Abstract
In farm animals, intestinal diseases caused by Salmonella spp. and Escherichia coli may lead to significant economic loss. In the past few decades, the swine industry has largely relied on the prophylactic use of antibiotics to control gastrointestinal diseases. The development of antibiotic resistance has become an important issue both in animal and human health. The use of antibiotics for prophylactic purposes has been banned, moreover the new EU regulations further restrict the application of antibiotics in veterinary use. The swine industry seeks alternatives that are capable of maintaining the health of the gastrointestinal tract. Probiotics offer a promising alternative; however, their mode of action is not fully understood. In our experiments, porcine intestinal epithelial cells (IPEC-J2 cells) were challenged by Salmonella Typhimurium or Escherichia coli and we aimed at determining the effect of pre-, co-, and post-treatment with Enterococcus faecium NCIMB 10415 on the internal redox state, paracellular permeability, IL-6 and IL-8 secretion of IPEC-J2 cells. Moreover, the adhesion inhibition effect was also investigated. Enterococcus faecium was able to reduce oxidative stress and paracellular permeability of IPEC-J2 cells and could inhibit the adhesion of Salmonella Typhimurium and Escherichia coli. Based on our results, Enterococcus faecium is a promising candidate to maintain the health of the gastrointestinal tract.
1. Introduction
Intestinal diseases caused by Escherichia coli (E. coli) and Salmonella spp. may lead to significant economic loss in food-producing animals and may also pose a threat to human health as (1) both bacteria are zoonotic, (2) they may contaminate pork products in the food chain, and (3) they may develop resistance to antibiotics, thus contributing to the transmission of antimicrobial resistance [1,2,3].
To control gastrointestinal diseases, the swine industry has largely relied on the prophylactic use of antibiotics. Due to the growing concern about antibiotic resistance, the use of antibiotics as growth promoters were banned in the European Union in 2006. The new EU regulation (2019/6 of the European Parliament and of the Council of 11 December 2018 on veterinary medicinal products and repealing Directive 2001/82/EC) has come into force on 28 January 2022, further restricting the application of antibiotics in veterinary use [4]. However, according to the One Health concept, antimicrobial resistance is not only a concern for the veterinary sector, but it also affects humans and the natural environment that animals and humans share [5]. Any option that can reduce the spread of resistance is crucial for human health so that antibiotic treatment can remain effective. Finding alternatives capable of maintaining the health of the gastrointestinal tract without the use of antibiotics is not only pivotal for the swine industry, but also for human health [1]. Phytochemicals, pre- and probiotics, organic acids, enzymes, antimicrobial peptides, anti-bacterial virulence drugs, minerals and bacteriophages are nowadays being considered alternatives to antibiotics [6].
The gastrointestinal tract is the main source of reactive oxygen species and is constantly exposed to the luminal environment. If the barrier function is disrupted (due to weaning, changes in the diet/energy balance, immune response) the intestine becomes more vulnerable to oxidative stress, and numerous disorders can develop. Pathogens activate through multiple ways the secretion of proinflammatory cytokines, thus conferring also to oxidative stress [7,8,9,10,11].
Probiotics are “live microorganisms which when administered in adequate amounts confer a health benefit on the host” and can exert their beneficial effect in multiple ways [12,13]. Furthermore, modulation of the immune system of the host, a direct effect on the microbiome and the release of microbial products are the most common modes of action [14]. Pre-treatment with probiotic bacteria has the potential to reduce cell death and cell dissociation and retain structural integrity when exposed to invading pathogens [15]. Probiotics modulate heat shock proteins and cytokines, both involved in diverse regulatory pathways [3]. Some probiotic bacteria show antioxidant properties; however, the antioxidant mechanism of probiotics seems to be very complex, and it varies among species. Lactobacillus strains, for example, induce antioxidative enzymes [10]. The probiotic strain, Lactobacillus reuteri I5007, has been shown to enhance barrier function through the induction of the abundance of TJ proteins in newborn piglets [7]. Studies revealed that probiotics may also have an inhibitory effect on pathogen adhesion. Lactobacillus plantarum ZLP001 and Lactobacillus reuteri LR1 inhibited enterotoxigenic E. coli (ETEC) adhesion to intestinal mucosa [16,17]. However, the exact mechanism of probiotic action is still unknown.
Most probiotic bacteria are of intestinal origin and belong to a group of lactic acid-producing bacteria, e.g., Bifidobacteria, Lactobacilli and Enterococci [3]. On the one hand, Enterococci are widely used as probiotics to enhance the microbial balance of the intestine but on the other hand, Enterococci are nosocomial pathogens causing bacteraemia, endocarditis, urinary tract and other infections and the multi-drug resistance of Enterococci raises serious concerns [18,19]. The beneficial effect of Enterococcus faecium (E. faecium) NCIMB 10415 on the immune system and on growth promotions was proved by in vitro [20,21] and in vivo [22,23] experiments. Enterococcus faecium HDRsEf1 (Ef1) demonstrated the potential to protect enterocytes from an acute inflammatory response and to strengthen the intestinal barrier against ETEC [24]. Supplementing mice with Enterococcus faecium KH 24 strain resulted in beneficial effects, such as better weight gain, a decrease in Salmonella enteritidis and coliform colonization, and an increase in Lactobacilli growth [25]. Enterococcus faecium NCIMB 10415 is licensed as a feed additive and is currently in use in farm animals, including sows and piglets. It is also beneficial in reducing diarrhea by enhancing the barrier function [3,20].
The IPEC-J2 cell line is a well-characterized, non-carcinogenic cell line originating from the jejunum of piglets [26,27]. Due to the similarities between the pig and human intestine, the IPEC-J2 cell line is not only important for mimicking the GIT of swine but conclusions can also be made for humans [27]. It is a widely used tool for studying the effects of probiotic applications [20,24,28] and other substances (for example proantocyanidines and wheat germ extract) [1,29].
The aim of this study was to examine the potential beneficial effects of E. faecium NCIMB 10415 upon pathological challenge induced by two representatives of GI infection-causing agents, E. coli or Salmonella enterica ser. Typhimurium (S. Typhimurium). We hypothesize that pre-, co-, and post-treatment with Enterococcus faecium NCIMB 10415 may be beneficial to the intracellular redox state, paracellular permeability, IL-6 and IL-8 secretion of IPEC-J2 cells, and affects adhesion properties of E. coli or S. Typhimurium, respectively. Our results serve to address and deepen our understanding of probiotic action on intestinal porcine epithelial cells and serve as a basis for both human and swine in vivo research and application.
2. Materials and Methods
2.1. Bacterial Culture
The following bacterial strains were used for our experiments: (1) the probiotic strain Enterococcus faecium NCIMB 10415 was acquired from the Hungarian Dairy Experimental Institute Ltd., (2) E. coli and (3) Salmonella Typhimurium originated from GI infections in pigs. The E. coli strain was isolated in 2019 from a clinical sample in Hungary. It expresses F4 fimbriae and produces both heat-stable (STa and STb) and heat-labile (LT) enterotoxins. The S. Typhimurium isolate was also obtained from a Hungarian clinical sample (in 2009). All three bacterial strains were preserved on microbank beads at −80 °C.
Cell suspensions were prepared by suspending microbeads in plain DMEM/F12 (without supplementation). Incubation was performed for 18–24 h at 37 °C in the presence of 5% CO2/95% air atmosphere in order to mimic the culture conditions of IPEC-J2 cells. In previous experiments, E. faecium, E. coli and S. Typhimurium were demonstrated to grow to 108 CFU/mL under these circumstances. For cell viability measurements, E. faecium suspension of 108, 106, 104 CFU/mL was used. In the pre-, co-, and post-treatment solutions, the applied concentration of E. faecium was 107 or 108 CFU/mL and the concentration of E. coli and S. Typhimurium was 108 CFU/mL. All bacterial suspensions were diluted from the stock solutions (E. faecium 108 CFU/mL, E. coli 106 CFU/mL, S Typhimurium 106 CFU/mL) using plain DMEM/F12 medium (free of antibiotics) as the dilution reagent.
2.2. Cell Line and Culture Conditions
The IPEC-J2 epithelial cell line was a kind gift from Dr. Jody Gookin’s Department of Clinical Sciences, College of Veterinary Medicine, North Carolina State University, Raleigh, NC, USA. The cells were grown and maintained in a complete medium consisting of 10 mL of Dulbecco’s Modified Eagle’s Medium and Ham’s F-12 Nutrient Mixture (DMEM/F12) in a 1:1 ratio. This was supplemented with 5% fetal bovine serum (FBS), 5 μg/mL insulin, 5 μg/mL transferrin, 5 ng/mL selenium, 5 ng/mL epidermal growth factor (EGF) and 1% penicillin-streptomycin (Biocenter Ltd., Szeged, Hungary). Cells were cultured at 37 °C in a humidified atmosphere of 5% CO2 [26]. Cells with passage numbers 49–52 were used for our experiments. For cell viability determination with the Neutral Red Uptake (NRU) method, cells were cultured onto a 96-well plate (Costar Corning Inc., Corning, NY, USA). For IL-6, IL-8 and intracellular ROS determination, cells were grown on 6-well culture plates (Costar Corning Inc., Corning, NY, USA). For adhesion inhibition, assays cells were seeded onto 24-well cell culture plates (Costar Corning Inc., Corning, NY, USA). For the measurement of paracellular permeability, cells were cultured on 12-well polyester membrane cell culture inserts (Costar Corning Inc., Corning, NY, USA). In each case, cells were cultured until confluency was reached.
In order to remove the remaining antibiotics before starting the treatment of IPEC-J2 cells with the different treatment solutions (described in Section 2.1) IPEC-J2 cells were washed twice with PBS then DMEM/F12 without antibiotics was added to each well, and cells were incubated for 30 min at 37 °C.
2.3. Neutral Red Uptake Assay for Cell Viability
The influence of different E. faecium bacterial suspension concentrations and different incubation periods on the viability of IPEC-J2 cells were tested with the neutral red uptake method based on the description of Repetto et al. [30]. E. faecium suspensions of different concentrations were prepared as described above. IPEC-J2 cells were seeded onto a 96-well plate and incubated with E. faecium suspensions of different concentrations (108, 106, 104 CFU/mL) for 1, 2, 4 and 24 h, respectively (37 °C, 5% CO2). Treatment with plain medium for 1 h was used as a control in the experiment. The viability of IPEC-J2 cells was measured after 24 h. Absorbance was detected with a Spectramax iD3 instrument (Molecular Devices, San Jose, CA, USA) at a wavelength of 540 nm.
The influence of E. coli and S. Typhimurium suspensions applied in different concentrations and for different incubation periods was tested by our research group previously [27].
2.4. Experimental Setup
For our DCFH-DA, ELISA, FD4, adhesion assay experiments, IPEC-J2 cells were incubated for 1 h with the pathogen strain E. coli or S. Typhimurium, respectively. Control cells received plain DMEM/F12 medium. As a positive control, IPEC-J2 cells were mono-incubated with only E. coli (106 CFU/mL) or S. Typhimurium (106 CFU/mL), respectively. For pre-treatment assays, cells were pre-incubated with E. faecium for 1 h before the addition of the pathogen strain. For co-treatment experiments, the pathogen strain (E. coli or S. Typhimurium) and E. faecium were added at the same time to IPEC-J2 cells. In our post-treatment assay, IPEC-J2 cells were incubated with E. faecium for 1 h after the treatment with the pathogen strains (E. coli or S. Typhimurium). Bacterial infections were performed with E. coli or S. Typhimurium at a concentration of 106 CFU/mL. The applied tolerable pathogen concentration was based on our previous investigations [1]. E. faecium suspensions were applied either in a 107 or 108 CFU/ ml concentration, based on our cell viability experimental results. IPEC-J2 cells were also mono-incubated with E. faecium 108 and 107 CFU/mL. If further incubation was needed after the treatments, cells were washed with PBS and DMEM/F12 supplemented with antibiotics. Moreover, 1% penicillin-streptomycin was added to prevent the growth of bacteria. The applied treatment solutions in our experiments are summarized in Table 1, and Figure 1 shows the timeline of our experimental setup.
Table 1.
Applied treatment types in the co-culture experiments.
Figure 1.
Timeline for experimental setup.
2.5. Determination of the Intracellular Redox Status of IPEC-J2 Cells
To evaluate the effect of E. faecium on the intracellular redox state of IPEC-J2 cells, the DCFH-DA method was used. IPEC-J2 cells were challenged by E. coli or S. Typhimurium, respectively. E. faecium was added at either 108 CFU/mL or 107 CFU/mL 1 h before (pre-treatment), at the same time (co-treatment) or 1 h after (post-treatment) the indicator E. coli (108 CFU/mL) or S. Typhimurium (108 CFU/mL) strain was added. Moreover, the effect of E. faecium alone (applied in 108 CFU/mL or 107 CFU/mL) on the amount of intracellular reactive oxygen species were tested. As a negative control, cells treated with plain medium were used. Cells treated with either E. coli or S. Typhimurium served as positive controls. After the treatment, the treatment solutions were discarded and plain medium containing 1% penicillin-streptomycin was added.
Intracellular ROS was measured using 2′, 7′-dichloro-dihydro-fluorescein diacetate (DCFH-DA) dye (Sigma-Aldrich, Budapest, Hungary). DCFH-DA is oxidized to the highly fluorescent form dichloro- fluorescein (DCF) by the intracellular ROS [31]. With this method, the overall oxidative stress is measured in cells, since various free radicals are capable of oxidizing the DCFH-DA.
For the detection, the cells were washed with PBS after 24 h, and DCFH-DA (Sigma-Aldrich, Darmstadt, Germany) reagent (40 mM) was added to the cells. After one hour, the reagent was removed. The cells were then washed twice with phenol-free plain DMEM/F12 (2 mL). Afterward, the cells were scraped and lysed. The lysed cells were then pipetted into an Eppendorf tube and centrifuged for 10 min at 4 °C at 4500 rpm. An amount of 100 μL of supernatant from each sample was added to a 96-well plate. The Spectramax iD3 instrument was used to measure the fluorescence at an excitation wavelength of 480 nm and an emission wavelength of 530 nm.
2.6. IL-6 and IL-8 Determination with ELISA
For the ELISA experiments, cells were seeded onto 6-well culture plates and pre-, co-, and post-treatments were performed as described in the experimental setup section. After the removal of the treatments solutions, IPEC-J2 cells were incubated with a cell culture medium and cell supernatants were collected after 6 h. IL-6 and IL-8 secretion were determined by porcine-specific ELISA kits (Sigma-Aldrich, Darmstadt, Germany) according to the manufacturer’s instructions.
2.7. Paracellular Permeability Measurements/Assay
The effect of E. faecium and E. coli or S. Typhimurium on the paracellular permeability of IPEC-J2 cells was evaluated with tracer dye FD4 (Sigma-Aldrich, Darmstadt, Germany). Cells were seeded onto 12-well membrane inserts. Prior to treatments, TEER values were measured to check the development of a differentiated confluent monolayer. Mono-, pre-, co-, and post-treatments were performed as described in the section’s experimental setup. After treatment, the cells were washed with PBS and FD4 (dissolved in phenol-free DMEM/F12 medium) at a final concentration of 0.25 mg/mL was added to the apical layer cells. To the basolateral chamber, phenol-free DMEM/F12 medium was added. Cells were incubated at 37 °C (5% CO2). Samples of 100 μL were taken from the basolateral chamber after 24 h. The fluorescent signal was measured with a Spectramax iD3 instrument using 485 nm excitation and a 535 nm emission wavelength.
2.8. Adhesion Inhibition Assay
In order to evaluate the inhibitory effect of E. faecium on E. coli or S. Typhimurium adhesion to IPEC-J2 cells, E. faecium was added at 108 CFU/mL 1 h before (pre-treatment), at the same time (co-treatment) or 1 h after (post-treatment) the indicator E. coli or S. Typhimurium strain was added. As the control, cells treated with only E. coli or S. Typhimurium were used. IPEC-J2 cells were incubated for 1 h and then were washed to remove unbound bacteria. The lysis of cells was performed with 500 µL 0.1% Triton X-100 (Sigma-Aldrich, Darmstadt, Germany). Viable E. coli and S. Typhimurium counts were determined by serial dilution and plating on ChromoBio Coliform (for E. coli) or ChromoBio Salmonella Plus Base (for S. Typhimurium) agar. ChromoBio Coliform and ChromoBio Salmonella Plus Base selective agars were purchased from Biolab Zrt. (Budapest, Hungary). Adhesion was calculated as the control percentage. Adhering E. coli and S. Typhimurium was normalized to the control.
2.9. Statistical Analysis
Data were tested for normality of distribution and statistical analysis was performed with the R 4.0.4 software package. The data are given as mean values ± S.E.M (n) where n refers to the number of parallel measurements. Differences between means were evaluated by one-way analysis of variance (ANOVA) with a post hoc Tukey’s test when data were of normal distribution and homogeneity of variances was confirmed, or a Kruskal–Wallis nonparametric test. A p value of <0.05 was accepted to indicate statistical significance. The exact statistical comparisons are indicated in the text and in the appropriate figure legends.
3. Results
3.1. Cell Viability Assay
In order to determine the effect of E. faecium suspensions on the viability of IPEC-J2 cells, the neutral red uptake method was used. E. faecium suspensions of a 108 CFU/mL concentration significantly reduced the viability of IPEC-J2 cells when they were applied for 4 and 24 h (Figure 2). Any other treatment concentrations and treatment times did not cause any significant change in the viability of IPEC-J2 cells as compared to the control. The cytotoxic effect of E. coli and S. Typhimurium were previously tested, the optimal treatment concentrations were found to be 106 CFU/mL and the optimal treatment time was set to 1 h [1].
Figure 2.
Viability of IPEC-J2 cells after treatment with E. faecium NCIMB 10415 for different times. Control: plain cell culture medium treatment for 1 h; 1 h, Ef 10^4: treatment for 1 h with E. faecium suspension of 104 CFU/mL; 1 h, Ef 10^6: treatment for 1 h with E. faecium suspension of 106 CFU/mL; 1 h, Ef 10^8:treatment for 1 h with E. faecium suspension of 108 CFU/mL; 2 h, Ef 10^4:treatment for 2 h with E. faecium suspension of 104 CFU/mL; 2 h, Ef 10^6: treatment for 2 h with E. faecium suspension of 106 CFU/mL; 2 h, Ef 10^8: treatment for 2 h with E. faecium suspension of 108 CFU/mL; 4 h, Ef 10^4: treatment for 4 h with E. faecium suspension of 104 CFU/mL; 4 h, Ef 10^6: treatment for 4 h with E. faecium suspension of 106 CFU/mL; 4 h, Ef 10^8: treatment for 4 h with E. faecium suspension of 108 CFU/mL; 24 h, Ef 10^4: treatment for 24 h with E. faecium suspension of 104 CFU/mL; 24 h, Ef 10^6: treatment for 24 h with E. faecium suspension of 106 CFU/mL; 24 h, Ef 10^8: treatment for 24 h with E. faecium suspension of 108 CFU/mL. Data are shown as means with standard deviations, n = 6/group. * Indicates significant differences (p ≤ 0.05) compared to the control.
3.2. Effect of Enterococcus faecium on the Intracellular Redox State of IPEC-J2 Cells Challenged by Salmonella Typhimurium and Escherichia coli
In order to characterize the intracellular redox state of the IPEC-J2 cells, the DCFH-DA method was used. Treatment with S. Typhimurium caused an increase in the fluorescence compared to the control (Figure 3). All three treatment combinations (i.e., pre-treatment, co-treatment and post-treatment with S. Typhimurium and E. faecium in two different concentrations) resulted in a decreased amount of ROS. When IPEC-J2 cells were treated with only E. faecium 108 CFU/mL and 107 CFU/mL, a decrease in fluorescence could be observed compared to the control.
Figure 3.
Amount of intracellular ROS after treatment with S. Typhimurium and E. faecium and their combinations. E. faecium was added 1 h before (pre-treatment), at the same time (co-treatment) or after (post-treatment) the addition of S. Typhimurium. E. faecium was added in 108 CFU/mL or in 107 CFU/mL concentration. Control: plain cell culture medium treatment; St: S. Typhimurium 106 CFU/mL; Ef 10^8: E. faecium 108 CFU/mL; Ef 10^7: E. faecium 107 CFU/mL; Ef 10^8 PRE: pre-treatment with E. faecium 108 CFU/mL + S. Typhimurium 106 CFU/mL; Ef 10^7 PRE: pre-treatment with E. faecium 107 CFU/mL + S. Typhimurium 106 CFU/mL; Ef 10^8 CO: co-treatment with E. faecium 108 CFU/mL + S. Typhimurium 106 CFU/mL; Ef 10^7 CO: co-treatment with E. faecium 107 CFU/mL + S. Typhimurium 106 CFU/mL; Ef 10^8 POST: post-treatment with E. faecium 108 CFU/mL + S. Typhimurium 106 CFU/mL; Ef 10^7 POST: post-treatment with E. faecium 107 CFU/mL + S. Typhimurium 106 CFU/mL. Data are shown as means with standard deviations, n = 6/group. ** p ≤ 0.01; *** p ≤ 0.0001.
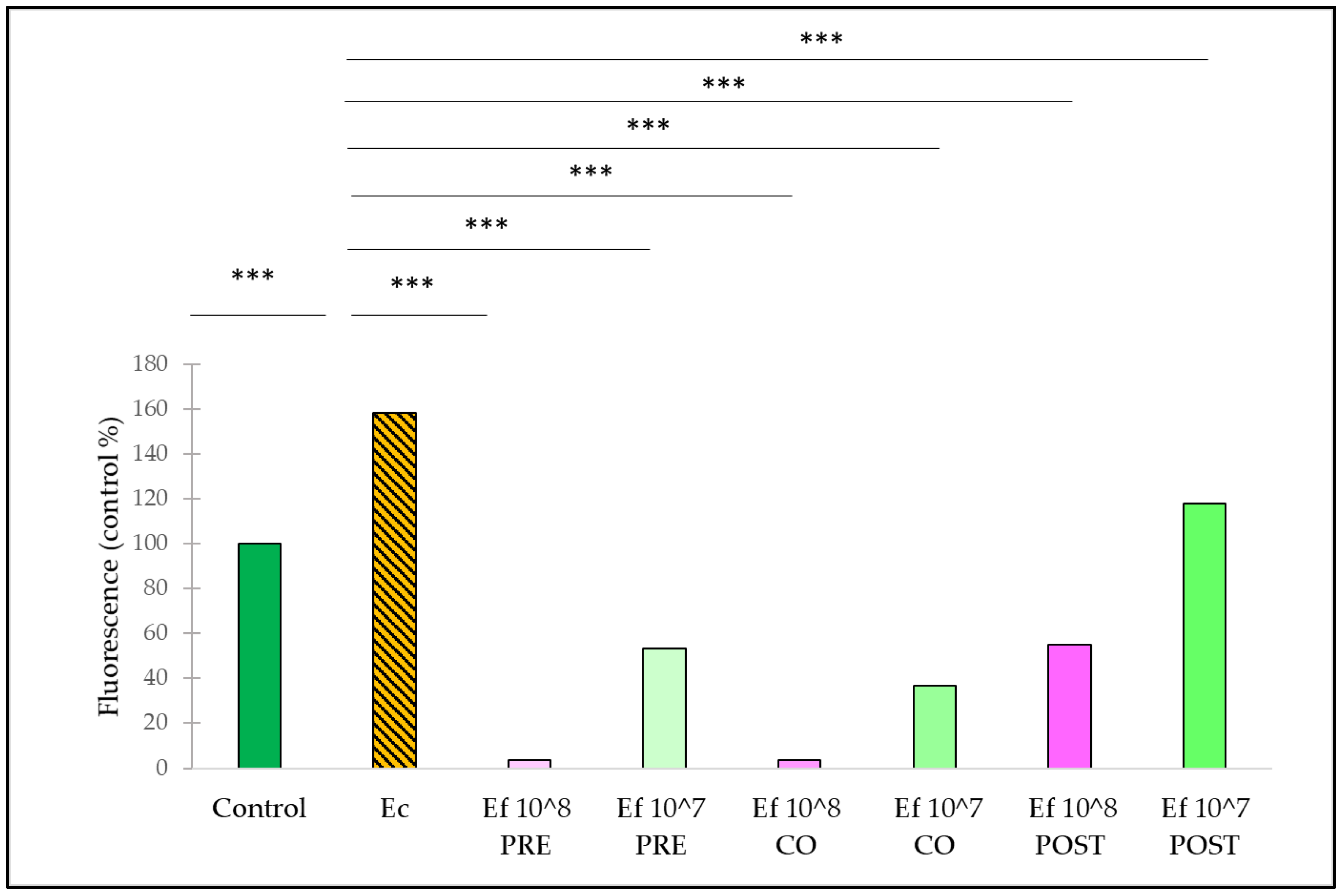
Treatment with E. coli caused an increase in the fluorescence compared to the control (Figure 4). The pre-treatment with E. faecium significantly reduced the amount of reactive oxygen species in the cells compared with samples only treated with E. coli. Both applied concentrations (108 CFU/mL and 107 CFU/mL) of E. faecium resulted in a significant decrease in reactive oxygen species. The same could be observed in the case of co-treatments and post-treatments.
Figure 4.
Amount of intracellular ROS after treatment with E. coli and E. faecium. E. faecium was added 1 h before (pre-treatment), at the same time (co-treatment) or after (post-treatment) the addition of E. coli. E. faecium was added in 108 CFU/mL or in 107 CFU/mL concentration. Control: plain cell culture medium treatment; Ec: E. coli 106 CFU/mL; Ef 10^8 PRE: pre-treatment with E faecium 108 CFU/mL + E. coli 106 CFU/mL; Ef 10^7 PRE: pre-treatment with E. faecium 107 CFU/mL + E. coli 106 CFU/mL; Ef 10^8 CO: co-treatment with E. faecium 108 CFU/mL + E. coli 106 CFU/mL; Ef 10^7 CO: co-treatment with E. faecium 107 CFU/mL + E. coli 106 CFU/mL; Ef 10^8 POST: post-treatment with E. faecium 106 CFU/mL + E. coli 106 CFU/mL; Ef 10^7 POST: post-treatment with E. faecium 107 CFU/mL + E. coli 106 CFU/mL. Data are shown as means with standard deviations, n = 6/group. *** p ≤ 0.0001.
3.3. Effect of E. faecium on IL-6 and IL-8 Production of IPEC-J2 Cells Provoked by E. coli or S. Typhimurium
Infection of intestinal epithelial cells with S. Typhimurium significantly induced the secretion of IL-6 compared to the controls (i.e., non-infected cells) (Figure 5). In comparison, treatment with only the probiotic strain did not result in a significant change in IL-6 secretion, even if E. faecium was applied at a concentration of 108 CFU/mL or 107 CFU/mL. The pre-treatment with E. faecium 108 CFU/mL caused a significant decrease in IL-6 production as compared to the IL-6 secretion induced by S. Typhimurium. However, the co-treatment of S. Typhimurium and E. faecium at 108 CFU/mL did not alter the IL-6 secretion compared to the IL-6 secretion evoked by S. Typhimurium. The pre-treatment and the co-treatment with E. faecium 107 CFU/mL failed to significantly decrease IL-6 secretion compared to the IL-6 production induced by S. Typhimurium.
Figure 5.
Induction of IL-6 secretion of IPEC-J2 cells after stimulation with S. Typhimurium and E. faecium. E. faecium was added 1 h before (pre-treatment) or at the same time (co-treatment) of the addition of S. Typhimurium. E. faecium was added in 108 CFU/mL or in 107 CFU/mL concentration. Control: plain cell culture medium treatment; St: S. Typhimurium 106 CFU/mL; Ef 10^8: E. faecium 108 CFU/mL; Ef 10^7: E. faecium 107 CFU/mL; Ef 10^8 PRE: pre-treatment with E. faecium 108 CFU/mL + S. Typhimurium 106 CFU/mL; Ef 10^7 PRE: pre-treatment with E. faecium 107 CFU/mL + S. Typhimurium 106 CFU/mL; Ef 10^8 CO: co-treatment with E. faecium 108 CFU/mL + S. Typhimurium 106 CFU/mL; Ef 10^7 CO: co-treatment with E. faecium 107 CFU/mL + S. Typhimurium 106 CFU/mL. Data are shown as means with standard deviations, n = 6/group. * p ≤ 0.05.
IL-6 secretion was induced significantly by E. coli in comparison to the control cells. Neither pre-treatment nor co-treatment with E. faecium could compensate for the IL-6 elevation induced by E. coli (Figure 6).
Figure 6.
Induction of IL-6 secretion of IPEC-J2 cells after stimulation with E. coli and E. faecium. E. faecium was added 1 h before (pre-treatment) or at the same time (co-treatment) of the addition of E. coli. E. faecium was added in 108 CFU/mL or in 107 CFU/mL concentration. Control: plain cell culture medium treatment; Ec: E. coli 106 CFU/mL; Ef 10^8 PRE: pre-treatment with E. faecium 108 CFU/mL + E. coli 106 CFU/mL; Ef 10^7 PRE: pre-treatment with E. faecium 107 CFU/mL + E. coli 106 CFU/mL; Ef 10^8 CO: co-treatment with E. faecium 108 CFU/mL + E. coli 106 CFU/mL; Ef 10^7 CO: co-treatment with E. faecium 107 CFU/mL + E. coli 106 CFU/mL. Data are shown as means with standard deviations, n = 6/group. * p ≤ 0.05.
Infection of IPEC-J2 cells with S. Typhimurium also increased the secretion of IL-8 (Figure 7). Treatment with the probiotic strain itself did not result in a significant change in IL-8 secretion, regardless of the applied concentration. Pre-treatment and co-treatment with E. faecium, applied at a concentration of 108 CFU/mL, significantly reduced the secretion of IL-8 compared to the amount of IL-8 secretion when IPEC-J2 cells were challenged by S. Typhimurium. Pre-treatment and co-treatment with E. faecium, applied at a concentration of 107 CFU/mL, failed to decrease the IL-8 secretion in comparison to the secretion observed when cells were treated with S. Typhimurium itself.
Figure 7.
Induction of IL-8 secretion of IPEC-J2 cells after stimulation with S. Typhimurium and E. faecium. E. faecium was added 1 h before (pre-treatment) or at the same time (co-treatment) of the addition of S. Typhimurium. E. faecium was added in 108 CFU/mL or in 10^7 CFU/mL concentration. Control: plain cell culture medium treatment; St: S. Typhimurium 106 CFU/mL; Ef 10^8: E. faecium 108 CFU/mL; Ef 10^7: E. faecium 107 CFU/mL; Ef 10^8 PRE: pre-treatment with E. faecium 108 CFU/mL + S. Typhimurium 106 CFU/mL; Ef 10^7 PRE: pre-treatment with E. faecium 107 CFU/mL + S. Typhimurium 106 CFU/mL; Ef 10^8 CO: co-treatment with E. faecium 108 CFU/mL + S. Typhimurium 106 CFU/mL; Ef 10^7 CO: co-treatment with E. faecium 107 CFU/mL + S. Typhimurium 106 CFU/mL. Data are shown as means with standard deviations, n = 6/group; *** p ≤ 0.0001.
IL-8 secretion was induced significantly by E. coli compared to the control cells (Figure 8). Pre-treatment and co-treatment with E. faecium, applied at a concentration of 108 CFU/mL further increased the secretion of IL-8. The pre-treatment and co-treatment with E. faecium, applied at a concentration of 107 CFU/mL, failed to cause any significant effect on IL-8 secretion.
Figure 8.
Induction of IL-8 secretion of IPEC-J2 cells after stimulation with E. coli and E. faecium. E. faecium was added 1 h before (pre-treatment) or at the same time (co-treatment) of the addition of E. coli. E. faecium was added in 108 CFU/mL or in 107 CFU/mL concentration. Control: plain cell culture medium treatment; Ec: E. coli 106 CFU/mL; Ef 10^8 PRE: pre-treatment with E. faecium 108 CFU/mL + E. coli 106 CFU/mL; Ef 10^7 PRE: pre-treatment with E. faecium 107 CFU/mL + E. coli 106 CFU/mL; Ef 10^8 CO: co-treatment with E. faecium 108 CFU/mL + E. coli 106 CFU/mL; Ef 10^7 CO: co-treatment with E. faecium 107 CFU/mL + E. coli 106 CFU/mL. Data are shown as means with standard deviations, n = 6/group. * p ≤ 0.05; ** p ≤ 0.01.
3.4. Effect of E. faecium on the Adhesion of S. Typhimurium and E. coli to IPEC-J2 Cells
E. faecium was able to inhibit the adhesion of both E. coli and S. Typhimurium in all treatment combinations (Figure 9). When IPEC-J2 cells were challenged by E. coli, pre-treatment with E. faecium had the highest inhibitory effect, followed by co-treatment, while post-treatment showed the lowest inhibitory effect. E. coli adhesion was 26.2% in the case of pre-treatment, 27.8% in the co-treatment assay and 37.6% in the post-treatment. When IPEC-J2 cells were exposed to S. Typhimurium, only a minor difference could be found in the effect of adhesion between the different treatment (pre-, co- and post-) conditions. S. Typhimurium adhesion was 12.9% in the case of pre-treatment, 11.2% in the co-treatment assay, and 12.3% for the post-treatment.
Figure 9.
Inhibitory effect of E. faecium on E. coli and S. Typhimurium adhesion to IPEC-J2 cells. E. coli and S. Typhimurium adhesion inhibitions were determined upon incubation with E. faecium added 1 h before (pre-treatment), at the same time (co-treatment) and 1 h after (post-treatment) the addition of E. coli and S. Typhimurium, respectively. E. faecium was added in 108 CFU/mL. Ec: E. coli 106 CFU/mL; Ef PRE: pre-treatment with E. faecium 108 CFU/mL + E. coli or S. Typhimurium 106 CFU/mL; Ef CO: co-treatment with E. faecium 108 CFU/mL + E. coli or S. Typhimurium 106 CFU/mL; Ef POST: post-treatment with E. faecium 108 CFU/mL + E. coli or S. Typhimurium 106 CFU/mL. Values are presented as means ± SEs of four independent experiments. *** p ≤ 0.0001 compared to treatment with S. Typhimurium. *** p ≤ 0.0001 compared to treatment with E. coli.
3.5. The Effect of E. faecium on Paracellular Permeability of IPEC-J2 Cells Challenged by E. coli and S. Typhimurium
After 24 h of pathogen exposure, the epithelial cell layer was partially disrupted. The fluorescence intensity measured in the basolateral compartment significantly increased (compared to the untreated control samples) when IPEC-J2 cells were treated with S. Typhimurium (Figure 10) or E. coli (Figure 11). The treatment with E. faecium alone, in two different concentrations (108 CFU/mL or 107 CFU/mL), did not result in the alteration of fluorescence intensity (Figure 10). Pre-treatment, co-treatment and post-treatment with E. faecium significantly decreased the presence of FD4 tracer in the basolateral chamber, when cells were exposed to S. Typhimurium (Figure 10). The same effect could be observed when IPEC-J2 cells were challenged by E. coli (Figure 11).
Figure 10.
Effect of E. faecium on the paracellular permeability of IPEC-J2 cells treated with S. Typhimurium. E. faecium was added 1 h before (pre-treatment), at the same time (co-treatment) and 1 h after (post-treatment) the addition of S. Typhimurium. Detection of the FD4 dye was performed 24 after the treatment of S. Typhimurium. Control: plain cell culture medium treatment; Ef 10^8: E. faecium 108 CFU/mL; Ef 10^7: E. faecium 107 CFU/mL; Ef 10^8 PRE: pre-treatment with E. faecium 108 CFU/mL + S. Typhimurium 106 CFU/mL; Ef 10^7 PRE: pre-treatment with E. faecium 107 CFU/mL + S. Typhimurium 106 CFU/mL; Ef 10^8 CO: co-treatment with E. faecium 108 CFU/mL + S. Typhimurium 106 CFU/mL; Ef 10^7 CO: co-treatment with E. faecium 107 CFU/mL + S. Typhimurium 106 CFU/mL. Ef 10^8 POST: post-treatment with E. faecium 108 CFU/mL + S. Typhimurium 106 CFU/mL; Ef 10^7 POST: post-treatment with E. faecium 107 CFU/mL + S. Typhimurium 106 CFU/mL. Data are shown as means ± SEs of three independent experiments. * p ≤ 0.05; *** p ≤ 0.0001 compared to treatment with S. Typhimurium.
Figure 11.
Effect of E. faecium on the paracellular permeability of IPEC-J2 cells treated with E. coli. E. faecium was added 1 h before (pre-treatment), at the same time (co-treatment) and 1 h after (post-treatment) the addition of E. coli. Detection of the FD4 dye was performed 24 after the treatment of E. coli. Control: plain cell culture medium treatment; Ec: E. coli 106 CFU/mL; Ef 10^8 PRE: pre-treatment with E. faecium 108 CFU/mL + E. coli 106 CFU/mL; Ef 10^7 PRE: pre-treatment with E. faecium 107 CFU/mL + E. coli 106 CFU/mL; Ef 10^8 CO: co-treatment with E. faecium 108 CFU/mL + E. coli 106 CFU/mL; Ef 10^7 CO: co-treatment with E. faecium 107 CFU/mL + E. coli 106 CFU/mL; Ef 10^8 POST: post-treatment with E. faecium 108 CFU/mL + E. coli 106 CFU/mL; Ef 10^7 POST: post-treatment with E. faecium 107 CFU/mL + E. coli 106 CFU/mL. Data are shown as means ± SEs of three independent experiments; *** p ≤ 0.0001 compared to treatment with E. coli.
4. Discussion
The present study aims to elucidate the effect of E. faecium on the inflammatory response, internal redox state and barrier function of the intestinal epithelium. In addition, the adhesion inhibiting effects of E. faecium on S. Typhimurium and E. coli were investigated. In order to examine the capability of the probiotic strain to modify the epithelial response to a pathogenic challenge, epithelial cells were incubated with E. faecium and either E. coli or S. Typhimurium. Our hypothesis was that E. faecium might (1) reduce the secretion of proinflammatory cytokines, (2) decrease the amount of reactive oxygen species, (3) improve epithelial integrity and (4) inhibit the adhesion of pathogenic bacteria.
4.1. Inflammatory Response
Intestinal epithelial cells play a major role in activating the adaptive immune response upon pathogen infection, mostly by producing various cytokines [32,33,34,35,36,37,38]. In our experiments, both IL-6 and IL-8 secretion were significantly increased when IPEC-J2 cells were challenged by E. coli or S. Typhimurium, respectively. These findings agree with previous studies that also demonstrated an increase in IL-6 or IL-8 upon pathogen challenge [20,32]. The pre-treatment with E. faecium in a concentration of 108 CFU/mL could abrogate the increase in both IL-6 and IL-8 secretion, while the co-incubation with E. faecium applied at a concentration of 108 CFU/mL could also significantly decrease the secretion of IL-8 when an inflammatory response was evoked by S. Typhimurium. Salmonella-induced IL-8 secretion was decreased by probiotic strains Lactobacillus reuteri ATCC 53608 and Bacillus licheniformis ATCC 10716, which agree with our finding, that probiotics may attenuate the proinflammatory cytokine response upon pathophysiological challenge [17]. When IPEC-J2 cells were challenged with E. coli, the pre- and co-incubation with 108 CFU/mL E. faecium either did not show any effect on the production of proinflammatory cytokines (IL-6) or unexpectedly, further increased their secretion (IL-8). Others, however, found that the E. coli induced IL-8 elevation was reduced by E. faecium co-incubation [20,24]. This inconsistency might be due to differences in the mode of action of various probiotic strains [17].
4.2. Response to Oxidative Stress
Here, E. coli and S. Typhimurium were used to induce oxidative stress in IPEC-J2 cells. The exact mechanism of how E. coli and Salmonella exert their oxidative stress-inducing effect is obscure, but pathogens may produce oxygen to generate an aerobic environment, thus establishing oxidative stress conditions in the intestines [8]. To confirm the antioxidant effect of the application of E. faecium as a pre-treatment, co-treatment, and post-treatment, we determined the capacity of the treatment methods for the alleviation of ROS production. E. coli and S. Typhimurium induced an intracellular ROS burst in IPEC-J2 cells. Pre-, co-, and post-treatment with E. faecium applied in either 108 CFU/mL or 107 CFU/mL remarkably reduced ROS generation induced by E. coli or S. Typhimurium, respectively. This finding indicates that E. faecium could alleviate the oxidative stress caused by E. coli and S. Typhimurium. Interestingly, certain probiotics have been shown to mitigate induced ROS production, and that pre-treatment of IPEC-J2 cells with L. plantarum ZLP001 reduced the ROS burst evoked by H2O2 in IPEC-J2 cells [8], supporting the potential beneficial effect of probiotics on ROS generation.
4.3. Pathogen Adhesion
The inhibition of pathogen adhesion is one of the most important properties in how probiotics may exert their beneficial effects. The ability of different probiotic strains to inhibit pathogen adhesion has been studied extensively [39,40]. Our results confirm that probiotics can inhibit pathogen adhesion. However, in our experiments, the inhibition effect of E. faecium was independent of the time of addition. Significant adhesion inhibition was observed in the case of all three treatment conditions, similar to other recent reports [41]. Our finding that post-treatment could also inhibit the adhesion of both E. coli and S. Typhimurium indicates that E. faecium was able to disrupt established pathogen colonization.
4.4. Epithelial Barrier Function
One mode of action of probiotics is likely the strengthening of the epithelial barrier [7]. E. coli and S. Typhimurium can disrupt this barrier integrity. The enhancement of intestinal barrier function by probiotics has been intensely investigated [7]. In our experiments, the FD4 method was used to assess the changes in the integrity and permeability of the epithelial barrier. In our experiments, E. faecium alone had no significant effect on the amount of FD4 dye measured in the basolateral compartment. This result agrees with studies showing that the use of probiotics alone does not affect the integrity and permeability of the epithelial barrier [21,42,43]. However, other in vitro studies showed that the application of probiotic bacteria alone might enhance the barrier function [44,45,46]. Interestingly, E. coli or S. Typhimurium’s induced pathophysiological challenge resulted in a significant increase in the amount of FD4 dye measured in the basolateral compartment, indicating that these strains were able to disrupt the integrity of the barrier, in line with previous findings [47]. Lipopolysaccharides or bacterial metabolites might be responsible for the disruption of the epithelial barrier [21]. Pathogens might also induce the apoptosis of enterocytes, which results in increased TEER values, indicating that the barrier function has been damaged. We suggest that E. faecium might be able to counteract the increased FD4 flux. Studies on Caco-2 and T84 cells have shown that probiotic bacteria could prevent the barrier disrupting effects of E. coli [42,48]. Our experiments showed that pre-treatment, co-treatment, and post-treatment with E. faecium could also prevent the damaging effects on barrier integrity induced by E. coli or S. Typhimurium, and significantly reduce the FD4 flux.
Taken together, the treatment of IPEC-J2 cells with E. faecium has multiple beneficial effects on cell integrity, paracellular permeability and intracellular ROS production, proinflammatory cytokine secretions, and the adhesion of Salmonella Typhimurium and Escherichia coli. Therefore, we suggest that E. faecium is a promising probiotic candidate for both human and animal use. The use of this strain as a probiotic also addresses the challenge of finding alternative treatments that can strengthen gastrointestinal health without the use of antibiotics. Furthermore, our in vitro model proved to be a useful tool to examine the effects of promising probiotics and other alternative substance candidates in future investigations.
Author Contributions
Conceptualization, N.P.P. and D.K.; methodology, all authors; software, N.P.P.; validation, O.F., B.R. and P.G.; formal analysis, N.P.P. and D.K.; investigation, N.P.P., D.K. and O.F.; resources, O.F. and B.R.; writing—original draft preparation, N.P.P.; writing—review and editing, D.K., O.F. and B.R.; visualization, N.P.P.; supervision, O.F., B.R. and P.G.; project administration, O.F.; funding acquisition, D.K. and O.F. All authors have read and agreed to the published version of the manuscript.
Funding
This research was funded by project no. TKP2020-NKA-01 and has been implemented with the support provided by the National Research, Development and Innovation Fund of Hungary, financed under the Tématerületi Kiválósági Program 2020 (2020-4.1.1-TKP2020) funding scheme. Further funding was received from the European Union and co-financed by the European Social Fund (grant agreement no. EFOP-3.6.3-VEKOP-16-2017-00005, project title: “Strengthening the scientific replacement by supporting the academic workshops and programs of students, developing a mentoring process”).
Institutional Review Board Statement
Not applicable.
Informed Consent Statement
Not applicable.
Data Availability Statement
All data that supports the above-detailed findings can be obtained from the corresponding author upon request.
Acknowledgments
We are grateful to Jody Gookin, who provided the IPEC-J2 cell line.
Conflicts of Interest
The authors declare no conflict of interest.
References
- Kovács, D.; Palkovicsné Pézsa, N.; Jerzsele, Á.; Süth, M.; Farkas, O. Protective Effects of Grape Seed Oligomeric Proanthocyanidins in IPEC-J2–Escherichia coli/Salmonella typhimurium Co-Culture. Antibiotics 2022, 11, 110. [Google Scholar] [CrossRef] [PubMed]
- Zimmerman, J.J.; Karriker, L.A.; Ramirez, A.; Schwartz, K.J.; Gregory, W. Stevenson Diseases of Swine, 10th ed.; Wiley-Blackwell: Hoboken, NJ, USA, 2012; pp. 723–749, 821–833. [Google Scholar]
- Dubreuil, J.D. Enterotoxigenic Escherichia coli and probiotics in swine: What the bleep do we know? Biosci. Microbiota Food Health 2017, 36, 75–90. [Google Scholar] [CrossRef] [PubMed] [Green Version]
- EUR-Lex Access to European Union Law. Available online: https://eur-lex.europa.eu/eli/reg/2019/6/oj (accessed on 5 February 2022).
- Guardabassi, L.; Butaye, P.; Dockrell, D.H.; Fitzgerald, J.R.; Kuijper, E.J. One health: A multifaceted concept combining diverse approaches to prevent and control antimicrobial resistance. Clin. Microbiol. Infect. 2020, 26, 1604–1605. [Google Scholar] [CrossRef] [PubMed]
- Kovács, D.; Palkovicsné Pézsa, N.; Farkas, O.; Jerzsele, Á. Usage of antibiotic alternatives in pig farming Literature review. Hung. Vet. J. 2021, 143, 281–292. [Google Scholar]
- Yang, F.; Wang, A.; Zeng, X.; Hou, C.; Liu, H.; Qiao, S. Lactobacillus reuteri I5007 modulates tight junction protein expression in IPEC-J2 cells with LPS stimulation and in newborn piglets under normal conditions. BMC Microbiol. 2015, 15, 32. [Google Scholar] [CrossRef] [PubMed] [Green Version]
- Wang, J.; Zhang, W.; Wang, S.; Wang, Y.; Chu, X.; Ji, H. Lactobacillus plantarum exhibits antioxidant and cytoprotective activities in porcine intestinal epithelial cells exposed to hydrogen peroxide. Oxidative Med. Cell. Longev. 2021, 2021, 8936907. [Google Scholar] [CrossRef]
- Lykkesfeldt, J.; Svendsen, O. Oxidants and antioxidants in disease: Oxidative stress in farm animals. Vet. J. 2007, 173, 502–511. [Google Scholar] [CrossRef]
- Feng, T.; Wang, J. Oxidative stress tolerance and antioxidant capacity of lactic acid bacteria as probiotic: A systematic review. Gut Microbes 2020, 12, 1801944. [Google Scholar] [CrossRef]
- Bhattacharyya, A.; Chattopadhyay, R.; Mitra, S.; Crowe, S.E. Oxidative stress: An essential factor in the pathogenesis of gastrointestinal mucosal diseases. Physiol. Rev. 2014, 94, 329–354. [Google Scholar] [CrossRef] [Green Version]
- Fuller, R. Probiotics: The Scientific Basis; Springer Science & Business Media: Berlin/Heidelberg, Germany, 2012; pp. 1–32. [Google Scholar]
- Hill, C.; Guarner, F.; Reid, G.; Gibson, G.R.; Merenstein, D.J.; Pot, B.; Morelli, L.; Canani, R.B.; Flint, H.J.; Salminen, S.; et al. Expert consensus document. The International Scientific Association for Probiotics and Prebiotics consensus statement on the scope and appropriate use of the term probiotic. Nat. Rev. Gastroenterol. Hepatol. 2014, 11, 506–514. [Google Scholar] [CrossRef] [Green Version]
- Oelschlaeger, T.A. Mechanisms of probiotic actions–a review. Int. J. Med. Microbiol. 2010, 300, 57–62. [Google Scholar] [CrossRef] [PubMed]
- Liu, H.Y.; Roos, S.; Jonsson, H.; Ahl, D.; Dicksved, J.; Lindberg, J.E.; Lundh, T. Effects of Lactobacillus johnsonii and Lactobacillus reuteri on gut barrier function and heat shock proteins in intestinal porcine epithelial cells. Physiol. Rep. 2015, 3, e12355. [Google Scholar] [CrossRef] [PubMed]
- Wang, J.; Ji, H.; Wang, S.; Liu, H.; Zhang, W.; Zhang, D.; Wang, Y. Probiotic Lactobacillus plantarum promotes intestinal barrier function by strengthening the epithelium and modulating gut microbiota. Front. Microbiol. 2018, 9, 1953. [Google Scholar] [CrossRef] [Green Version]
- Roselli, M.; Pieper, R.; Rogel-Gaillard, C.; de Vries, H.; Bailey, M.; Smidt, H.; Lauridsen, C. Immunomodulating effects of probiotics for microbiota modulation, gut health and disease resistance in pigs. Anim. Feed Sci. Technol. 2017, 233, 104–119. [Google Scholar] [CrossRef] [Green Version]
- Franz, C.M.; Holzapfel, W.H.; Stiles, M.E. Enterococci at the crossroads of food safety? Int. J. Food Microbiol. 1999, 47, 1–24. [Google Scholar] [CrossRef]
- Miller, W.R.; Munita, J.M.; Arias, C.A. Mechanisms of antibiotic resistance in enterococci. Expert Rev. Anti-Infect. Ther. 2014, 12, 1221–1236. [Google Scholar] [CrossRef]
- Klingspor, S.; Bondzio, A.; Martens, H.; Aschenbach, J.R.; Bratz, K.; Tedin, K.; Lodemann, U. Enterococcus faecium NCIMB 10415 modulates epithelial integrity, heat shock protein, and proinflammatory cytokine response in intestinal cells. Mediat. Inflamm. 2015, 2015, 304149. [Google Scholar] [CrossRef] [Green Version]
- Lodemann, U.; Strahlendorf, J.; Schierack, P.; Klingspor, S.; Aschenbach, J.R.; Martens, H. Effects of the probiotic Enterococcus faecium and pathogenic Escherichia coli strains in a pig and human epithelial intestinal cell model. Scientifica 2015, 2015, 235184. [Google Scholar] [CrossRef] [Green Version]
- Büsing, K.; Zeyner, A. Effects of oral Enterococcus faecium strain DSM 10663 NCIMB 10415 on diarrhoea patterns and performance of sucking piglets. Benef. Microbes 2015, 6, 41–44. [Google Scholar] [CrossRef]
- Peng, X.; Wang, R.; Hu, L.; Zhou, Q.; Liu, Y.; Yang, M.; Fang, Z.; Lin, Y.; Xu, S.; Feng, B.; et al. Enterococcus faecium NCIMB 10415 administration improves the intestinal health and immunity in neonatal piglets infected by enterotoxigenic Escherichia coli K88. J. Anim. Sci. Biotechnol. 2019, 10, 72. [Google Scholar] [CrossRef]
- Tian, Z.; Liu, X.; Dai, R.; Xiao, Y.; Wang, X.; Bi, D.; Shi, D. Enterococcus faecium HDRsEf1 protects the intestinal epithelium and attenuates ETEC-induced IL-8 secretion in enterocytes. Mediat. Inflamm. 2016, 2016, 7474306. [Google Scholar] [CrossRef] [PubMed] [Green Version]
- Bhardwaj, A.; Gupta, H.; Kapila, S.; Kaur, G.; Vij, S.; Malik, R.K. Safety assessment and evaluation of probiotic potential of bacteriocinogenic Enterococcus faecium KH 24 strain under in vitro and in vivo conditions. Int. J. Food Microbiol. 2010, 141, 156–164. [Google Scholar] [CrossRef] [PubMed]
- Schierack, P.; Nordhoff, M.; Pollmann, M.; Weyrauch, K.D.; Amasheh, S.; Lodemann, U.; Wieler, L.H. Characterization of a porcine intestinal epithelial cell line for in vitro studies of microbial pathogenesis in swine. Histochem. Cell Biol. 2006, 125, 293–305. [Google Scholar] [CrossRef]
- Ayuso, M.; Van Cruchten, S.; Van Ginneken, C. A medium-throughput system for in vitro oxidative stress assessment in IPEC-J2 cells. Int. J. Mol. Sci. 2020, 21, 7263. [Google Scholar] [CrossRef]
- Palócz, O.; Pászti-Gere, E.; Gálfi, P.; Farkas, O. Chlorogenic acid combined with Lactobacillus plantarum 2142 reduced LPS-induced intestinal inflammation and oxidative stress in IPEC-J2 cells. PLoS ONE 2016, 11, e0166642. [Google Scholar] [CrossRef] [PubMed]
- Karancsi, Z.; Móritz, A.V.; Lewin, N.; Veres, A.M.; Jerzsele, Á.; Farkas, O. Beneficial Effect of a Fermented Wheat Germ Extract in Intestinal Epithelial Cells in case of Lipopolysaccharide-Evoked Inflammation. Oxidative Med. Cell. Longev. 2020, 2020, 1482482. [Google Scholar] [CrossRef]
- Repetto, G.; Del Peso, A.; Zurita, J.L. Neutral red uptake assay for the estimation of cell viability/cytotoxicity. Nat. Protoc. 2008, 3, 1125–1131. [Google Scholar] [CrossRef]
- Wang, H.; Joseph, J.A. Quantifying cellular oxidative stress by dichlorofluorescein assay using microplate reader. Free Radic. Biol. Med. 1999, 27, 612–616. [Google Scholar] [CrossRef]
- Devriendt, B.; Stuyven, E.; Verdonck, F.; Goddeeris, B.M.; Cox, E. Enterotoxigenic Escherichia coli (K88) induce proinflammatory responses in porcine intestinal epithelial cells. Dev. Comp. Immunol. 2010, 34, 1175–1182. [Google Scholar] [CrossRef]
- Kagnoff, M.F.; Eckmann, L. Epithelial cells as sensors for microbial infection. J. Clin. Investig. 1997, 100, 6–10. [Google Scholar] [CrossRef]
- Bahrami, B.; Macfarlane, S.; Macfarlane, G.T. Induction of cytokine formation by human intestinal bacteria in gut epithelial cell lines. J. Appl. Microbiol. 2011, 110, 353–363. [Google Scholar] [CrossRef] [PubMed]
- Carey, C.M.; Kostrzynska, M. Lactic acid bacteria and bifidobacteria attenuate the proinflammatory response in intestinal epithelial cells induced by Salmonella enterica serovar Typhimurium. Can. J. Microbiol. 2013, 59, 9–17. [Google Scholar] [CrossRef] [PubMed]
- Turner, M.D.; Nedjai, B.; Hurst, T.; Pennington, D.J. Cytokines and chemokines: At the crossroads of cell signalling and inflammatory disease. Biochim. Biophys. Acta (BBA)-Mol. Cell Res. 2014, 1843, 2563–2582. [Google Scholar] [CrossRef] [PubMed] [Green Version]
- Luo, Y.; Zheng, S.G. Hall of fame among pro-inflammatory cytokines: Interleukin-6 gene and its transcriptional regulation mechanisms. Front. Immunol. 2016, 7, 604. [Google Scholar] [CrossRef]
- Cotton, J.A.; Platnich, J.M.; Muruve, D.A.; Jijon, H.B.; Buret, A.G.; Beck, P.L. Interleukin-8 in gastrointestinal inflammation and malignancy: Induction and clinical consequences. Int. J. Interferon Cytokine Mediat. Res. 2016, 8, 13. [Google Scholar] [CrossRef] [Green Version]
- Wang, J.; Zeng, Y.; Wang, S.; Liu, H.; Zhang, D.; Zhang, W.; Ji, H. Swine-derived probiotic Lactobacillus plantarum inhibits growth and adhesion of enterotoxigenic Escherichia coli and mediates host defense. Front. Microbiol. 2018, 9, 1364. [Google Scholar] [CrossRef]
- Jin, L.Z.; Marquardt, R.R.; Zhao, X. A strain of Enterococcus faecium (18C23) inhibits adhesion of enterotoxigenic Escherichia coli K88 to porcine small intestine mucus. Appl. Environ. Microbiol. 2000, 66, 4200–4204. [Google Scholar] [CrossRef] [Green Version]
- Forestier, C.; De Champs, C.; Vatoux, C.; Joly, B. Probiotic activities of Lactobacillus casei rhamnosus: In vitro adherence to intestinal cells and antimicrobial properties. Res. Microbiol. 2001, 152, 167–173. [Google Scholar] [CrossRef]
- Sherman, P.M.; Johnson-Henry, K.C.; Yeung, H.P.; Ngo, P.S.; Goulet, J.; Tompkins, T.A. Probiotics reduce enterohemorrhagic Escherichia coli O157: H7-and enteropathogenic E. coli O127: H6-induced changes in polarized T84 epithelial cell monolayers by reducing bacterial adhesion and cytoskeletal rearrangements. Infect. Immun. 2005, 73, 5183–5188. [Google Scholar] [CrossRef] [Green Version]
- Czerucka, D.; Dahan, S.; Mograbi, B.; Rossi, B.; Rampal, P. Saccharomyces boulardii preserves the barrier function and modulates the signal transduction pathway induced in enteropathogenic Escherichia coli-infected T84 cells. Infect. Immun. 2000, 68, 5998–6004. [Google Scholar] [CrossRef] [Green Version]
- Ewaschuk, J.B.; Diaz, H.; Meddings, L.; Diederichs, B.; Dmytrash, A.; Backer, J.; Madsen, K.L. Secreted bioactive factors from Bifidobacterium infantis enhance epithelial cell barrier function. Am. J. Physiol.-Gastrointest. Liver Physiol. 2008, 295, G1025–G1034. [Google Scholar] [CrossRef] [PubMed] [Green Version]
- Otte, J.-M.; Podolsky, D.K. Functional modulation of enterocytes by gram-positive and gram-negative microorganisms. Am. J. Physiol. Gastrointest. Liver Physiol. 2004, 286, G613–G626. [Google Scholar] [CrossRef] [PubMed] [Green Version]
- Resta-Lenert, S.; Barrett, K.E. Live probiotics protect intestinal epithelial cells from the effects of infection with enteroinvasive Escherichia coli (EIEC). Gut 2003, 52, 988–997. [Google Scholar] [CrossRef] [PubMed] [Green Version]
- Geens, M.M.; Niewold, T.A. Preliminary characterization of the transcriptional response of the porcine intestinal cell line IPEC-J2 to enterotoxigenic Escherichia coli, Escherichia coli, and E. coli lipopolysaccharide. Comp. Funct. Genom. 2010, 2010, 469583. [Google Scholar] [CrossRef] [PubMed] [Green Version]
- Anderson, R.C.; Cookson, A.L.; McNabb, W.C.; Kelly, W.J.; Roy, N.C. Lactobacillus plantarum DSM 2648 is a potential probiotic that enhances intestinal barrier function. FEMS Microbiol. Lett. 2010, 309, 184–192. [Google Scholar] [CrossRef] [PubMed]
Publisher’s Note: MDPI stays neutral with regard to jurisdictional claims in published maps and institutional affiliations. |
© 2022 by the authors. Licensee MDPI, Basel, Switzerland. This article is an open access article distributed under the terms and conditions of the Creative Commons Attribution (CC BY) license (https://creativecommons.org/licenses/by/4.0/).










