Combination of Caloric Restriction and a Mixed Training Protocol as an Effective Strategy to Counteract the Deleterious Effects in Trabecular Bone Microarchitecture Caused by a Diet-Induced Obesity in Sprague Dawley Rats
Abstract
:1. Introduction
2. Material and Methods
2.1. Animals, Diets, and Experimental Design
2.2. Training Protocol
2.3. Bone Marrow Analyses
2.4. Assessment of Bone Mass and Bone Microarchitecture
2.5. Ash Measurement and Elemental Composition of Femur
2.6. Statistical Analyses
3. Results and Discussion
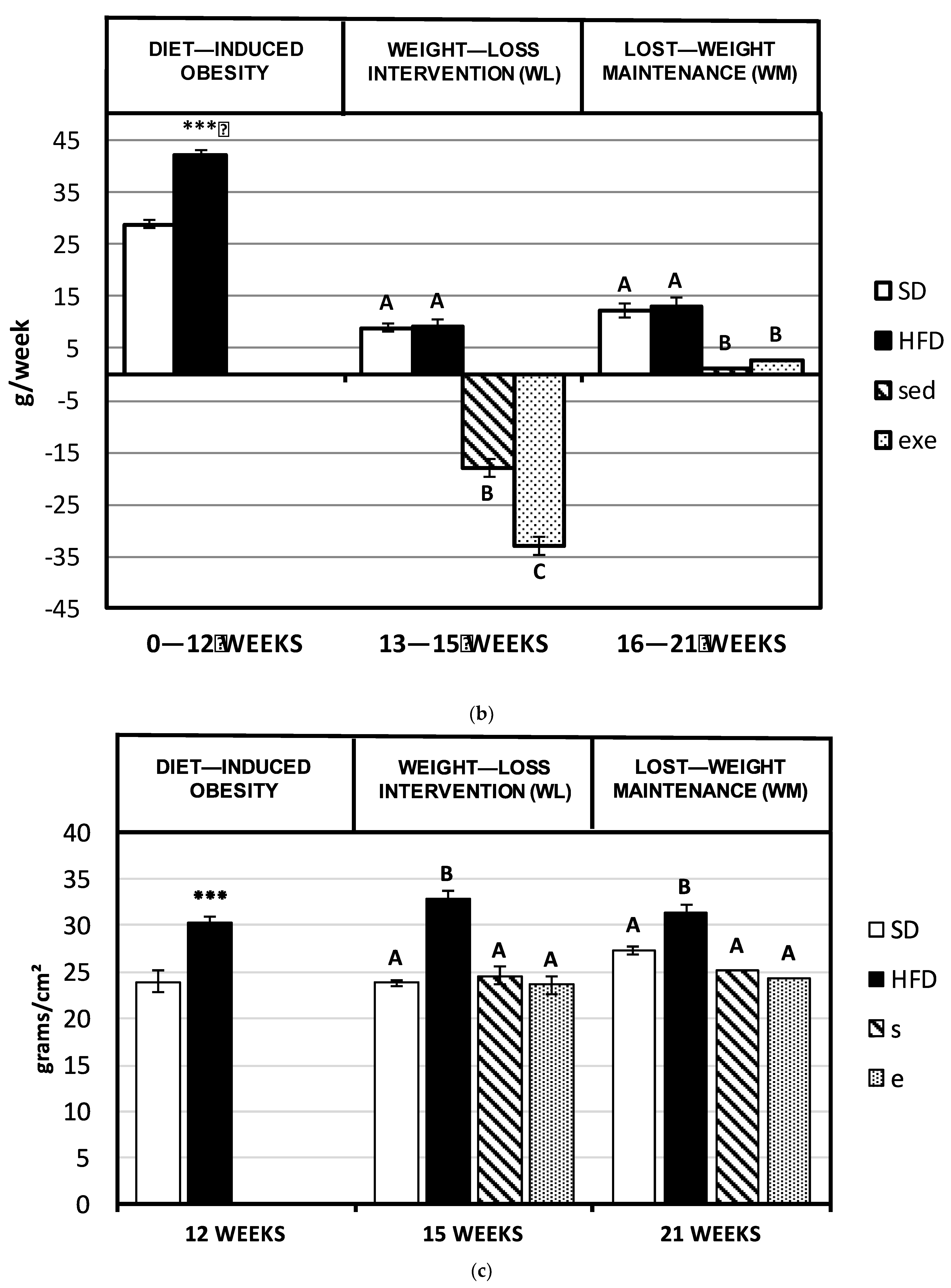
3.1. Caloric Intake, Body Weight Changes and Body Composition
Discussion
3.2. Bone Weight and Length, Metabolism Markers and Microarchitecture
Discussion
3.3. Ash and Bone Mineral Content
Discussion
4. Conclusions
Supplementary Materials
Author Contributions
Funding
Institutional Review Board Statement
Informed Consent Statement
Data Availability Statement
Acknowledgments
Conflicts of Interest
References
- Hruby, A.; Manson, J.E.; Qi, L.; Malik, V.S.; Rimm, E.B.; Sun, Q.; Willett, W.C.; Hu, F.B. Determinants and Consequences of Obesity. Am. J. Public Health 2016, 106, 1656–1662. [Google Scholar] [CrossRef]
- Jakubczyk, A.; Kiersnowska, K.; Ömeroğlu, B.; Gawlik-Dziki, U.; Tutaj, K.; Rybczyńska-Tkaczyk, K.; Szydłowska-Tutaj, M.; Złotek, U.; Baraniak, B. The Influence of Hypericum perforatum L. Addition to Wheat Cookies on Their Antioxidant, Anti-Metabolic Syndrome, and Antimicrobial Properties. Foods 2021, 10, 1379. [Google Scholar] [CrossRef]
- Koshovyi, O.; Granica, S.; Piwowarski, J.P.; Stremoukhov, O.; Kostenko, Y.; Kravchenko, G.; Krasilnikova, O.; Zagayko, A. Highbush Blueberry (Vaccinium corymbosum L.) Leaves Extract and Its Modified Arginine Preparation for the Management of Metabolic Syndrome-Chemical Analysis and Bioactivity in Rat Model. Nutrients 2021, 13, 2870. [Google Scholar] [CrossRef] [PubMed]
- Maclean, P.S.; Bergouignan, A.; Cornier, M.A.; Jackman, M.R. Biology’s response to dieting: The impetus for weight regain. Am. J. Physiol. Regul. Integr. Comp. Physiol. 2011, 301, R581–R600. [Google Scholar] [CrossRef] [PubMed]
- Yumuk, V.; Tsigos, C.; Fried, M.; Schindler, K.; Busetto, L.; Micic, D.; Toplak, H. European Guidelines for Obesity Management in Adults. Obes. Facts 2015, 8, 402–424. [Google Scholar] [CrossRef]
- Camacho, S.; Ruppel, A. Is the calorie concept a real solution to the obesity epidemic? Glob. Health Action 2017, 10, 1289650. [Google Scholar] [CrossRef]
- Golbidi, S.; Badran, M.; Laher, I. Antioxidant and anti-inflammatory effects of exercise in diabetic patients. Exp. Diabetes Res. 2012, 2012, 941868. [Google Scholar] [CrossRef]
- Bull, F.C.; Al-Ansari, S.S.; Biddle, S.; Borodulin, K.; Buman, M.P.; Cardon, G.; Carty, C.; Chaput, J.P.; Chastin, S.; Chou, R.; et al. World Health Organization 2020 guidelines on physical activity and sedentary behaviour. Br. J. Sports Med. 2020, 54, 1451–1462. [Google Scholar] [CrossRef] [PubMed]
- Picke, A.K.; Sylow, L.; Møller, L.L.V.; Kjøbsted, R.; Schmidt, F.N.; Steejn, M.W.; Salbach-Hirsch, J.; Hofbauer, C.; Blüher, M.; Saalbach, A.; et al. Differential effects of high-fat diet and exercise training on bone and energy metabolism. Bone 2018, 116, 120–134. [Google Scholar] [CrossRef]
- Nielson, C.M.; Srikanth, P.; Orwoll, E.S. Obesity and fracture in men and women: An epidemiologic perspective. J. Bone Miner. Res. 2012, 27, 1–10. [Google Scholar] [CrossRef]
- Palermo, A.; Tuccinardi, D.; Defeudis, G.; Watanabe, M.; D’Onofrio, L.; Lauria Pantano, A.; Napoli, N.; Pozzilli, P.; Manfrini, S. BMI and BMD: The Potential Interplay between Obesity and Bone Fragility. Int. J. Environ. Res. Public Health 2016, 13, 544. [Google Scholar] [CrossRef]
- Scheller, E.L.; Khoury, B.; Moller, K.L.; Wee, N.K.Y.; Khandaker, S.; Kozloff, K.M.; Abrishami, S.H.; Zamarron, B.F.; Singer, K. Changes in Skeletal Integrity and Marrow Adiposity during High-Fat Diet and after Weight Loss. Front. Endocrinol. 2016, 7, 102. [Google Scholar] [CrossRef] [PubMed]
- Chao, D.; Espeland, M.A.; Farmer, D.; Register, T.C.; Lenchik, L.; Applegate, W.B.; Ettinger, W.H., Jr. Effect of voluntary weight loss on bone mineral density in older overweight women. J. Am. Geriatr Soc. 2000, 48, 753–759. [Google Scholar] [CrossRef] [PubMed]
- Jensen, L.B.; Quaade, F.; Sørensen, O.H. Bone loss accompanying voluntary weight loss in obese humans. J. Bone Miner. Res. 1994, 9, 459–463. [Google Scholar] [CrossRef] [PubMed]
- Ricci, T.A.; Heymsfield, S.B.; Pierson, R.N., Jr.; Stahl, T.; Chowdhury, H.A.; Shapses, S.A. Moderate energy restriction increases bone resorption in obese postmenopausal women. Am. J. Clin. Nutr. 2001, 73, 347–352. [Google Scholar] [CrossRef]
- Gerbaix, M.; Metz, L.; Mac-Way, F.; Lavet, C.; Guillet, C.; Walrand, S.; Masgrau, A.; Vico, L.; Courteix, D. A well-balanced diet combined or not with exercise induces fat mass loss without any decrease of bone mass despite bone micro-architecture alterations in obese rat. Bone 2013, 53, 382–390. [Google Scholar] [CrossRef]
- Galisteo, M.; Sánchez, M.; Vera, R.; González, M.; Anguera, A.; Duarte, J.; Zarzuelo, A. A diet supplemented with husks of Plantago ovata reduces the development of endothelial dysfunction, hypertension, and obesity by affecting adiponectin and TNF-alpha in obese Zucker rats. J. Nutr. 2005, 135, 2399–2404. [Google Scholar] [CrossRef]
- Sengupta, P. A Scientific Review of Age Determination for a Laboratory Rat: How Old is it in Comparison with Human Age? Biomed Int. 2011, 2, 81–89. [Google Scholar]
- Ramage, S.; Farmer, A.; Eccles, K.A.; McCargar, L. Healthy strategies for successful weight loss and weight maintenance: A systematic review. Appl. Physiol. Nutr. Metab. 2014, 39, 1. [Google Scholar] [CrossRef]
- Directive 2010/63/EU of the European Parliament and of the Council of 22 September 2010 on the Protection of Animals used for Scientific Purposes. 2010, L276/233-279. Available online: https://eur-lex.europa.eu/LexUriServ/LexUriServ.do?uri=OJ%3AL%3A2010%3A276%3A0033%3A0079%3Aen%3APDF (accessed on 19 August 2022).
- Coll-Risco, I.; Aparicio, V.A.; Nebot, E.; Camiletti-Moirón, D.; Martínez, R.; Kapravelou, G.; López-Jurado, M.; Porres, J.M.; Aranda, P. Effects of interval aerobic training combined with strength exercise on body composition, glycaemic and lipid profile and aerobic capacity of obese rats. J. Sports Sci. 2016, 34, 1452–1460. [Google Scholar] [CrossRef]
- Lopez Trinidad, L.M.; Martinez, R.; Kapravelou, G.; Galisteo, M.; Aranda, P.; Porres, J.M.; Lopez-Jurado, M. Caloric restriction, physical exercise, and CB1 receptor blockade as an efficient combined strategy for bodyweight control and cardiometabolic status improvement in male rats. Sci. Rep. 2021, 11, 4286. [Google Scholar] [CrossRef] [PubMed]
- Sánchez-González, C.; López-Chaves, C.; Gómez-Aracena, J.; Galindo, P.; Aranda, P.; Llopis, J. Association of plasma manganese levels with chronic renal failure. J. Trace Elem. Med. Biol. 2015, 31, 78–84. [Google Scholar] [CrossRef] [PubMed]
- Bertrand, H.A.; Lynd, F.T.; Masoro, E.J.; Yu, B.P. Changes in adipose mass and cellularity through the adult life of rats fed ad libitum or a life-prolonging restricted diet. J. Gerontol. 1980, 35, 827–835. [Google Scholar] [CrossRef] [PubMed]
- Barzilai, N.; Gupta, G. Interaction between aging and syndrome X: New insights on the pathophysiology of fat distribution. Ann. N. Y. Acad Sci. 1999, 892, 58–72. [Google Scholar] [CrossRef] [PubMed]
- Lehnig, A.C.; Stanford, K.I. Exercise-induced adaptations to white and brown adipose tissue. J. Exp. Biol. 2018, 221, jeb161570. [Google Scholar] [CrossRef] [PubMed]
- Stallknecht, B.; Vinten, J.; Ploug, T.; Galbo, H. Increased activities of mitochondrial enzymes in white adipose tissue in trained rats. Am. J. Physiol. 1991, 261, E410–E414. [Google Scholar] [CrossRef]
- Stanford, K.I.; Middelbeek, R.J.; Goodyear, L.J. Exercise Effects on White Adipose Tissue: Beiging and Metabolic Adaptations. Diabetes 2015, 64, 2361–2368. [Google Scholar] [CrossRef]
- Vernochet, C.; Mourier, A.; Bezy, O.; Macotela, Y.; Boucher, J.; Rardin, M.J.; An, D.; Lee, K.Y.; Ilkayeva, O.R.; Zingaretti, C.M.; et al. Adipose-specific deletion of TFAM increases mitochondrial oxidation and protects mice against obesity and insulin resistance. Cell Metab. 2012, 16, 765–776. [Google Scholar] [CrossRef]
- Wu, M.V.; Bikopoulos, G.; Hung, S.; Ceddia, R.B. Thermogenic capacity is antagonistically regulated in classical brown and white subcutaneous fat depots by high fat diet and endurance training in rats: Impact on whole-body energy expenditure. J. Biol. Chem. 2014, 289, 34129–34140. [Google Scholar] [CrossRef]
- Yaspelkis, B.B., 3rd; Singh, M.K.; Krisan, A.D.; Collins, D.E.; Kwong, C.C.; Bernard, J.R.; Crain, A.M. Chronic leptin treatment enhances insulin-stimulated glucose disposal in skeletal muscle of high-fat fed rodents. Life Sci. 2004, 74, 1801–1816. [Google Scholar] [CrossRef]
- Bradley, R.L.; Jeon, J.Y.; Liu, F.F.; Maratos-Flier, E. Voluntary exercise improves insulin sensitivity and adipose tissue inflammation in diet-induced obese mice. Am. J. Physiol. Endocrinol. Metab. 2008, 295, E586–E594. [Google Scholar] [CrossRef] [PubMed] [Green Version]
- Zachwieja, J.J.; Hendry, S.L.; Smith, S.R.; Harris, R.B. Voluntary wheel running decreases adipose tissue mass and expression of leptin mRNA in Osborne-Mendel rats. Diabetes 1997, 46, 1159–1166. [Google Scholar] [CrossRef] [PubMed]
- Felson, D.T.; Zhang, Y.; Hannan, M.T.; Anderson, J.J. Effects of weight and body mass index on bone mineral density in men and women: The Framingham study. J. Bone Miner. Res. 1993, 8, 567–573. [Google Scholar] [CrossRef] [PubMed]
- Cao, J.J.; Gregoire, B.R.; Gao, H. High-fat diet decreases cancellous bone mass but has no effect on cortical bone mass in the tibia in mice. Bone 2009, 44, 1097–1104. [Google Scholar] [CrossRef]
- Cao, J.J.; Sun, L.; Gao, H. Diet-induced obesity alters bone remodeling leading to decreased femoral trabecular bone mass in mice. Ann. N. Y. Acad. Sci. 2010, 1192, 292–297. [Google Scholar] [CrossRef]
- Patsch, J.M.; Kiefer, F.W.; Varga, P.; Pail, P.; Rauner, M.; Stupphann, D.; Resch, H.; Moser, D.; Zysset, P.K.; Stulnig, T.M.; et al. Increased bone resorption and impaired bone microarchitecture in short-term and extended high-fat diet-induced obesity. Metabolism 2011, 60, 243–249. [Google Scholar] [CrossRef]
- Zhang, K.; Wang, C.; Chen, Y.; Ji, X.; Chen, X.; Tian, L.; Yu, X. Preservation of high-fat diet-induced femoral trabecular bone loss through genetic target of TNF-α. Endocrine 2015, 50, 239–249. [Google Scholar] [CrossRef]
- Tang, L.; Gao, X.; Yang, X.; Liu, C.; Wang, X.; Han, Y.; Zhao, X.; Chi, A.; Sun, L. Ladder-Climbing Training Prevents Bone Loss and Microarchitecture Deterioration in Diet-Induced Obese Rats. Calcif. Tissue Int. 2016, 98, 85–93. [Google Scholar] [CrossRef]
- Gautam, J.; Choudhary, D.; Khedgikar, V.; Kushwaha, P.; Singh, R.S.; Singh, D.; Tiwari, S.; Trivedi, R. Micro-architectural changes in cancellous bone differ in female and male C57BL/6 mice with high-fat diet-induced low bone mineral density. Br. J. Nutr. 2014, 111, 1811–1821. [Google Scholar] [CrossRef]
- Li, W.; Xu, P.; Wang, C.; Ha, X.; Gu, Y.; Wang, Y.; Zhang, J.; Xie, J. The effects of fat-induced obesity on bone metabolism in rats. Obes. Res. Clin. Pract. 2017, 11, 454–463. [Google Scholar] [CrossRef]
- Votava, L.; Schwartz, A.G.; Harasymowicz, N.S.; Wu, C.L.; Guilak, F. Effects of dietary fatty acid content on humeral cartilage and bone structure in a mouse model of diet-induced obesity. J. Orthop. Res. 2019, 37, 779–788. [Google Scholar] [CrossRef] [PubMed]
- Walsh, J.S.; Vilaca, T. Obesity, Type 2 Diabetes and Bone in Adults. Calcif. Tissue Int. 2017, 100, 528–535. [Google Scholar] [CrossRef] [PubMed]
- Lau, B.Y.; Fajardo, V.A.; McMeekin, L.; Sacco, S.M.; Ward, W.E.; Roy, B.D.; Peters, S.J.; Leblanc, P.J. Influence of high-fat diet from differential dietary sources on bone mineral density, bone strength, and bone fatty acid composition in rats. Appl. Physiol. Nutr. Metab. 2010, 35, 598–606. [Google Scholar] [CrossRef] [PubMed]
- Wang, Y.; Dellatore, P.; Douard, V.; Qin, L.; Watford, M.; Ferraris, R.P.; Lin, T.; Shapses, S.A. High fat diet enriched with saturated, but not monounsaturated fatty acids adversely affects femur, and both diets increase calcium absorption in older female mice. Nutr. Res. 2016, 36, 742–750. [Google Scholar] [CrossRef] [PubMed]
- Shah, K.; Armamento-Villareal, R.; Parimi, N.; Chode, S.; Sinacore, D.R.; Hilton, T.N.; Napoli, N.; Qualls, C.; Villareal, D.T. Exercise training in obese older adults prevents increase in bone turnover and attenuates decrease in hip bone mineral density induced by weight loss despite decline in bone-active hormones. J. Bone Miner. Res. 2011, 26, 2851–2859. [Google Scholar] [CrossRef]
- Villareal, D.T.; Chode, S.; Parimi, N.; Sinacore, D.R.; Hilton, T.; Armamento-Villareal, R.; Napoli, N.; Qualls, C.; Shah, K. Weight loss, exercise, or both and physical function in obese older adults. N. Engl. J. Med. 2011, 364, 1218–1229. [Google Scholar] [CrossRef]
- Ju, Y.I.; Sone, T.; Ohnaru, K.; Choi, H.J.; Choi, K.A.; Fukunaga, M. Jump exercise during hindlimb unloading protect against the deterioration of trabecular bone microarchitecture in growing young rats. Springerplus 2013, 2, 35. [Google Scholar] [CrossRef]
- Hildebrand, T.; Rüegsegger, P. Quantification of Bone Microarchitecture with the Structure Model Index. Comput. Methods Biomech. Biomed. Engin. 1997, 1, 15–23. [Google Scholar] [CrossRef]
- Hildebrand, T.; Rüegsegger, P. A new method for the model-independent assessment of thickness in three-dimensional images. J. Microsc. 1997, 185, 67–75. [Google Scholar] [CrossRef]
- Wee, N.; Herzog, H.; Baldock, P. Diet-induced obesity alters skeletal microarchitecture and the endocrine activity of bone. In Handbook of Nutrition and Diet in Therapy of Bone Diseases; Wageningen Academic Publishers: Wageningen, The Netherlands, 2016; pp. 1602–1606. [Google Scholar]
- Hunter, G.R.; Plaisance, E.P.; Fisher, G. Weight loss and bone mineral density. Curr. Opin. Endocrinol. Diabetes Obes. 2014, 21, 358–362. [Google Scholar] [CrossRef]
- Wong, S.K.; Chin, K.Y.; Suhaimi, F.H.; Ahmad, F.; Ima-Nirwana, S. The Relationship between Metabolic Syndrome and Osteoporosis: A Review. Nutrients 2016, 8, 347. [Google Scholar] [CrossRef] [PubMed] [Green Version]
- Tinkov, A.A.; Gatiatulina, E.R.; Popova, E.V.; Polyakova, V.S.; Skalvaya, A.A.; Agletdinov, E.F.; Nikonorov, A.A.; Radysh, I.V.; Kkarganov, M.Y.; Skalny, A.V. The impact of adipogenic diet on rats’ tissue trace elements content. Patol. Fiziol. Eksp. Ter. 2016, 60, 79–85. [Google Scholar] [PubMed]
- Antony Rathinasamy, J.I.R.; Uddandrao, V.V.S.; Raveendran, N.; Sasikumar, V. Antiobesity Effect of Biochanin-A: Effect on Trace Element Metabolism in High Fat Diet-Induced Obesity in Rats. Cardiovasc. Hematol. Agents Med. Chem. 2020, 18, 21–30. [Google Scholar] [CrossRef] [PubMed]
- Malmgren, L.; McGuigan, F.; Christensson, A.; Akesson, K.E. Reduced kidney function is associated with BMD, bone loss and markers of mineral homeostasis in older women: A 10-year longitudinal study. Osteoporos. Int. 2017, 28, 3463–3473. [Google Scholar] [CrossRef]
- Ip, T.Y.; Peterson, J.; Byrner, R.; Tou, J.C. Bone responses to body weight and moderate treadmill exercising in growing male obese (fa/fa) and lean Zucker rats. J. Musculoskelet. Neuronal. Interact. 2009, 9, 155–166. [Google Scholar]
- Song, Q.; Sergeev, I.N. High vitamin D and calcium intakes increase bone mineral (Ca and P) content in high-fat diet-induced obese mice. Nutr Res. 2015, 35, 146–154. [Google Scholar] [CrossRef]
- Mathey, J.; Horcajada-Molteni, M.N.; Chanteranne, B.; Picherit, C.; Puel, C.; Lebecque, P.; Cubizoles, C.; Davicco, M.J.; Coxam, V.; Barlet, J.P. Bone mass in obese diabetic Zucker rats: Influence of treadmill running. Calcif. Tissue Int. 2002, 70, 305–311. [Google Scholar] [CrossRef]
- Miya, N.; Uratani, A.; Chikamoto, K.; Naito, Y.; Terao, K.; Yoshikawa, Y.; Yasui, H. Effects of exercise on biological trace element concentrations and selenoprotein P expression in rats with fructose-induced glucose intolerance. J. Clin. Biochem. Nutr. 2020, 66, 124–131. [Google Scholar] [CrossRef] [Green Version]



| 0 WEEKS (Baseline) | Diet-Induced Obesity 12 WEEKS | Weight-Loss Intervention (WL) 15 WEEKS | Lost-Weight Maintenance Intervention (WM) 21 WEEKS | ||||||||
|---|---|---|---|---|---|---|---|---|---|---|---|
| SD | HFD | SD | HFD | WLs | WLe | SD | HFD | WMs | WMe | ||
| Body weight (g) | 172.7 (2.21) | 516.5 (18.9) | 664.3 *** (14.1) | 503 a (8.44) | 705 b (15.1) | 566 c (11.2) | 552 abc (23.4) | 631 a (19.8) | 742 b (24.6) | 639 a (9.33) | 574 a (19.9) | 
| Lean body mass (g) | 155.9 (2.13) | 422.2 (12.9) | 453.4 (14.8) | 414.3 a (8.21) | 479 b (5.80) | 448.2 ab (11.4) | 442 ab (16.9) | 481.8 a (12.9) | 500.4 a (14.6) | 490.3 a (9.67) | 483.8 a (11.2) | 
| Total water (g) | 136.3 (1.92) | 351.8 (10.7) | 377.7 (9.64) | 339.3 a (7.69) | 397.6 b (5.78) | 375.8 ab (11.8) | 372.6 ab (13.1) | 405.0 a (12.0) | 416.1 a (24.4) | 408.6 a (5.77) | 409.1 a (11.4) | 
| ΔLBM/ΔBW | 0.78 (0.02) | 0.61 *** (0.02) | 0.76 a (0.02) | 0.61 b (0.02) | 0.74 a (0.02) | 0.76 a (0.03) | 0.71 a (0.03) | 0.60 b (0.02) | 0.74 ac (0.03) | 0.82 c (0.03) | |
| LB/TW | 1.14 (0.004) | 1.20 (0.02) | 1.20 (0.02) | 1.221 (0.02) | 1.205 (0.02) | 1.193 (0.02) | 1.186 (0.02) | 1.190 (0.02) | 1.203 (0.02) | 1.200 (0.02) | 1.183 (0.02) | 
| Fat mass (g) | 8.06 (0.75) | 54.8 (5.07) | 122.8 *** (9.34) | 49.2 a (6.68) | 178.7 b (12.6) | 73.3 a (10.2) | 63.5 a (10.8) | 90.6 a (7.54) | 161.7 b (15.1) | 110.7 a (8.70) | 39.7 c (7.25) | 
| Abdominal fat (g) | 0.69 (0.07) | 12.9 (1.14) | 28.8 *** (2.16) | 11.2 a (1.46) | 43.0 b (3.0) | 18.8 a (2.65) | 16.2 a (2.32) | 19.7 a (2.02) | 38.5 b (2.49) | 27.2 a (2.44) | 9.88 c (1.57) | 
| Epydidimal fat (g) | 1.05 (0.09) | 8.73 (0.79) | 16.7 *** (0.88) | 8.19 a (0.74) | 20.7 b (1.10) | 12.8 a (1.57) | 12.2 a (1.72) | 11.6 a (0.75) | 21.0 b (1.61) | 12.5 a (0.68) | 7.34 c (0.61) | 
| 0 WEEKS (Baseline) | Diet-Induced Obesity 12 WEEKS | Weight-Loss Intervention (WL) 15 WEEKS | Lost-Weight Maintenance Intervention (WM) 21 WEEKS | ||||||||
|---|---|---|---|---|---|---|---|---|---|---|---|
| SD | HFD | SD | HFD | WLs | WLe | SD | HFD | WMs | WMe | ||
| Femur weight (g) | 0.58 (0.02) | 1.37 (0.04) | 1.94 *** (0.09) | 1.47 a (0.02) | 1.82 b (0.03) | 1.41 a (0.06) | 1.40 a (0.06) | 1.74 ab (0.04) | 1.77 b (0.09) | 1.57 a (0.03) | 1.73 ab (0.06) | 
| Femur length (cm) | 2.89 (0.02) | 4.15 (0.03) | 4.35 ** (0.05) | 4.21 a (0.04) | 4.32 a (0.03) | 4.28 a (0.05) | 4.33 a (0.04) | 4.36 a (0.04) | 4.34 a (0.07) | 4.36 a (0.04) | 4.36 a (0.04) | 
| Tibial weight (g) | 0.74 (0.03) | 1.44 (0.03) | 1.54 (0.02) | 1.31 (0.05) | 1.56 (0.06) | 1.58 (0.04) | 1.52 (0.06) | 1.57 (0.06) | 1.72 (0.05) | 1.53 (0.02) | 1.68 (0.11) | 
| Tibial length (cm) | 3.36 (0.04) | 4.66 (0.03) | 4.64 (0.05) | 4.59 (0.03) | 4.65 (0.03) | 4.79 (0.05) | 4.77 (0.04) | 4.82 (0.06) | 4.92 (0.08) | 4.73 (0.02) | 4.84 (0.05) | 
| Bone marrow | |||||||||||
| RANKL (pg/mL) | 1339.5 (216.9) | 990.3 (87.6) | 1624.5 (310.6) | 1154.9 a (260.0) | 1621.5 a (233.5) | 916.7 a (209.4) | 1044.5 a (179.5) | 1021.6 a (280.3) | 848.9 a (137.5) | 1024 a (96.2) | 1032.3 a (260.4) | 
| IL-1β (pg/mL) | 69.1 (7.12) | 133.6 (11.6) | 117.8 (7.38) | 128.1 a (13.6) | 139.9 a (25.7) | 153.2 a (15.3) | 126.0 a (6.70) | 134.0 a (13.1) | 180.6 a (46.9) | 151.0 a (13.2) | 159.7 a (13.7) | 
| Leptin (pg/mL) | 5.29 (1.17) | 32.4 (7.41) | 27.4 (9.20) | 26.5 a (11.8) | 46.2 a (15.3) | 23.5 a (8.45) | 35.2 a (10.2) | 39.9 a (9.1) | 59.9 a (19.2) | 44.5 a (7.84) | 34.4 a (13.1) | 
| 0 WEEKS (Baseline) | Diet-Induced Obesity 12 WEEKS | Weight-Loss Intervention (WL) 15 WEEKS | Lost-Weight Maintenance Intervention (WM) 21 WEEKS | ||||||||
|---|---|---|---|---|---|---|---|---|---|---|---|
| SD | HFD | SD | HFD | WLs | WLe | SD | HFD | WMs | WMe | ||
| TV (mm3) | 29.9 (0.9) | 68.4 (3.3) | 78.2 (4.0) | 70.4 (2.5) ab | 76.5 (1.9) b | 65.1 (3.6) a | 69.9 (2.9) ab | 81.7 (3.2) b | 76.6 (3.5) ab | 70.9 (1.5) a | 71.3 (2.7) a | 
| BV (mm3) | 2.78 (0.3) | 20.8 (1.6) | 18.6 (1.9) | 22.4 (1.4) b | 13.6 (0.9) a | 12.7 (1.2) a | 14.3 (1.1) a | 19.4 (1.3) b | 14.5 (0.6) a | 17.8 (1.7) ab | 19.1 (2.2) ab | 
| BV/TV | 0.09 (0.01) | 0.30 (0.02) | 0.24 * (0.02) | 0.32 (0.02) b | 0.18 (0.01) a | 0.20 (0.02) a | 0.21 (0.01) a | 0.24 (0.02) ab | 0.19 (0.01) a | 0.25 (0.02) a | 0.27 (0.03) b | 
| Conn. D (1/mm3) | 44.3 (10.4) | 92.9 (4.1) | 67.0 *** (3.5) | 92.7 (4.9) b | 52.9 (5.5) a | 47.9 (2.3) a | 48.2 (2.7) a | 60.9 (3.1) b | 45.5 (3.2) a | 44.7 (4.2) a | 44.8 (5.4) a | 
| SMI | 3.13 (0.1) | 1.18 (0.2) | 1.57 (0.1) | 1.04 (0.1) a | 1.91 (0.1) b | 1.77 (0.1) b | 1.69 (0.1) b | 1.45 (0.1) bc | 1.77 (0.1) c | 1.19 (0.1) ab | 0.98 (0.2) a | 
| Tb. N (1/mm) | 3.31 (0.23) | 4.06 (0.13) | 2.54 *** (0.28) | 3.91 (0.13) c | 2.08 (0.18) a | 2.62 (0.12) b | 2.64 (0.11) b | 2.72 (0.23) b | 2.06 (0.17) a | 2.85 (0.18) b | 2.84 (0.21) b | 
| Tb. Th (mm) | 0.051 (0.002) | 0.096 (0.004) | 0.099 (0.004) | 0.101 (0.005) c | 0.091 (0.002) b | 0.074 (0.003) a | 0.077 (0.002) a | 0.098 (0.005) b | 0.093 (0.003) ab | 0.087 (0.002) a | 0.093 (0.003) ab | 
| Tb. Sp (mm) | 0.32 (0.02) | 0.24 (0.01) | 0.45 ** (0.06) | 0.25 (0.01) a | 0.53 (0.05) b | 0.31 (0.02) a | 0.31 (0.02) a | 0.40 (0.04) b | 0.53 (0.04) c | 0.27 (0.03) a | 0.27 (0.03) a | 
| Mean density TV (mg HA/cm3) | 143.9 (11.4) | 295.4 (16.9) | 232.2 * (16.8) | 302.7 (12.8) b | 177.8 (11.3) a | 202.1 (11.9) a | 208.4 (11.7) a | 238.5 (18.5) ab | 196.7 (10.4) a | 237.8 (16.4) ab | 253.6 (16.9)b | 
| Mean density BV (mg HA/cm3) | 645.9 (2.9) | 787.9 (6.0) | 802.1 (6.9) | 795.1 (7.6) a | 791.8 (7.2) a | 794.3 (5.0) a | 792.1 (7.0) a | 807.0 (8.6) a | 811.4 (6.6) a | 810.5 (5.1) a | 817.8 (4.6) a | 
| 0 WEEKS (Baseline) | Diet-Induced Obesity 12 WEEKS | Weight-Loss Intervention (WL) 15 WEEKS | Lost-Weight Maintenance Intervention (WM) 21 WEEKS | ||||||||
|---|---|---|---|---|---|---|---|---|---|---|---|
| SD | HFD | SD | HFD | WLs | WLe | SD | HFD | WMs | WMe | ||
| TV (mm3) | 22.0 (0.4) | 56.4 (2.8) | 64.2 (3.5) | 56.7 (1.36) a | 64.1 (1.43) b | 60.1 (2.80) b | 62.9 (2.38) b | 69.8 (2.1) a | 69.7 (3.2) a | 70.1 (2.5) a | 71.5 (3.0) a | 
| BV (mm3) | 9.26 (0.15) | 33.8 (1.3) | 39.3 (0.04) * | 35.1 (0.82) a | 39.9 (1.18) b | 38.0 (1.58) b | 39.4 (1.82) b | 43.6 (0.9) a | 44.2 (2.1) a | 44.8 (1.3) a | 45.6 (1.8) a | 
| BV/TV | 0.42 (0.09) | 0.60 (0.01) | 0.61 (0.003) | 0.62 (0.01) a | 0.62 (0.01) a | 0.63 (0.01) a | 0.63 (0.01) a | 0.63 (0.01) a | 0.63 (0.01) a | 0.64 (0.01) a | 0.64 (0.01) a | 
| Ct. Th (mm) | 0.35 (0.01) | 0.77 (0.02) | 0.78 (0.06) | 0.80 (0.02) a | 0.84 (0.02) a | 0.85 (0.02) a | 0.85 (0.02) a | 0.87 (0.02) a | 0.89 (0.02) a | 0.90 (0.02) a | 0.91 (0.03) a | 
| Mean pore diameter (mm) | 0.063 (0.002) | 0.040 (0.005) | 0.028 (0.003) * | 0.047 (0.007) ab | 0.035 (0.007) a | 0.050 (0.009) ab | 0.085 (0.02) b | 0.038 (0.006) ab | 0.031 (0.004) a | 0.042 (0.008) ab | 0.087 (0.02) b | 
| Ct.Po (%) | 0.148 (0.004) | 0.049 (0.001) | 0.041 (0.001) *** | 0.044 (0.001) a | 0.041 (0.001) a | 0.050 (0.001) b | 0.044 (0.002) a | 0.038 (0.001) a | 0.037 (0.001) a | 0.043 (0.004) a | 0.039 (0.002) a | 
| Mean density of BV (mg HA/cm3) | 897.6 (4.8) | 1050.6 (4.6) | 1081.4 (4.9) *** | 1074.3 (2.8) b | 1083.9 (3.9) b | 1022.8 (5.32) a | 1068.2 (11.8) b | 1107.2 (4.7) a | 1098.5 (5.0) a | 1088.9 (14.5) a | 1101.5 (7.9) a | 
| 0 WEEKS (Baseline) | Diet-Induced Obesity 12 WEEKS | Weight-Loss Intervention (WL) 15 WEEKS | Lost-Weight Maintenance Intervention (WM) 21 WEEKS | ||||||||
|---|---|---|---|---|---|---|---|---|---|---|---|
| SD | HFD | SD | HFD | WLs | WLe | SD | HFD | WMs | WMe | ||
| Ash (%) | 53.3 (0.9) | 58.3 (1.1) | 57.4 (1.5) | 56.2 a (0.4) | 56.7 a (0.9) | 60.7 a (1.4) | 58.7 ab (0.8) | 58.4 a (0.7) | 58.5 a (0.9) | 59.5 a (0.7) | 58.2 a (1.4) | 
| P (g/kg) | 94.2 (2.3) | 129.6 (3.8) | 107.3 *** (3.1) | 116.6 a (5.1) | 107.8 a (3.0) | 114.3 a (5.3) | 132.0 a (3.4) | 119.6 a (3.1) | 131.3 b (4.1) | 130.6 b (1.7) | 117.9 a (2.8) | 
| Ca (g/kg) | 177.9 (4.7) | 255.8 (7.3) | 225.7 * (6.7) | 231.6 a (9.4) | 224.3 a (6.3) | 228.8 a (1.2) | 254.2 a (3.8) | 247.3 ab (6.6) | 237.5 a (7.2) | 259.5 b (3.2) | 237.1 a (5.5) | 
| Mg (g/kg) | 3.42 (0.08) | 4.39 (0.15) | 3.13 *** (0.12) | 3.54 ab (0.20) | 3.06 a (0.10) | 3.35 ab (0.16) | 4.17 b (0.17) | 3.72 b (0.13) | 4.17 c (0.15) | 3.78 b (0.06) | 3.36 a (0.11) | 
| K (g/kg) | 5.04 (0.14) | 1.71 (0.07) | 1.79 (0.16) | 2.36 c (0.20) | 1.82 ab (0.12) | 1.95 b (0.10) | 1.51 a (0.07) | 1.62 a (0.10) | 1.74 a (0.08) | 1.58 a (0.08) | 1.76 a (0.12) | 
| Fe (mg/kg) | 88.5 (6.4) | 45.2 (7.1) | 44.0 (7.8) | 68.6 ab (6.7) | 46.8 a (4.3) | 72.1 ab (9.1) | 84.5 b (17.4) | 51.0 a (3.5) | 69.4 a (8.4) | 70.8 a (11.4) | 66.5 a (7.7) | 
| Zn (mg/kg) | 221.3 (11.5) | 219.1 (6.6) | 216.8 (10.8) | 200.4 a (6.9) | 215.8 a (3.5) | 244.9 b (10.4) | 241.5 b (8.7) | 186.2 a (7.2) | 235.8 bc (7.3) | 257.5 c (6.8) | 230.8 b (4.5) | 
| Cu (mg/kg) | 2.11 (0.22) | 1.00 (0.17) | 0.78 * (0.05) | 1.57 b (0.08) | 0.91 a (0.05) | 1.93 c (0.06) | 0.82 a (0.05) | 0.73 a (0.04) | 1.01 ab (0.05) | 1.24 bc (0.06) | 1.63 c (0.08) | 
| Mn (µg/kg) | 428.1 (16.3) | 358.1 (86.7) | 205.0 *** (21.5) | 326.2 ab (43.4) | 189.8 a (15.2) | 374.9 b (22.8) | 288.2 ab (28.3) | 219.3 a (17.4) | 186.4 a (9.0) | 401.9 c (32.5) | 309.8 b (11.7) | 
| Se (µg/kg) | 395.2 (18.8) | 238.8 (18.2) | 245.8 (14.3) | 272.9 a (14.3) | 261.0 a (14.8) | 229.8 a (26.4) | 274.6 a (22.1) | 244.5 a (20.3) | 266.6 a (20.5) | 218.6 a (17.5) | 239.8 a (14.2) | 
| V (µg/kg) | 10.7 (1.0) | 31.0 (6.3) | 19.5 (6.7) | 15.4 a (4.4) | 60.4 c (6.7) | 34.1 b (3.8) | 26.4 ab (4.2) | 48.9 ab (6.4) | 61.7 b (4.9) | 26.5 a (2.1) | 25.1 a (2.4) | 
| Co (µg/kg) | 56.9 (2.2) | 76.5 (2.3) | 62.8 *** (2.0) | 79.1 bc (4.1) | 67.4 ab (2.6) | 89.0 c (5.6) | 62.3 a (1.4) | 88.5 d (2.9) | 51.8 a (3.8) | 79.0 c (2.9) | 69.4 b (1.8) | 
| Sc (µg/kg) | 435.8 (13.5) | 483.8 (37.6) | 551.9 (15.0) | 509.3 ab (29.0) | 565.5 bc (16.4) | 612.7 c (27.0) | 442.4 a (13.5) | 631.3 b (17.6) | 666.4 b (22.2) | 502.0 a (8.0) | 493.3 a (13.6) | 
| As (µg/kg) | 67.8 (4.5) | 91.2 (11.4) | 23.9 *** (2.7) | 84.5 c (5.3) | 24.6 a (1.8) | 40.5 b (5.1) | 52.0 b (4.9) | 75.3 c (4.8) | 40.9 a (3.1) | 58.0 b (5.2) | 58.2 b (7.0) | 
| Publisher’s Note: MDPI stays neutral with regard to jurisdictional claims in published maps and institutional affiliations. | 
© 2022 by the authors. Licensee MDPI, Basel, Switzerland. This article is an open access article distributed under the terms and conditions of the Creative Commons Attribution (CC BY) license (https://creativecommons.org/licenses/by/4.0/).
Share and Cite
Nebot, E.; Martínez, R.; Kapravelou, G.; Sánchez, C.; Llopis, J.; Aranda, P.; Porres, J.M.; López-Jurado, M.; Pietschmann, P. Combination of Caloric Restriction and a Mixed Training Protocol as an Effective Strategy to Counteract the Deleterious Effects in Trabecular Bone Microarchitecture Caused by a Diet-Induced Obesity in Sprague Dawley Rats. Nutrients 2022, 14, 3672. https://doi.org/10.3390/nu14183672
Nebot E, Martínez R, Kapravelou G, Sánchez C, Llopis J, Aranda P, Porres JM, López-Jurado M, Pietschmann P. Combination of Caloric Restriction and a Mixed Training Protocol as an Effective Strategy to Counteract the Deleterious Effects in Trabecular Bone Microarchitecture Caused by a Diet-Induced Obesity in Sprague Dawley Rats. Nutrients. 2022; 14(18):3672. https://doi.org/10.3390/nu14183672
Chicago/Turabian StyleNebot, Elena, Rosario Martínez, Garyfallia Kapravelou, Cristina Sánchez, Juan Llopis, Pilar Aranda, Jesús M. Porres, María López-Jurado, and Peter Pietschmann. 2022. "Combination of Caloric Restriction and a Mixed Training Protocol as an Effective Strategy to Counteract the Deleterious Effects in Trabecular Bone Microarchitecture Caused by a Diet-Induced Obesity in Sprague Dawley Rats" Nutrients 14, no. 18: 3672. https://doi.org/10.3390/nu14183672
APA StyleNebot, E., Martínez, R., Kapravelou, G., Sánchez, C., Llopis, J., Aranda, P., Porres, J. M., López-Jurado, M., & Pietschmann, P. (2022). Combination of Caloric Restriction and a Mixed Training Protocol as an Effective Strategy to Counteract the Deleterious Effects in Trabecular Bone Microarchitecture Caused by a Diet-Induced Obesity in Sprague Dawley Rats. Nutrients, 14(18), 3672. https://doi.org/10.3390/nu14183672
 
        






 
       