Observational Study on Knowledge and Eating Habits with Respect to Low- and High-FODMAP Foods in Medical Checkup Populations in Japan
Abstract
1. Introduction
2. Participants and Methods
2.1. Participants
2.2. Questionnaire
2.3. Statistical Analysis
3. Results
3.1. Demographic Profile
3.2. Recognition of FODMAP Diet and Eating Habit
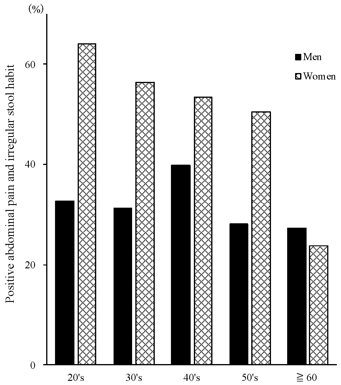
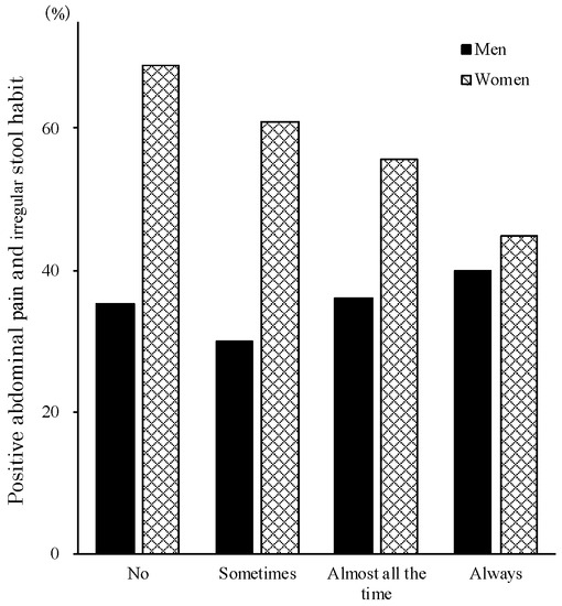
3.3. Factors Related to Gastrointestinal Problem
3.4. Foods That Were Related with Lower and Higher Gastrointestinal Problems
4. Discussion
5. Conclusions
Supplementary Materials
Author Contributions
Funding
Acknowledgments
Conflicts of Interest
References
- Longstreth, G.F.; Thompson, W.G.; Chey, W.D.; Houghton, L.A.; Mearin, F.; Spiller, R.C. Functional bowel disorders. Gastroenterology 2006, 130, 1480–1491. [Google Scholar] [CrossRef] [PubMed]
- Mearin, F.; Lacy, B.E.; Chang, L.; Chey, W.D.; Lembo, A.J.; Simren, M.; Spiller, R. Bowel disorders. Gastroenterology 2016, 150, 1393–1407. [Google Scholar] [CrossRef]
- Hayes, P.A.; Fraher, M.H.; Quigley, E.M. Irritable bowel syndrome: The role of food in pathogenesis and management. Gastroenterol. Hepatol. (N Y) 2014, 10, 164–174. [Google Scholar]
- Lacy, B.E.; Weiser, K.; De Lee, R. The treatment of irritable bowel syndrome. Ther. Adv. Gastroenterol. 2009, 2, 221–238. [Google Scholar] [CrossRef] [PubMed]
- Dieterich, W.; Zopf, Y. Gluten and FODMAPS-Sense of a Restriction/When is Restriction Necessary? Nutrients 2019, 11, 1957. [Google Scholar] [CrossRef] [PubMed]
- McKenzie, Y.A.; Alder, A.; Anderson, W.; Wills, A.; Goddard, L.; Gulia, P.; Jankovich, E.; Mutch, P.; Reeves, L.B.; Singer, A.; et al. British Dietetic Association evidence-based guidelines for the dietary management of irritable bowel syndrome in adults. J. Hum. Nutr. Diet 2012, 25, 260–274. [Google Scholar] [CrossRef] [PubMed]
- Marsh, A.; Eslick, E.M.; Eslick, G.D. Does a diet low in FODMAPs reduce symptoms associated with functional gastrointestinal disorders? A comprehensive systematic review and meta-analysis. Eur. J. Nutr. 2015, 55, 897–906. [Google Scholar] [CrossRef] [PubMed]
- Rao, S.S.; Yu, S.; Fedewa, A. Systematic review: Dietary fibre and FODMAP-restricted diet in the management of constipation and irritable bowel syndrome. Aliment. Pharmacol. Ther. 2015, 41, 1256–1270. [Google Scholar] [CrossRef] [PubMed]
- Fedewa, A.; Rao, S.S. Dietary fructose intolerance, fructan intolerance and FODMAPs. Curr. Gastroenterol. Rep. 2014, 16, 370. [Google Scholar] [CrossRef] [PubMed]
- Fukudo, S.; Kaneko, H.; Akiho, H.; Inamori, M.; Endo, Y.; Okumura, T.; Kanazawa, M.; Kamiya, T.; Sato, K.; Chiba, T.; et al. Evidence-based clinical practice guidelines for irritable bowel syndrome. J. Gastroenterol. 2015, 50, 11–30. [Google Scholar] [CrossRef] [PubMed]
- Hungin, A.P.S.; Mitchell, C.R.; Whorwell, P.; Mulligan, C.; Cole, O.; Agréus, L.; Fracasso, P.; Lionis, C.; Mendive, J.; Philippart de Foy, J.M.; et al. Systematic review: Probiotics in the management of lower gastrointestinal symptoms—An updated evidence-based international consensus. Aliment. Pharmacol. Ther. 2018, 47, 1054–1070. [Google Scholar] [CrossRef] [PubMed]
- Stanford Hospital & Clinics. The Low FODMAP Diet. Available online: https://stanfordhealthcare.org/medical-treatments/l/low-fodmap-diet.html (accessed on 6 September 2019).
- Monash University. The Monash University Low FODMAP Diet. Available online: https://www.monashfodmap.com/ (accessed on 6 September 2019).
- Ichimaki, A. New Diet Therapy for IBS ‘FODMAP Diet’. Available online: http://allabout.co.jp/gm/gc/416571/ (accessed on 6 September 2019). (In Japanese).
- Iacovou, M.; Tan, V.; Muir, J.G.; Gibson, P.R. The Low FODMAP Diet and Its Application in East and Southeast Asia. J. Neurogastroenterol. Motil. 2015, 21, 459–470. [Google Scholar] [CrossRef] [PubMed]
- Adams, J.; Goffe, L.; Adamson, A.J.; Halligan, J.; O’Brien, N.; Purves, R.; Stead, M.; Stocken, D.; White, M. Prevalence and socio-demographic correlates of cooking skills in UK adults: Cross-sectional analysis of data from the UK National Diet and Nutrition Survey. Int. J. Behav. Nutr. Phys. Act. 2015, 12, 99. [Google Scholar] [CrossRef] [PubMed]
- Self-catering Depends on Marital Status. Available online: http://www.garbagenews.net/archives/1832766.html (accessed on 6 September 2019). (In Japanese).
- Lovell, R.M.; Ford, A.C. Effect of gender on prevalence of irritable bowel syndrome in the community: Systematic review and meta-analysis. Am. J. Gastroenterol. 2012, 107, 991–1000. [Google Scholar] [CrossRef] [PubMed]
- Whigham, L.; Joyce, T.; Harper, G.; Irving, P.M.; Staudacher, H.M.; Whelan, K.; Lomer, M.C. Clinical effectiveness and economic costs of group versus one-to-one education for short-chain fermentable carbohydrate restriction (low FODMAP diet) in the management of irritable bowel syndrome. J. Hum. Nutr. Diet. 2015, 28, 687–696. [Google Scholar] [CrossRef] [PubMed]
- Uno, Y. Low FODMAP Diet for Irritable Bowel Syndrome. Available online: http://blog.livedoor.jp/yoshiharu333/archives/48745944.htm (accessed on 6 September 2019). (In Japanese).
- Lenhart, A.; Chey, W.D. A systematic review of the effects of polyols on gastrointestinal health and irritable bowel syndrome. Adv. Nutr. 2017, 8, 587–596. [Google Scholar] [CrossRef] [PubMed]


| Men | Women | ||
|---|---|---|---|
| 487 (48.9%) | 508 (51.1%) | ||
| Age (n = 995) | 20–29 | 89 (18.3%) | 79 (15.6%) |
| 30–39 | 113 (23.2%) | 135 (26.6%) | |
| 40–49 | 144 (29.6%) | 160 (31.5%) | |
| 50–59 | 96 (19.7%) | 113 (22.2%) | |
| 60–69 | 41 (8.4%) | 18 (3.5%) | |
| 70–70 above | 4 (0.8%) | 3 (0.6%) | |
| Cook by oneself (a) (n = 990) | Always | 10 (2.1%) | 196 (28.7%) |
| Almost all the time | 37 (7.6%) | 144 (28.5%) | |
| Sometimes | 215 (44.2%) | 121 (23.9%) | |
| No | 224 (46.1%) | 45 (8.9%) | |
| Suffering from LGIP * (b) (n = 984) | Always | 9 (1.9%) | 33 (6.6%) |
| Almost all the time | 13 (2.7%) | 40 (8.0%) | |
| Sometimes | 139 (28.6%) | 197 (39.3%) | |
| No | 324 (66.8%) | 231 (46.1%) |
| Diet | Odds Ratio | 95% Confidence Interval | p-Value |
|---|---|---|---|
| Soybeans * | 0.48 | 0.32–0.73 | <0.001 |
| Seaweed (Nori) | 0.50 | 0.25–0.97 | 0.04 |
| Shellfish | 0.62 | 0.43–0.89 | 0.01 |
| Wheat * | 0.63 | 0.40–1.00 | 0.04 |
| Cow’s milk * | 0.68 | 0.46–0.99 | 0.04 |
| Green beans | 0.71 | 0.51–0.98 | 0.03 |
| Cauliflower * | 0.75 | 0.57–0.98 | 0.03 |
| Artificial sweeteners * | 1.54 | 1.16–2.03 | 0.002 |
| Margarine | 1.39 | 1.04–1.87 | 0.02 |
| Tomato paste * | 1.37 | 1.03–1.82 | 0.03 |
© 2019 by the authors. Licensee MDPI, Basel, Switzerland. This article is an open access article distributed under the terms and conditions of the Creative Commons Attribution (CC BY) license (http://creativecommons.org/licenses/by/4.0/).
Share and Cite
Kaneko, H.; Tsuboi, H.; Yamamoto, S.; Konagaya, T. Observational Study on Knowledge and Eating Habits with Respect to Low- and High-FODMAP Foods in Medical Checkup Populations in Japan. Nutrients 2019, 11, 2436. https://doi.org/10.3390/nu11102436
Kaneko H, Tsuboi H, Yamamoto S, Konagaya T. Observational Study on Knowledge and Eating Habits with Respect to Low- and High-FODMAP Foods in Medical Checkup Populations in Japan. Nutrients. 2019; 11(10):2436. https://doi.org/10.3390/nu11102436
Chicago/Turabian StyleKaneko, Hiroshi, Hirohito Tsuboi, Sayuri Yamamoto, and Toshihiro Konagaya. 2019. "Observational Study on Knowledge and Eating Habits with Respect to Low- and High-FODMAP Foods in Medical Checkup Populations in Japan" Nutrients 11, no. 10: 2436. https://doi.org/10.3390/nu11102436
APA StyleKaneko, H., Tsuboi, H., Yamamoto, S., & Konagaya, T. (2019). Observational Study on Knowledge and Eating Habits with Respect to Low- and High-FODMAP Foods in Medical Checkup Populations in Japan. Nutrients, 11(10), 2436. https://doi.org/10.3390/nu11102436

