An Innovative Machine Learning Approach to Predict the Dietary Fiber Content of Packaged Foods
Abstract
:1. Introduction
2. Materials and Methods
2.1. Dataset
2.2. Exclusion Criteria and Data Preparation
2.3. Product Representation
2.4. Predictive Algorithm
2.5. Statistical Analyses
3. Results
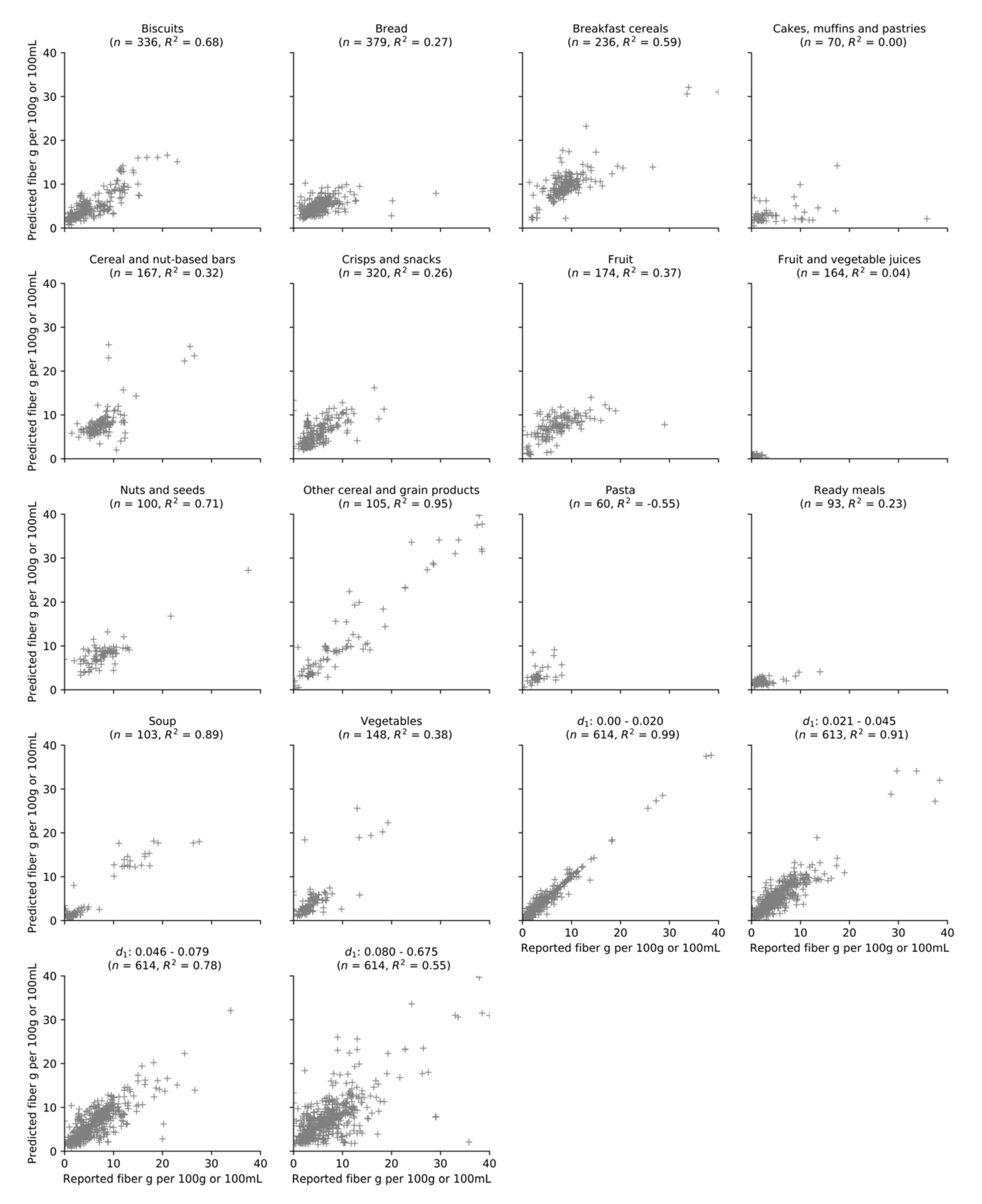
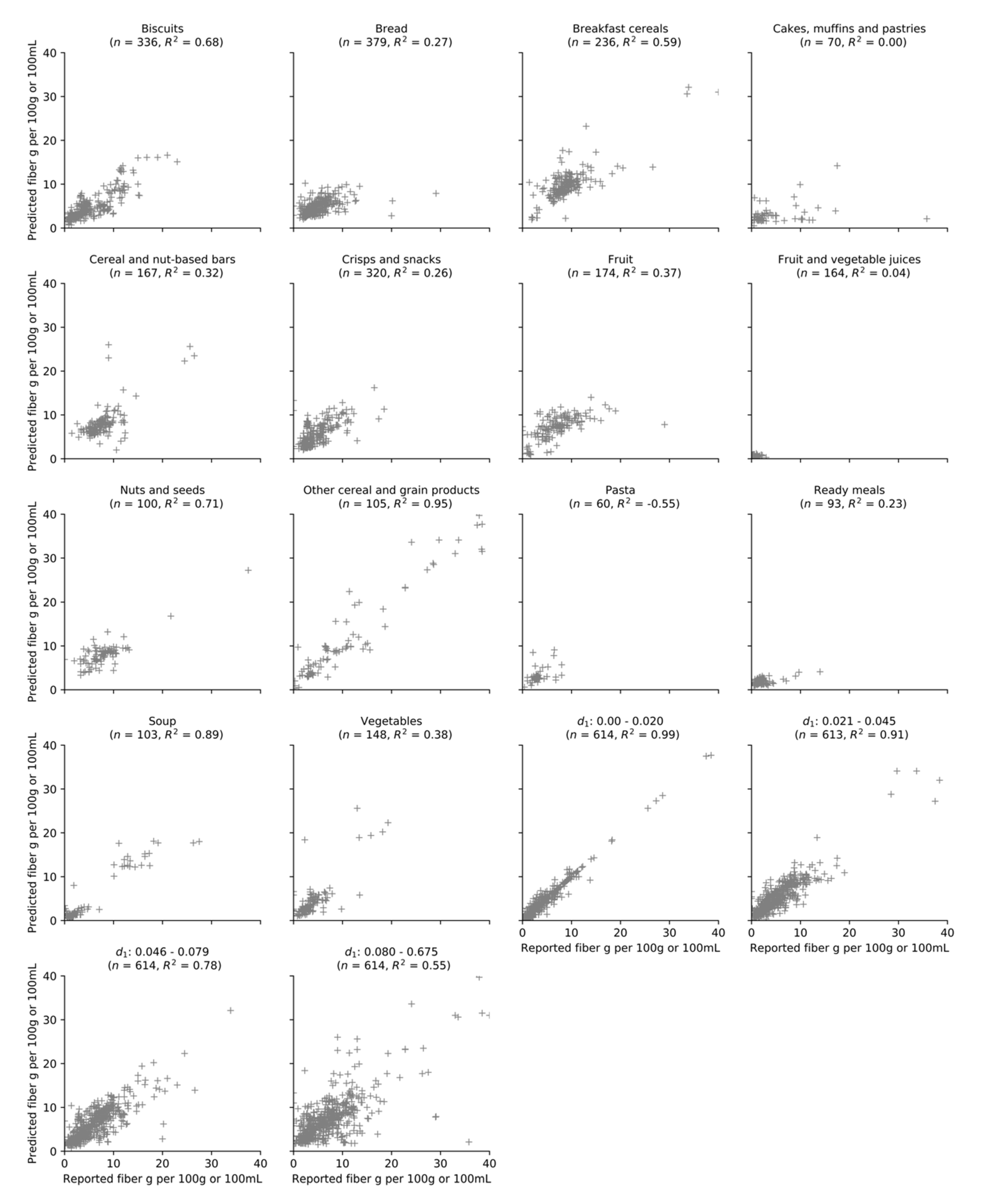
3.1. Performance of the KNN Fiber Prediction Algorithm
3.2. Fiber in the Australian Packaged Food Supply
4. Discussion
5. Conclusions
Supplementary Materials
Author Contributions
Funding
Institutional Review Board Statement
Informed Consent Statement
Data Availability Statement
Conflicts of Interest
References
- U.S. Food and Drug Administration. Questions and Answers of Dietary Fiber. 2020. Available online: https://www.fda.gov/food/food-labeling-nutrition/questions-and-answers-dietary-fiber (accessed on 12 June 2021).
- Dahl, W.J.; Stewart, M.L. Position of the Academy of Nutrition and Dietetics: Health Implications of Dietary Fiber. J. Acad. Nutr. Diet. 2015, 115, 1861–1870. [Google Scholar] [CrossRef] [PubMed]
- Kanauchi, M.; Kanauchi, K. The World Health Organization’s Healthy Diet Indicator and its associated factors: A cross-sectional study in central Kinki, Japan. Prev. Med. Rep. 2018, 12, 198–202. [Google Scholar] [CrossRef] [PubMed]
- McRae, M.P. Dietary Fiber Intake and Type 2 Diabetes Mellitus: An Umbrella Review of Meta-analyses. J. Chiropr. Med. 2018, 17, 44–53. [Google Scholar] [CrossRef]
- McRae, M.P. Dietary Fiber Is Beneficial for the Prevention of Cardiovascular Disease: An Umbrella Review of Meta-analyses. J. Chiropr. Med. 2017, 16, 289–299. [Google Scholar] [CrossRef]
- Masrul, M.; Nindrea, R.D. Dietary Fibre Protective against Colorectal Cancer Patients in Asia: A Meta-Analysis. Open Access Maced. J. Med. Sci. 2019, 7, 1723–1727. [Google Scholar] [CrossRef] [PubMed] [Green Version]
- King, D.E.; Mainous, A.G.; Lambourne, C.A. Trends in Dietary Fiber Intake in the United States, 1999–2008. J. Acad. Nutr. Diet. 2012, 112, 642–648. [Google Scholar] [CrossRef]
- Stephen, A.M.; Champ, M.M.J.; Cloran, S.J.; Fleith, M.; van Lieshout, L.; Mejborn, H.; Burley, V.J. Dietary fibre in Europe: Current state of knowledge on definitions, sources, recommendations, intakes and relationships to health. Nutr. Res. Rev. 2017, 30, 149–190. [Google Scholar] [CrossRef]
- Passos, M.C.F.; Takemoto, M.L.S.; Guedes, L.S. Patterns of fiber intake among Brazilian adults: Perceptions from an online nationwide survey. Arq. Gastroenterol. 2020, 57, 144–149. [Google Scholar] [CrossRef]
- Wang, H.J.; Wang, Z.H.; Zhang, J.G.; Du, W.W.; Su, C.; Zhang, J.; Zhai, F.Y.; Zhang, B. Trends in dietary fiber intake in Chinese aged 45 years and above, 1991–2011. Eur. J. Clin. Nutr. 2014, 68, 619–622. [Google Scholar] [CrossRef] [Green Version]
- Fayet-Moore, F.; Cassettari, T.; Tuck, K.; McConnell, A.; Petocz, P. Dietary Fibre Intake in Australia. Paper I: Associations with Demographic, Socio-Economic, and Anthropometric Factors. Nutrients 2018, 10, 599. [Google Scholar] [CrossRef] [Green Version]
- Stuckler, D.; McKee, M.; Ebrahim, S.; Basu, S. Manufacturing Epidemics: The Role of Global Producers in Increased Consumption of Unhealthy Commodities Including Processed Foods, Alcohol, and Tobacco. PLoS Med. 2012, 9, e1001235. [Google Scholar] [CrossRef] [PubMed] [Green Version]
- Kearney, J. Food consumption trends and drivers. Philos. Trans. R. Soc. B 2010, 365, 2793–2807. [Google Scholar] [CrossRef] [PubMed]
- Monteiro, C.A. Nutrition and health. The issue is not food, nor nutrients, so much as processing. Public Health Nutr. 2009, 12, 729–731. [Google Scholar] [CrossRef] [PubMed] [Green Version]
- Crino, M.; Sacks, G.; Dunford, E.; Trieu, K.; Webster, J.; Vandevijvere, S.; Swinburn, B.; Wu, J.Y.; Neal, B. Measuring the Healthiness of the Packaged Food Supply in Australia. Nutrients 2018, 10, 702. [Google Scholar] [CrossRef] [PubMed] [Green Version]
- Food Standards Australia New Zealand. Nutrition Information User Guide. Standard 1.2.8—Nutrition Information Requirements; Food Standards Australia New Zealand, 2013. Available online: https://www.foodstandards.gov.au/code/userguide/Documents/Userguide_Prescribed%20Nutrition%20Information%20Nov%2013%20Dec%202013.pdf (accessed on 11 June 2021).
- Ng, S.W.; Bricker, G.; Li, K.P.; Yoon, E.F.; Kang, J.; Westrich, B. Estimating added sugars in US consumer packaged goods: An application to beverages in 2007–08. J. Food Compos. Anal. 2015, 43, 7–17. [Google Scholar] [CrossRef] [PubMed] [Green Version]
- Scapin, T.; Louie, J.C.Y.; Pettigrew, S.; Neal, B.; Rodrigues, V.M.; Fernandes, A.C.; Bernardo, G.L.; Uggioni, P.L.; da Costa Proença, R.P. The adaptation, validation, and application of a methodology for estimating the added sugar content of packaged food products when total and added sugar labels are not mandatory. Food Res. Int. 2021, 144, 110329. [Google Scholar] [CrossRef]
- Westrich, B.J.; Altmann, M.A.; Potthoff, S.J. Minnesota’s Nutrition Coordinating Center Uses Mathematical Optimization to Estimate Food Nutrient Values. Interfaces 1998, 28, 86–99. [Google Scholar] [CrossRef]
- Westrich, B.J.; Buzzard, I.M.; Gatewood, L.C.; McGovern, P.G. Accuracy and Efficiency of Estimating Nutrient Values in Commercial Food Products Using Mathematical Optimization. J. Food Compos. Anal. 1994, 7, 223–239. [Google Scholar] [CrossRef]
- Jordan, M.I.; Mitchell, T.M. Machine learning: Trends, perspectives, and prospects. Science 2015, 349, 255–260. [Google Scholar] [CrossRef]
- Ho Thanh Lam, L.; Le, N.H.; Van Tuan, L.; Tran Ban, H.; Nguyen Khanh Hung, T.; Nguyen, N.T.K.; Huu Dang, L.; Le, N.Q.K. Machine Learning Model for Identifying Antioxidant Proteins Using Features Calculated from Primary Sequences. Biology 2020, 9, 325. [Google Scholar] [CrossRef]
- Le, N.Q.K.; Hung, T.N.K.; Do, D.T.; Lam, L.H.T.; Dang, L.H.; Huynh, T.T. Radiomics-based machine learning model for efficiently classifying transcriptome subtypes in glioblastoma patients from MRI. Comput. Biol. Med. 2021, 132, 104320. [Google Scholar] [CrossRef] [PubMed]
- Talukder, A.; Ahammed, B. Machine learning algorithms for predicting malnutrition among under-five children in Bangladesh. Nutrition 2020, 78, 110861. [Google Scholar] [CrossRef]
- Joutou, T.; Yanai, K. A food image recognition system with Multiple Kernel Learning. In Proceedings of the 16th IEEE International Conference on Image Processing (ICIP), Cairo, Egypt, 7–10 November 2009. [Google Scholar]
- Chin, E.L.; Simmons, G.; Bouzid, Y.Y.; Kan, A.; Burnett, D.J.; Tagkopoulos, I.; Lemay, D.G. Nutrient Estimation from 24-Hour Food Recalls Using Machine Learning and Database Mapping: A Case Study with Lactose. Nutrients 2019, 11, 3045. [Google Scholar] [CrossRef] [Green Version]
- Ma, P.; Li, A.; Yu, N.; Li, Y.; Bahadur, R.; Wang, Q.; Ahuja, J.K. Application of machine learning for estimating label nutrients using USDA Global Branded Food Products Database, (BFPD). J. Food Compos. Anal. 2021, 100, 103857. [Google Scholar] [CrossRef]
- Dunford, E.; Trevena, H.; Goodsell, C.; Ng, K.H.; Webster, J.; Millis, A.; Goldstein, S.; Hugueniot, O.; Neal, B. FoodSwitch: A Mobile Phone App to Enable Consumers to Make Healthier Food Choices and Crowdsourcing of National Food Composition Data. JMIR Mhealth Uhealth 2014, 2, e3230. [Google Scholar] [CrossRef]
- Dunford, E.; Webster, J.; Metzler, A.B.; Czernichow, S.; Mhurchu, C.N.; Wolmarans, P.; Snowdon, W.; L’Abbe, M.; Li, N.; Maulik, P.K.; et al. International collaborative project to compare and monitor the nutritional composition of processed foods. Eur. J. Prev. Cardiol. 2012, 19, 1326–1332. [Google Scholar] [CrossRef]
- Menu, A.M. Australian Health Survey: Nutrition First Results—Foods and Nutrients; Australian Bureau of Statistics: Canberra, Australia, 2011.
- Ramyaa, R.; Hosseini, O.; Krishnan, G.P.; Krishnan, S. Phenotyping Women Based on Dietary Macronutrients, Physical Activity, and Body Weight Using Machine Learning Tools. Nutrients 2019, 11, 1681. [Google Scholar] [CrossRef] [Green Version]
- Colmenarejo, G. Machine Learning Models to Predict Childhood and Adolescent Obesity: A Review. Nutrients 2020, 12, 2466. [Google Scholar] [CrossRef] [PubMed]
- Molnar, C. Interpretable Machine Learning. A Guide for Making Black Box Models Explainable; Lulu. Com: Morrisville, NY, USA, 2021; Available online: https://christophm.github.io/interpretable-ml-book/ (accessed on 12 June 2021).
- Health Star Rating System. Calculator and Style Guide. 2020. Available online: http://www.healthstarrating.gov.au/internet/healthstarrating/publishing.nsf/Content/E380CCCA07E1E42FCA257DA500196044/$File/Health-Star-Rating-system-Calculator-and-Style-Guide.pdf (accessed on 12 June 2021).
- Gaines, A.; Shahid, M.; Huang, L.; Davies, T.; Taylor, F.; Wu, J.H.; Neal, B. Deconstructing the Supermarket: Systematic Ingredient Disaggregation and the Association between Ingredient Usage and Product Health Indicators for 24,229 Australian Foods and Beverages. Nutrients 2021, 13, 1882. [Google Scholar] [CrossRef]
- Food Standard Australia New Zealand. Food Nutrient Database. 2013. Available online: https://www.foodstandards.gov.au/science/monitoringnutrients/ausnut/foodnutrient/Pages/default.aspx (accessed on 12 June 2021).
- Evans, D. MyFitnessPal. Br. J. Sports Med. 2017, 51, 1101–1102. [Google Scholar] [CrossRef]
- Post, R.E.; Mainous, A.G.; King, D.E.; Simpson, K.N. Dietary fiber for the treatment of type 2 diabetes mellitus: A meta-analysis. J. Am. Board Fam. Med. 2012, 25, 16–23. [Google Scholar] [CrossRef] [PubMed] [Green Version]
- U.S. Food & Drug Administration. Interactive Nutrition Facts Label. 2021. Available online: https://www.accessdata.fda.gov/scripts/interactivenutritionfactslabel/total-carbohydrate.cfm (accessed on 12 June 2021).




| Food Category | Products that Report Fiber Content | Products that Do Not Report Fiber Content | All Products | |||
|---|---|---|---|---|---|---|
| n (%) | Median (IQR 1) Reported Fiber g per 100 g or 100 mL | n | Median (IQR) Predicted Fiber g per 100 g or 100 mL | n | Median (IQR) Fiber g per 100 g or 100 mL | |
| Bread | 1279 (64) | 4.3 (3.1) | 728 | 3.8 (1.6) | 2007 | 4.0 (2.7) |
| Biscuits | 978 (40) | 3.5 (3.4) | 1468 | 3.0 (1.6) | 2446 | 3.2 (2.1) |
| Crisps and snacks | 977 (54) | 4.0 (4.7) | 848 | 3.7 (2.9) | 1825 | 3.8 (3.8) |
| Breakfast cereals | 1250 (88) | 8.8 (4.2) | 177 | 8.7 (4.4) | 1427 | 8.8 (3.2) |
| Fruit | 1126 (63) | 5.0 (6.6) | 670 | 5.1 (6.0) | 1796 | 5.0 (6.4) |
| Cereal and nut-based bars | 648 (90) | 7.2 (3.5) | 76 | 6.7 (1.6) | 724 | 7.1 (3.3) |
| Fruit and vegetable juices | 818 (50) | 0.7 (0.8) | 829 | 0.6 (0.7) | 1647 | 0.6 (0.7) |
| Vegetables | 1127 (49) | 3.1 (2.5) | 1153 | 2.5 (1.1) | 2280 | 2.7 (1.9) |
| Other cereal and grain products | 532 (64) | 8.5 (14.5) | 302 | 5.8 (6.9) | 834 | 7.6 (9.9) |
| Soup | 505 (52) | 1.2 (1.0) | 468 | 1.2 (0.8) | 973 | 1.2 (1.0) |
| Nuts and seeds | 600 (48) | 8.0 (3.5) | 662 | 7.2 (3.4) | 1262 | 7.7 (3.2) |
| Ready meals | 574 (40) | 1.6 (1.2) | 856 | 1.8 (0.6) | 1430 | 1.7 (0.7) |
| Cakes, muffins, and pastries | 461 (29) | 2.2 (2.0) | 1120 | 2.2 (1.1) | 1581 | 2.2 (1.3) |
| Pasta | 566 (56) | 3.0 (1.9) | 448 | 3.0 (1.3) | 1014 | 3.0 (1.6) |
| Total | 11,441 (54) | 3.8 (5.5) | 9805 | 2.8 (2.8) | 21,246 | 3.2 (4.4) |
Publisher’s Note: MDPI stays neutral with regard to jurisdictional claims in published maps and institutional affiliations. |
© 2021 by the authors. Licensee MDPI, Basel, Switzerland. This article is an open access article distributed under the terms and conditions of the Creative Commons Attribution (CC BY) license (https://creativecommons.org/licenses/by/4.0/).
Share and Cite
Davies, T.; Louie, J.C.Y.; Scapin, T.; Pettigrew, S.; Wu, J.H.; Marklund, M.; Coyle, D.H. An Innovative Machine Learning Approach to Predict the Dietary Fiber Content of Packaged Foods. Nutrients 2021, 13, 3195. https://doi.org/10.3390/nu13093195
Davies T, Louie JCY, Scapin T, Pettigrew S, Wu JH, Marklund M, Coyle DH. An Innovative Machine Learning Approach to Predict the Dietary Fiber Content of Packaged Foods. Nutrients. 2021; 13(9):3195. https://doi.org/10.3390/nu13093195
Chicago/Turabian StyleDavies, Tazman, Jimmy Chun Yu Louie, Tailane Scapin, Simone Pettigrew, Jason HY Wu, Matti Marklund, and Daisy H. Coyle. 2021. "An Innovative Machine Learning Approach to Predict the Dietary Fiber Content of Packaged Foods" Nutrients 13, no. 9: 3195. https://doi.org/10.3390/nu13093195
APA StyleDavies, T., Louie, J. C. Y., Scapin, T., Pettigrew, S., Wu, J. H., Marklund, M., & Coyle, D. H. (2021). An Innovative Machine Learning Approach to Predict the Dietary Fiber Content of Packaged Foods. Nutrients, 13(9), 3195. https://doi.org/10.3390/nu13093195

