Effects of Beetroot Powder with or without L-Arginine on Postprandial Vascular Endothelial Function: Results of a Randomized Controlled Trial with Abdominally Obese Men
Abstract
1. Introduction
2. Materials and Methods
2.1. Study Population
2.2. Study Design
2.3. Meals
2.4. Anthropometric and Vascular Measurements
2.5. Biochemical Analyses
2.6. Statistical Analyses
3. Results
3.1. Study Participants
3.2. Vascular and Blood Pressure Measurements
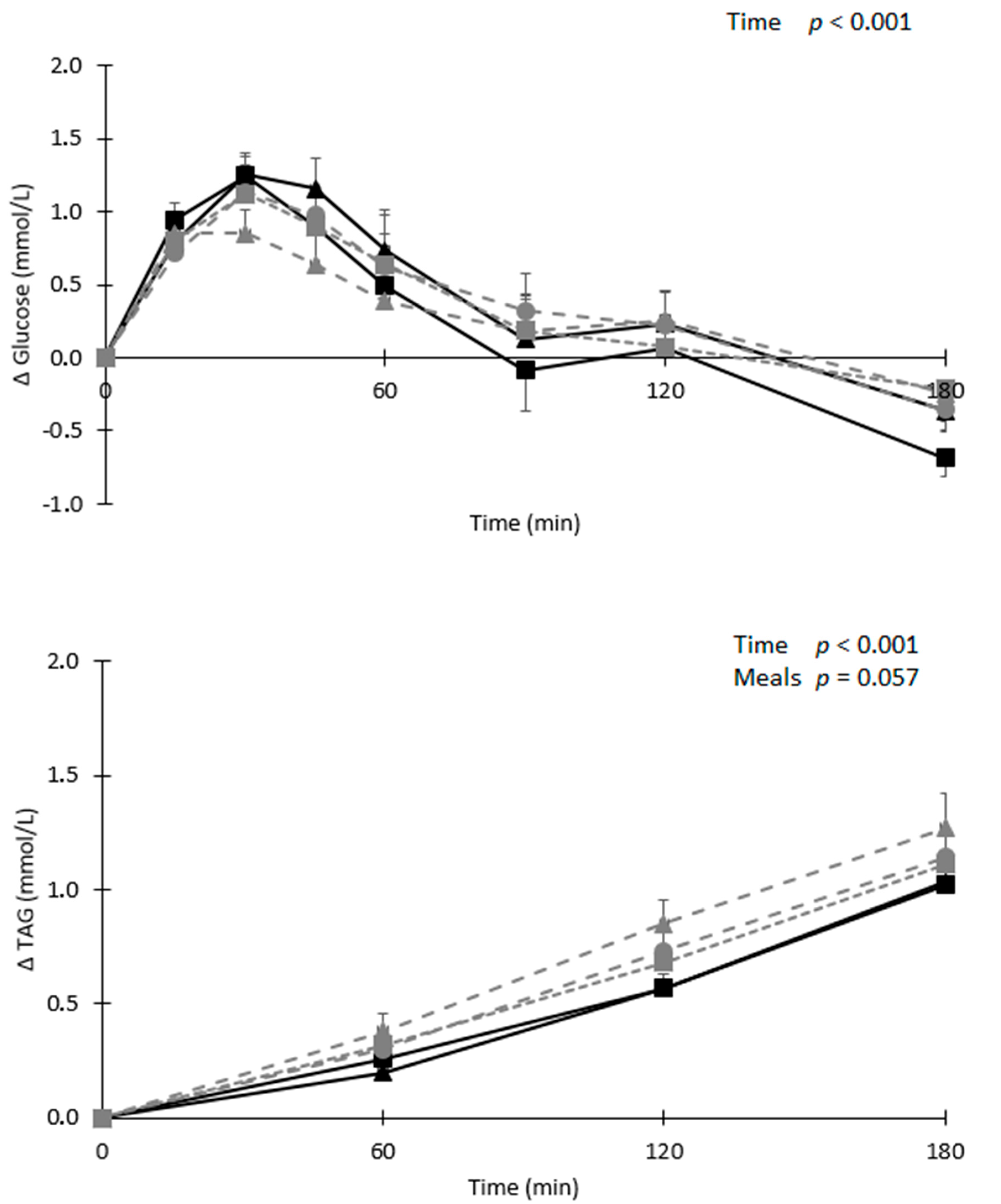
3.3. Postprandial Lipemia and Glycemia
4. Discussion
Supplementary Materials
Author Contributions
Funding
Acknowledgments
Conflicts of Interest
References
- Raddino, R.; Caretta, G.; Teli, M.; Bonadei, I.; Robba, D.; Zanini, G.; Madureri, A.; Nodari, S.; Dei Cas, L. Nitric oxide and cardiovascular risk factors. Heart Int. 2007, 3, 18. [Google Scholar] [CrossRef]
- Deanfield, J.E.; Halcox, J.P.; Rabelink, T.J. Endothelial function and dysfunction: Testing and clinical relevance. Circulation 2007, 115, 1285–1295. [Google Scholar] [CrossRef]
- Ignarro, L.J.; Buga, G.M.; Wood, K.S.; Byrns, R.E.; Chaudhuri, G. Endothelium-derived relaxing factor produced and released from artery and vein is nitric oxide. Proc. Natl. Acad. Sci. USA 1987, 84, 9265–9269. [Google Scholar] [CrossRef]
- Thijssen, D.H.J.; Bruno, R.M.; van Mil, A.; Holder, S.M.; Faita, F.; Greyling, A.; Zock, P.L.; Taddei, S.; Deanfield, J.E.; Luscher, T.; et al. Expert consensus and evidence-based recommendations for the assessment of flow-mediated dilation in humans. Eur. Heart J. 2019, 40, 2534–2547. [Google Scholar] [CrossRef] [PubMed]
- Joris, P.J.; Plat, J.; Kusters, Y.H.; Houben, A.J.; Stehouwer, C.D.; Schalkwijk, C.G.; Mensink, R.P. Diet-induced weight loss improves not only cardiometabolic risk markers but also markers of vascular function: A randomized controlled trial in abdominally obese men. Am. J. Clin. Nutr. 2017, 105, 23–31. [Google Scholar] [CrossRef] [PubMed]
- Razny, U.; Kiec-Wilk, B.; Wator, L.; Polus, A.; Dyduch, G.; Solnica, B.; Malecki, M.; Tomaszewska, R.; Cooke, J.P.; Dembinska-Kiec, A.; et al. Increased nitric oxide availability attenuates high fat diet metabolic alterations and gene expression associated with insulin resistance. Cardiovasc. Diabetol. 2011, 10, 8. [Google Scholar] [CrossRef] [PubMed]
- Bondonno, C.P.; Croft, K.D.; Hodgson, J.M. Dietary Nitrate, Nitric Oxide, and Cardiovascular Health. Crit. Rev. Food Sci. Nutr. 2016, 56, 2036–2052. [Google Scholar] [CrossRef]
- Joris, P.J.; Mensink, R.P. Beetroot juice improves in overweight and slightly obese men postprandial endothelial function after consumption of a mixed meal. Atherosclerosis 2013, 231, 78–83. [Google Scholar] [CrossRef]
- McRae, M.P. Therapeutic Benefits of l-Arginine: An Umbrella Review of Meta-analyses. J. Chiropr. Med. 2016, 15, 184–189. [Google Scholar] [CrossRef]
- Smeets, E.T.H.C.; Mensink, R.P.; Joris, P.J. Effects of tree nut and groundnut consumption compared with those of l-arginine supplementation on fasting and postprandial flow-mediated vasodilation: Meta-analysis of human randomized controlled trials. Clin. Nutr. 2020. [Google Scholar] [CrossRef]
- Kapil, V.; Milsom, A.B.; Okorie, M.; Maleki-Toyserkani, S.; Akram, F.; Rehman, F.; Arghandawi, S.; Pearl, V.; Benjamin, N.; Loukogeorgakis, S.; et al. Inorganic nitrate supplementation lowers blood pressure in humans: Role for nitrite-derived NO. Hypertension 2010, 56, 274–281. [Google Scholar] [CrossRef] [PubMed]
- Smeets, E.T.H.C.; Mensink, R.P.; Joris, P.J. Dietary macronutrients do not differently affect postprandial vascular endothelial function in apparently healthy overweight and slightly obese men. Eur. J. Nutr. 2020. [Google Scholar] [CrossRef]
- Friedewald, W.T.; Levy, R.I.; Fredrickson, D.S. Estimation of the concentration of low-density lipoprotein cholesterol in plasma, without use of the preparative ultracentrifuge. Clin. Chem. 1972, 18, 499–502. [Google Scholar] [CrossRef]
- Jonvik, K.L.; Nyakayiru, J.; Pinckaers, P.J.; Senden, J.M.; van Loon, L.J.; Verdijk, L.B. Nitrate-Rich Vegetables Increase Plasma Nitrate and Nitrite Concentrations and Lower Blood Pressure in Healthy Adults. J. Nutr. 2016, 146, 986–993. [Google Scholar] [CrossRef] [PubMed]
- Vasconcellos, J.; Conte-Junior, C.; Silva, D.; Pierucci, A.P.; Paschoalin, V.; Alvares, T.S. Comparison of total antioxidant potential, and total phenolic, nitrate, sugar, and organic acid contents in beetroot juice, chips, powder, and cooked beetroot. Food Sci. Biotechnol. 2016, 25, 79–84. [Google Scholar] [CrossRef] [PubMed]
- Webb, A.J.; Patel, N.; Loukogeorgakis, S.; Okorie, M.; Aboud, Z.; Misra, S.; Rashid, R.; Miall, P.; Deanfield, J.; Benjamin, N.; et al. Acute blood pressure lowering, vasoprotective, and antiplatelet properties of dietary nitrate via bioconversion to nitrite. Hypertension 2008, 51, 784–790. [Google Scholar] [CrossRef] [PubMed]
- European Food Safety Authority (EFSA). Nitrate in vegetables-Scientific Opinion of the Panel on Contaminants in the Food chain. EFSA J. 2008, 1–79. [Google Scholar] [CrossRef]
- Tang, X.; Wu, B.; Luo, Y.; Peng, L.; Chen, Y.; Zhu, J.; Peng, C.; Li, S.; Liu, J. Effect of potassium supplementation on vascular function: A meta-analysis of randomized controlled trials. Int. J. Cardiol. 2017, 228, 225–232. [Google Scholar] [CrossRef]
- Bahra, M.; Kapil, V.; Pearl, V.; Ghosh, S.; Ahluwalia, A. Inorganic nitrate ingestion improves vascular compliance but does not alter flow-mediated dilatation in healthy volunteers. Nitric Oxide 2012, 26, 197–202. [Google Scholar] [CrossRef]
- Heiss, C.; Meyer, C.; Totzeck, M.; Hendgen-Cotta, U.B.; Heinen, Y.; Luedike, P.; Keymel, S.; Ayoub, N.; Lundberg, J.O.; Weitzberg, E.; et al. Dietary inorganic nitrate mobilizes circulating angiogenic cells. Free Radic. Biol. Med. 2012, 52, 1767–1772. [Google Scholar] [CrossRef]
- Litwin, N.S.; Van Ark, H.J.; Hartley, S.C.; Michell, K.A.; Vazquez, A.R.; Fischer, E.K.; Melby, C.L.; Weir, T.L.; Wei, Y.; Rao, S.; et al. Impact of Red Beetroot Juice on Vascular Endothelial Function and Cardiometabolic Responses to a High-Fat Meal in Middle-Aged/Older Adults with Overweight and Obesity: A Randomized, Double-Blind, Placebo-Controlled, Crossover Trial. Curr. Dev. Nutr. 2019, 3, nzz113. [Google Scholar] [CrossRef] [PubMed]
- Borucki, K.; Aronica, S.; Starke, I.; Luley, C.; Westphal, S. Addition of 2.5 g L-arginine in a fatty meal prevents the lipemia-induced endothelial dysfunction in healthy volunteers. Atherosclerosis 2009, 205, 251–254. [Google Scholar] [CrossRef] [PubMed]
- Lin, C.C.; Tsai, W.C.; Chen, J.Y.; Li, Y.H.; Lin, L.J.; Chen, J.H. Supplements of L-arginine attenuate the effects of high-fat meal on endothelial function and oxidative stress. Int. J. Cardiol. 2008, 127, 337–341. [Google Scholar] [CrossRef] [PubMed]
- Lekakis, J.P.; Papathanassiou, S.; Papaioannou, T.G.; Papamichael, C.M.; Zakopoulos, N.; Kotsis, V.; Dagre, A.G.; Stamatelopoulos, K.; Protogerou, A.; Stamatelopoulos, S.F. Oral L-arginine improves endothelial dysfunction in patients with essential hypertension. Int. J. Cardiol. 2002, 86, 317–323. [Google Scholar] [CrossRef]
- Mirmiran, P.; Bahadoran, Z.; Ghasemi, A.; Azizi, F. The Association of Dietary l-Arginine Intake and Serum Nitric Oxide Metabolites in Adults: A Population-Based Study. Nutrients 2016, 8, 311. [Google Scholar] [CrossRef]
- Galvin, V.B.; Barakat, H.; Kemeny, G.; Macdonald, K.G.; Pories, W.J.; Hickner, R.C. Endothelial nitric oxide synthase content in adipose tissue from obese and lean African American and white American women. Metabolism 2005, 54, 1368–1373. [Google Scholar] [CrossRef]



| Variables | Study Participants |
|---|---|
| Age (years) | 63 (61–68.5) b |
| BMI (kg/m2) | 30.8 ± 3.2 |
| Waist circumference (cm) | 113.0 ± 9.1 |
| Hip circumference (cm) | 110.5 ± 4.8 |
| Fasting serum total cholesterol (mmol/L) | 5.31 ± 0.95 |
| Fasting plasma glucose (mmol/L) | 5.88 ± 0.55 |
| Variables | Control | Beetroot | Beetroot + 0.8 g L-Arginine | Beetroot + 1.5 g L-Arginine | 3.0 g L-Arginine | |
|---|---|---|---|---|---|---|
| Baseline brachial artery diameter, mm | Fasting | 5.1 ± 0.4 | 5.0 ± 0.5 | 5.0 ± 0.5 | 5.0 ± 0.5 | 5.0 ± 0.5 |
| Postprandial | 5.1 ± 0.4 | 5.1 ± 0.5 | 5.1 ± 0.5 | 5.1 ± 0.5 | 5.1 ± 0.5 | |
| Changes | 0.0 ± 0.2 | 0.1 ± 0.2 | 0.1 ± 0.1 | 0.1 ± 0.2 | 0.0 ± 0.1 | |
| SBP, mmHg | Fasting | 135.3 ± 10.0 | 136.9 ± 11.6 | 134.8 ± 11.6 | 134.4 ± 11.2 | 136.4 ± 12.9 |
| Postprandial | 134.2 ± 9.7 | 132.8 ± 9.7 | 132.5 ± 10.6 | 132.3 ± 10.9 | 134.3 ± 11.6 | |
| Changes | −1.2 ± 7.6 | −4.1 ± 7.0 | –2.3 ± 5.7 | −2.1 ± 9.2 | −2.1 ± 7.7 | |
| DBP, mmHg | Fasting | 82.6 ± 6.4 | 83.1 ± 6.3 | 81.8 ± 7.6 | 82.2 ± 6.7 | 83.5 ± 6.7 |
| Postprandial | 80.1 ± 7.4 | 79.6 ± 6.9 | 78.2 ± 7.6 | 79.1 ± 7.6 | 80.3 ± 7.9 | |
| Changes | −2.5 ± 5.2 | −3.5 ± 5.7 | −3.7 ± 5.2 | −3.1 ± 5.9 | −3.2 ± 5.3 | |
| HR, beats/min | Fasting | 63.4 ± 9.7 | 61.9 ± 8.5 | 60.6 ± 7.9 | 60.6 ± 9.3 | 61.1 ± 11.6 |
| Postprandial | 61.8 ± 9.2 | 60.8 ± 8.0 | 59.4 ± 7.2 | 60.6 ± 8.6 | 60.4 ± 9.8 | |
| Changes | −1.6 ± 5.1 | −1.1 ± 2.5 | −1.1 ± 3.3 | −0.1 ± 3.3 | −0.7 ± 4.4 |
| Variables | Control | Beetroot | Beetroot + 0.8 g L-Arginine | Beetroot + 1.5 g L-Arginine | 3.0 g L-Arginine |
|---|---|---|---|---|---|
| Total cholesterol (mmol/L) | 5.03 ± 1.13 | 5.02 ± 1.20 | 4.97 ± 1.13 | 5.07 ± 1.16 | 4.98 ± 1.14 |
| HDL-cholesterol (mmol/L) | 1.15 ± 0.23 | 1.13 ± 0.24 | 1.16 ± 0.22 | 1.15 ± 0.25 | 1.16 ± 0.22 |
| LDL-cholesterol (mmol/L) | 3.55 ± 1.01 | 3.56 ± 1.05 | 3.53 ± 1.04 | 3.61 ± 1.07 | 3.53 ± 1.07 |
| TAG (mmol/L) | 1.68 ± 1.54 | 1.64 ± 1.49 | 1.42 ± 0.98 | 1.53 ± 1.21 | 1.48 ± 1.20 |
| Glucose (mmol/L) | 6.01 ± 0.42 | 6.03 ± 0.49 | 5.95 ± 0.37 | 5.99 ± 0.40 | 5.98 ± 0.44 |
| hsCRP (mg/L) c | 1.44 (0.63–2.68) | 1.29 (0.58–2.59) | 0.93 (0.67–2.82) | 1.39 (0.94–2.93) | 1.54 (0.81–3.14) |
| iAUC glucose (mmol/L/120 min) | 130.6 ± 49.9 | 125.7 ± 47.7 | 114.3 ± 50.9 | 122.7 ± 48.4 | 108.3 ± 50.6 |
| iAUC glucose (mmol/L/180 min) | 213.0 ± 112.3 | 183.6 ± 65.1 | 170.4 ± 67.0 | 161.2 ± 59.3 | 176.0 ± 100.4 |
| iAUC TAG (mmol/L/180 min) | 80.4 ± 35.9 | 79.9 ± 37.9 | 105.9 ± 85.3 | 93.1 ± 42.4 | 112.1 ± 58.8 |
Publisher’s Note: MDPI stays neutral with regard to jurisdictional claims in published maps and institutional affiliations. |
© 2020 by the authors. Licensee MDPI, Basel, Switzerland. This article is an open access article distributed under the terms and conditions of the Creative Commons Attribution (CC BY) license (http://creativecommons.org/licenses/by/4.0/).
Share and Cite
Smeets, E.T.H.C.; Mensink, R.P.; Hoeks, J.; de Vogel-Van den Bosch, J.; Hageman, R.J.J.; Joris, P.J. Effects of Beetroot Powder with or without L-Arginine on Postprandial Vascular Endothelial Function: Results of a Randomized Controlled Trial with Abdominally Obese Men. Nutrients 2020, 12, 3520. https://doi.org/10.3390/nu12113520
Smeets ETHC, Mensink RP, Hoeks J, de Vogel-Van den Bosch J, Hageman RJJ, Joris PJ. Effects of Beetroot Powder with or without L-Arginine on Postprandial Vascular Endothelial Function: Results of a Randomized Controlled Trial with Abdominally Obese Men. Nutrients. 2020; 12(11):3520. https://doi.org/10.3390/nu12113520
Chicago/Turabian StyleSmeets, Ellen T. H. C., Ronald P. Mensink, Joris Hoeks, Johan de Vogel-Van den Bosch, Robert J. J. Hageman, and Peter J. Joris. 2020. "Effects of Beetroot Powder with or without L-Arginine on Postprandial Vascular Endothelial Function: Results of a Randomized Controlled Trial with Abdominally Obese Men" Nutrients 12, no. 11: 3520. https://doi.org/10.3390/nu12113520
APA StyleSmeets, E. T. H. C., Mensink, R. P., Hoeks, J., de Vogel-Van den Bosch, J., Hageman, R. J. J., & Joris, P. J. (2020). Effects of Beetroot Powder with or without L-Arginine on Postprandial Vascular Endothelial Function: Results of a Randomized Controlled Trial with Abdominally Obese Men. Nutrients, 12(11), 3520. https://doi.org/10.3390/nu12113520

