Mineral Composition of Dietary Supplements-Analytical and Chemometric Approach
Abstract
:1. Introduction
2. Materials and Methods
2.1. Sample Preparation
2.2. Reagents and Standards
2.3. Determination Procedure
2.4. Method Validation
- SDa—standard deviation of the intercept for the calibration curve;
- b—slope for the calibration curve;
2.5. Calculations
2.5.1. Content Calculations
2.5.2. Intake Assessment
2.5.3. The Realisation of Dietary Recommendations and Health Risk Assessment
2.5.4. Statistical Analysis
3. Results and Discussion
3.1. Content of the Analysed Elements
3.1.1. Macrominerals in Beetroots and Dietary Supplements
3.1.2. Microminerals in Beetroots and Dietary Supplements
3.2. Realisation of Dietary Recommendations
3.2.1. Realisation of Dietary Recommendations by Analysed Beetroots
3.2.2. Contribution to Mineral Intake by the Analysed Beetroot-Based Dietary Supplements
3.3. Verification of Manufacturers’ Declarations on Fe Content
3.4. Health Risk Assessment
3.4.1. Content of Toxic Elements in Samples vs. the European Commission Regulations
3.4.2. Health Risk Assessment for Population
3.5. Statistical Analysis
3.5.1. Correlation Analysis
3.5.2. Kruskal–Wallis Test
3.5.3. Post-Hoc Dunn’s Test
3.5.4. Factor Analysis
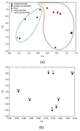
3.5.5. Cluster Analysis
4. Conclusions
Supplementary Materials
Author Contributions
Funding
Institutional Review Board Statement
Informed Consent Statement
Data Availability Statement
Conflicts of Interest
References
- Nikan, M.; Manayi, A. Beta vulgaris L.; Elsevier Inc.: Amsterdam, The Netherlands, 2019; ISBN 9780128124918. [Google Scholar]
- Chhikara, N.; Kushwaha, K.; Sharma, P.; Gat, Y.; Panghal, A. Bioactive compounds of beetroot and utilization in food processing industry: A critical review. Food Chem. 2019, 272, 192–200. [Google Scholar] [CrossRef] [PubMed]
- Ninfali, P.; Angelino, D. Nutritional and functional potential of Beta vulgaris cicla and rubra. Fitoterapia 2013, 89, 188–199. [Google Scholar] [CrossRef]
- Odoh, U.E.; Ezugwu, C.O.; Okoro, E.C. Quantitative phytochemical, proximate/nutritive composition analysis of Beta vulgaris Linnaeus (Chenopodiaceae). Planta Med. 2012, 78, 3723–3728. [Google Scholar] [CrossRef]
- Singh, B.; Hathan, B.S. Chemical composition, functional properties and processing of beetroot-a review. J. Food Sci. Technol. 2012, 49, 22–32. [Google Scholar]
- Enechi, O.; Odonwodo, I. An assessment of the phytochemical and nutrient composition of the pulverized root of Cissus Quadrangularis. Bio-Research 2004, 1, 63–68. [Google Scholar] [CrossRef]
- Shaker, J.L.; Deftos, L. Calcium and phosphate homeostasis. In Endocrine and Reproductive Physiology; MDText.com, Inc.: Mosby, MO, USA, 2013. [Google Scholar]
- Chen, J.; Jiang, Y.; Shi, H.; Peng, Y.; Fan, X.; Li, C. The molecular mechanisms of copper metabolism and its roles in human diseases. Pflug. Arch. Eur. J. Physiol. 2020, 472, 1415–1429. [Google Scholar] [CrossRef]
- Zinc-Health Professional Fact Sheet. Available online: https://ods.od.nih.gov/factsheets/Zinc-HealthProfessional/ (accessed on 16 May 2021).
- Chasapis, C.T.; Ntoupa, P.S.A.; Spiliopoulou, C.A.; Stefanidou, M.E. Recent aspects of the effects of zinc on human health. Arch. Toxicol. 2020, 94, 1443–1460. [Google Scholar] [CrossRef]
- Chen, P.; Bornhorst, J.; Aschner, M. Manganese metabolism in humans. Front. Biosci.-Landmark 2018, 23, 1655–1679. [Google Scholar] [CrossRef] [Green Version]
- Székely, D.; Furulyás, D.; Stéger-Máté, M. Investigation of mineral and vitamin C contents in different parts of beetroots (Beta vulgaris L.). Not. Bot. Horti Agrobot. Cluj-Napoca 2019, 47, 615–620. [Google Scholar] [CrossRef] [Green Version]
- Abbaspour, N.; Hurrell, R.; Kelishadi, R. Review on iron and its importance for human health. J. Res. Med. Sci. 2014, 19, 164–174. [Google Scholar]
- Briguglio, M.; Hrelia, S.; Malaguti, M.; Lombardi, G.; Riso, P.; Porrini, M.; Perazzo, P.; Banfi, G. The central role of iron in human nutrition: From folk to contemporary medicine. Nutrients 2020, 12, 1761. [Google Scholar] [CrossRef] [PubMed]
- Oppenheimer, S.J. Iron and its relation to immunity and infectious disease. J. Nutr. 2001, 131, 616S–633S. [Google Scholar] [CrossRef] [Green Version]
- Szymański, G. Istota i rozwój aptek internetowych jako trend współczesnej rzeczywistości gospodarczej—implikacje dla procesu zarządzania. Przegląd Organ. 2018, 9, 41–46. [Google Scholar] [CrossRef]
- Brzezińska, J.; Grembecka, M. Suplementy diety–specyficzna żywność. Postępy Higieny i Medycyny Doświadczalnej 2021, 27, 655–673. [Google Scholar] [CrossRef]
- GIS Zasady Wprowadzania do Obrotu Suplementów Diety. Available online: http://www.wsse.gda.pl/nadzor-sanitarny/oddzial-bezpieczenstwa-zywnosci-zywienia-i-produktow-kosmetycznych/suplementy-diety/56-zasady-wprowadzania-do-obrotu-suplementow-diety (accessed on 8 July 2020).
- Register of Products Subject to the Notification of the First Marketing. Available online: https://powiadomienia.gis.gov.pl/ (accessed on 27 September 2021).
- Smichowski, P.; Londonio, A. The role of analytical techniques in the determination of metals and metalloids in dietary supplements: A review. Microchem. J. 2018, 136, 113–120. [Google Scholar] [CrossRef]
- Ćwieląg-Drabek, M.; Piekut, A.; Gut, K.; Grabowski, M. Risk of cadmium, lead and zinc exposure from consumption of vegetables produced in areas with mining and smelting past. Sci. Rep. 2020, 10, 3363. [Google Scholar] [CrossRef]
- Dziubanek, G.; Baranowska, R.; Ćwieląg-Drabek, M.; Spychała, A.; Piekut, A.; Rusin, M.; Hajok, I. Cadmium in edible plants from Silesia, Poland, and its implications for health risk in populations. Ecotoxicol. Environ. Saf. 2017, 142, 8–13. [Google Scholar] [CrossRef] [PubMed]
- World Health Organization. Evaluation of Certain Contaminants in Food; World Health Organization: Geneva, Switzerland, 2011. [Google Scholar]
- Commission of the European Communities. Commission Regulation (EC) No 1181/2006 of 19 December 2006 setting maximum levels for certain contaminants in foodstuffs. Off. J. Eur. Union 2006, 364, 5–24. [Google Scholar]
- European Commission. Commission Regulation (EC) No 629/2008 of 2 July 2008 Amending Regulation (EC) No 1881/2006 Setting Maximum Levels for Certain Contaminants in Foodstuffs (Text with EEA Relevance); European Council: Brussels, Belgium, 2008; pp. 6–9. [Google Scholar]
- Huber, L. Validation of analytical methods and processes. In Pharmaceutical Process Validation; Nash, R.A., Wachter, A.H., Eds.; CRC Press: Boca Raton, FL, USA, 2003; ISBN 9780203912119. [Google Scholar]
- Jarosz, M.; Rychlik, E.; Stoś, K.; Charzewska, J. Normy Żywienia Dla Populacji Polski i Ich Zastosowanie; Narodowy Instytut Zdrowia Publicznego–Państwowy Zakład Higieny: Warszawa, Poland, 2020; ISBN 9788365870285. [Google Scholar]
- Wawrzyniak, A.; Przybyłowicz, K.; Wądołowska, L.; Charzewska, J.; Górecka, D.; Lange, E. Statement of the Committee of Human Nutrition Science of the Polish Academy of Sciences on the use of dietary supplements containing vitamins and minerals by adults. Rocz. Panstw. Zakl. Hig. 2021, 72, 321–326. [Google Scholar] [CrossRef]
- Europe Food Supplements Setting of Tolerances for Nutrient Vaues Declared on a Label. Guidance for Food Supplements. Available online: https://foodsupplementseurope.org/wp-content/themes/fse-theme/documents/publications-and-guidelines/fse-setting-of-tolerances-for-nutrient-values-declared-on-a-label.pdf (accessed on 16 October 2021).
- United States Pharmacopeial 497 Convention. Elemental Contaminants in Dietary Supplements. In States Pharmacopeia and National Formulary (USP 43-NF 38); United States Pharmacopeial Convention, Inc.: Rockville, MD, USA, 2021. [Google Scholar]
- Szefer, P. Chemometric techniques in analytical evaluation of food quality. In Mineral Components in Foods; Szefer, P., Nriagu, J., Eds.; CRC Press–Taylor & Francis: Boca Raton, FL, USA, 2019; pp. 163–229. ISBN 9780429122576. [Google Scholar]
- Jajuga, K.; Walesiak, M. Standardisation of data set under different measurement scales. In Classification and Information Processing at the Turn of the Millennium. Studies in Classification, Data Analysis, and Knowledge Organization; Decker, R., Gaul, W., Eds.; Springer: Berlin/Heidelberg, Germany, 2000; pp. 105–112. ISBN 978-3-540-67589-1. [Google Scholar]
- Peshawa, J.M.A.; Rezhna, H.F. Data normalization and standardization: A technical report. Mach. Learn. Tech. Rep. 2014, 1, 1–6. [Google Scholar]
- Ndunge, G.; Njoroge Kariuki, D.; Josiah Mangala, M.; James Gatari, M. Analysis of beetroot bulbs (Beta vulgaris) from selected geographical regions in Kenya: Essential nutritional elements contents. J. Food Nutr. Sci. 2020, 8, 112. [Google Scholar]
- Magro, F.O.; da Silva, E.G.; Takata, W.H.S.; Cardoso, A.I.I.; Fernandes, D.M.; Evangelista, R.M. Organic compost and potassium top dressing fertilization on production and quality of beetroot. Aust. J. Crop Sci. 2015, 9, 962–967. [Google Scholar]
- Petek, M.; Toth, N.; Pecina, M.; Karažija, T.; Lazarević, B.; Palčić, I.; Veres, S.; Ćustić, M.H. Beetroot mineral composition affected by mineral and organic fertilization. PLoS ONE 2019, 14, e0221767. [Google Scholar] [CrossRef]
- Wruss, J.; Waldenberger, G.; Huemer, S.; Uygun, P.; Lanzerstorfer, P.; Müller, U.; Höglinger, O.; Weghuber, J. Compositional characteristics of commercial beetroot products and beetroot juice prepared from seven beetroot varieties grown in Upper Austria. J. Food Compos. Anal. 2015, 42, 46–55. [Google Scholar] [CrossRef] [Green Version]
- Adams, S. The effect of sodium and potassium fertilizer on the mineral composition of sugar beet. J. Agric. Sci. 1961, 56, 383–388. [Google Scholar] [CrossRef]
- Lisiewska, Z.; Kmiecik, W.; Gȩebczyńnski, P. Effects on mineral content of different methods of preparing frozen root vegetables. Food Sci. Technol. Int. 2006, 12, 497–503. [Google Scholar] [CrossRef]
- Ekholm, P.; Reinivuo, H.; Mattila, P.; Pakkala, H.; Koponen, J.; Happonen, A.; Hellström, J.; Ovaskainen, M.L. Changes in the mineral and trace element contents of cereals, fruits and vegetables in Finland. J. Food Compos. Anal. 2007, 20, 487–495. [Google Scholar] [CrossRef]
- Grembecka, M.; Szefer, P.; Dybek, K.; Gurzyńska, A. Ocena zawartości wybranych biopierwiastków w warzywach. Rocz. Państwowego Zakładu Hig. 2008, 59, 179–186. [Google Scholar]
- Shukla, N.; Bharti, A.S.; Srivastava, S.; Uttam, K.N. Quantitative assessment of elements in edible vegetable beetroot by laser induced breakdown spectroscopy. In Proceedings of the National Laser Symposium (NLS-25), KIIT, Bhubneshwar, India, 20–23 December 2016; Available online: https://www.academia.edu/34719322/Quantitative_Assessment_of_Elements_in_Edible_Vegetable_Beetroot_by_Laser_Induced_Breakdown_Spectroscopy (accessed on 26 December 2021).
- Stahl, T.; Taschan, H.; Brunn, H. Aluminium content of selected foods and food products. Environ. Sci. Eur. 2011, 23, 37. [Google Scholar] [CrossRef] [Green Version]
- Kabata-Pendias, A.; Szteke, B. Aluminium. In Trace Elements in Abiotic and Biotic Environments; Taylor & Francis: Boca Raton, FL, USA, 2015; pp. 1–4. ISBN 9781482212815. [Google Scholar]
- Kabata-Pendias, A.; Szteke, B. Selenium. In Trace Elements in Abiotic and Biotic Environments; Kabata-Pendias, A., Szteke, B., Eds.; CRC Press: Boca Raton, FL, USA, 2015; pp. 281–288. ISBN 9780429161513. [Google Scholar]
- Institute of Medicine (US). Panel on Dietary Antioxidants and Related Compounds; Washington (DC) Selenium. In Dietary Reference Intakes for Vitamin C, Vitamin E, Selenium, and Carotenoids; National Academies Press (US): Washington, DC, USA, 2000. [Google Scholar]
- Yang, G.; Zhou, R. Further observations on the human maximum safe dietary selenium intake in a seleniferous area of China. J. Trace Elem. Electrolytes Health Dis. 1994, 8, 159–165. [Google Scholar]
- Sutter, M.; Thomas, J.; Brown, J.; Morgan, B. Selenium toxicity: A case of selenosis caused by a nutritional supplement. Ann. Intern. Med. 2008, 148, 970–971. [Google Scholar] [CrossRef]
- Fairweather-Tait, S.J.; Teucher, B. Iron and calcium bioavailability of fortified foods and dietary supplements. Nutr. Rev. 2002, 60, 360–367. [Google Scholar] [CrossRef] [PubMed] [Green Version]
- Santiago, P. Ferrous versus ferric oral iron formulations for the treatment of iron deficiency: A clinical overview. Sci. World J. 2012, 2012, 846824. [Google Scholar] [CrossRef] [PubMed]
- Fernández-Lázaro, D.; Mielgo-Ayuso, J.; Martínez, A.C.; Seco-Calvo, J. Iron and physical activity: Bioavailability enhancers, properties of black pepper (bioperine®) and potential applications. Nutrients 2020, 12, 1886. [Google Scholar] [CrossRef]
- Seiler, C. Healthy persons at risk for iron substitution. Swiss Med. Wkly. 2017, 147, 7–8. [Google Scholar]
- WHO. Iron with or without Folic Acid Supplementation in Women. Available online: http://www.who.int/elena/titles/full_recommendations/ifa_supplementation/en/ (accessed on 27 October 2021).
- Puścion-Jakubik, A.; Bartosiewicz, N.; Socha, K. Is the magnesium content in food supplements consistent with the manufacturers’ declarations? Nutrients 2021, 13, 3416. [Google Scholar] [CrossRef]
- Niedzielski, P.; Rudnicka, M.; Wachelka, M.; Kozak, L.; Rzany, M.; Wozniak, M.; Kaskow, Z. Selenium species in selenium fortified dietary supplements. Food Chem. 2016, 190, 454–459. [Google Scholar] [CrossRef] [PubMed]
- Aldosary, B.M.; Sutter, M.E.; Schwartz, M.; Morgan, B.W. Case series of selenium toxicity from a nutritional supplement. Clin. Toxicol. 2012, 50, 57–64. [Google Scholar] [CrossRef]
- Gzyl, J. Lead and cadmium contamination of soil and vegetables in the upper silesia region of Poland. Sci. Total Environ. 1990, 96, 199–209. [Google Scholar] [CrossRef]
- Sekara, A.; Poniedziałek, M.; Ciura, J.; Jedrszczyk, E. Cadmium and lead accumulation and distribution in the organs of nine crops: Implications for phytoremediation. Polish J. Environ. Stud. 2005, 14, 509–516. [Google Scholar]
- Schulte-Schrepping, K.-H.; Piscator, M. Cadmium and Cadmium Compounds. In Ullmann’s Encyclopedia of Industrial Chemistry; Wiley-VCH Verlag GmbH & Co. KGaA: Weinheim, Germany, 2000; Volume 100C, pp. 121–145. [Google Scholar] [CrossRef]
- Pizarro, I.; Gómez-Gómez, M.; León, J.; Román, D.; Palacios, M.A. Bioaccessibility and arsenic speciation in carrots, beets and quinoa from a contaminated area of Chile. Sci. Total Environ. 2016, 565, 557–563. [Google Scholar] [CrossRef] [PubMed]
- Warren, G.P.; Alloway, B.J.; Lepp, N.W.; Singh, B.; Bochereau, F.J.M.; Penny, C. Field trials to assess the uptake of arsenic by vegetables from contaminated soils and soil remediation with iron oxides. Sci. Total Environ. 2003, 311, 19–33. [Google Scholar] [CrossRef]
- Spiridonova, E.; Ozolina, N.; Nesterkina, I.; Gurina, V.; Nurminsky, V.; Donskaya, L.; Tretyakova, A. Effect of cadmium on the roots of beetroot (Beta vulgaris L.). Int. J. Phytoremediation 2019, 21, 980–984. [Google Scholar] [CrossRef] [PubMed]








| Form | Code | Water Content (%) | Date of Purchase | Certificate of Organic Cultivation | Place of Purchase | Origin Country |
|---|---|---|---|---|---|---|
| Conventional | 1Bo | 85.9 | 11/05/2019 | conventional cultivation | large-area shop, Gdańsk (PL) | Poland (PL) |
| 3Bo | 85.2 | 11/14/2019 | conventional cultivation | retail shop, Kolbudy (PL) | Poland (PL) | |
| 4Bo | 81.8 | 11/14/2019 | conventional cultivation | large-area shop, Gdańsk (PL) | Poland (PL) | |
| 5Bo | 88.1 | 11/28/2019 | conventional cultivation | large-area shop, Gdańsk (PL) | Poland (PL) | |
| Organic | 2Bo | 83.2 | 11/05/2019 | P 095 18, region: Greater Poland (PL) | large-area shop, Gdańsk (PL) | Poland (PL) |
| 6Bo | 85.2 | 12/02/2019 | PL-EKO-07-07904 Wilkowa Wieś, region: Pomeranian (PL) | grocery store (Internet), Gdańsk (PL) | Poland (PL) | |
| 7Bo | 83.4 | 12/02/2019 | PL-EKO-07-07904 Wilkowa Wieś, region: Pomeranian (PL) | grocery store (Internet), Gdańsk (PL) | Poland (PL) |
| Form | Code | Number of Dosage Units | Product Net Weight (g) | The Content of Beetroot Extract or Preserves/Dosage Unit | Declared Weight of the Dosage Unit (g) | Recommendation (Dosage Units/Day) | Origin Country |
|---|---|---|---|---|---|---|---|
| capsules | 1GyA | 90 | 45 | 400 mg of root extract; 40 mg of nitrates | 0.5 | 1 × 1 caps. | Poland (PL) |
| 1GyB | |||||||
| 2PhA | 90 | 45 | 400 mg of root extract (15:1); gelatine | 0.5 | 1 × 1 caps. | Poland (PL) | |
| 2PhB | |||||||
| 3GaA * | 60 | 35.76 | dried juice concentrate; 38 mg of vitamin C; 2.8 mg of iron; capsule shell (gelatine of animal origin) | 0.596 | 2 × 1 caps. during meal | Poland (PL) | |
| 3GaB * | |||||||
| 4HeA * | 30 | 11.3 | 268 mg of beetroot concentrate; 20 mg of vitamin C; 12 mg (1.4 mg iron) of iron gluconate; starch; anti-caking agent: magnesium salts of fatty acids; silicon dioxide | 0.376 | 1 × 3 caps. | Poland (PL) | |
| 4HeB * | |||||||
| 5DoA | 60 | 33 | 500 mg of dried juice concentrate (refers to 2.75 g fresh beetroot); 1 mg of B6; 1.25 μg of B12; bulking agent: microcrystalline cellulose; anti-caking agents: fatty magnesium salts, silicon dioxide | 0.55 | 1—2 × 3 caps. | Poland (PL) | |
| 5DoB | |||||||
| 9SoA | 60 | 41.4 | 550 mg of Beta vulgaris extract 4:1; pullulan capsule | 0.69 | 1 × 2 caps. | Poland (PL) | |
| 9SoB | |||||||
| tablets | 6HeA * | 60 | 39 | 488 mg of beetroot concentrate; 20 mg of vitamin C; 12 mg (1.4 mg iron) of iron gluconate; starch; anti-caking agent: magnesium salts of fatty acids; silicon dioxide | 0.65 | 1 × 3 | Poland (PL) |
| 6HeB * | |||||||
| 7CoA | 120 | 111 | 500 mg of dried juice (refers to 3.5 g of fresh beetroot); anti-caking agent: magnesium salts of fatty acids; silicon dioxide | 0.925 | 1—2 × 3 tabl. during a meal or after a meal | Poland (PL) | |
| 7CoB | |||||||
| 8Sw | 60 | 86 | 100 mg of beetroot root powder; 125 mg of L-arginine alpha-ketoglutarate; 125 mg of L-citrulline; 100 mg of Beta alanine; sweeteners: mannitol, xylitol and steviol glycosides; bulking agent: microcrystalline cellulose; stabilizer: sodium carboxymethylcellulose, cellulose gum; capsule shell: hydroxypropylmethyl cellulose; acidity regulator: citric acid; natural flavours (cherry and vanilla); emulsifier: hydroxypropyl cellulose; anti-caking agents: calcium salts of fatty acids and silicon dioxide | 1.42 | 1 × 1—2 tabl. 20–30 min before training | United States (USA) |
| Analyte | Wavelength (nm) | LOD (mg/kg) | LOQ (mg/kg) | Linearity | Recovery for Calibration Curves (Rcc) (%) | Precision (Expressed as CV) | |||||
|---|---|---|---|---|---|---|---|---|---|---|---|
| Calibration Range (mg/kg) | Number of Measurement Points | Number of Repetitions | Calibration Curve | R2 | |||||||
| Minimum Concentration | Maximum Concentration | ||||||||||
| Na | 589.592 | 0.61 | 1.8 | 1.8 | 35 | 6 | 3 | y = 1.6 × 105x + 1.0 × 104 | 0.9988 | 8.6 | 6.6 |
| K | 766.491 | 0.24 | 0.72 | 4.9 | 35 | 5 | 3 | y = 4.9 × 104x + 4.0 × 104 | 0.9998 | 7.8 | 4.6 |
| P | 213.618 | 3.6 | 11 | 11 | 44 | 8 | 4 | y = 1.2 × 102x + 6.4 × 102 | 0.9857 | 6.2 | 3.6 |
| Fe | 371.993 | 0.29 | 0.87 | 0.87 | 28 | 7 | 4 | y = 5.9 × 103x + 9.1 × 102 | 0.9950 | 8.8 | 8.1 |
| Ca | 393.366 | 0.067 | 0.20 | 0.49 | 17 | 5 | 4 | y = 3.1 × 105x + 3.1 × 104 | 0.9958 | 8.1 | 4.4 |
| As | 197.198 | 0.10 | 0.30 | 2.9 | 11 | 4 | 4 | y = 1.4 × 102x + 1.3 × 102 | 0.9955 | 4.8 | 1.8 |
| Se | 203.985 | 0.10 | 0.30 | 0.30 | 11 | 6 | 4 | y = 2.3 × 102x + 2.1 × 102 | 0.9984 | 4.3 | 2.6 |
| Zn | 213.857 | 0.32 | 0.96 | 0.96 | 33 | 5 | 4 | y = −9.1 × 102x2 + 7.2 × 103x + 9.3 × 102 | 0.9994 | 7.2 | 4.6 |
| Cd | 228.802 | 0.23 | 0.69 | 0.69 | 11 | 6 | 4 | y = 1.1 × 104x − 9.8 × 102 | 0.9991 | 15 | 3.5 |
| Mg | 383.829 | 0.11 | 0.33 | 0.49 | 100 | 10 | 4 | y = 2.6 × 103x + 1.6 × 103 | 0.9972 | 6.0 | 2.4 |
| Pb | 368.346 | 0.057 | 0.17 | 0.17 | 11 | 6 | 4 | y = 1.7 × 103x − 2.0 × 102 | 0.9998 | 14 | 6.6 |
| Cu | 324.754 | 0.070 | 0.21 | 0.21 | 11 | 5 | 4 | y = 8.4 × 104x + 8.4 × 103 | 0.9994 | 16 | 6.0 |
| Ag | 328.068 | 0.28 | 0.84 | 4.9 | 11 | 4 | 4 | y = 3.9 × 102x + 9.8 × 102 | 0.9992 | 1.8 | 8.9 |
| Co | 340.512 | 0.030 | 0.090 | 0.090 | 11 | 4 | 4 | y = 6.2 × 103x + 1.7 × 103 | 0.9939 | 9.3 | 5.6 |
| Ni | 341.476 | 0.15 | 0.45 | 2.9 | 11 | 4 | 4 | y = 1.3 × 104x + 2.4 × 103 | 0.9997 | 2.2 | 1.2 |
| Mo | 379.825 | 0.053 | 0.16 | 0.16 | 11 | 4 | 4 | y = 2.1 × 104x − 1.5 × 103 | 0.9997 | 5.9 | 2.9 |
| Al | 396.152 | 0.27 | 0.81 | 2.9 | 33 | 7 | 4 | y = 2.1 × 104x − 1.0 × 104 | 0.9987 | 4.7 | 2.0 |
| Mn | 403.076 | 0.052 | 0.16 | 0.16 | 33 | 8 | 4 | y = 2.4 × 104x + 2.5 × 103 | 0.9987 | 6.2 | 3.1 |
| Sr | 407.771 | 0.066 | 0.20 | 0.20 | 11 | 6 | 4 | y = 1.6 × 105x + 2.5 × 104 | 0.9993 | 9.9 | 8.1 |
| Cr | 425.433 | 0.021 | 0.063 | 0.063 | 5 | 5 | 4 | y = 2.6 × 104x − 2.8 × 102 | 0.9998 | 14 | 4.7 |
| Ba | 614.171 | 0.10 | 0.30 | 0.30 | 11 | 5 | 4 | y = 6.2 × 104x+1.7 × 103 | 0.9974 | 7.9 | 6.7 |
| Li | 670.784 | 0.045 | 0.14 | 1 | 5 | 4 | 4 | y = 1.0 × 106x − 2.1 × 105 | 0.9999 | 0.89 | 3.5 |
| Analysed Element | Dietary Recommendations (mg/day) | Beetroot Samples | |||||||||||||
|---|---|---|---|---|---|---|---|---|---|---|---|---|---|---|---|
| Conventional | Organic | ||||||||||||||
| n1 | (mg/100 g f.w.) | Realisation of Dietary Recommendations (%) | n1 | (mg/100 g f.w.) | Realisation of Dietary Recommendations (%) | ||||||||||
| Mean | SD | Min | Median | Max | Mean | SD | Min | Median | Max | ||||||
| Na | 1500 a | 12 | 35 | 16 | 19 | 36 | 52 | 2.4 a | 9 | 32 | 25 | 17 | 19 | 61 | 2.1 a |
| K | 3500 a | 12 | 266 | 37 | 215 | 277 | 295 | 7.6 a | 9 | 356 | 149 | 261 | 279 | 527 | 10 a |
| P | 700 b | 12 | 20.8 | 5.3 | 16 | 19 | 28 | 3.0 b | 9 | 37.54 | 0.56 | 37 | 38 | 38 | 5.4 b |
| Mg | 420 b | 12 | 22.4 | 4.7 | 16 | 24 | 27 | 5.3 b | 9 | 30.2 | 7.4 | 24 | 29 | 38 | 7.2 b |
| Ca | 1000 b | 12 | 21.7 | 3.2 | 18 | 22 | 26 | 2.2 b | 9 | 34 | 14 | 25 | 27 | 51 | 3.4 b |
| Fe | 10 b | 12 | 0.68 | 0.14 | 0.50 | 0.70 | 0.83 | 6.8 b | 9 | 0.82 | 0.11 | 0.70 | 0.88 | 0.88 | 8.2 b |
| Se | 0.055 b | 3 | 0.541 | 0.032 | 0.51 | 0.54 | 0.58 | 245 b | 9 | <LOQ | <LOQ | ||||
| Zn | 11 b | 6 | 0.380 | 0.039 | 0.35 | 0.38 | 0.41 | 1.7 b | 9 | <LOQ | <LOQ | ||||
| Cu | 0.9 b | 9 | 0.097 | 0.013 | 0.082 | 0.10 | 0.11 | 8.1 b | 9 | <LOQ | <LOQ | ||||
| Mn | 2.3 a | 12 | 0.58 | 0.71 | 0.17 | 0.25 | 1.6 | 25 a | 9 | 0.36 | 0.10 | 0.25 | 0.41 | 0.42 | 16 a |
| Sr | NR | 12 | 0.138 | 0.030 | 0.11 | 0.13 | 0.18 | NR | 9 | 0.24 | 0.23 | 0.093 | 0.12 | 0.50 | NR |
| Ba | NR | 12 | 0.175 | 0.054 | 0.12 | 0.16 | 0.25 | NR | 9 | 0.217 | 0.022 | 0.19 | 0.22 | 0.24 | NR |
| Al | NR | 9 | 0.65 | 0.18 | 0.46 | 0.66 | 0.82 | NR | 9 | 0.85 | 0.92 | 0.23 | 0.4 | 1.9 | NR |
| As | NR | 3 | 3.246 | 0.047 | 3.21 | 3.23 | 3.30 | NR | 3 | 3.68 | 0.11 | 3.56 | 3.67 | 3.78 | NR |
| Cd | NR | 3 | 0.06387 | 0.00013 | 0.0638 | 0.0638 | 0.0640 | NR | 9 | <LOQ | <LOQ | ||||
| Analysed Element | Dietary Recommendations (mg/day) | Beetroot-Based Dietary Supplements | |||||||||||||
|---|---|---|---|---|---|---|---|---|---|---|---|---|---|---|---|
| Capsules | Tablets | ||||||||||||||
| n1 | (µg/d.u.) | Realisation of Dietary Recommendations (%) | n1 | (µg/d.u.) | Realisation of Dietary Recommendations (%) | ||||||||||
| Mean | SD | Min | Median | Max | Mean | SD | Min | Median | Max | ||||||
| Na | 1500 a | 10 | 1625 | 2576 | 303 | 469 | 6947 | 0.22 a | 7 | 1108 | 1012 | 287 | 870 | 3276 | 0.30 a |
| K | 3500 a | 10 | 3510 | 2440 | 680 | 5055 | 5943 | 0.22 a | 7 | 5421 | 2677 | 2617 | 5358 | 9010 | 0.81 a |
| P | 700 b | 6 | 871 | 137 | 108 | 862 | 1024 | 0.30 b | 6 | 724 | 249 | 438 | 677 | 1922 | 0.55 b |
| Mg | 420 b | 10 | 410 | 416 | 108 | 210 | 1297 | 0.24 b | 7 | 806 | 749 | 267 | 364 | 1922 | 1.0 b |
| Ca | 1000 b | 10 | 330 | 154 | 189 | 253 | 544 | 0.068 b | 7 | 626 | 530 | 271 | 421 | 1171 | 0.25 b |
| Fe | 10 b | 10 | 1004 | 1312 | 18 | 112 | 2945 | 24 b | 7 | 457 | 736 | 14 | 39 | 1576 | 14 b |
| Zn | 11 b | 2 | 4.21 | 0.46 | 3.9 | 4.2 | 4.5 | 0.097 b | 0 | <LOQ | <LOQ | ||||
| Mn | 2.3 a | 4 | 17.1 | 2.9 | 14 | 17 | 20 | 1.8 a | 6 | 10.9 | 5.8 | 4.1 | 12 | 19 | 2.3 a |
| Sr | NR | 3 | 3.00 | 0.26 | 2.7 | 3.0 | 3.2 | NR | 2 | 2.14 | 0.27 | 2.0 | 2.1 | 2.3 | NR |
| Al | NR | 9 | 50.4 | 1.2 | 3.8 | 11 | 190 | NR | 6 | 37 | 71 | 4.4 | 9.8 | 182 | NR |
| As | NR | 3 | 93.9 | 1.2 | 93 | 94 | 95 | NR | 0 | <LOQ | NR | ||||
| Cd | NR | 3 | 22 | 34 | 2.5 | 2.8 | 61 | NR | 2 | 2.518 | 0.019 | 2.5 | 2.5 | 2.5 | NR |
| Sample | Declared Iron Content (mg/d.u.) | Accepted Minimum Tolerance (−20%) | Accepted Maximum Tolerance (+45%) | Determined Iron Content (mg/d.u.) | Compliance with the Declaration (%) | Compliance with the Guidelines |
|---|---|---|---|---|---|---|
| 3GaA | 2.8 | 2.24 | 4.06 | 2.80 | 100 | YES |
| 3GaB | 2.8 | 2.24 | 4.06 | 2.72 | 97 | YES |
| 6HeA | 1.4 | 1.12 | 2.03 | 1.28 | 91 | YES |
| 6HeB | 1.4 | 1.12 | 2.03 | 2.95 | 210 | NO |
| 4HeA | 1.4 | 1.12 | 2.03 | 1.49 | 107 | YES |
| 4HeB | 1.4 | 1.12 | 2.03 | 1.58 | 113 | YES |
| Product | n1 | Mean (%) | SD (%) | Min (%) | Max (%) | Q1 (%) | Median (%) | Q3 (%) | Permissible Contamination Limit (mg/kg f.w.) |
|---|---|---|---|---|---|---|---|---|---|
| beetroot samples | 0.06 | ||||||||
| conventional | 3 | 1064.53 | 2.17 | 1063 | 1067 | 1063 | 1065 | 1066 | |
| dietary supplements | 1.0 | ||||||||
| capsules | 3 | 4430 | 6757 | 504 | 12,233 | 529 | 554 | 6394 | |
| tablets | 2 | 503.7 | 3.8 | 501 | 506 | 502 | 504 | 505 |
Publisher’s Note: MDPI stays neutral with regard to jurisdictional claims in published maps and institutional affiliations. |
© 2021 by the authors. Licensee MDPI, Basel, Switzerland. This article is an open access article distributed under the terms and conditions of the Creative Commons Attribution (CC BY) license (https://creativecommons.org/licenses/by/4.0/).
Share and Cite
Brzezińska-Rojek, J.; Rutkowska, M.; Brzezicha, J.; Konieczka, P.; Prokopowicz, M.; Grembecka, M. Mineral Composition of Dietary Supplements-Analytical and Chemometric Approach. Nutrients 2022, 14, 106. https://doi.org/10.3390/nu14010106
Brzezińska-Rojek J, Rutkowska M, Brzezicha J, Konieczka P, Prokopowicz M, Grembecka M. Mineral Composition of Dietary Supplements-Analytical and Chemometric Approach. Nutrients. 2022; 14(1):106. https://doi.org/10.3390/nu14010106
Chicago/Turabian StyleBrzezińska-Rojek, Joanna, Małgorzata Rutkowska, Justyna Brzezicha, Piotr Konieczka, Magdalena Prokopowicz, and Małgorzata Grembecka. 2022. "Mineral Composition of Dietary Supplements-Analytical and Chemometric Approach" Nutrients 14, no. 1: 106. https://doi.org/10.3390/nu14010106
APA StyleBrzezińska-Rojek, J., Rutkowska, M., Brzezicha, J., Konieczka, P., Prokopowicz, M., & Grembecka, M. (2022). Mineral Composition of Dietary Supplements-Analytical and Chemometric Approach. Nutrients, 14(1), 106. https://doi.org/10.3390/nu14010106

