Effect of Fibre-Enriched Orange Juice on Postprandial Glycaemic Response and Satiety in Healthy Individuals: An Acute, Randomised, Placebo-Controlled, Double-Blind, Crossover Study
Abstract
1. Introduction
2. Material and methods
2.1. Subjects
2.2. Study design
2.3. Orange Juice Production
2.4. Blood Sampling, Anthropometrical and Biochemical Measurements
2.5. Statistical Analyses
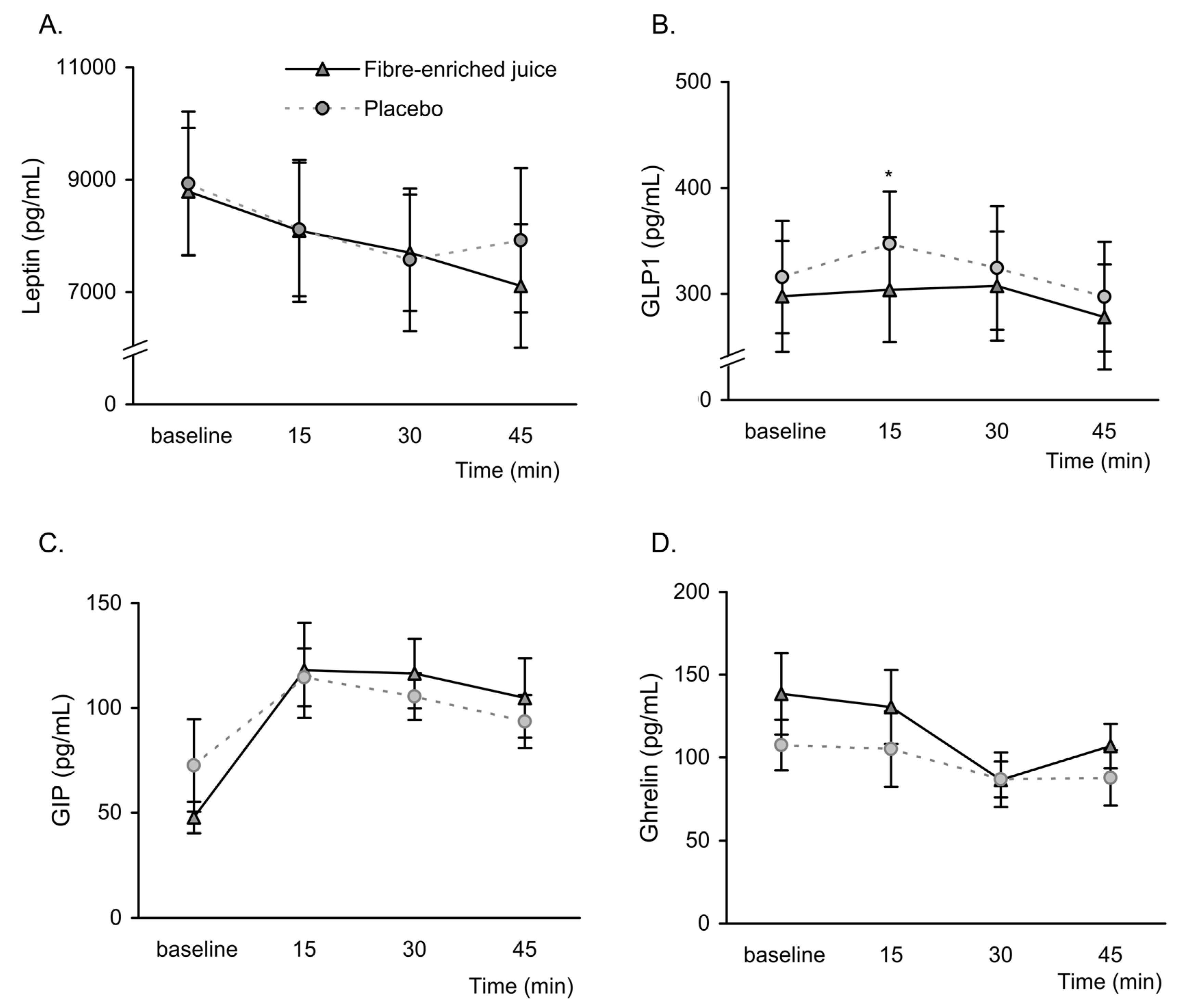
3. Results
4. Discussion
5. Conclusions
Author Contributions
Funding
Acknowledgments
Conflicts of Interest
Abbreviations
| BMI | Body mass index |
| GI | Gastrointestinal |
| GIP | Gastric inhibitory polypeptide |
| GLP1 | Glucagon-Like Peptide 1 |
| HOMA-IR | Homeostatic model assessment of insulin resistance |
| PYY | Peptide YY |
| SEM | Standard error of the mean |
| UHPH | Ultra High Pressure Homogenization |
| VAS | Visual analogue scale |
References
- Dhingra, D.; Michael, M.; Rajput, H.; Patil, R.T. Dietary fibre in foods: A review. J. Food Sci. Technol. 2012, 49, 255–266. [Google Scholar] [CrossRef] [PubMed]
- Wei, B.; Liu, Y.; Fang, Y.; Cui, J.; Wan, J. Dietary fiber intake and risk of metabolic syndrome: A meta-analysis of observational studies. Clin. Nutr. 2018, 37, 1935–1942. [Google Scholar] [CrossRef] [PubMed]
- Stephen, A.M.; Champ, M.M.; Cloran, S.J.; Fleith, M.; van Lieshout, L.; Mejborn, H.; Burley, V.J. Dietary fibre in Europe: Current state of knowledge on definitions, sources, recommendations, intakes and relationships to health. Nutr. Res. Rev. 2017, 30, 149–190. [Google Scholar] [CrossRef] [PubMed]
- Hervik, A.K.; Svihus, B. The Role of Fiber in Energy Balance. J. Nutr. Metab. 2019, 2019, 4983657. [Google Scholar] [CrossRef]
- Tremblay, A.; Pérusse, L. Nutrients, satiety and control of energy intake. Appl. Physiol. Nutr. Metab. 2015, 40, 971–979. [Google Scholar] [CrossRef]
- Ho, I.H.; Matia-Merino, L.; Huffman, L.M. Use of viscous fibres in beverages for appetite control: A review of studies. Int. J. Food Sci. Nutr. 2015, 66, 479–490. [Google Scholar] [CrossRef]
- Dong, H.; Sargent, L.J.; Chatzidiakou, Y.; Saunders, C.; Harkness, L.; Bordenave, N.; Rowland, I.; Spencer, J.P.; Lovegrove, J.A. Orange pomace fibre increases a composite scoring of subjective ratings of hunger and fullness in healthy adults. Appetite 2016, 107, 478–485. [Google Scholar] [CrossRef]
- Guérin-Deremaux, L.; Pochat, M.; Reifer, C.; Wils, D.; Cho, S.; Miller, L.E. The soluble fiber NUTRIOSE induces a dose-dependent beneficial impact on satiety over time in humans. Nutr. Res. 2011, 31, 665–672. [Google Scholar] [CrossRef]
- Sánchez, D.; Miguel, M.; Aleixandre, A. Dietary fiber, gut peptides, and adipocytokines. J. Med. Food 2012, 15, 223–230. [Google Scholar] [CrossRef]
- Ye, Z.; Arumugam, V.; Haugabrooks, E.; Williamson, P.; Hendrich, S. Soluble dietary fiber (Fibersol-2) decreased hunger and increased satiety hormones in humans when ingested with a meal. Nutr. Res. 2015, 35, 393–400. [Google Scholar] [CrossRef]
- Rahman, S.; Zhao, A.; Xiao, D.; Park, E.; Edirisinghe, I.; Burton-Freeman, B.M. A Randomized, Controlled Trial Evaluating Polydextrose as a Fiber in a Wet and Dry Matrix on Glycemic Control. J. Food Sci. 2017, 82, 2471–2478. [Google Scholar] [CrossRef] [PubMed]
- Tarini, J.; Wolever, T.M. The fermentable fibre inulin increases postprandrial serum short-chain fatty acids and reduces free-fatty acids and ghrelin in healthy subjects. Appl. Physiol. Nutr. Metab. 2010, 35, 9–16. [Google Scholar] [CrossRef] [PubMed]
- Verhoef, S.P.; Meyer, D.; Westerterp, K.R. Effects of oligofructose on appetite profile, glucagon-like peptide 1 and peptide YY3-36 concentrations and energy intake. Br. J. Nutr. 2011, 106, 1757–1762. [Google Scholar] [CrossRef] [PubMed]
- Barone-Lumaga, R.; Azzali, D.; Fogliano, V.; Scalfi, L.; Vitaglione, P. Sugar and dietary fibre composition influence, by different hormonal response, the satiating capacity of a fruit-based and a β-glucan-enriched beverage. Food Funct. 2012, 3, 67–75. [Google Scholar] [CrossRef] [PubMed]
- Rahat-Rozenbloom, S.; Fernandes, J.; Cheng, J.; Wolever, T.M.S. Acute increases in serum colonic short-chain fatty acids elicited by inulin do not increase GLP-1 or PYY responses but may reduce ghrelin in lean and overweight humans. Eur. J. Clin. Nutr. 2017, 71, 953–958. [Google Scholar] [CrossRef]
- Jenkins, D.J.; Wolever, T.M.; Leeds, A.R.; Gassull, M.A.; Haisman, P.; Dilawari, J.; Goff, D.V.; Metz, G.L.; Alberti, K.G. Dietary fibres, fibre analogues, and glucose-tolerance: Importance of viscosity. Br. Med. J. 1978, 1, 1392–1394. [Google Scholar] [CrossRef]
- Maki, K.C.; Carson, M.L.; Miller, M.P.; Turowski, M.; Bell, M.; Wilder, D.M.; Rains, T.M.; Reeves, M.S. Hydroxypropylmethylcellulose and methylcellulose consumption reduce postprandrial insulinemia in overweight and obese men and women. J. Nutr. 2008, 138, 292–296. [Google Scholar] [CrossRef]
- Thompson, S.V.; Hannon, A.; An, R.; Holscher, H.D. Effects of isolated soluble fiber supplementation on body weight, glycemia, and insulinemia in adults with overweight and obesity: A systematic review and meta-analysis of randomized controlled trials. Am. J. Clin. Nutr. 2017, 106, 1514–1528. [Google Scholar] [CrossRef]
- Huang, Y.; Park, E.; Replogle, R.; Boileau, T.; Shin, J.E.; Burton-Freeman, B.M.; Edirisinghe, I. Enzyme-treated orange pomace alters acute glycemic response to orange juice. Nutr. Diabetes 2019, 9, 24–28. [Google Scholar] [CrossRef]
- Dong, H.; Rendeiro, C.; Kristek, A.; Sargent, L.J.; Saunders, C.; Harkness, L.; Rowland, I.; Jackson, K.G.; Spencer, J.P.; Lovegrove, J.A. Addition of Orange Pomace to Orange Juice Attenuates the Increases in Peak Glucose and Insulin Concentrations after Sequential Meal Ingestion in Men with Elevated Cardiometabolic Risk. J. Nutr. 2016, 146, 1197–1203. [Google Scholar] [CrossRef]
- Chen, C.O.; Rasmussen, H.; Kamil, A.; Du, P.; Blumberg, J.B. Orange Pomace Improves Postprandrial Glycemic Responses: An Acute, Randomized, Placebo-Controlled, Double-Bind, Crossover Trial in Overweight Men. Nutrients 2017, 9, 130. [Google Scholar] [CrossRef] [PubMed]
- Li, S.; Guérin-Deremaux, L.; Pochat, M.; Wils, D.; Reifer, C.; Miller, L.E. NUTRIOSE dietary fiber supplementation improves insulin resistance and determinants of metabolic syndrome in overweight men: A double-bind, randomized, placebo-controlled study. Appl. Physiol. Nutr. Metab. 2010, 35, 773–782. [Google Scholar] [CrossRef] [PubMed]
- Capuano, E. The behaviour of dietary fibre in the gastrointestinal tract determines its physiological effect. Crit. Rev. Food Sci. Nutr. 2017, 57, 3543–3564. [Google Scholar] [CrossRef] [PubMed]
- Vuksan, V.; Panahi, S.; Lyon, M.; Rogovik, A.L.; Jenkins, A.L.; Leiter, L.A. Viscosity of fiber preloads affects food intake in adolescents. Nutr. Metab. Cardiovasc. Dis. 2009, 19, 498–503. [Google Scholar] [CrossRef] [PubMed]
- Zijlstra, N.; Mars, M.; de Wijk, R.A.; Westerterp-Plantenga, M.S.; de Graaf, C. The effect of viscosity on ad libitum food intake. Int. J. Obes. 2008, 32, 676–683. [Google Scholar] [CrossRef] [PubMed]
- Lyly, M.; Ohls, N.; Lähteenmäki, L.; Salmenkallio-Marttila, M.; Liukkonen, K.H.; Karhunen, L.; Poutanen, K. The effect of fibre amount, energy level and viscosity beverages containing oat fibre supplement on perceived satiety. Food Nutr. Res. 2010, 54, 2149. [Google Scholar] [CrossRef]
- Ulmius, M.; Johansson, A.; Onning, G. The influence of dietary fibre source and gender on the postprandrial glucose and lipid response in healthy subjects. Eur. J. Nutr. 2009, 48, 395–402. [Google Scholar] [CrossRef]
- Reimer, R.A.; Pelletier, X.; Carabin, I.G.; Lyon, M.; Gahler, R.; Parnell, J.A.; Wood, S. Increased plasma PYY levels following supplementation with the functional fiber PolyGlycopleX in healthy adults. Eur. J. Clin. Nutr. 2010, 64, 1186–1191. [Google Scholar] [CrossRef]
- Sandberg, J.C.; Björck, I.M.E.; Nilsson, A.C. Effects of whole grain rye, with and without resistant starch type 2 supplementation, on glucose tolerance, gut hormones, inflammation and appetite regulation in an 11–14.5 hour perspective; a randomized controlled study in healthy subjects. Nutr. J. 2017, 16, 25. [Google Scholar] [CrossRef]
- Geliebter, A.; Grillot, C.L.; Aviram-Friedman, R.; Hag, S.; Yahav, E.; Hashim, S.A. Effects of oatmeal and corn flakes cereal breakfasts on satiety, gastric emptying, glucose, and appetite-related hormones. Ann. Nutr. Metab. 2015, 66, 93–103. [Google Scholar] [CrossRef]
- Lafond, D.W.; Greaves, K.A.; Maki, K.C.; Leidy, H.J.; Romsos, D.R. Effects of two dietary fibers as part of ready-to-eat cereal (RTEC) breakfasts on perceived appetite and gut hormones in overweight women. Nutrients 2015, 7, 1245–1266. [Google Scholar] [CrossRef] [PubMed]
- Karhunen, L.J.; Juvonen, K.R.; Flander, S.M.; Liukkonen, K.H.; Lähteenmäki, L.; Siloaho, M.; Laaksonen, D.E.; Herzig, K.H.; Uusitupa, M.I.; Poutanen, K.S. A psyllium fiber-enriched meal strongly attenuates postprandrial gastrointestinal peptide release in healthy young adults. J. Nutr. 2010, 140, 737–744. [Google Scholar] [CrossRef] [PubMed]
- Juvonen, K.R.; Salmenkallio-Marttila, M.; Lyly, M.; Liukkonen, K.H.; Lähteenmäki, L.; Laaksonen, D.E.; Uusitupa, M.I.; Herzig, K.H.; Poutanen, K.S.; Karhunen, L.J. Semisolid meal enriched in oat bran decreases plasma glucose and insulin levels, but does not change gastrointestinal peptide responses or short-term appetite in healthy subjects. Nutr. Metab. Cardiovasc. Dis. 2011, 21, 748–756. [Google Scholar] [CrossRef] [PubMed]
- Kristensen, M.; Jensen, M.G. Dietary fibres in the regulation of appetite and food intake. Importance of viscosity. Appetite 2011, 56, 65–70. [Google Scholar] [CrossRef] [PubMed]
- Bodinham, C.L.; Al-Mana, N.M.; Smith, L.; Robertson, M.D. Endogenous plasma glucagon-like peptide-1 following acute dietary fibre consumption. Br. J. Nutr. 2013, 110, 1429–1433. [Google Scholar] [CrossRef] [PubMed]
- Klosterbuer, A.S.; Thomas, W.; Slavin, J.L. Resistant starch and pullulan reduce postprandrial glucose, insulin, and GLP-1, but have no effect on satiety in healthy humans. J. Agric. Food Chem. 2012, 60, 11928–11934. [Google Scholar] [CrossRef]
- Juvonen, K.R.; Purhonen, A.K.; Salmenkallio-Marttila, M.; Lähteenmäki, L.; Laaksonen, D.E.; Herzig, K.H.; Uusitupa, M.I.; Poutanen, K.S.; Karhunen, L.J. Viscosity of oat bran-enriched beverages influences gastrointestinal hormonal responses in healthy humans. J. Nutr. 2009, 139, 461–466. [Google Scholar] [CrossRef]
- Zheng, J.; Zhou, Y.; Li, S.; Zhang, P.; Zhou, T.; Xu, D.P.; Li, H.B. Effects and Mechanisms of Fruit and Vegetable Juices on Cardiovascular Diseases. Int. J. Mol. Sci. 2017, 18, 555. [Google Scholar] [CrossRef]
- Rampersaud, G.C.; Valim, M.F. 100% citrus juice: Nutritional contribution, dietary benefits, and association with anthropometric measures. Crit. Rev. Food Sci. Nutr. 2017, 57, 129–140. [Google Scholar] [CrossRef]
- Ashor, A.W.; Werner, A.D.; Lara, J.; Willis, N.D.; Mathers, J.C.; Siervo, M. Effects of vitamin C supplementation on glycaemic control: A systematic review and meta-analysis of randomised controlled trials. Eur. J. Clin. Nutr. 2017, 71, 1371–1380. [Google Scholar] [CrossRef]




| Fibre-Enriched Orange Juice | Placebo | |
|---|---|---|
| Energy value(Kcal /KJ) | 47/197 | 47/198 |
| Fat (g) | 0.07 | 0.11 |
| Carbohydrates (g) | 10.2 | 10.6 |
| Sugars (g) | 9.5 | 9.7 |
| Glucose (g) | 2.4 | 2.5 |
| Fructose (g) | 2.5 | 2.5 |
| Lactose (g) | < 0.4 | < 0.4 |
| Maltose (g) | < 0.4 | < 0.4 |
| Sacarose (g) | 4.6 | 4.7 |
| Dietary fibre (g) | 1.4 | 0.17 |
| Orange Fibre (g/100g fibre) | |
|---|---|
| Moisture content | 7.3 |
| Non-fibre Carbohydrates (g) | 10.6 |
| Sugars (g) | 9.3 |
| Total dietary fibre (g) | 71.2 |
| Insoluble fibre(g) | 41.9 |
| Soluble fibre(g) | 29.3 |
| Variables | |
|---|---|
| N (male/female) | 10 (5/5) |
| Age (years) | 29.6 ± 1.8 |
| BMI (Kg/m2) | 22.7 ± 0.5 |
| Weight (Kg) | 67.4 ± 3.0 |
| Height (cm) | 172.0 ± 3.4 |
| Waist (cm) | 74.3 ± 1.9 |
| Hip (cm) | 95.7 ± 1.5 |
| Heart Rate (beats/min) | 64.1 ± 4.2 |
| Systolic BP (mmHg) | 117.5 ± 3.0 |
| Diastolic BP (mmHg) | 71.9 ± 2.2 |
© 2019 by the authors. Licensee MDPI, Basel, Switzerland. This article is an open access article distributed under the terms and conditions of the Creative Commons Attribution (CC BY) license (http://creativecommons.org/licenses/by/4.0/).
Share and Cite
Bosch-Sierra, N.; Marqués-Cardete, R.; Gurrea-Martínez, A.; Grau-Del Valle, C.; Talens, C.; Alvarez-Sabatel, S.; Bald, C.; Morillas, C.; Hernández-Mijares, A.; Bañuls, C. Effect of Fibre-Enriched Orange Juice on Postprandial Glycaemic Response and Satiety in Healthy Individuals: An Acute, Randomised, Placebo-Controlled, Double-Blind, Crossover Study. Nutrients 2019, 11, 3014. https://doi.org/10.3390/nu11123014
Bosch-Sierra N, Marqués-Cardete R, Gurrea-Martínez A, Grau-Del Valle C, Talens C, Alvarez-Sabatel S, Bald C, Morillas C, Hernández-Mijares A, Bañuls C. Effect of Fibre-Enriched Orange Juice on Postprandial Glycaemic Response and Satiety in Healthy Individuals: An Acute, Randomised, Placebo-Controlled, Double-Blind, Crossover Study. Nutrients. 2019; 11(12):3014. https://doi.org/10.3390/nu11123014
Chicago/Turabian StyleBosch-Sierra, Neus, Roger Marqués-Cardete, Aránzazu Gurrea-Martínez, Carmen Grau-Del Valle, Clara Talens, Saioa Alvarez-Sabatel, Carlos Bald, Carlos Morillas, Antonio Hernández-Mijares, and Celia Bañuls. 2019. "Effect of Fibre-Enriched Orange Juice on Postprandial Glycaemic Response and Satiety in Healthy Individuals: An Acute, Randomised, Placebo-Controlled, Double-Blind, Crossover Study" Nutrients 11, no. 12: 3014. https://doi.org/10.3390/nu11123014
APA StyleBosch-Sierra, N., Marqués-Cardete, R., Gurrea-Martínez, A., Grau-Del Valle, C., Talens, C., Alvarez-Sabatel, S., Bald, C., Morillas, C., Hernández-Mijares, A., & Bañuls, C. (2019). Effect of Fibre-Enriched Orange Juice on Postprandial Glycaemic Response and Satiety in Healthy Individuals: An Acute, Randomised, Placebo-Controlled, Double-Blind, Crossover Study. Nutrients, 11(12), 3014. https://doi.org/10.3390/nu11123014

