Effect of Evening Primrose Oil Supplementation on Biochemical Parameters and Nutrition of Patients Treated with Isotretinoin for Acne Vulgaris: A Randomized Double-Blind Trial
Abstract
1. Introduction
2. Materials and Methods
2.1. Study Participants
2.2. Study Design
2.3. Experimental Procedure
2.3.1. Dietary Assessment
2.3.2. Biochemical Tests
Determination of total cholesterol (TCH) in blood serum
Determination of HDL-cholesterol in blood serum
Calculation of LDL fraction cholesterol
Determination of serum triglycerides (TG)
Determination of serum ALT and AST
2.4. Statistic Methods
3. Results
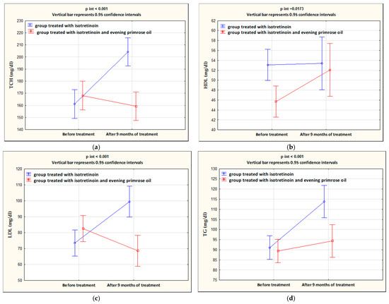
3.1. Evaluation of ALT, AST, TCH, LDL, HDL, and TG Parameters before and after Treatment with Isotretinoin or Isotretinoin Combined with Evening Primrose Oil
3.2. Evaluation of Dietary Changes before and after Treatment with Isotretinoin or Isotretinoin Combined with Evening Primrose Oil
4. Discussion
Supplementary Materials
Author Contributions
Funding
Institutional Review Board Statement
Informed Consent Statement
Data Availability Statement
Conflicts of Interest
References
- Nast, A.; Dréno, B.; Bettoli, V.; Degitz, K.; Erdmann, R.; Finlay, A.Y.; Ganceviciene, R.; Haedersdal, M.; Layton, A.; López-Estebaranz, J.L.; et al. European Evidence-Based (S3) Guidelines for the Treatment of Acne. J. Eur. Acad. Dermatol. Venereol. JEADV 2012, 26 (Suppl. 1), 1–29. [Google Scholar] [CrossRef] [PubMed]
- Zaenglein, A.L.; Pathy, A.L.; Schlosser, B.J.; Alikhan, A.; Baldwin, H.E.; Berson, D.S.; Bowe, W.P.; Graber, E.M.; Harper, J.C.; Kang, S.; et al. Guidelines of Care for the Management of Acne Vulgaris. J. Am. Acad. Dermatol. 2016, 74, 945–973.e33. [Google Scholar] [CrossRef] [PubMed]
- Barbieri, J.S.; Shin, D.B.; Wang, S.; Margolis, D.J.; Takeshita, J. The Clinical Utility of Laboratory Monitoring During Isotretinoin Therapy for Acne and Changes to Monitoring Practices over Time. J. Am. Acad. Dermatol. 2020, 82, 72–79. [Google Scholar] [CrossRef] [PubMed]
- Xu, H.; Li, H. Acne, the Skin Microbiome, and Antibiotic Treatment. Am. J. Clin. Dermatol. 2019, 20, 335–344. [Google Scholar] [CrossRef] [PubMed]
- Picardo, M.; Eichenfield, L.F.; Tan, J. Acne and Rosacea. Dermatol. Ther. 2017, 7, 43–52. [Google Scholar] [CrossRef]
- O’Neill, A.M.; Gallo, R.L. Host-Microbiome Interactions and Recent Progress into Understanding the Biology of Acne Vulgaris. Microbiome 2018, 6, 177. [Google Scholar] [CrossRef] [PubMed]
- Kurokawa, I.; Danby, F.W.; Ju, Q.; Wang, X.; Xiang, L.F.; Xia, L.; Chen, W.; Nagy, I.; Picardo, M.; Suh, D.H.; et al. New Developments in Our Understanding of Acne Pathogenesis and Treatment. Exp. Dermatol. 2009, 18, 821–832. [Google Scholar] [CrossRef]
- Zouboulis, C.C. Acne and Sebaceous Gland Function. Clin. Dermatol. 2004, 22, 360–366. [Google Scholar] [CrossRef]
- Camera, E.; Ludovici, M.; Tortorella, S.; Sinagra, J.-L.; Capitanio, B.; Goracci, L.; Picardo, M. Use of Lipidomics to Investigate Sebum Dysfunction in Juvenile Acne. J. Lipid Res. 2016, 57, 1051–1058. [Google Scholar] [CrossRef]
- Habeshian, K.A.; Cohen, B.A. Current Issues in the Treatment of Acne Vulgaris. Pediatrics 2020, 145, S225–S230. [Google Scholar] [CrossRef]
- Haller, H.; Anheyer, D.; Cramer, H.; Dobos, G. Complementary Therapies for Clinical Depression: An Overview of Systematic Reviews. BMJ Open 2019, 9, e028527. [Google Scholar] [CrossRef] [PubMed]
- Khalil, S.; Bardawil, T.; Stephan, C.; Darwiche, N.; Abbas, O.; Kibbi, A.G.; Nemer, G.; Kurban, M. Retinoids: A Journey from the Molecular Structures and Mechanisms of Action to Clinical Uses in Dermatology and Adverse Effects. J. Dermatol. Treat. 2017, 28, 684–696. [Google Scholar] [CrossRef] [PubMed]
- Szymański, Ł.; Skopek, R.; Palusińska, M.; Schenk, T.; Stengel, S.; Lewicki, S.; Kraj, L.; Kamiński, P.; Zelent, A. Retinoic Acid and Its Derivatives in Skin. Cells 2020, 9, 2660. [Google Scholar] [CrossRef] [PubMed]
- Kolli, S.S.; Pecone, D.; Pona, A.; Cline, A.; Feldman, S.R. Topical Retinoids in Acne Vulgaris: A Systematic Review. Am. J. Clin. Dermatol. 2019, 20, 345–365. [Google Scholar] [CrossRef]
- Barbieri, J.S.; Spaccarelli, N.; Margolis, D.J.; James, W.D. Approaches to Limit Systemic Antibiotic Use in Acne: Systemic Alternatives, Emerging Topical Therapies, Dietary Modification, and Laser and Light-Based Treatments. J. Am. Acad. Dermatol. 2019, 80, 538–549. [Google Scholar] [CrossRef]
- Bagatin, E.; Costa, C.S. The Use of Isotretinoin for Acne—An Update on Optimal Dosing, Surveillance, and Adverse Effects. Expert Rev. Clin. Pharmacol. 2020, 13, 885–897. [Google Scholar] [CrossRef]
- Landis, M.N. Optimizing Isotretinoin Treatment of Acne: Update on Current Recommendations for Monitoring, Dosing, Safety, Adverse Effects, Compliance, and Outcomes. Am. J. Clin. Dermatol. 2020, 21, 411–419. [Google Scholar] [CrossRef]
- Lee, J.W.; Yoo, K.H.; Park, K.Y.; Han, T.Y.; Li, K.; Seo, S.J.; Hong, C.K. Effectiveness of Conventional, Low-Dose and Intermittent Oral Isotretinoin in the Treatment of Acne: A Randomized, Controlled Comparative Study. Br. J. Dermatol. 2011, 164, 1369–1375. [Google Scholar] [CrossRef]
- Borghi, A.; Mantovani, L.; Minghetti, S.; Giari, S.; Virgili, A.; Bettoli, V. Low-Cumulative Dose Isotretinoin Treatment in Mild-to-Moderate Acne: Efficacy in Achieving Stable Remission. J. Eur. Acad. Dermatol. Venereol. JEADV 2011, 25, 1094–1098. [Google Scholar] [CrossRef]
- Zech, L.A.; Gross, E.G.; Peck, G.L.; Brewer, H.B. Changes in Plasma Cholesterol and Triglyceride Levels after Treatment with Oral Isotretinoin. A Prospective Study. Arch. Dermatol. 1983, 119, 987–993. [Google Scholar] [CrossRef]
- De Marchi, M.A.; Maranhão, R.C.; Brandizzi, L.I.V.; Souza, D.R.S. Effects of Isotretinoin on the Metabolism of Triglyceride-Rich Lipoproteins and on the Lipid Profile in Patients with Acne. Arch. Dermatol. Res. 2006, 297, 403–408. [Google Scholar] [CrossRef] [PubMed]
- Retinoids. LiverTox: Clinical and Research Information on Drug-Induced Liver Injury; National Institute of Diabetes and Digestive and Kidney Diseases: Bethesda, MD, USA, 2012. [Google Scholar]
- Kizilyel, O.; Metin, M.S.; Elmas, O.F.; Cayir, Y.; Aktas, A. Effects of Oral Isotretinoin on Lipids and Liver Enzymes in Acne Patients. Cutis 2014, 94, 234–238. [Google Scholar] [PubMed]
- Zane, L.T.; Leyden, W.A.; Marqueling, A.L.; Manos, M.M. A Population-Based Analysis of Laboratory Abnormalities during Isotretinoin Therapy for Acne Vulgaris. Arch. Dermatol. 2006, 142, 1016–1022. [Google Scholar] [CrossRef] [PubMed]
- Khorshidi, M.; Zarezadeh, M.; Moradi Moghaddam, O.; Emami, M.R.; Kord-Varkaneh, H.; Mousavi, S.M.; Alizadeh, S.; Heshmati, J.; Olang, B.; Aryaeian, N. Effect of Evening Primrose Oil Supplementation on Lipid Profile: A Systematic Review and Meta-Analysis of Randomized Clinical Trials. Phytother. Res. PTR 2020, 34, 2628–2638. [Google Scholar] [CrossRef]
- Mahboubi, M. Evening Primrose (Oenothera biennis) Oil in Management of Female Ailments. J. Menopausal Med. 2019, 25, 74–82. [Google Scholar] [CrossRef]
- Timoszuk, M.; Bielawska, K.; Skrzydlewska, E. Evening Primrose (Oenothera biennis) Biological Activity Dependent on Chemical Composition. Antioxidants 2018, 7, 108. [Google Scholar] [CrossRef]
- Ramsden, C.E.; Zamora, D.; Majchrzak-Hong, S.; Faurot, K.R.; Broste, S.K.; Frantz, R.P.; Davis, J.M.; Ringel, A.; Suchindran, C.M.; Hibbeln, J.R. Re-Evaluation of the Traditional Diet-Heart Hypothesis: Analysis of Recovered Data from Minnesota Coronary Experiment (1968–1973). BMJ 2016, 353, i1246. [Google Scholar] [CrossRef]
- DiSilvestro, R.A.; Olivo Marston, S.; Zimmerman, A.; Joseph, E.; Boeh McCarty, C. Borage Oil Intake by Overweight Young Adults: No Effect on Metabolic Rate; Beneficial Effects on Plasma Triglyceride and HDL Cholesterol Readings. Food Funct. 2021, 12, 8882–8886. [Google Scholar] [CrossRef]
- Ide, T.; Origuchi, I. Physiological Effects of an Oil Rich in γ-Linolenic Acid on Hepatic Fatty Acid Oxidation and Serum Lipid Levels in Genetically Hyperlipidemic Mice. J. Clin. Biochem. Nutr. 2019, 64, 148–157. [Google Scholar] [CrossRef]
- Hooper, L.; Al-Khudairy, L.; Abdelhamid, A.S.; Rees, K.; Brainard, J.S.; Brown, T.J.; Ajabnoor, S.M.; O’Brien, A.T.; Winstanley, L.E.; Donaldson, D.H.; et al. Omega-6 Fats for the Primary and Secondary Prevention of Cardiovascular Disease. Cochrane Database Syst. Rev. 2018, 2018, CD011094. [Google Scholar] [CrossRef]
- Rezapour-Firouzi, S.; Arefhosseini, S.R.; Ebrahimi-Mamaghani, M.; Baradaran, B.; Sadeghihokmabad, E.; Torbati, M.; Mostafaei, S.; Chehreh, M.; Zamani, F. Activity of Liver Enzymes in Multiple Sclerosis Patients with Hot-Nature Diet and Co-Supplemented Hemp Seed, Evening Primrose Oils Intervention. Complement. Ther. Med. 2014, 22, 986–993. [Google Scholar] [CrossRef] [PubMed]
- Pertiwi, K.; Küpers, L.K.; Geleijnse, J.M.; Zock, P.L.; Wanders, A.J.; Kruger, H.S.; van Zyl, T.; Kruger, I.M.; Smuts, C.M. Associations of Linoleic Acid with Markers of Glucose Metabolism and Liver Function in South African Adults. Lipids Health Dis. 2020, 19, 138. [Google Scholar] [CrossRef] [PubMed]
- Grant, S.; Mayo-Wilson, E.; Montgomery, P.; Macdonald, G.; Michie, S.; Hopewell, S.; Moher, D. CONSORT-SPI 2018 Explanation and Elaboration: Guidance for Reporting Social and Psychological Intervention Trials. Trials 2018, 19, 40. [Google Scholar] [CrossRef] [PubMed]
- MacPherson, H.; Altman, D.G.; Hammerschlag, R.; Youping, L.; Taixiang, W.; White, A.; Moher, D. STRICTA Revision Group Revised STandards for Reporting Interventions in Clinical Trials of Acupuncture (STRICTA): Extending the CONSORT Statement. PLoS Med. 2010, 7, e1000261. [Google Scholar] [CrossRef] [PubMed]
- Acmaz, G.; Cinar, L.; Acmaz, B.; Aksoy, H.; Kafadar, Y.T.; Madendag, Y.; Ozdemir, F.; Sahin, E.; Muderris, I. The Effects of Oral Isotretinoin in Women with Acne and Polycystic Ovary Syndrome. Biomed. Res. Int. 2019, 7, 2513067. [Google Scholar] [CrossRef]
- Gronowska-Senger, A. Methodological Guide to Dietary Surveys. Committee on Human Nutrition of the Polish Academy of Sciences, Warszawa 2013. Available online: http://www.knozc.pan.pl/images/Przewodnik_metodyczny_calosc.pdf (accessed on 17 January 2022).
- Tables of Composition and Nutritional Value of Foods. Available online: https://pzwl.pl/Tabele-skladu-i-wartosci-odzywczej-zywnosci,56121347,p.html (accessed on 17 January 2022).
- Wajszczyk, B.; Chwojnowska, Z.; Nasiadko, D.; Rybarczuk, M.; Charzewska, J. Instructions for Using the Diet 6.D Programme for Planning and Ongoing Assessment of Individual and Collective Nutrition. Available online: https://docplayer.pl/144985512-Instrukcja-korzystania-z-programu-dieta-6-d-do-planowania-i-biezacej-oceny-zywienia-indywidualnego-i-zbiorowego.html (accessed on 1 February 2021).
- Friedewald, W.T.; Levy, R.I.; Fredrickson, D.S. Estimation of the Concentration of Low-Density Lipoprotein Cholesterol in Plasma, without Use of the Preparative Ultracentrifuge. Clin. Chem. 1972, 18, 499–502. [Google Scholar] [CrossRef]
- Langlois, M.R.; Descamps, O.S.; van der Laarse, A.; Weykamp, C.; Baum, H.; Pulkki, K.; von Eckardstein, A.; De Bacquer, D.; Borén, J.; Wiklund, O.; et al. Clinical Impact of Direct HDLc and LDLc Method Bias in Hypertriglyceridemia. A Simulation Study of the EAS-EFLM Collaborative Project Group. Atherosclerosis 2014, 233, 83–90. [Google Scholar] [CrossRef]
- Bergmeyer, H.U.; Bowers, G.N.; Horder, M.; Moss, D.W. Provisional Recommendations on IFCC Methods for the Measurement of Catalytic Concentrations of Enzymes. Part 2. IFCC Method for Aspartate Aminotransferase. Clin. Chim. Acta Int. J. Clin. Chem. 1976, 70, F19–F29. [Google Scholar] [CrossRef]
- Schumann, G.; Canalias, F.; Joergensen, P.J.; Kang, D.; Lessinger, J.-M.; Klauke, R. IFCC Reference Procedures for Measurement of the Catalytic Concentrations of Enzymes: Corrigendum, Notes and Useful Advice. International Federation of Clinical Chemistry and Laboratory Medicine (IFCC)--IFCC Scientific Division. Clin. Chem. Lab. Med. 2010, 48, 615–621. [Google Scholar] [CrossRef]
- Wroblewski, F.; Ladue, J.S. Serum Glutamic Pyruvic Transaminase in Cardiac with Hepatic Disease. Proc. Soc. Exp. Biol. Med. Soc. Exp. Biol. Med. 1956, 91, 569–571. [Google Scholar] [CrossRef]
- Journal of the Polish Chemical Society. Chemical News. Wrocław. 2016. Available online: https://www.dbc.wroc.pl/Content/32070/WCh-1-2-2016.pdf (accessed on 17 January 2021).
- Bojarowicz, H.; Płowiec, A. Effect of vitamin A on skin condition. Probl. Hig. Epidemiol. 2010, 91, 352–356. [Google Scholar]
- Layton, A. The Use of Isotretinoin in Acne. Dermatoendocrinol 2009, 1, 162–169. [Google Scholar] [CrossRef] [PubMed]
- Agarwal, U.S.; Besarwal, R.K.; Bhola, K. Oral Isotretinoin in Different Dose Regimens for Acne Vulgaris: A Randomized Comparative Trial. Indian J. Dermatol. Venereol. Leprol. 2011, 77, 688–694. [Google Scholar] [CrossRef] [PubMed]
- Kraft, J.; Freiman, A. Management of Acne. CMAJ Can. Med. Assoc. J. 2011, 183, E430–E435. [Google Scholar] [CrossRef]
- Roenigk, H.H. Liver Toxicity of Retinoid Therapy. Pharmacol. Ther. 1989, 40, 145–155. [Google Scholar] [CrossRef]
- Schulpis, K.H.; Georgala, S.; Papakonstantinou, E.D.; Michas, T.; Karikas, G.A. The Effect of Isotretinoin on Biotinidase Activity. Skin Pharmacol. Appl. Skin Physiol. 1999, 12, 28–33. [Google Scholar] [CrossRef]
- Nazarian, R.S.; Zheng, E.; Halverstam, C.; Cohen, S.R.; Wolkoff, A.W. Prolonged Serum Alanine Aminotransferase Elevation Associated with Isotretinoin Administration. Case Rep. Hepatol. 2019, 2019, 9270827. [Google Scholar] [CrossRef]
- Pona, A.; Garza, J.; Haidari, W.; Cline, A.; Feldman, S.; Taylor, S. Abnormal Liver Function Tests in Acne Patients Receiving Isotretinoin. J. Dermatolog. Treat. 2019, 32, 469–472. [Google Scholar] [CrossRef]
- Cyrulnik, A.A.; Viola, K.V.; Gewirtzman, A.J.; Cohen, S.R. High-Dose Isotretinoin in Acne Vulgaris: Improved Treatment Outcomes and Quality of Life. Int. J. Dermatol. 2012, 51, 1123–1130. [Google Scholar] [CrossRef]
- Yaldiz, M.; Kara, A.; Güven, M.; Solak, B.; Kara, R.; Erdem, M.T. Assessment of Auditory Function and Lipid Levels in Patients Receiving Oral Isotretinoin (13-Cis Retinoid) Therapy for Acne Vulgaris. Postepy Dermatol. Alergol. 2020, 37, 360–363. [Google Scholar] [CrossRef]
- Lee, Y.H.; Scharnitz, T.P.; Muscat, J.; Chen, A.; Gupta-Elera, G.; Kirby, J.S. Laboratory Monitoring During Isotretinoin Therapy for Acne: A Systematic Review and Meta-Analysis. JAMA Dermatol. 2016, 152, 35–44. [Google Scholar] [CrossRef] [PubMed]
- Pile, H.D.; Sadiq, N.M. Isotretinoin. In StatPearls; StatPearls Publishing: Treasure Island, FL, USA, 2021. [Google Scholar]
- Holloszy, J.O.; Fontana, L. Caloric Restriction in Humans. Exp. Gerontol. 2007, 42, 709–712. [Google Scholar] [CrossRef] [PubMed]
- Maciejewska, D.; Michalczyk, M.; Czerwińska-Rogowska, M.; Banaszczak, M.; Ryterska, K.; Jakubczyk, K.; Piotrowski, J.; Hołowko, J.; Drozd, A.; Wysokiński, P.; et al. Seeking Optimal Nutrition for Healthy Body Mass Reduction among Former Athletes. J. Hum. Kinet. 2017, 60, 63–75. [Google Scholar] [CrossRef] [PubMed][Green Version]
- Shannon, M. An Empathetic Look at Overweight. CCL Fam. Found. 1993, 20, 3–5. [Google Scholar]
- Mert, H.; İrak, K.; Çibuk, S.; Yıldırım, S.; Mert, N. The Effect of Evening Primrose Oil (Oenothera biennis) on the Level of Adiponectin and Some Biochemical Parameters in Rats with Fructose Induced Metabolic Syndrome. Arch. Physiol. Biochem. 2020, 1–9. [Google Scholar] [CrossRef] [PubMed]
- Takada, R.; Saitoh, M.; Mori, T. Dietary Gamma-Linolenic Acid-Enriched Oil Reduces Body Fat Content and Induces Liver Enzyme Activities Relating to Fatty Acid Beta-Oxidation in Rats. J. Nutr. 1994, 124, 469–474. [Google Scholar] [CrossRef] [PubMed]
- Schirmer, M.A.; Phinney, S.D. Gamma-Linolenate Reduces Weight Regain in Formerly Obese Humans. J. Nutr. 2007, 137, 1430–1435. [Google Scholar] [CrossRef] [PubMed]
- Khamaisi, M.; Rudich, A.; Beeri, I.; Pessler, D.; Friger, M.; Gavrilov, V.; Tritschler, H.; Bashan, N. Metabolic Effects of Gamma-Linolenic Acid-Alpha-Lipoic Acid Conjugate in Streptozotocin Diabetic Rats. Antioxid. Redox Signal. 1999, 1, 523–535. [Google Scholar] [CrossRef]
- Volek, J.S.; Sharman, M.J.; Forsythe, C.E. Modification of Lipoproteins by Very Low-Carbohydrate Diets. J. Nutr. 2005, 135, 1339–1342. [Google Scholar] [CrossRef]
- Sharman, M.J.; Kraemer, W.J.; Love, D.M.; Avery, N.G.; Gómez, A.L.; Scheett, T.P.; Volek, J.S. A Ketogenic Diet Favorably Affects Serum Biomarkers for Cardiovascular Disease in Normal-Weight Men. J. Nutr. 2002, 132, 1879–1885. [Google Scholar] [CrossRef]
- Brinkworth, G.D.; Noakes, M.; Buckley, J.D.; Keogh, J.B.; Clifton, P.M. Long-Term Effects of a Very-Low-Carbohydrate Weight Loss Diet Compared with an Isocaloric Low-Fat Diet after 12 Mo. Am. J. Clin. Nutr. 2009, 90, 23–32. [Google Scholar] [CrossRef] [PubMed]
- Haslam, D.E.; Peloso, G.M.; Guirette, M.; Imamura, F.; Bartz, T.M.; Pitsillides, A.N.; Wang, C.A.; Li-Gao, R.; Westra, J.M.; Pitkänen, N.; et al. Sugar-Sweetened Beverage Consumption May Modify Associations between Genetic Variants in the CHREBP (Carbohydrate Responsive Element Binding Protein) Locus and HDL-C (High-Density Lipoprotein Cholesterol) and Triglyceride Concentrations. Circ. Genomic Precis. Med. 2021, 14, e003288. [Google Scholar] [CrossRef] [PubMed]
- Kuklina, E.V.; Park, S. Sugar-Sweetened Beverage Consumption and Lipid Profile: More Evidence for Interventions. J. Am. Heart Assoc. 2020, 9, e015061. [Google Scholar] [CrossRef]
- Vitaminol, J.N.S. Effects of High-Fiber Biscuits on Lipid and Anthropometric Profile of Patients with Type 2 Diabetes. J. Nutr. Sci. Vitaminol. 2020, 66, S391–S397. [Google Scholar] [CrossRef]
- Velázquez-López, L.; Muñoz-Torres, A.V.; García-Peña, C.; López-Alarcón, M.; Islas-Andrade, S.; Escobedo-de la Peña, J. Fiber in Diet Is Associated with Improvement of Glycated Hemoglobin and Lipid Profile in Mexican Patients with Type 2 Diabetes. J. Diabetes Res. 2016, 2016, 2980406. [Google Scholar] [CrossRef] [PubMed]
- Mollahosseini, M.; Daneshzad, E.; Rahimi, M.H.; Yekaninejad, M.S.; Maghbooli, Z.; Mirzaei, K. The Association between Fruit and Vegetable Intake and Liver Enzymes (Aspartate and Alanine Transaminases) in Tehran, Iran. Ethiop. J. Health Sci. 2017, 27, 401–410. [Google Scholar] [CrossRef] [PubMed]
- Zhou, J.; Liu, C.; Francis, M.; Sun, Y.; Ryu, M.-S.; Grider, A.; Ye, K. The Causal Effects of Blood Iron and Copper on Lipid Metabolism Diseases: Evidence from Phenome-Wide Mendelian Randomization Study. Nutrients 2020, 12, 3174. [Google Scholar] [CrossRef]
- Asbaghi, O.; Sadeghian, M.; Fouladvand, F.; Panahande, B.; Nasiri, M.; Khodadost, M.; Shokri, A.; Pirouzi, A.; Sadeghi, O. Effects of Zinc Supplementation on Lipid Profile in Patients with Type 2 Diabetes Mellitus: A Systematic Review and Meta-Analysis of Randomized Controlled Trials. Nutr. Metab. Cardiovasc. Dis. NMCD 2020, 30, 1260–1271. [Google Scholar] [CrossRef]
- Mazaheri, M.; Aghdam, A.M.; Heidari, M.; Zarrin, R. Assessing the Effect of Zinc Supplementation on the Frequency of Migraine Attack, Duration, Severity, Lipid Profile and Hs-CRP in Adult Women. Clin. Nutr. Res. 2021, 10, 127–139. [Google Scholar] [CrossRef]
- Mousavi, S.N.; Faghihi, A.; Motaghinejad, M.; Shiasi, M.; Imanparast, F.; Amiri, H.L.; Shidfar, F. Zinc and Selenium Co-Supplementation Reduces Some Lipid Peroxidation and Angiogenesis Markers in a Rat Model of NAFLD-Fed High Fat Diet. Biol. Trace Elem. Res. 2018, 181, 288–295. [Google Scholar] [CrossRef]
- Mousa, N.; Abdel-Razik, A.; Zaher, A.; Hamed, M.; Shiha, G.; Effat, N.; Elbaz, S.; Elhelaly, R.; Hafez, M.; El-Wakeel, N.; et al. The Role of Antioxidants and Zinc in Minimal Hepatic Encephalopathy: A Randomized Trial. Ther. Adv. Gastroenterol. 2016, 9, 684–691. [Google Scholar] [CrossRef] [PubMed]
- Ashor, A.W.; Brown, R.; Keenan, P.D.; Willis, N.D.; Siervo, M.; Mathers, J.C. Limited Evidence for a Beneficial Effect of Vitamin C Supplementation on Biomarkers of Cardiovascular Diseases: An Umbrella Review of Systematic Reviews and Meta-Analyses. Nutr. Res. 2019, 61, 1–12. [Google Scholar] [CrossRef] [PubMed]
- Asha Devi, S.; Prathima, S.; Subramanyam, M.V.V. Dietary Vitamin E and Physical Exercise: I. Altered Endurance Capacity and Plasma Lipid Profile in Ageing Rats. Exp. Gerontol. 2003, 38, 285–290. [Google Scholar] [CrossRef]
- Adaikalakoteswari, A.; Finer, S.; Voyias, P.D.; McCarthy, C.M.; Vatish, M.; Moore, J.; Smart-Halajko, M.; Bawazeer, N.; Al-Daghri, N.M.; McTernan, P.G.; et al. Vitamin B12 Insufficiency Induces Cholesterol Biosynthesis by Limiting S-Adenosylmethionine and Modulating the Methylation of SREBF1 and LDLR Genes. Clin. Epigenet. 2015, 7, 14. [Google Scholar] [CrossRef]
- Challoumas, D. Vitamin D Supplementation and Lipid Profile: What Does the Best Available Evidence Show? Atherosclerosis 2014, 235, 130–139. [Google Scholar] [CrossRef]
- Dibaba, D.T. Effect of Vitamin D Supplementation on Serum Lipid Profiles: A Systematic Review and Meta-Analysis. Nutr. Rev. 2019, 77, 890–902. [Google Scholar] [CrossRef]



| Components | 1 Capsule 42.8 g | 4 Capsules 171 g |
|---|---|---|
| Evening primrose seed oil | 510 mg | 2040 mg |
| unsaturated fatty acids of which: | min. 390 mg | min. 1558 mg |
| linoleic acid (LA) gamma-linolenic acid (GLA) | min. 347 mg min. 42.4 mg | min. 1388 mg min. 170 mg |
| Analyzed Parameters | TOTAL RESEARCHED n = 50 | Isotretinoin (I) n = 25 | Isotretinoin with Evening Primrose Oil (IOW) n = 25 | p | |||||
|---|---|---|---|---|---|---|---|---|---|
| X ± SD | Me ± Q | Min | Max | X ± SD | Me ± Q | X ± SD | Me ± Q | ||
| Anthropometric parameters | |||||||||
| Body height (cm) | 171 ± 5.79 | 169 ± 5.50 | 163 | 183 | 170 ± 5.79 | 169 ± 5.50 | 171 ± 5.79 | 169 ± 5.50 | 0.231 |
| Body weight (kg) | 65.0 ± 7.53 | 62.5 ± 4.50 | 55.0 | 86.0 | 64.6 ± 6.61 | 63.0 ± 4.00 | 65.4 ± 8.46 | 62.0 ± 5.00 | 0.953 |
| BMI (kg/m2) | 22.2 ± 1.42 | 22.0 ± 0.86 | 20.2 | 27.8 | 22.3 ± 1.15 | 22.3 ± 0.39 | 22.1 ± 1.67 | 21.8 ± 1.12 | 0.367 |
| Biochemical parameters | |||||||||
| AST (IU/I) | 23.0 ± 4.50 | 23.5 ± 2.00 | 12.0 | 36.0 | 24.0 ± 1.60 | 24.0 ± 1.00 | 22.1 ± 61.0 | 23.0 ± 4.50 | 0.278 |
| ALT (IU/I) | 22.2 ± 5.50 | 21.0 ± 3.00 | 9,0 | 35.0 | 22.1 ± 2.90 | 21.0 ± 2.00 | 22.3 ± 7.40 | 23.0 ± 6.00 | 0.675 |
| TCH (mg/dL) | 168 ± 21.1 | 168 ± 9.50 | 130 | 267 | 168 ± 23.1 | 163 ± 3.50 | 168 ± 19.4 | 171 ± 6.50 | 0.065 |
| HDL (mg/dL) | 49.9 ± 8.60 | 48.5 ± 5.05 | 35.0 | 82.0 | 531 ± 6.10 | 52.0 ± 2.50 | 45.7 ± 9.20 | 43.0 ± 3.50 | <0.001 |
| LDL (mg/dL) | 78.0 ± 20.6 | 75.6 ± 14.2 | 42.6 | 150 | 73.6 ± 18.7 | 70.2 ± 6.75 | 82.5 ± 21.9 | 90.3 ± 17.1 | 0.035 |
| TG (mg/dL) | 90.2 ± 14.4 | 92.0 ± 6.50 | 52.0 | 130 | 91.0 ± 6.00 | 92.0 ± 1.00 | 89.4 ± 19.6 | 92.0 ± 9.00 | 0.892 |
| Analyzed Parameters | Isotretinoin (I) n = 25 | Wilcoxon Test | Isotretinoin with Evening Primrose Oil (IOW) n = 25 | Wilcoxon Test | Mann–Whitney U Test for Differences between Groups I and IOW p | ||||||
|---|---|---|---|---|---|---|---|---|---|---|---|
| before Treatment | after 9 Months of Treatment | Δ | p | before Treatment | after 9 Months of Treatment | Δ | p | before Treatment | after Treatment | Δ before and after Treatment | |
| Me ± Q | Me ± Q | Me ± Q | Me ± Q | Me ± Q | Me ± Q | ||||||
| AST (IU/I) | 24.0 ± 1.00 | 28.0 ± 2.00 | 4.70 ± 4.20 | <0.001 | 23.0 ± 4.50 | 22.0 ± 5.00 | 0.70 ± 3.80 | 0.036 | 0.278 | 0.001 | <0.001 |
| ALT (IU/I) | 21.0 ± 2.00 | 24.0 ± 2.50 | 3.20 ± 1.30 | <0.001 | 23.0 ± 6.00 | 22.0 ± 6.00 | 0.40 ± 3.80 | 0.151 | 0.675 | 0.217 | <0.001 |
| TCH (mg/dL) | 163 ± 3.50 | 198 ± 5.00 | 35.9 ± 16.5 | <0.001 | 171 ± 6.50 | 161 ± 9.00 | −8.70 ± 16.1 | 0.025 | 0.065 | <0.001 | <0.001 |
| HDL (mg/dL) | 52.0 ± 2.50 | 51.0 ± 3.00 | 0.30 ± 6.30 | 0.013 | 43.0 ± 3.50 | 48.0 ± 5.00 | 6.40 ± 10.6 | <0.001 | <0.001 | 0.366 | <0.001 |
| LDL (mg/dL) | 70.2 ± 6.80 | 95.9 ± 6.20 | 25.9 ± 12.6 | <0.001 | 90.3 ± 17.1 | 60.2 ± 11.6 | −13.9 ± 19.5 | 0.003 | 0.035 | <0.001 | <0.001 |
| TG (mg/dL) | 92.0 ± 1.00 | 114 ± 8.00 | 22.8 ± 9.50 | <0.001 | 92.0 ± 9.00 | 95.0 ± 13.5 | 5.00 ± 15.7 | 0.025 | 0.892 | <0.001 | <0.001 |
| Analyzed Parameter | Reference Value | Isotretinoin(I) n = 25 | McNemar’s Test | Isotretinoin with Evening Primrose Oil (IOW) n = 25 | McNemar’s Test | ||||||
|---|---|---|---|---|---|---|---|---|---|---|---|
| before Treatment | after Treatment | before Treatment | after Treatment | ||||||||
| Normal [%] | Beyond the Norm [%] | Normal [%] | Beyond the Norm [%] | Normal [%] | Beyond the Norm [%] | Normal [%] | Beyond the Norm [%] | ||||
| TCH (mg/dL) | 150–190 mg/dL | 92 | 8 | 16 | 84 | <0.001 | 92 | 8 | 96 | 4 | 1.000 |
| HDL (mg/dL) | M—35–70 mg/dL K—40–80 mg/dL | 100 | 0 | 100 | 0 | No statistically significant changes | 100 | 0 | 100 | 0 | No statistically significant changes |
| LDL (mg/dL) | <115 mg/dL | 96 | 4 | 96 | 4 | 100 | 0 | 100 | 0 | ||
| TG (mg/dL) | 35–150 mg/dL | 100 | 0 | 100 | 0 | 100 | 0 | 96 | 4 | ||
| AST (IU/I) | 0–32 U/L | 100 | 0 | 96 | 4 | 100 | 0 | 92 | 8 | ||
| ALT (IU/I) | 0–33 U/L | 100 | 0 | 100 | 0 | 100 | 0 | 100 | 0 | ||
| Analyzed Parameters | Isotretinoin (I) n = 25 | Wilcoxon Test p | Isotretinoin with Evening Primrose Oil (IOW) n = 25 | Wilcoxon Test p | Mann–Whitney U test For Differences between Groups I and IOW p | ||||
|---|---|---|---|---|---|---|---|---|---|
| before Treatment | after 9 Months of Treatment | before Treatment | after 9 Months of Treatment | before Treatment | after 9 Months of Treatment | Δ before and after Treatment | |||
| Me ± Q | Me ± Q | Me ± Q | Me ± Q | ||||||
| Nutrients/Diet | |||||||||
| WE (kcal) | 1678 ± 598 | 1540 ± 147 | 0.242 | 1747 ± 400 | 1308 ± 432 | 0.005 | 0.138 | 0.233 | 0.764 |
| Protein (g) | 83.1 ± 18.8 | 80.6 ± 8.10 | 0.264 | 73.7 ± 14.6 | 67.3 ± 16.3 | 0.026 | 0.282 | 0.491 | 0.479 |
| Protein (% energy) | 19.8 ± 3.98 | 20.9 ± 2.74 | 0.696 | 18.3 ± 3.27 | 19.9 ± 4.74 | 0.078 | 0.337 | 0.491 | 0.954 |
| Animal protein (g) | 51.7 ± 13.4 | 55.8 ± 6.37 | 0.242 | 49.4 ± 7.70 | 41.8 ± 17.8 | 0.150 | 0.648 | 0.930 | 0.691 |
| Vegetable protein (g) | 26.7 ± 7.68 | 24.8 ± 4.71 | 0.061 | 25.6 ± 6.78 | 19.1 ± 7.95 | 0.054 | 0.265 | 0.793 | 0.635 |
| Fat (g) | 38.8 ± 22.1 | 34.1 ± 9.56 | 0.326 | 32.4 ± 13.3 | 28.4 ± 13.9 | 0.201 | 0.233 | 0.177 | 0.900 |
| Fat (% energy) | 20.8 ± 5.39 | 18.4 ± 3.76 | 0.619 | 19.1 ± 4.10 | 23.5 ± 7.09 | 0.313 | 0.648 | 0.823 | 0.282 |
| Carbohydrates (g) | 236 ± 107 | 215 ± 53.2 | 0.192 | 256 ± 99.6 | 177 ± 81.9 | 0.009 | 0.177 | 0.154 | 0.580 |
| Carbohydrates (% energy) | 56.0 ± 6.76 | 54.6 ± 7.15 | 0.696 | 58.1 ± 5.44 | 53.1 ± 9.22 | 0.183 | 0.580 | 0.861 | 0.528 |
| Saccharose(g) | 18.6 ± 4.65 | 13.3 ± 3.66 | 0.300 | 19.6 ± 4.92 | 11.9 ± 9.75 | 0.003 | 0.443 | 0.327 | 0.282 |
| Fiber (g) | 14.4 ± 5.65 | 11.4 ± 7.05 | 0.619 | 20.4 ± 8.40 | 9.30 ± 8.86 | 0.013 | 0.056 | 0.367 | 0.097 |
| Fatty acids | |||||||||
| SFA (g) | 10.7 ± 6.88 | 9.30 ± 1.97 | 0.326 | 13.2 ± 5.29 | 10.7 ± 3.09 | 0.367 | 0.705 | 0.299 | 0.977 |
| MFA (g) | 9.70 ± 6.87 | 8.00 ± 3.95 | 0.493 | 12.0 ± 5.81 | 9.70 ± 4.40 | 0.313 | 0.265 | 0.160 | 0.930 |
| NNKT (g) | 3.90 ± 2.24 | 4.00 ± 1.15 | 0.563 | 5.10 ± 3.24 | 4.50 ± 2.03 | 0.201 | 0.265 | 0.699 | 0.992 |
| n-3 (mg) | 30.5 ± 0.23 | 0.50 ± 0.19 | 0.840 | 0.50 ± 0.14 | 0.50 ± 0.44 | 0.737 | 0.900 | 0.977 | 0.720 |
| n-6 (mg) | 63.5 ± 2.03 | 3.30 ± 0.92 | 0.288 | 4.00 ± 2.72 | 3.40 ± 1.79 | 0.083 | 0.299 | 0.992 | 0.930 |
| Oleic acid n-9 (mg) | 98.6 ± 6.11 | 7.10 ± 3.51 | 0.313 | 9.00 ± 5.83 | 8.90 ± 2.71 | 0.737 | 0.337 | 0.177 | 0.778 |
| Gamma-linolenic acid (mg) | 0.4 ± 0.18 | 0.5 ± 0.15 | 0.946 | 0.40 ± 0.15 | 0.40 ± 0.16 | 0.351 | 0.580 | 0.554 | 0.808 |
| Long-chain polyunsaturated fatty acid | 0.00 ± 0.03 | 0.00 ± 0.00 | 0.058 | 0.10 ± 0.04 | 0.00 ± 0.06 | 0.128 | 0.187 | 0.567 | 0.808 |
| Mineral components | |||||||||
| Iron (mg) | 8.10 ± 4.18 | 7.90 ± 3.20 | 0.716 | 13.5 ± 4.23 | 8.40 ± 4.26 | 0.009 | 0.076 | 0.421 | 0.720 |
| Zink (mg) | 6.60 ± 1.99 | 63.0 ± 0.73 | 0.264 | 8.20 ± 1.56 | 7.30 ± 2.08 | 0.128 | 0.184 | 0.290 | 0.691 |
| Copper (mg) | 0.90 ± 0.22 | 0.70 ± 0.22 | 0.893 | 0.90 ± 0.20 | 0.70 ± 0.34 | 0.015 | 0.109 | 0.677 | 0.290 |
| Vitamins | |||||||||
| Vitamin A (µg) | 793 ± 407 | 300 ± 261 | 0.716 | 614 ± 166 | 434 ± 179 | 0.276 | 0.635 | 0.720 | 0.648 |
| Vitamin E (mg) | 5.60 ± 2.20 | 3.40 ± 1.54 | 0.028 | 5.50 ± 2.31 | 3.70 ± 1.78 | 0.042 | 0.823 | 0.764 | 0.823 |
| Thiamine (mg) | 0.80 ± 0.51 | 0.70 ± 0.37 | 0.840 | 1.20 ± 0.48 | 1.20 ± 0.55 | 0.098 | 0.079 | 0.491 | 0.479 |
| Riboflavin (mg) | 1.20 ± 0.40 | 1.00 ± 0.27 | 0.427 | 1.30 ± 0.41 | 1.30 ± 0.32 | 0.030 | 0.337 | 0.930 | 0.443 |
| Niacin (mg) | 19.7 ± 8.33 | 15.2 ± 8.71 | 0.989 | 32.9 ± 13.4 | 15.4 ± 7.42 | 0.002 | 0.047 | 0.808 | 0.154 |
| Vitamin B6 (mg) | 1.20 ± 0.40 | 1.00 ± 0.27 | 0.989 | 2.22 ± 0.75 | 1.70 ± 0.60 | 0.002 | 0.051 | 0.900 | 0.211 |
| Vitamin C (mg) | 19.7 ± 8.33 | 15.2 ± 87.1 | 0.122 | 86.2 ± 36.3 | 27.2 ± 15.0 | 0.025 | 0.854 | 0.070 | 0.248 |
| Vitamin B12 (µg) | 2.20 ± 0.69 | 2.20 ± 0.53 | 0.677 | 2.30 ± 0.60 | 1.90 ± 1.08 | 0.288 | 0.594 | 0.691 | 0.290 |
| Vitamin D (µg) | 1.30 ± 1.18 | 1.00 ± 1.01 | 0.946 | 1.30 ± 0.88 | 1.80 ± 0.89 | 0.638 | 0.635 | 0.190 | 0.720 |
Publisher’s Note: MDPI stays neutral with regard to jurisdictional claims in published maps and institutional affiliations. |
© 2022 by the authors. Licensee MDPI, Basel, Switzerland. This article is an open access article distributed under the terms and conditions of the Creative Commons Attribution (CC BY) license (https://creativecommons.org/licenses/by/4.0/).
Share and Cite
Kaźmierska, A.; Bolesławska, I.; Jagielski, P.; Polańska, A.; Dańczak-Pazdrowska, A.; Kosewski, G.; Adamski, Z.; Przysławski, J. Effect of Evening Primrose Oil Supplementation on Biochemical Parameters and Nutrition of Patients Treated with Isotretinoin for Acne Vulgaris: A Randomized Double-Blind Trial. Nutrients 2022, 14, 1342. https://doi.org/10.3390/nu14071342
Kaźmierska A, Bolesławska I, Jagielski P, Polańska A, Dańczak-Pazdrowska A, Kosewski G, Adamski Z, Przysławski J. Effect of Evening Primrose Oil Supplementation on Biochemical Parameters and Nutrition of Patients Treated with Isotretinoin for Acne Vulgaris: A Randomized Double-Blind Trial. Nutrients. 2022; 14(7):1342. https://doi.org/10.3390/nu14071342
Chicago/Turabian StyleKaźmierska, Agnieszka, Izabela Bolesławska, Paweł Jagielski, Adriana Polańska, Aleksandra Dańczak-Pazdrowska, Grzegorz Kosewski, Zygmunt Adamski, and Juliusz Przysławski. 2022. "Effect of Evening Primrose Oil Supplementation on Biochemical Parameters and Nutrition of Patients Treated with Isotretinoin for Acne Vulgaris: A Randomized Double-Blind Trial" Nutrients 14, no. 7: 1342. https://doi.org/10.3390/nu14071342
APA StyleKaźmierska, A., Bolesławska, I., Jagielski, P., Polańska, A., Dańczak-Pazdrowska, A., Kosewski, G., Adamski, Z., & Przysławski, J. (2022). Effect of Evening Primrose Oil Supplementation on Biochemical Parameters and Nutrition of Patients Treated with Isotretinoin for Acne Vulgaris: A Randomized Double-Blind Trial. Nutrients, 14(7), 1342. https://doi.org/10.3390/nu14071342

