In Vitro Interactions of Dietary Fibre Enriched Food Ingredients with Primary and Secondary Bile Acids
Abstract
1. Introduction
2. Materials and Methods
2.1. Bile Acids
2.2. Chemicals and Enzyme Preparations
2.3. Dietary Fibre Enriched Food Ingredients
2.4. Dietary Fibre Composition
2.5. Viscosity
2.6. In Vitro Interactions with Bile Acids
2.6.1. In Vitro Digestion
2.6.2. Dialysis and kinetic analysis
2.6.3. Bile Acid Quantification Using HPLC
2.7. Statistical Analysis
3. Results
3.1. Dietary Fibre Composition of Food Ingredients
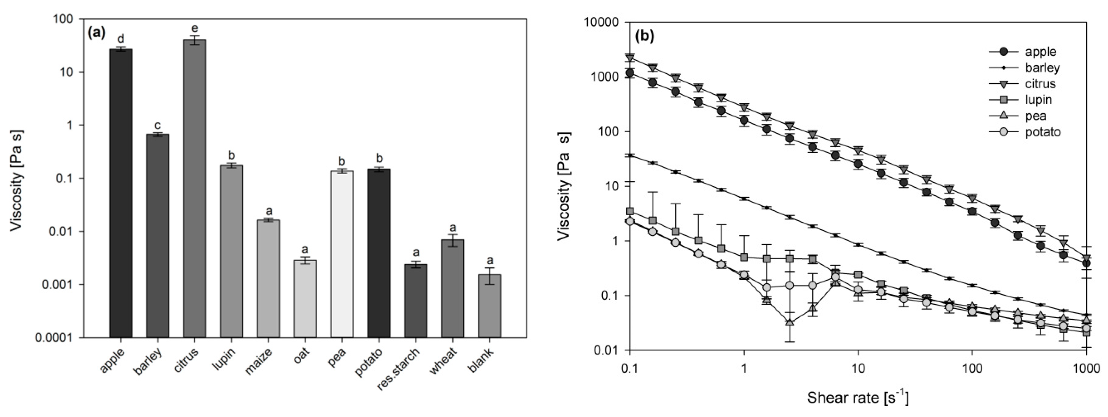
3.2. Viscosity of in Vitro Digested Dietary Fibre Enriched Food Ingredients
3.3. Interactions with Bile Acids
3.3.1. Adsorptive Effects as Related to Bile Acid Structures
3.3.2. Adsorptive Effects as Related to Dietary Fibre Sources
3.3.3. Viscous Effects as Related to Bile Acid Structures
3.3.4. Viscous Effects as Related to Dietary Fibre Sources
4. Discussion
4.1. Adsorptive Interactions as Related to Bile Acid Structures
4.2. Viscous Interactions as Related to Bile Acid Structures
4.3. Bile Acid Interactions as Related to Dietary Fibre Sources
5. Conclusions
Author Contributions
Funding
Conflicts of Interest
Abbreviations
| CA | cholic acid |
| CDCA | chenodesoxycholic acid |
| CMC | critical micelle concentration |
| DCA | desoxycholic acid |
| DM | dry matter |
| GCA | glycocholic acid |
| GCDCA | glycochenodesoxycholic acid |
| GDCA | glycodesoxycholic acid |
| RS | resistant starch |
| TCA | taurocholic acid |
| TCDCA | taurochenodesoxycholic acid |
| TDCA | taurodesoxycholic acid |
References
- Russell, D.W.; Setchell, K.D. Bile acid biosynthesis. Biochemistry 1992, 31, 4737–4749. [Google Scholar] [CrossRef] [PubMed]
- Chiang, J.Y.L. Bile acid metabolism and signaling. Compr. Physiol. 2013, 3, 1191–1212. [Google Scholar] [PubMed]
- Vlahcevic, R.Z.; Heuman, M.D.; Hylemon, B.P. Physiology and pathophysiology of enterohepatic circulation of bile acids. In Hepatology: A Textbook of Liver Desease, 3th ed.; Zakim, D.B.D.T., Ed.; Saunders: Philadelphia, PA, USA, 1996; pp. 376–417. [Google Scholar]
- Ridlon, J.M.; Kang, D.-J.; Hylemon, P.B. Bile salt biotransformations by human intestinal bacteria. J. Lipid Res. 2006, 47, 241–259. [Google Scholar] [CrossRef] [PubMed]
- Hanafi, N.; Mohamed, A.; Sheikh Abdul Kadir, S.; Othman, M. Overview of bile acids signaling and perspective on the signal of ursodeoxycholic acid, the most hydrophilic bile acid, in the heart. Biomolecules 2018, 8, 159. [Google Scholar] [CrossRef] [PubMed]
- Lairon, D. Dietary fibres and dietary lipids. In Advanced Dietary Fibre Technology; McCleary, B.V., Prosky, L., Eds.; Blackwell Science: Malden, MA, USA, 2001; pp. 177–185. [Google Scholar]
- Ridlon, J.M.; Kang, D.J.; Hylemon, P.B.; Bajaj, J.S. Bile acids and the gut microbiome. Curr. Opin. Gastroenterol. 2014, 30, 332–338. [Google Scholar] [CrossRef]
- Nguyen, T.T.; Ung, T.T.; Kim, N.H.; Jung, Y.D. Role of bile acids in colon carcinogenesis. World J. Clin. Cases 2018, 6, 577–588. [Google Scholar] [CrossRef] [PubMed]
- Dosch, A.R.; Imagawa, D.K.; Jutric, Z. Bile metabolism and lithogenesis: An update. Surg. Clin. N. Am. 2019, 99, 215–229. [Google Scholar] [CrossRef]
- Gunness, P.; Gidley, M.J. Mechanisms underlying the cholesterol-lowering properties of soluble dietary fibre polysaccharides. Food Funct. 2010, 1, 149–155. [Google Scholar] [CrossRef]
- Gunness, P.; Michiels, J.; Vanhaecke, L.; De Smet, S.; Kravchuk, O.; Van de Meene, A.; Gidley, M.J. Reduction in circulating bile acid and restricted diffusion across the intestinal epithelium are associated with a decrease in blood cholesterol in the presence of oat β-glucan. FASEB J. 2016, 30, 4227–4238. [Google Scholar] [CrossRef]
- Haeusler, R.A.; Astiarraga, B.; Camastra, S.; Accili, D.; Ferrannini, E. Human insulin resistance is associated with increased plasma levels of 12α-hydroxylated bile acids. Diabetes 2013, 62, 4184–4191. [Google Scholar] [CrossRef]
- Ghaffarzadegan, T.; Marungruang, N.; Fåk, F.; Nyman, M. Molecular properties of guar gum and pectin modify cecal bile acids, microbiota, and plasma lipopolysaccharide-binding protein in rats. PLoS ONE 2016, 11, e0157427. [Google Scholar] [CrossRef] [PubMed]
- Li, T.; Chiang, J.Y.L. Bile acid signaling in metabolic disease and drug therapy. Pharmacol. Rev. 2014, 66, 948–983. [Google Scholar] [CrossRef] [PubMed]
- Lunn, J.; Buttriss, J.L. Carbohydrates and dietary fibre. Nutr. Bull. 2007, 32, 21–64. [Google Scholar] [CrossRef]
- American Association of Cereal Chemists. The definition of dietary fiber (report of the dietary fiber definition committee to the board of directors of the american association of cereal chemists). Cereal Foods World 2001, 48, 112–126. [Google Scholar]
- Naumann, S.; Schweiggert-Weisz, U.; Bader-Mittermaier, S.; Haller, D.; Eisner, P. Differentiation of adsorptive and viscous effects of dietary fibres on bile acid release by means of in vitro digestion and dialysis. Int. J. Mol. Sci. 2018, 19, 2193. [Google Scholar] [CrossRef] [PubMed]
- D’Agostina, A.; Antonioni, C.; Resta, D.; Arnoldi, A.; Bez, J.; Knauf, U.; Wäsche, A. Optimization of a pilot-scale process for producing lupin protein isolates with valuable technological properties and minimum thermal damage. J. Agric. Food Chem. 2006, 54, 92–98. [Google Scholar] [CrossRef] [PubMed]
- Association of Official Analytical Chemists. Official Methods of Analysis of AOAC International, 20th ed.; The Scientific Association Dedicated to Analytical Excellence: Washington, DC, USA, 2016; Volume 2. [Google Scholar]
- Minekus, M.; Alminger, M.; Alvito, P.; Ballance, S.; Bohn, T.; Bourlieu, C.; Carriere, F.; Boutrou, R.; Corredig, M.; Dupont, D.; et al. A standardised static in vitro digestion method suitable for food—An international consensus. Food Funct. 2014, 5, 1113–1124. [Google Scholar] [CrossRef]
- Gunness, P.; Flanagan, B.M.; Shelat, K.; Gilbert, R.G.; Gidley, M.J. Kinetic analysis of bile salt passage across a dialysis membrane in the presence of cereal soluble dietary fibre polymers. Food Chem. 2012, 134, 2007–2013. [Google Scholar] [CrossRef]
- Macheras, P.; Koupparis, M.; Tsaprounis, C. An automated flow injection-serial dynamic dialysis technique for drug-protein binding studies. Int. J. Pharm. 1986, 30, 123–132. [Google Scholar] [CrossRef]
- Glicksman, C.; Pournaras, D.J.; Wright, M.; Roberts, R.; Mahon, D.; Welbourn, R.; Sherwood, R.; Alaghband-Zadeh, J.; le Roux, C.W. Postprandial plasma bile acid responses in normal weight and obese subjects. Ann. Clin. Biochem. 2010, 47, 482–484. [Google Scholar] [CrossRef]
- Tagliacozzi, D.; Mozzi Alessia, F.; Casetta, B.; Bertucci, P.; Bernardini, S.; Ilio Carmine, D.; Urbani, A.; Federici, G. Quantitative analysis of bile acids in human plasma by liquid chromatography-electrospray tandem mass spectrometry: A simple and rapid one-step method. Clin. Chem. Lab. Med. 2003, 41, 1633–1641. [Google Scholar] [CrossRef] [PubMed]
- R Development Core Team. R: A Language and Environment for Statistical Computing; R Foundation for Statistical Computing: Vienna, Austria, 2014. [Google Scholar]
- Lefranc-Millot, C.; Daniel, W.; Deremaux, L.; Macioce, V.; Saniez, M.H. Nutriose®, more than just a soluble fibre. In Dietary Fibre: New Frontiers for Food and Health; van der Kamp, J.W., Jones, J.M., McCleary, B.V., Topping, D.L., Eds.; Wageningen Academic: Noordwijk, The Netherlands, 2010; pp. 295–308. [Google Scholar]
- Camire, M.E.; Zhao, J.; Violette, D.A. In vitro binding of bile acids by extruded potato peels. J. Agric. Food Chem. 1993, 41, 2391–2394. [Google Scholar] [CrossRef]
- Drzikova, B.; Dongowski, G.; Gebhardt, E.; Habel, A. The composition of dietary fibre-rich extrudates from oat affects bile acid binding and fermentation in vitro. Food Chem. 2005, 90, 181–192. [Google Scholar] [CrossRef]
- Dziedzic, K.; Gorecka, D.; Szwengiel, A.; Smoczynska, P.; Czaczyk, K.; Komolka, P. Binding of bile acids by pastry products containing bioactive substances during in vitro digestion. Food Funct. 2015, 6, 1011–1020. [Google Scholar] [CrossRef] [PubMed]
- Trautwein, E.A.; Forgbert, K.; Rieckhoff, D.; Erbersdobler, H.F. Impact of β-cyclodextrin and resistant starch on bile acid metabolism and fecal steroid excretion in regard to their hypolipidemic action in hamsters. Biochim. Biophys. Acta Mol. Cell. Biol. Lipids 1999, 1437, 1–12. [Google Scholar] [CrossRef]
- Cornfine, C.; Hasenkopf, K.; Eisner, P.; Schweiggert, U. Influence of chemical and physical modification on the bile acid binding capacity of dietary fibre from lupins (Lupinus angustifolius L.). Food Chem. 2010, 122, 638–644. [Google Scholar] [CrossRef]
- Gunness, P.; Flanagan, B.M.; Gidley, M.J. Molecular interactions between cereal soluble dietary fibre polymers and a model bile salt deduced from 13c nmr titration. J. Cereal Sci. 2010, 52, 444–449. [Google Scholar] [CrossRef]
- Kahlon, T.S.; Woodruff, C.L. In vitro binding of bile acids by rice bran, oat bran, barley and β-glucan enriched barley. Cereal Chem. 2003, 80, 260–263. [Google Scholar] [CrossRef]
- Dongowski, G. Interactions between dietary fibre-rich preparations and glycoconjugated bile acids in vitro. Food Chem. 2007, 104, 390–397. [Google Scholar] [CrossRef]
- Kahlon, T.S.; Smith, G.E. In vitro binding of bile acids by bananas, peaches, pineapple, grapes, pears, apricots and nectarines. Food Chem. 2007, 101, 1046–1051. [Google Scholar] [CrossRef]
- Sayar, S.; Jannink, J.-L.; White, P.J. In vitro bile acid binding activity within flour fractions from oat lines with typical and high β-glucan amounts. J. Agric. Food Chem. 2006, 54, 5142–5148. [Google Scholar] [CrossRef] [PubMed][Green Version]
- Parker, R.; Rigby, N.M.; Ridout, M.J.; Gunning, A.P.; Wilde, P.J. The adsorption–desorption behaviour and structure function relationships of bile salts. Soft matter 2014, 10, 6457–6466. [Google Scholar] [CrossRef] [PubMed]
- Madenci, D.; Egelhaaf, S.U. Self-assembly in aqueous bile salt solutions. Curr. Opin. Colloid Interface Sci. 2010, 15, 109–115. [Google Scholar] [CrossRef]
- Miller, C.C.; Walker, J. The stokes-einstein law for diffusion in solution. Proc. R. Soc. Lond. Ser. A Contain. Pap. Math. Phys. Character 1924, 106, 724–749. [Google Scholar] [CrossRef]
- Dietschy, J.M. Mechanisms for the intestinal absorption of bile acids. J. Lipid Res. 1968, 9, 297–309. [Google Scholar] [PubMed]
- Tuncer, E.; Bayramoglu, B. Characterization of the self-assembly and size dependent structural properties of dietary mixed micelles by molecular dynamics simulations. Biophys. Chem. 2019, 248, 16–27. [Google Scholar] [CrossRef] [PubMed]
- Wilson, F.A. Intestinal transport of bile acids. Am. J. Physiol. Gastrointest. Liver Physiol. 1981, 241, G83–G92. [Google Scholar] [CrossRef]
- Matsuoka, K.; Suzuki, M.; Honda, C.; Endo, K.; Moroi, Y. Micellization of conjugated chenodeoxy- and ursodeoxycholates and solubilization of cholesterol into their micelles: Comparison with other four conjugated bile salts species. Chem. Phys. Lipids 2006, 139, 1–10. [Google Scholar] [CrossRef]
- Kahlon, T.S.; Chow, F.I. In vitro binding of bile acids by rice bran, oat bran, wheat bran, and corn bran. Cereal Chem. 2000, 77, 518–521. [Google Scholar] [CrossRef]
- Bosaeus, I.; Carlsson, N.G.; Sandberg, A.S.; Andersson, H. Effect of wheat bran and pectin on bile acid and cholesterol excretion in ileostomy patients. Hum. Nutr.-Clin. Nutr. 1986, 40, 429–440. [Google Scholar]
- Johnston, K.L.; Thomas, E.L.; Bell, J.D.; Frost, G.S.; Robertson, M.D. Resistant starch improves insulin sensitivity in metabolic syndrome. Diabet. Med. 2010, 27, 391–397. [Google Scholar] [CrossRef] [PubMed]
- Le Thanh-Blicharz, J.; Anioła, J.; Kowalczewski, P.; Przygoński, K.; Zaborowska, Z.; Lewandowicz, G. Type iv resistant starch increases cecum short chain fatty acids level in rats. Acta Biochim. Pol. 2014, 61. [Google Scholar] [CrossRef]
- Shang, W.; Si, X.; Zhou, Z.; Li, Y.; Strappe, P.; Blanchard, C. Characterization of fecal fat composition and gut derived fecal microbiota in high-fat diet fed rats following intervention with chito-oligosaccharide and resistant starch complexes. Food Funct. 2017, 8, 4374–4383. [Google Scholar] [CrossRef] [PubMed]
- Simsek, S.; El, S.N. Production of resistant starch from taro (colocasia esculenta l. Schott) corm and determination of its effects on health by in vitro methods. Carbohydr. Polym. 2012, 90, 1204–1209. [Google Scholar] [CrossRef] [PubMed]
- Dongowski, G.; Jacobasch, G.; Schmiedl, D. Structural stability and prebiotic properties of resistant starch type 3 increase bile acid turnover and lower secondary bile acid formation. J. Agric. Food Chem. 2005, 53, 9257–9267. [Google Scholar] [CrossRef] [PubMed]
- Ebihara, K.; Shiraishi, R.; Okuma, K. Hydroxypropyl-modified potato starch increases fecal bile acid excretion in rats. J. Nutr. 1998, 128, 848–854. [Google Scholar] [CrossRef] [PubMed][Green Version]
- Chezem, J.; Furumoto, E.; Story, J. Effects of resistant potato starch on cholesterol and bile acid metabolism in the rat. Nutr. Res. 1997, 17, 1671–1682. [Google Scholar] [CrossRef]
- Bindels, L.B.; Walter, J.; Ramer-Tait, A.E. Resistant starches for the management of metabolic diseases. Curr. Opin. Clin. Nutr. Metab. Care 2015, 18, 559–565. [Google Scholar] [CrossRef]
- Nyman, M.; Schweizer, T.F.; Tyrén, S.; Reimann, S.; Asp, N.-G. Fermentation of vegetable fiber in the intestinal tract of rats and effects on fecal bulking and bile acid excretion. J. Nutr. 1990, 120, 459–466. [Google Scholar] [CrossRef]
- Liu, G.; Xiao, L.; Fang, T.; Cai, Y.; Jia, G.; Zhao, H.; Wang, J.; Chen, X.; Wu, C. Pea fiber and wheat bran fiber show distinct metabolic profiles in rats as investigated by a 1h nmr-based metabolomic approach. PLoS ONE 2014, 9, e115561. [Google Scholar] [CrossRef]
- Martins, J.M.; Riottot, M.; de Abreu, M.C.; Lança, M.J.; Viegas-Crespo, A.M.; Almeida, J.A.; Freire, J.o.B.; Bento, O.l.P. Dietary raw peas (pisum sativum l.) reduce plasma total and ldl cholesterol and hepatic esterified cholesterol in intact and ileorectal anastomosed pigs fed cholesterol-rich diets. J. Nutr. 2004, 134, 3305–3312. [Google Scholar] [CrossRef] [PubMed]
- Parolini, C.; Manzini, S.; Busnelli, M.; Rigamonti, E.; Marchesi, M.; Diani, E.; Sirtori, C.R.; Chiesa, G. Effect of the combinations between pea proteins and soluble fibres on cholesterolaemia and cholesterol metabolism in rats. Br. J. Nutr. 2013, 110, 1394–1401. [Google Scholar] [CrossRef] [PubMed]
- Lærke, H.N.; Meyer, A.S.; Kaack, K.V.; Larsen, T. Soluble fiber extracted from potato pulp is highly fermentable but has no effect on risk markers of diabetes and cardiovascular disease in goto-kakizaki rats. Nutr. Res. 2007, 27, 152–160. [Google Scholar] [CrossRef]
- Sembries, S.; Dongowski, G.; Mehrländer, K.; Will, F.; Dietrich, H. Dietary fiber–rich colloids from apple pomace extraction juices do not affect food intake and blood serum lipid levels, but enhance fecal excretion of steroids in rats. J. Nutr. Biochem. 2004, 15, 296–302. [Google Scholar] [CrossRef] [PubMed]
- Sembries, S.; Dongowski, G.; Mehrländer, K.; Will, F.; Dietrich, H. Physiological effects of extraction juices from apple, grape, and red beet pomaces in rats. J. Agric. Food Chem. 2006, 54, 10269–10280. [Google Scholar] [CrossRef] [PubMed]
- Chau, C.F.; Huang, Y.L.; Lin, C.Y. Investigation of the cholesterol-lowering action of insoluble fibre derived from the peel of citrus sinensis l. Cv. Liucheng. Food Chem. 2004, 87, 361–366. [Google Scholar] [CrossRef]
- EFSA NDA Panel. Scientific opinion on the substantiation of a health claim related to oat beta glucan and lowering blood cholesterol and reduced risk of (coronary) heart disease pursuant to article 14 of regulation (ec) no 1924/2006. EFSA J. 2010, 8, 1885. [Google Scholar]
- EFSA NDA Panel. Scientific opinion on the substantiation of a health claim related to barley beta-glucans and lowering of blood cholesterol and reduced risk of (coronary) heart disease pursuant to article 14 of regulation (ec) no 1924/2006. EFSA J. 2011, 9, 2470. [Google Scholar] [CrossRef]
- Grundy, M.; Fardet, A.; Tosh, S.; T. Richa, G.; Wilde, P. Processing of oat: The impact on oat’s cholesterol lowering effect. Food Funct. 2018, 9, 1328–1343. [Google Scholar] [CrossRef]
- Mackie, A.; Rigby, N.; Harvey, P.; Bajka, B. Increasing dietary oat fibre decreases the permeability of intestinal mucus. J. Funct. Foods 2016, 26, 418–427. [Google Scholar] [CrossRef]
- Zacherl, C.; Eisner, P.; Engel, K.-H. In vitro model to correlate viscosity and bile acid-binding capacity of digested water-soluble and insoluble dietary fibres. Food Chem. 2011, 126, 423–428. [Google Scholar] [CrossRef]
- Araki, Y.; Andoh, A.; Fujiyama, Y.; Kanauchi, O.; Takenaka, K.; Higuchi, A.; Bamba, T. Germinated barley foodstuff exhibits different adsorption properties for hydrophilic versus hydrophobic bile acids. Digestion 2001, 64, 248–254. [Google Scholar] [CrossRef] [PubMed]
- Bae, I.Y.; Kim, S.M.; Lee, S.; Lee, H.G. Effect of enzymatic hydrolysis on cholesterol-lowering activity of oat β-glucan. New Biotechnol. 2010, 27, 85–88. [Google Scholar] [CrossRef] [PubMed]
- Sun, T.; Xu, Z.; Godber, J.S.; Prinyawiwatkul, W. Capabilities of oat extracts in inhibiting cholesterol and long chain fatty acid oxidation during heating. Cereal Chem. 2006, 83, 451–454. [Google Scholar] [CrossRef]
- Fechner, A.; Kiehntopf, M.; Jahreis, G. The formation of short-chain fatty acids is positively associated with the blood lipid–lowering effect of lupin kernel fiber in moderately hypercholesterolemic adults. J. Nutr. 2014, 144, 599–607. [Google Scholar] [CrossRef] [PubMed]
- Kreuzer, M.; Hanneken, H.; Wittmann, M.; Gerdemann, M.M.; Machmüller, A. Effects of different fibre sources and fat addition on cholesterol and cholesterol-related lipids in blood serum, bile and body tissues of growing pigs. J. Anim. Physiol. Anim. Nutr. 2002, 86, 57–73. [Google Scholar] [CrossRef]
- Martins, J.M.; Riottot, M.; de Abreu, M.C.; Viegas-Crespo, A.M.; Lança, M.J.; Almeida, J.A.; Freire, J.B.; Bento, O.P. Cholesterol-lowering effects of dietary blue lupin (lupinus angustifolius l.) in intact and ileorectal anastomosed pigs. J. Lipid Res. 2005, 46, 1539–1547. [Google Scholar] [CrossRef] [PubMed]
- Ghaffarzadegan, T.; Essén, S.; Verbrugghe, P.; Marungruang, N.; Hållenius, F.F.; Nyman, M.; Sandahl, M. Determination of free and conjugated bile acids in serum of apoe(-/-) mice fed different lingonberry fractions by uhplc-ms. Sci. Rep. 2019, 9, 3800. [Google Scholar] [CrossRef]
- Ghaffarzadegan, T.; Zhong, Y.; Fåk Hållenius, F.; Nyman, M. Effects of barley variety, dietary fiber and β-glucan content on bile acid composition in cecum of rats fed low- and high-fat diets. J. Nutr. Biochem. 2018, 53, 104–110. [Google Scholar] [CrossRef]





| Source | SDF | IDF | TDF | SDF/TDF |
|---|---|---|---|---|
| [g/100 g DM] | [g/100 g DM] | [g/100 g DM] | [%] | |
| apple | 15.7 ± 1.6 | 73.0 ± 1.9 | 88.7 ± 2.5 | 17.6 ± 1.3 |
| barley 1 | 19.8 ± 1.5 | 9.5 ± 0.2 | 29.2 ± 1.5 | 67.3 ± 1.0 |
| citrus 1 | 14.9 ± 0.3 | 79.8 ± 1.2 | 94.7 ± 1.2 | 15.7 ± 0.3 |
| lupin 1 | 4.8 ± 0.6 | 78.6 ± 0.4 | 83.4 ± 0.7 | 5.8 ± 0.7 |
| maize | 1.3 ± 0.8 | 78.9 ± 0.8 | 80.2 ± 1.1 | 1.6 ± 1.0 |
| oat | 1.4 ± 1.1 | 92.6 ± 0.4 | 94.0 ± 1.2 | 1.5 ± 1.1 |
| pea | 2.0 ± 0.4 | 52.8 ± 0.1 | 54.8 ± 0.5 | 3.6 ± 0.8 |
| potato 1 | 11.2 ± 1.7 | 56.5 ± 0.8 | 67.8 ± 1.9 | 16.5 ± 2.2 |
| res. starch 2 | 84.7 ± 0.7 | - | - | - |
| wheat | 2.5 ± 0.2 | 96.0 ± 0.1 | 98.5 ± 0.2 | 2.5 ± 0.2 |
| Source | bile acid adsorption [μmol/100 mg DM] | ||
|---|---|---|---|
| CA | CDCA | DCA | |
| apple | 0.11 ± 0.05 a | 0.56 ± 0.18 a | 0.29 ± 0.97 a |
| barley | 1.19 ± 0.13 b | 3.20 ± 0.32 c | 4.65 ± 0.17 d |
| citrus | 0.38 ± 0.48 a | 0.37 ± 0.42 a | 0.25 ± 0.14 a |
| lupin | 0.44 ± 0.15 a | 1.74 ± 0.26 b | 2.18 ± 0.11 c |
| maize | 0.38 ± 0.13 a | 1.87 ± 0.10 b | 2.88 ± 0.24 c |
| oat | 1.07 ± 0.11 b | 2.57 ± 0.06 c | 2.01 ± 0.57 c |
| pea | −0.04 ± 0.21 a | 0.65 ± 0.28 a | 0.87 ± 0.16 b |
| potato | −0.10 ± 0.29 a | 0.29 ± 0.29 a | 0.72 ± 0.28 a |
| res. starch | 0.03 ± 0.05 a | 0.21 ± 0.08 a | 0.19 ± 0.07 a |
| wheat | 0.09 ± 0.11 a | 0.18 ± 0.12 a | −0.03 ± 0.28 a |
| blank | 0.09 ± 0.01 a | 0.02 ± 0.11 a | 0.01 ± 0.19 a |
| Apparent Permeability Rate k (h−1) | ||||||
|---|---|---|---|---|---|---|
| Source | GCA | TCA | GCDCA | TCDCA | GDCA | TDCA |
| apple | 0.26 ± 0.01 a | 0.27 ± 0.01 a | 0.18 ± 0.01 a | 0.17 ± 0.01 a | 0.12 ± 0.02 a | 0.12 ± 0.02 a |
| barley | 0.35 ± 0.04 a,b | 0.31 ± 0.04 a | 0.25 ± 0.01 a | 0.24 ± 0.01 a,b | 0.30 ± 0.05 b,c | 0.28 ± 0.02 b,c |
| citrus | 0.26 ± 0.06 a | 0.27 ± 0.04 a | 0.17 ± 0.04 a,b | 0.17 ± 0.04 a | 0.15 ± 0.01 a,b | 0.15 ± 0.01 a,b |
| lupin | 0.26 ± 0.06 a | 0.46 ± 0.04 a | 0.39 ± 0.01 b,c | 0.34 ± 0.02 b,c | 0.36 ± 0.07 c,d | 0.34 ± 0.04 c,d |
| maize | 0.54 ± 0.05 b | 0.86 ± 0.10 b | 0.46 ± 0.05 c,d | 0.45 ± 0.05 c,d | 0.33 ± 0.04 c,d | 0.33 ± 0.03 c |
| oat | 0.85 ± 0.12 c | 0.74 ± 0.12 b | 0.55 ± 0.11 d,e,f | 0.52 ± 0.11 d,e,f | 0.54 ± 0.04 e,f | 0.53 ± 0.04 f,g |
| pea | 0.79 ± 0.17 c | 0.77 ± 0.03 b | 0.51 ± 0.04 c,d,e | 0.55 ± 0.08 d,e,f | 0.39 ± 0.07 c,d,e | 0.37 ± 0.05 c,d,e |
| potato | 0.88 ± 0.06 c | 0.89 ± 0.07 b | 0.55 ± 0.04 d,e,f | 0.52 ± 0.07 d,e | 0.39 ± 0.11 c,d,e | 0.38 ± 0.10 c,d,e,f |
| res. starch | 0.92 ± 0.07 c | 0.85 ± 0.08 b | 0.63 ± 0.04 e,f,g | 0.60 ± 0.04 d,e,f | 0.50 ± 0.05 d,e,,f | 0.48 ± 0.04 d,e,f |
| wheat | 0.92 ± 0.10 c | 0.80 ± 0.09 b | 0.68 ± 0.08 f,g | 0.63 ± 0.07 e,f | 0.53 ± 0.03 e,f | 0.51 ± 0.04 e,f,g |
| blank | 1.02 ± 0.07 c | 0.90 ± 0.15 b | 0.74 ± 0.05 g | 0.68 ± 0.04 f | 0.61 ± 0.09 f | 0.58 ± 0.08 g |
| Bile Acid | Abbreviation | CMC [mM] | Nagg |
|---|---|---|---|
| taurocholic acid | TCA | 3–18 | 3–7 |
| glycocholic acid | GCA | 4 | 9 |
| taurochenodesoxycholic acid | TCDCA | 0.9–7 | 5–26 |
| glycochenodesoxycholic acid | GCDCA | 1–2 | 15 |
| taurodesxycholic acid | TDCA | 2–3 | 12–19 |
| glycodesoxycholic acid | GDCA | 1–2 | 13–16 |
© 2019 by the authors. Licensee MDPI, Basel, Switzerland. This article is an open access article distributed under the terms and conditions of the Creative Commons Attribution (CC BY) license (http://creativecommons.org/licenses/by/4.0/).
Share and Cite
Naumann, S.; Schweiggert-Weisz, U.; Eglmeier, J.; Haller, D.; Eisner, P. In Vitro Interactions of Dietary Fibre Enriched Food Ingredients with Primary and Secondary Bile Acids. Nutrients 2019, 11, 1424. https://doi.org/10.3390/nu11061424
Naumann S, Schweiggert-Weisz U, Eglmeier J, Haller D, Eisner P. In Vitro Interactions of Dietary Fibre Enriched Food Ingredients with Primary and Secondary Bile Acids. Nutrients. 2019; 11(6):1424. https://doi.org/10.3390/nu11061424
Chicago/Turabian StyleNaumann, Susanne, Ute Schweiggert-Weisz, Julia Eglmeier, Dirk Haller, and Peter Eisner. 2019. "In Vitro Interactions of Dietary Fibre Enriched Food Ingredients with Primary and Secondary Bile Acids" Nutrients 11, no. 6: 1424. https://doi.org/10.3390/nu11061424
APA StyleNaumann, S., Schweiggert-Weisz, U., Eglmeier, J., Haller, D., & Eisner, P. (2019). In Vitro Interactions of Dietary Fibre Enriched Food Ingredients with Primary and Secondary Bile Acids. Nutrients, 11(6), 1424. https://doi.org/10.3390/nu11061424

