger, T.; Kintscher, U. The endothelium and vascular inflammation in diabetes. Diabetes Vasc. Dis. Res. 2007, 4, 84–88. [Google Scholar] [CrossRef]
- Kong, P.; Cui, Z.Y.; Huang, X.F.; Zhang, D.D.; Guo, R.J.; Han, M. Inflammation and atherosclerosis: Signaling pathways and therapeutic intervention. Signal Transduct. Target. Ther. 2022, 7, 131. [Google Scholar] [CrossRef]
- Lawler, P.R.; Bhatt, D.L.; Godoy, L.C.; Luscher, T.F.; Bonow, R.O.; Verma, S.; Ridker, P.M. Targeting cardiovascular inflammation: Next steps in clinical translation. Eur. Heart J. 2021, 42, 113–131. [Google Scholar] [CrossRef]
- Sharif, S.; Van der Graaf, Y.; Cramer, M.J.; Kapelle, L.J.; de Borst, G.J.; Visseren, F.L.J.; Westerink, J.; on behalf of the SMART study group. Low-grade inflammation as a risk factor for cardiovascular events and all-cause mortality in patients with type 2 diabetes. Cardiovasc. Diabetol. 2021, 20, 220. [Google Scholar] [CrossRef]
- Badimon, L.; Pena, E.; Arderiu, G.; Padro, T.; Slevin, M.; Vilahur, G.; Chiva-Blanch, G. C-Reactive Protein in Atherothrombosis and Angiogenesis. Front. Immunol. 2018, 9, 430. [Google Scholar] [CrossRef]
- Denegri, A.; Boriani, G. High Sensitivity C-reactive Protein (hsCRP) and its Implications in Cardiovascular Outcomes. Curr. Pharm. Des. 2021, 27, 263–275. [Google Scholar] [CrossRef]
- Puschel, G.P.; Klauder, J.; Henkel, J. Macrophages, Low-Grade Inflammation, Insulin Resistance and Hyperinsulinemia: A Mutual Ambiguous Relationship in the Development of Metabolic Diseases. J. Clin. Med. 2022, 11, 4358. [Google Scholar] [CrossRef]
- Simental-Mendia, L.E.; Rodriguez-Moran, M.; Guerrero-Romero, F. The product of fasting glucose and triglycerides as surrogate for identifying insulin resistance in apparently healthy subjects. Metab. Syndr. Relat. Disord. 2008, 6, 299–304. [Google Scholar] [CrossRef]
- Everett, B.M. Residual Inflammatory Risk: A Common and Important Risk Factor for Recurrent Cardiovascular Events. J. Am. Coll. Cardiol. 2019, 73, 2410–2412. [Google Scholar] [CrossRef]
- Imai, K.; Keele, L.; Tingley, D. A general approach to causal mediation analysis. Psychol. Methods 2010, 15, 309–334. [Google Scholar] [CrossRef] [PubMed]
- Laakso, M.; Kuusisto, J. Insulin resistance and hyperglycaemia in cardiovascular disease development. Nat. Rev. Endocrinol. 2014, 10, 293–302. [Google Scholar] [CrossRef] [PubMed]
- Bassuk, S.S.; Rifai, N.; Ridker, P.M. High-sensitivity C-reactive protein: Clinical importance. Curr. Probl. Cardiol. 2004, 29, 439–493. [Google Scholar] [PubMed]
- Boren, J.; Taskinen, M.R.; Bjornson, E.; Packard, C.J. Metabolism of triglyceride-rich lipoproteins in health and dyslipidaemia. Nat. Rev. Cardiol. 2022, 19, 577–592. [Google Scholar] [CrossRef]
- Jin, A.; Wang, S.; Li, J.; Wang, M.; Lin, J.; Li, H.; Meng, X.; Wang, Y.; Pan, Y. Mediation of Systemic Inflammation on Insulin Resistance and Prognosis of Nondiabetic Patients with Ischemic Stroke. Stroke 2023, 54, 759–769. [Google Scholar] [CrossRef]
- Du, X.; Spatz, E.S.; Dreyer, R.P.; Hu, S.; Wu, C.; Li, X.; Li, J.; Wang, S.; Masoudi, F.A.; Spertus, J.A.; et al. Sex Differences in Clinical Profiles and Quality of Care Among Patients with ST-Segment Elevation Myocardial Infarction From 2001 to 2011: Insights From the China Patient-Centered Evaluative Assessment of Cardiac Events (PEACE)-Retrospective Study. J. Am. Heart Assoc. 2016, 5, e002157. [Google Scholar] [CrossRef]
- Luo, J.W.; Duan, W.H.; Yu, Y.Q.; Song, L.; Shi, D.Z. Prognostic Significance of Triglyceride-Glucose Index for Adverse Cardiovascular Events in Patients With Coronary Artery Disease: A Systematic Review and Meta-Analysis. Front. Cardiovasc. Med. 2021, 8, 774781. [Google Scholar] [CrossRef]
- Placzkowska, S.; Pawlik-Sobecka, L.; Kokot, I.; Piwowar, A. Indirect insulin resistance detection: Current clinical trends and laboratory limitations. Biomed. Pap. Med. Fac. Univ. Palacky Olomouc Czech Repub. 2019, 163, 187–199. [Google Scholar] [CrossRef]




| Variables | All Participants (n = 4419) | L-TyG/L-hsCRP (n = 602) | L-TyG/H-hsCRP (n = 206) | H-TyG/L-hsCRP (n = 2153) | H-TyG/H-hsCRP (n = 1458) | p |
|---|---|---|---|---|---|---|
| Demographic characteristics | ||||||
| Age, years | 62 (55–68) | 63 (56–69) | 63 (55–69) | 61 (55–68) | 62 (55–68) | 0.005 |
| ≥65 | 1640 (37.11) | 250 (41.53) | 81 (39.32) | 754 (35.02) | 555 (38.07) | 0.018 |
| Female | 1228 (27.79) | 135 (22.43) | 49 (23.79) | 595 (27.64) | 449 (30.80) | <0.001 |
| Body mass index, kg/m2 | 26.04 (24.22–28.28) | 24.86 (22.86–26.82) | 25.81 (23.86–27.73) | 25.96 (24.22–28.08) | 26.73 (24.77–29.05) | <0.001 |
| ≥28 | 1212 (27.43) | 90(14.95) | 44 (21.36) | 567 (26.34) | 511 (35.05) | <0.001 |
| Smoking history | <0.001 | |||||
| Current smoker | 730 (16.52) | 52 (8.64) | 26 (12.62) | 354 (16.44) | 298 (20.44) | |
| Former smoker | 1736 (39.28) | 256 (42.52) | 95 (46.12) | 833 (38.69) | 552 (37.86) | |
| Non-Smoker | 1953 (44.20) | 294 (48.84) | 85 (41.26) | 966 (44.87) | 608 (41.70) | |
| Clinical characteristics | ||||||
| Insulin use | 635 (14.37) | 68 (11.30) | 26 (12.62) | 313 (14.54) | 228 (15.64) | 0.069 |
| Hypertension | 4133 (93.53) | 561 (93.19) | 188 (91.26) | 2013 (93.50) | 1371 (94.03) | 0.479 |
| Dyslipidemia | 4272 (96.67) | 570 (94.68) | 199 (96.60) | 2077 (96.47) | 1426 (97.81) | 0.004 |
| Peripheral artery disease | 334 (7.56) | 44 (7.31) | 19 (9.22) | 156 (7.25) | 115 (7.89) | 0.706 |
| Chronic kidney disease | 160 (3.62) | 24 (3.99) | 8 (3.88) | 65 (3.02) | 63 (4.32) | 0.208 |
| COPD | 61 (1.38) | 10 (1.66) | 5 (2.43) | 26 (1.21) | 20 (1.37) | 0.479 |
| Prior myocardial infarction | 951 (21.52) | 126 (20.93) | 30 (14.56) | 470 (21.83) | 325 (22.29) | 0.083 |
| Prior stroke | 788 (17.83) | 110 (18.27) | 46 (22.33) | 364 (16.91) | 268 (18.38) | 0.214 |
| Prior revascularization | 1531 (34.65) | 227 (37.71) | 54 (26.21) | 765 (35.53) | 485 (33.26) | 0.012 |
| Laboratory tests | ||||||
| FBG, mmol/L | 6.69 (5.58–8.24) | 5.32 (4.67–6.10) | 5.34 (4.70–6.19) | 6.99 (5.91–8.54) | 7.16 (5.98–8.86) | <0.001 |
| FBG, mg/dL | 120.42 (100.44–148.32) | 95.76 (84.06–109.80) | 96.12 (84.60–111.42) | 125.82 (106.38–153.72) | 128.88 (107.64–159.48) | <0.001 |
| HbA1c, % | 6.90 (6.30–7.90) | 6.30 (5.80–6.90) | 6.50 (6.00–7.20) | 7.00 (6.30–7.90) | 7.20 (6.50–8.20) | <0.001 |
| HbA1c, mmol/mol | 52 (45–63) | 45 (40–52) | 48 (42–55) | 53 (46–63) | 55 (48–66) | <0.001 |
| LDL-c, mmol/L | 2.16 (1.72–2.80) | 1.80 (1.49–2.24) | 1.92 (1.56–2.54) | 2.14 (1.74–2.76) | 2.42 (1.91–3.10) | <0.001 |
| ≤1.8 | 1302 (29.46) | 307 (51.00) | 89 (43.20) | 619 (28.75) | 287 (19.68) | <0.001 |
| Triglyceride, mmol/L | 1.42 (1.06–1.98) | 0.84 (0.71–0.98) | 0.87 (0.75–1.00) | 1.56 (1.22–2.07) | 1.66 (1.29–2.28) | <0.001 |
| TyG | 8.96 (8.59–9.38) | 8.22 (8.04–8.34) | 8.25 (8.12–8.36) | 9.06 (8.77–9.43) | 9.17 (8.83–9.55) | <0.001 |
| hsCRP, mg/L | 1.46 (0.70–2.92) | 0.66 (0.32–1.18) | 3.71 (2.67–7.87) | 0.91 (0.49–1.39) | 3.79 (2.62–6.39) | <0.001 |
| LVEF < 40% | 93 (2.10) | 13 (2.16) | 6 (2.91) | 38 (1.76) | 36 (2.47) | 0.422 |
| Lesion characteristics | ||||||
| LM/TVD | 2202 (49.83) | 264 (43.85) | 111 (53.88) | 1036 (48.12) | 791 (54.25) | <0.001 |
| SYNTAX score | 0.020 | |||||
| ≤22 | 3740 (84.67) | 530 (88.04) | 171 (83.01) | 1840 (85.50) | 1199 (82.29) | |
| 23–32 | 557 (12.61) | 56 (9.30) | 27 (13.11) | 259 (12.04) | 215 (14.76) | |
| ≥33 | 120 (2.72) | 16 (2.66) | 8 (3.88) | 53 (2.46) | 43 (2.95) | |
| PCI status | 0.024 | |||||
| Successful PCI | 2712 (61.37) | 339 (56.31) | 121 (58.74) | 1323 (61.45) | 929 (63.72) | |
| Unsuccessful PCI | 129 (2.92) | 13 (2.16) | 5 (2.43) | 69 (3.20) | 42 (2.88) | |
| No PCI | 1578 (35.71) | 250 (41.53) | 80 (38.83) | 761 (35.35) | 487 (33.40) | |
| Medication adherence | ||||||
| Aspirin | 0.181 | |||||
| 2-year regular | 3276 (74.13) | 452 (75.08) | 155 (75.24) | 1612 (74.87) | 1057 (72.50) | |
| 1-year regular | 926 (20.95) | 126 (20.93) | 35 (16.99) | 441 (20.48) | 324 (22.22) | |
| Irregular/<1 year | 217 (4.91) | 24 (3.99) | 16 (7.77) | 100 (4.64) | 77 (5.28) | |
| Statins | 0.217 | |||||
| 2-year regular | 2743 (62.07) | 386 (64.12) | 126 (61.17) | 1349 (62.66) | 882 (60.49) | |
| 1-year regular | 1161 (26.27) | 138 (22.92) | 55 (26.70) | 576 (26.75) | 392 (26.89) | |
| Irregular/<1 year | 515 (11.65) | 78 (12.96) | 25 (12.14) | 228 (10.59) | 184 (12.62) |
| Clinical Outcome | Group | No. of Events (%) | Event Rate per 1000 pys | Crude Model | Adjusted Model | ||
|---|---|---|---|---|---|---|---|
| HR (95% CI) | p | HR (95% CI) | p | ||||
| MACE | L-TyG/L-hsCRP | 32 (5.32) | 25.11 | Reference | 1.0 | ||
| L-TyG/H-hsCRP | 18 (8.74) | 42.74 | 1.70 (0.95, 3.02) | 0.073 | 1.46 (0.82, 2.62) | 0.198 | |
| H-TyG/L-hsCRP | 203 (9.43) | 45.40 | 1.81 (1.24, 2.62) | 0.002 | 1.78 (1.22, 2.60) | 0.003 | |
| H-TyG/H-hsCRP | 152 (10.43) | 49.63 | 1.97 (1.34. 2.88) | 0.001 | 1.83 (1.24, 2.70) | 0.002 | |
| p for trend | 0.001 | 0.003 | |||||
| All-cause death | L-TyG/L-hsCRP | 5 (0.83) | 3.81 | Reference | Reference | ||
| L-TyG/H-hsCRP | 4 (1.94) | 9.05 | 2.38 (0.64, 8.88) | 0.195 | 1.42 (0.37, 5.39) | 0.607 | |
| H-TyG/L-hsCRP | 37 (1.72) | 7.87 | 2.06 (0.81, 5.24) | 0.129 | 2.89 (1.10, 7.56) | 0.031 | |
| H-TyG/H-hsCRP | 39 (2.67) | 12.11 | 3.16 (1.25, 8.03) | 0.015 | 3.96 (1.51, 10.36) | 0.005 | |
| p for trend | 0.009 | 0.001 | |||||
| Cardiac death | L-TyG/L-hsCRP | 2 (0.33) | 1.53 | Reference | Reference | ||
| L-TyG/H-hsCRP | 3 (1.46) | 6.79 | 4.43 (0.74, 26.51) | 0.103 | 2.64 (0.42, 16.44) | 0.298 | |
| H-TyG/L-hsCRP | 22 (1.02) | 4.68 | 3.10 (0.73, 13.19) | 0.126 | 4.23 (0.94, 19.02) | 0.061 | |
| H-TyG/H-hsCRP | 24 (1.65) | 7.45 | 5.02 (1.18, 21.31) | 0.029 | 5.94 (1.32, 26.79) | 0.021 | |
| p for trend | 0.018 | 0.007 | |||||
| Myocardial infarction | L-TyG/L-hsCRP | 5 (0.83) | 3.83 | Reference | Reference | ||
| L-TyG/H-hsCRP | 5 (2.43) | 11.49 | 2.97 (0.86, 10.24) | 0.086 | 2.67 (0.77, 9.26) | 0.122 | |
| H-TyG/L-hsCRP | 56 (2.60) | 12.16 | 3.15 (1.26, 7.87) | 0.014 | 3.22 (1.28, 8.11) | 0.013 | |
| H-TyG/H-hsCRP | 52 (3.57) | 16.43 | 4.28 (1.71, 10.71) | 0.002 | 4.00 (1.58, 10.17) | 0.004 | |
| p for trend | 0.001 | 0.002 | |||||
| Any revascularization | L-TyG/L-hsCRP | 27 (4.49) | 21.11 | Reference | Reference | ||
| L-TyG/H-hsCRP | 11 (5.34) | 25.70 | 1.22 (0.61, 2.46) | 0.575 | 1.11 (0.55, 2.25) | 0.768 | |
| H-TyG/L-hsCRP | 140 (6.50) | 30.86 | 1.46 (0.97, 2.20) | 0.072 | 1.35 (0.89, 2.04) | 0.159 | |
| H-TyG/H-hsCRP | 104 (7.13) | 33.50 | 1.57 (1.03, 2.40) | 0.036 | 1.40 (0.91, 2.17) | 0.127 | |
| p for trend | 0.033 | 0.116 | |||||
Disclaimer/Publisher’s Note: The statements, opinions and data contained in all publications are solely those of the individual author(s) and contributor(s) and not of MDPI and/or the editor(s). MDPI and/or the editor(s) disclaim responsibility for any injury to people or property resulting from any ideas, methods, instructions or products referred to in the content. |
© 2023 by the authors. Licensee MDPI, Basel, Switzerland. This article is an open access article distributed under the terms and conditions of the Creative Commons Attribution (CC BY) license (https://creativecommons.org/licenses/by/4.0/).
Share and Cite
Li, T.; Wang, P.; Wang, X.; Liu, Z.; Zhang, Z.; Zhang, Y.; Wang, Z.; Feng, Y.; Wang, Q.; Guo, X.; et al. Inflammation and Insulin Resistance in Diabetic Chronic Coronary Syndrome Patients. Nutrients 2023, 15, 2808. https://doi.org/10.3390/nu15122808
Li T, Wang P, Wang X, Liu Z, Zhang Z, Zhang Y, Wang Z, Feng Y, Wang Q, Guo X, et al. Inflammation and Insulin Resistance in Diabetic Chronic Coronary Syndrome Patients. Nutrients. 2023; 15(12):2808. https://doi.org/10.3390/nu15122808
Chicago/Turabian StyleLi, Tianyu, Peizhi Wang, Xiaozeng Wang, Zhenyu Liu, Zheng Zhang, Yongzhen Zhang, Zhifang Wang, Yingqing Feng, Qingsheng Wang, Xiaogang Guo, and et al. 2023. "Inflammation and Insulin Resistance in Diabetic Chronic Coronary Syndrome Patients" Nutrients 15, no. 12: 2808. https://doi.org/10.3390/nu15122808
APA StyleLi, T., Wang, P., Wang, X., Liu, Z., Zhang, Z., Zhang, Y., Wang, Z., Feng, Y., Wang, Q., Guo, X., Tang, X., Xu, J., Song, Y., Chen, Y., Xu, N., Yao, Y., Liu, R., Zhu, P., Han, Y., & Yuan, J. (2023). Inflammation and Insulin Resistance in Diabetic Chronic Coronary Syndrome Patients. Nutrients, 15(12), 2808. https://doi.org/10.3390/nu15122808

