Comparative Assessment of the Nutritional Profile of Meat Products and Their Plant-Based Analogues
Abstract
1. Introduction
2. Materials and Methods
2.1. Data Collection
2.2. Statistical Analysis
3. Results and Discussion
3.1. Comparative Analysis of the Nutritional Profile of Plant-Based Meat Analogues and Their Meat Equivalents
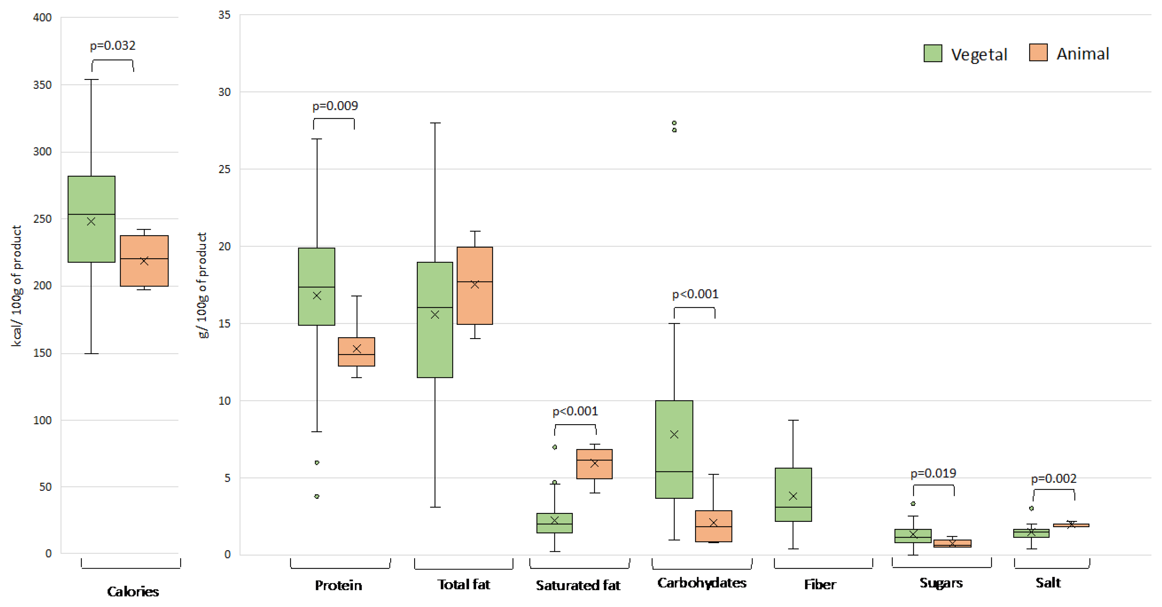
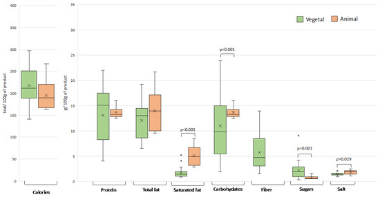
3.1.1. Burgers

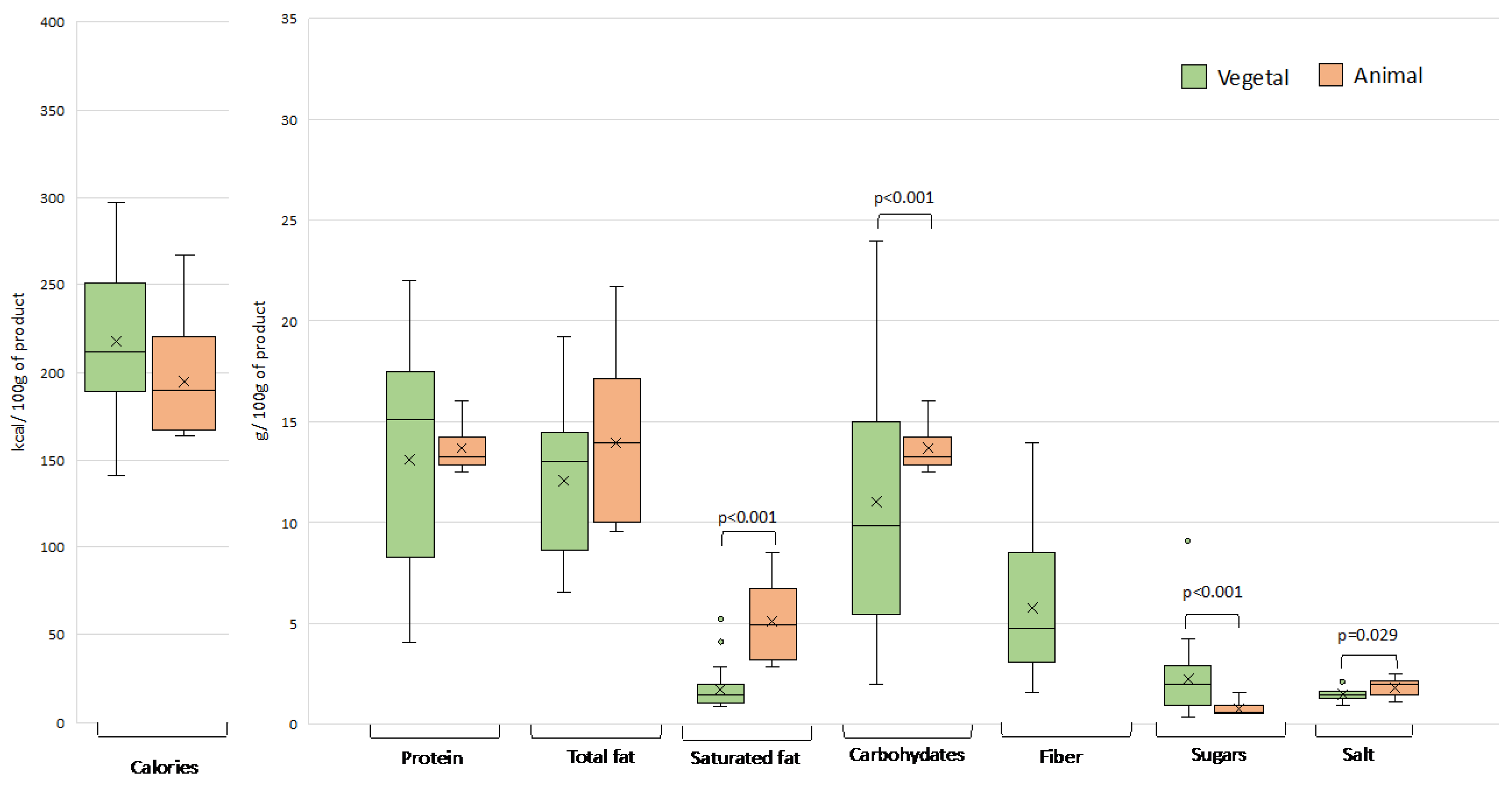
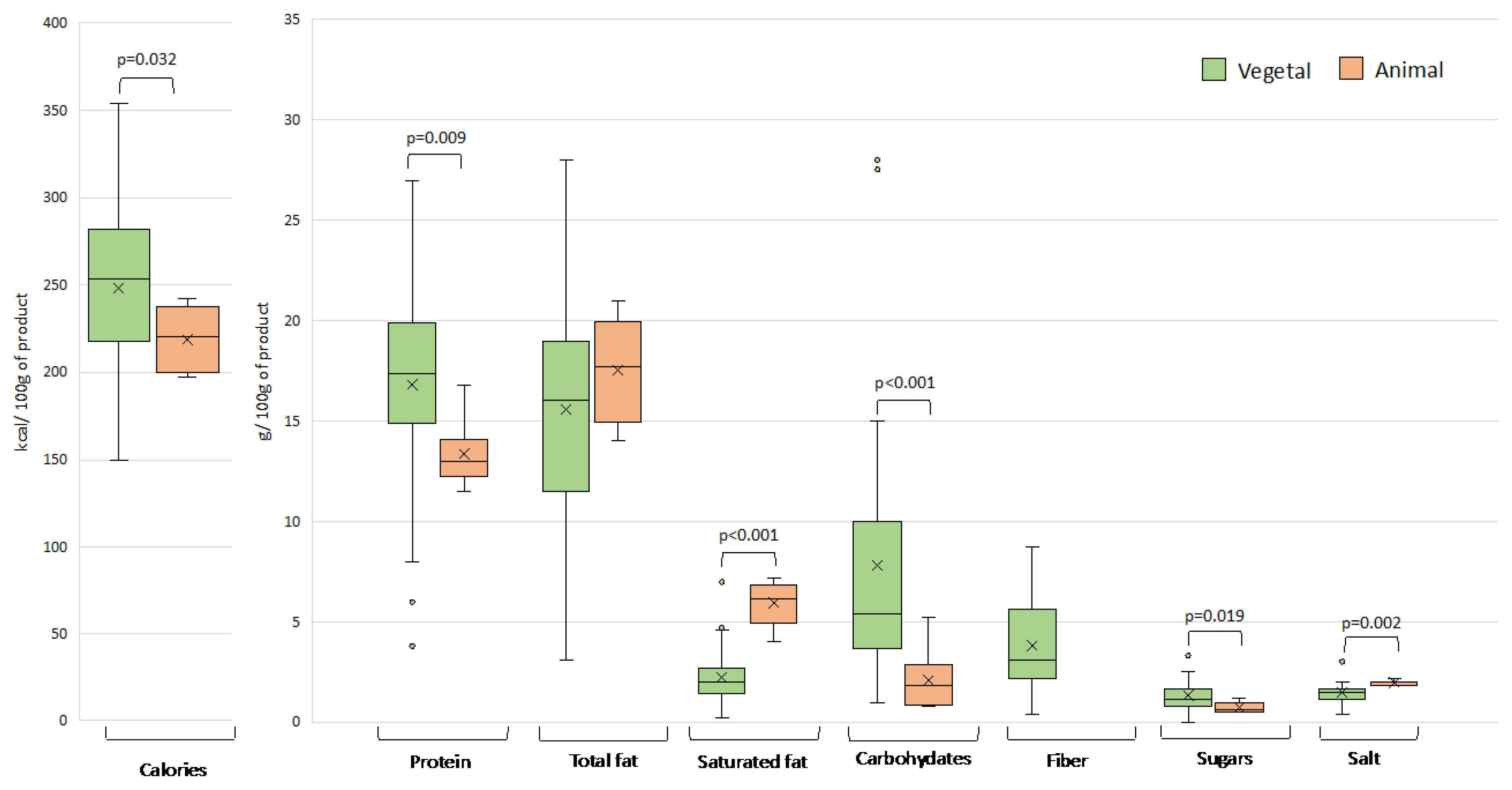
3.1.2. Sausages

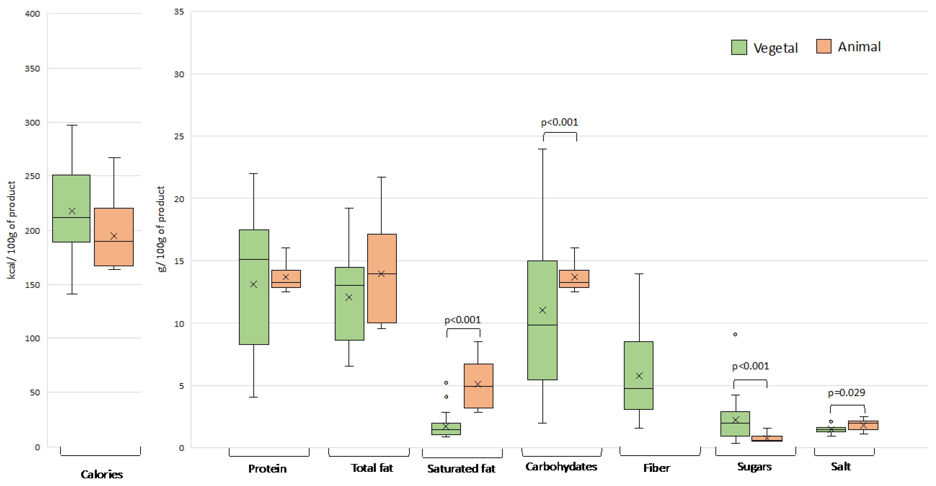
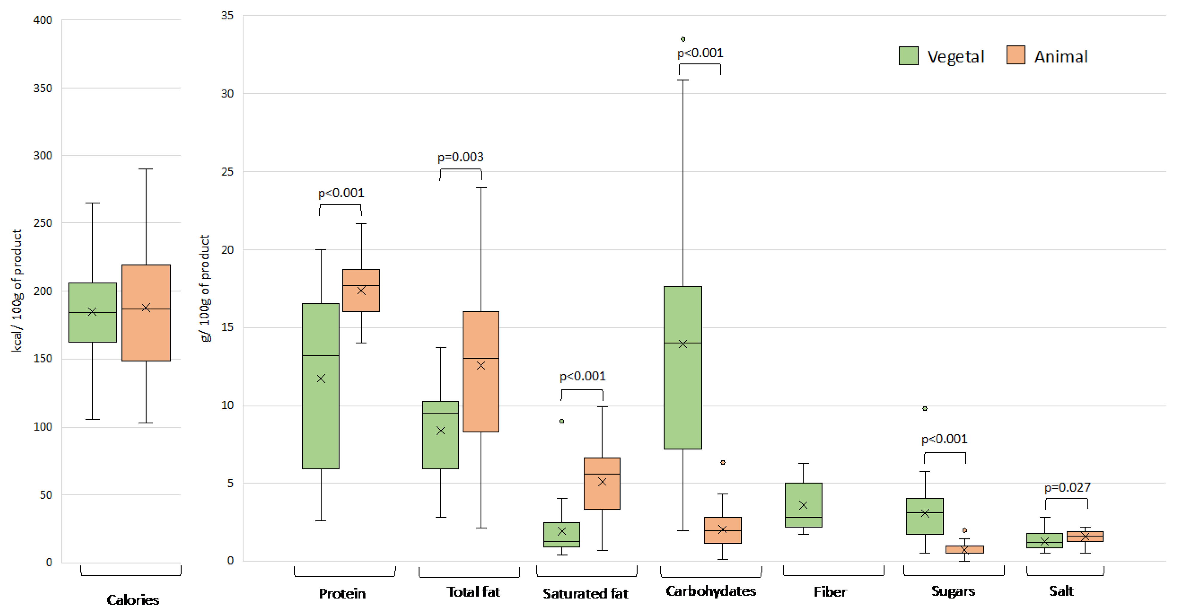
3.1.3. Meatballs

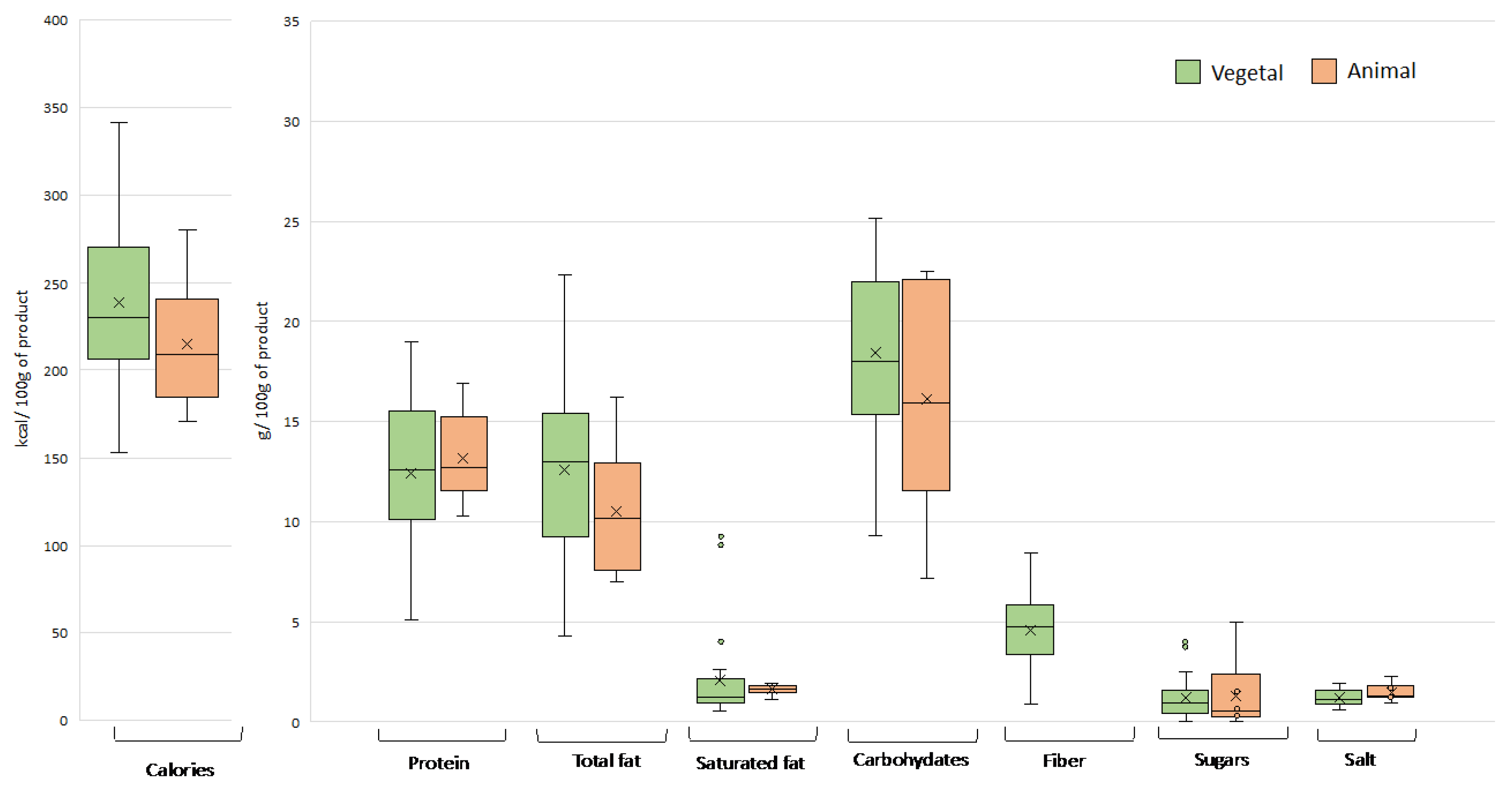
3.1.4. Nuggets

3.2. Other Information on the Labels of Plant-Based Meat Analogues
4. Conclusions
Supplementary Materials
Author Contributions
Funding
Acknowledgments
Conflicts of Interest
References
- Lantern, Consulter. “The Green Revolution”. Understanding the ‘Veggie’ Boom; Lantern: Madrid, Spain, 2019. [Google Scholar]
- Lantern, Consulter. “The Green Revolution”. Mucho Más Que una Tendencia; Lantern: Madrid, Spain, 2021. [Google Scholar]
- Singh, M.; Trivedi, N.; Enamala, M.K.; Kuppam, C.; Parikh, P.; Nikolova, M.P.; Chavali, M. Plant-based meat analogue (PBMA) as a sustainable food: A concise review. Eur. Food Res. Technol. 2021, 247, 2499–2526. [Google Scholar] [CrossRef]
- Kyriakopoulou, K.; Dekkers, B.; Goot, A.J. Plant-Based Meat Analogues. In Sustainable Meat Production and Processing; Galanakis, C.G., Ed.; Academic Press: Cambridge, MA, USA, 2019; pp. 103–126. [Google Scholar]
- ProVeg. Alimentos de Origen Vegetal en España. Conocimiento del Mercado y del Consumidor. Basado en la Investigación del Proyecto Smart Protein, un Programa de Investigación e Innovación Dentro de Horizonte 2020 de la Unión Europea (No. 862957). Available online: https://proveg.com/es/wp-content/uploads/sites/2/2022/07/Report-Plant-based-food-in-Spain.pdf (accessed on 20 April 2023).
- Song, M.; Fung, T.T.; Hu, F.B.; Willett, W.C.; Longo, V.D.; Chan, A.T.; Giovannuccii, E.L. Association of Animal and Plant Protein Intake with All-Cause and Cause-Specific Mortality. JAMA Intern. Med. 2016, 176, 1453–1463. [Google Scholar] [CrossRef]
- Curtain, F.; Grafenauer, S. Plant-Based Meat Substitutes in the Flexitarian Age: An Audit of Products on Supermarket Shelves. Nutrients 2019, 11, 2603. [Google Scholar] [CrossRef]
- Fresán, U.; Mejia, M.A.; Craig, W.J.; Jaceldo-Siegl, K.; Sabaté, J. Meat Analogs from Different Protein Sources: A Comparison of Their Sustainability and Nutritional Content. Sustainability 2019, 11, 3231. [Google Scholar] [CrossRef]
- Harnack, L.; Mork, S.; Valluri, S.; Weber, C.; Schmitz, K.; Stevenson, J.; Pettit, J. Nutrient Composition of a Selection of Plant-Based Ground Beef Alternative Products Available in the United States. J. Acad. Nutr. Diet. 2021, 121, 2401–2408. [Google Scholar] [CrossRef] [PubMed]
- Cole, E.; Goeler-Slough, N.; Cox, A.; Nolden, A. Examination of the nutritional composition of alternative beef burgers available in the United States. Int. J. Food Sci. Nutr. 2022, 73, 425–432. [Google Scholar] [CrossRef] [PubMed]
- Gómez Ramirez, B.D.; Echeverri Osorio, M.C.; Rojas Pinilla, A.M. Evaluación de etiquetas de alimentos dirigidos a población vegetariana en Colombia. Rev. Esp. Nutr. Hum. Diet. 2021, 25, 403–418. [Google Scholar] [CrossRef]
- Boukid, F.; Castellari, M. Veggie burgers in the EU market: A nutritional challenge? Eur. Food Res. Technol. 2021, 247, 2445–2453. [Google Scholar] [CrossRef] [PubMed]
- De Marchi, M.; Costa, A.; Pozza, M.; Goi, A.; Manuelian, C.L. Detailed characterization of plant-based burgers. Sci. Rep. 2021, 11, 2049. [Google Scholar] [CrossRef]
- Tonheim, L.E.; Austad, E.; Torheim, L.E.; Henjum, S. Plant-based meat and dairy substitutes on the Norwegian market: Comparing macronutrient content in substitutes with equivalent meat and dairy prod ducts. J. Nutr. Sci. 2022, 11, e9. [Google Scholar] [CrossRef]
- Bryngelsson, S.; Moshtaghian, H.; Bianchi, M.; Hallström, E. Nutritional assessment of plant-based meat analogues on the Swedish market. Int. J. Food Sci. Nutr. 2022, 73, 889–901. [Google Scholar] [CrossRef]
- Alessandrini, R.; Brown, M.K.; Pombo-Rodrigues, S.; Bhageerutty, S.; He, F.J.; MacGregor, G.A. Nutritional Quality of Plant-Based Meat Products Available in the UK: A Cross-Sectional Survey. Nutrients 2021, 13, 4225. [Google Scholar] [CrossRef]
- Babio, N.; Dragusan, L.N.; De la Heras, S.; Blanquer, M. Veggie Base. In Tabla de Composición de Productos y Alternativas Vegetales; URV: Tarragona, Spain, 2022; Volume 15. [Google Scholar]
- Monteiro, C.; Cannon, G.; Levy, R.B.; Moubarac, J.-C.; Jaime, P.; Martins, A.P.; Canella, D.; Louzada, M.L.; Parra, D. NOVA. The star shines bright (Food classification. Public health). World Nutr. 2016, 7, 28–38. [Google Scholar]
- Monteiro, C.A.; Cannon, G.; Lawrence, M.; Laura Da Costa Louzada, M.; Machado, P.P. Ultra-Processed Foods, Diet Quality, and Health Using the NOVA Classification System; Food and Agriculture Organization of the United Nations: Rome, Italy, 2019; Volume 48, Available online: https://www.fao.org/3/ca5644en/ca5644en.pdf (accessed on 9 February 2023).
- Geerts, M.E.; Dekkers, B.L.; van der Padt, A.; van der Goot, A.J. Aqueous fractionation processes of soy protein for fibrous structure formation. Innov. Food Sci. Emerg. Technol. 2018, 45, 313–319. [Google Scholar] [CrossRef]
- Chiang, J.H.; Loveday, S.M.; Hardacre, A.K.; Parker, M.E. Effects of soy protein to weat gluten ratio on the physicochemical propierties of extruded meat analogues. Food Struct. 2019, 19, 100102. [Google Scholar] [CrossRef]
- Baune, M.C.; Terjung, N.; Tülbek, M.Ç.; Boukid, F. Textured vegetable proteins (TVP): Future foods standing on their merits as meat alternatives. Future Foods 2022, 6, 100181. [Google Scholar] [CrossRef]
- Fiorentini, M.; Kinchla, A.J.; Nolden, A.A. Role of sensory evaluation in consumer acceptance of plant-based meat analogs and meat extenders: A scoping review. Foods 2020, 9, 1334. [Google Scholar] [CrossRef] [PubMed]
- Moss, R.; LeBlanc, J.; Gorman, M.; Ritchie, C.; Duizer, L.; Mc Sweeney, M.B. A prospective review of the sensory properties of plant-based dairy and meat alternatives with focus on texture. Foods 2023, 12, 1709. [Google Scholar] [CrossRef] [PubMed]
- Profeta, A.; Baune, M.C.; Smetana, S.; Broucke, K.; Van Royen, G.; Weiss, J.; Heinz, V.; Terjung, N. Discrete choice analysis of consumer preferences for meathybrids-finding from Germany and Belgium. Foods 2021, 10, 71. [Google Scholar] [CrossRef] [PubMed]
- Szenderák, J.; Fróna, D.; Rákos, M. Consumer acceptance of plant-based meat substitutes: A narrative review. Foods 2022, 11, 1274. [Google Scholar] [CrossRef] [PubMed]
- Wen, Y.; Chao, C.; Che, Q.T.; Kim, H.W.; Park, H.J. Development of plant-based meat analogs using 3D printing: Status and opportunities. Trends Food Sci. Technol. 2023, 132, 76–92. [Google Scholar] [CrossRef]
- Kumar, S.; Kumar, V.; Sharma, R.; Paul, A.A.; Suthar, P.; Saini, R. Plant proteins as healthy, sustainable and integrative meat alternates. In Veganism—A Fashion Trend or Food as a Medicine; IntechOpen: London, UK, 2020; Available online: https://www.intechopen.com/chapters/74234 (accessed on 20 April 2023).
- Onopiuk, A.; Kołodziejczak, K.; Szpicer, A.; Marcinkowska-Lesiak, M.; Wojtasik-Kalinowska, I.; Stelmasiak, A.; Poltorak, A. The Effect of Partial Substitution of Beef Tallow on Selected Physicochemical Properties, Fatty Acid Profile and PAH Content of Grilled Beef Burgers. Foods 2022, 11, 1986. [Google Scholar] [CrossRef] [PubMed]
- He, J.; Evans, N.M.; Liu, H.; Shao, S. A review of research on plant-based meat alternatives: Driving forces, history, manufacturing, and consumer attitudes. Compr. Rev. Food Sci. Food Saf. 2020, 19, 2639–2656. [Google Scholar] [CrossRef] [PubMed]
- Salomé, M.; Mariotti, F.; Dussiot, A.; Kesse-Guyot, E.; Huneau, J.F.; Fouillet, H. Plant-based meat substitutes are useful for healthier dietary patterns when adequately formulated—An optimization study in French adults (INCA3). Eur. J. Nutr. 2023, 62, 1891–1901. [Google Scholar] [CrossRef]


| Burgers | Sausages | Meatballs | Nuggets | |||||
|---|---|---|---|---|---|---|---|---|
| Plant-Based | Animal | Plant-Based | Animal | Plant-Based | Animal | Plant-Based | Animal | |
| Mean | 13.4 | 9.67 | 12.8 | 11.5 | 16 | 12.4 | 16 | 17.4 |
| Range | 9–22 | 6–14 | 7–15 | 10–14 | 8–24 | 10–16 | 10–29 | 14–23 |
| Burgers | Sausages | Meatballs | Nuggets | |||||
|---|---|---|---|---|---|---|---|---|
| Plant-Based | Animal | Plant-Based | Animal | Plant-Based | Animal | Plant-Based | Animal | |
| Mean | 19.9 | 12.2 | 20.5 | 7.1 | 19.0 | 10.2 | 20.8 | 9.5 |
| Range | 9.9–31.3 | 6.5–23.2 | 9.3–31.6 | 2.4–21.1 | 13.1–24.0 | 5.4–15.9 | 10.0–31.9 | 4.4–19.8 |
Disclaimer/Publisher’s Note: The statements, opinions and data contained in all publications are solely those of the individual author(s) and contributor(s) and not of MDPI and/or the editor(s). MDPI and/or the editor(s) disclaim responsibility for any injury to people or property resulting from any ideas, methods, instructions or products referred to in the content. |
© 2023 by the authors. Licensee MDPI, Basel, Switzerland. This article is an open access article distributed under the terms and conditions of the Creative Commons Attribution (CC BY) license (https://creativecommons.org/licenses/by/4.0/).
Share and Cite
Costa-Catala, J.; Toro-Funes, N.; Comas-Basté, O.; Hernández-Macias, S.; Sánchez-Pérez, S.; Latorre-Moratalla, M.L.; Veciana-Nogués, M.T.; Castell-Garralda, V.; Vidal-Carou, M.C. Comparative Assessment of the Nutritional Profile of Meat Products and Their Plant-Based Analogues. Nutrients 2023, 15, 2807. https://doi.org/10.3390/nu15122807
Costa-Catala J, Toro-Funes N, Comas-Basté O, Hernández-Macias S, Sánchez-Pérez S, Latorre-Moratalla ML, Veciana-Nogués MT, Castell-Garralda V, Vidal-Carou MC. Comparative Assessment of the Nutritional Profile of Meat Products and Their Plant-Based Analogues. Nutrients. 2023; 15(12):2807. https://doi.org/10.3390/nu15122807
Chicago/Turabian StyleCosta-Catala, Judit, Natalia Toro-Funes, Oriol Comas-Basté, Salvador Hernández-Macias, Sònia Sánchez-Pérez, M. Luz Latorre-Moratalla, M. Teresa Veciana-Nogués, Victòria Castell-Garralda, and M. Carmen Vidal-Carou. 2023. "Comparative Assessment of the Nutritional Profile of Meat Products and Their Plant-Based Analogues" Nutrients 15, no. 12: 2807. https://doi.org/10.3390/nu15122807
APA StyleCosta-Catala, J., Toro-Funes, N., Comas-Basté, O., Hernández-Macias, S., Sánchez-Pérez, S., Latorre-Moratalla, M. L., Veciana-Nogués, M. T., Castell-Garralda, V., & Vidal-Carou, M. C. (2023). Comparative Assessment of the Nutritional Profile of Meat Products and Their Plant-Based Analogues. Nutrients, 15(12), 2807. https://doi.org/10.3390/nu15122807

