Comparison of Errors Produced by ABA and ITC Methods for the Estimation of Forest Inventory Attributes at Stand and Tree Level in Pinus radiata Plantations in Chile
Abstract
1. Introduction
2. Materials and Methods
2.1. Study Area
2.2. Methodology Framework
2.3. Field Plot Measurement
2.4. ALS Data Acquisition and Processing
2.5. Statistical Modeling
3. Results
3.1. Local Riemer´s Equation
3.2. ABA and ITC Models for Forest Inventory Attributes
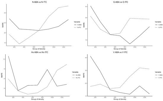
3.3. Comparison between ABA and ITC Methods
4. Discussion
4.1. Local Riemer´s Taper Function
4.2. ALS Metrics and Tree Segmentation
4.3. ABA and ITC Models for Forest Inventory Attributes
4.4. Implications for Forest Management
5. Conclusions
Supplementary Materials
Author Contributions
Funding
Institutional Review Board Statement
Informed Consent Statement
Data Availability Statement
Acknowledgments
Conflicts of Interest
References
- Tinkham, W.T.; Mahoney, P.R.; Hudak, A.T.; Domke, G.M.; Falkowski, M.J.; Woodall, C.W.; Smith, A.M. Applications of the United States Forest Inventory and Analysis dataset: A review and future directions. Can. J. For. Res. 2018, 48, 1251–1268. [Google Scholar] [CrossRef]
- Kangas, A.; Astrup, R.; Breidenbach, J.; Fridman, J.; Gobakken, T.; Korhonen, K.T.; Maltamo, M.; Nilsson, M.; Nord-Larsen, T.; Næsset, E.; et al. Remote sensing and forest inventories in Nordic countries—Roadmap for the future. Scand. J. For. Res. 2017, 33, 397–412. [Google Scholar] [CrossRef]
- Latifi, H.; Heurich, M. Multi-Scale Remote Sensing-Assisted Forest Inventory: A Glimpse of the State-of-the-Art and Future Prospects. Remote Sens. 2019, 11, 1260. [Google Scholar] [CrossRef]
- Maltamo, M.; Packalen, P.; Kangas, A. From comprehensive field inventories to remotely sensed wall-to-wall stand attribute data—A brief history of management inventories in the Nordic countries. Can. J. For. Res. 2021, 51, 257–266. [Google Scholar] [CrossRef]
- Wittke, S.; Yu, X.; Karjalainen, M.; Hyyppä, J.; Puttonen, E. Comparison of two-dimensional multitemporal Sentinel-2 data with three-dimensional remote sensing data sources for forest inventory parameter estimation over a boreal forest. Int. J. Appl. Earth Obs. Geoinf. 2019, 76, 167–178. [Google Scholar] [CrossRef]
- White, J.C.; Coops, N.C.; Wulder, M.A.; Vastaranta, M.; Hilker, T.; Tompalski, P. Remote Sensing Technologies for Enhancing Forest Inventories: A Review. Can. J. Remote Sens. 2016, 42, 619–641. [Google Scholar] [CrossRef]
- Luther, J.E.; Fournier, R.A.; van Lier, O.R.; Bujold, M. Extending ALS-Based Mapping of Forest Attributes with Medium Resolution Satellite and Environmental Data. Remote Sens. 2019, 11, 1092. [Google Scholar] [CrossRef]
- Næsset, E. Predicting forest stand characteristics with airborne scanning laser using a practical two-stage procedure and field data. Remote Sens. Environ. 2002, 80, 88–99. [Google Scholar] [CrossRef]
- Rahlf, J.; Breidenbach, J.; Solberg, S.; Astrup, R. Forest Parameter Prediction Using an Image-Based Point Cloud: A Comparison of Semi-ITC with ABA. Forests 2015, 6, 4059–4071. [Google Scholar] [CrossRef]
- Wulder, M.A.; White, J.C.; Nelson, R.F.; Næsset, E.; Ørka, H.O.; Coops, N.C.; Hilker, T.; Bater, C.W.; Gobakken, T. Lidar Sampling for Large-Area Forest Characterization: A Review. Remote Sens. Environ. 2012, 121, 196–209. [Google Scholar] [CrossRef]
- Frank, B.; Mauro, F.; Temesgen, H. Model-Based Estimation of Forest Inventory Attributes Using Lidar: A Comparison of the Area-Based and Semi-Individual Tree Crown Approaches. Remote Sens. 2020, 12, 2525. [Google Scholar] [CrossRef]
- Jakubowski, M.K.; Li, W.; Guo, Q.; Kelly, M. Delineating Individual Trees from Lidar Data: A Comparison of Vector- and Raster-based Segmentation Approaches. Remote Sens. 2013, 5, 4163–4186. [Google Scholar] [CrossRef]
- Yu, X.; Hyyppä, J.; Holopainen, M.; Vastaranta, M. Comparison of area-based and individual tree-based methods for pre-dicting plot-level forest attributes. Remote Sens. 2010, 2, 1481–1495. [Google Scholar] [CrossRef]
- Holmgren, J.; Persson, Å.; Söderman, U. Species identification of individual trees by combining high resolution LiDAR data with multi-spectral images. Int. J. Remote Sens. 2008, 29, 1537–1552. [Google Scholar] [CrossRef]
- Erfanifard, Y.; Stereńczak, K.; Kraszewski, B.; Kamińska, A. Development of a robust canopy height model derived from ALS point clouds for predicting individual crown attributes at the species level. Int. J. Remote Sens. 2018, 39, 9206–9227. [Google Scholar] [CrossRef]
- Stephens, P.R.; Kimberley, M.O.; Beets, P.N.; Paul, T.S.; Searles, N.; Bell, A.; Brack, C.; Broadley, J. Airborne scanning LiDAR in a double sampling forest carbon inventory. Remote Sens. Environ. 2012, 117, 348–357. [Google Scholar] [CrossRef]
- Bergseng, E.; Ørka, H.O.; Næsset, E.; Gobakken, T. Assessing forest inventory information obtained from different inventory approaches and remote sensing data sources. Ann. For. Sci. 2015, 72, 33–45. [Google Scholar] [CrossRef]
- Vauhkonen, J.; Ene, L.; Gupta, S.; Heinzel, J.; Holmgren, J.; Pitkänen, J.; Solberg, S.; Wang, Y.; Weinacker, H.; Hauglin, K.M.; et al. Comparative testing of single-tree detection algorithms under different types of forest. For. Int. J. For. Res. 2012, 85, 27–40. [Google Scholar] [CrossRef]
- Packalén, P.; Maltamo, M. Estimation of species-specific diameter distributions using airborne laser scanning and aerial photographs. Can. J. For. Res. 2008, 38, 1750–1760. [Google Scholar] [CrossRef]
- Peuhkurinen, J.; Mehtätalo, L.; Maltamo, M. Comparing individual tree detection and the area-based statistical approach for the retrieval of forest stand characteristics using airborne laser scanning in Scots pine stands. Can. J. For. Res. 2011, 41, 583–598. [Google Scholar] [CrossRef]
- Vastaranta, M.; Holopainen, M.; Haapanen, R.; Yu, X.; Melkas, T.; Hyyppä, J.; Hyyppä, H. Comparison between an area based and individual tree detection method for low-pulse density ALS-based forest inventory. In Proceedings of the Laser Scanning 2009, Paris, France, 1–2 September 2009; International Archives of Photogrammetry, Remote Sensing and Spatial Information Sciences (ISPRS Archives). XXXVIII, pp. 147–151. [Google Scholar]
- Solberg, S.; Næsset, E.; Bollandsås, O. Single tree segmentation using airborne laser scanner data in a structurally heterogeneous spruce forest. Photogramm. Eng. Remote Sens. 2006, 72, 1369–1378. [Google Scholar] [CrossRef]
- Saukkola, A.; Melkas, T.; Riekki, K.; Sirparanta, S.; Peuhkurinen, J.; Holopainen, M.; Vastaranta, M. Predicting forest inventory attributes using airborne laser scanning, aerial imagery, and harvester data. Remote Sens. 2019, 11, 797. [Google Scholar] [CrossRef]
- Arias-Rodil, M.; Diéguez-Aranda, U.; Rodríguez Puerta, F.; López-Sánchez, C.A.; Canga Líbano, E.; Cámara Obregón, A.; Castedo-Dorado, F. Modelling and localizing a stem taper function for Pinus radiata in Spain. Can. J. For. Res. 2015, 45, 647–658. [Google Scholar] [CrossRef]
- McGaughey, R.J. FUSION/LDV: Software for LIDAR Data Analysis and Visualization; US Department of Agriculture, Forest Service: Washington, DC, USA, 2007.
- Ruiz, L.A.; Hermosilla, T.; Mauro, F.; Godino, M. Analysis of the Influence of Plot Size and LiDAR Density on Forest Structure Attribute Estimates. Forests 2014, 5, 936–951. [Google Scholar] [CrossRef]
- Kraus, K.; Pfeifer, N. Determination of terrain models in wooded areas with airborne laser scanner data. ISPRS J. Photogramm. Remote Sens. 1998, 53, 193–203. [Google Scholar] [CrossRef]
- Anderson, E.S.; Thompson, J.A.; Crouse, D.A.; Austin, R.E. Horizontal resolution and data density effects on remotely sensed LIDAR-based DEM. Geoderma 2006, 132, 406–415. [Google Scholar] [CrossRef]
- Isenburg, M. LAStools; Rapidlasso GmbH: Gilching, Germany, 2017. [Google Scholar]
- Khosravipour, A.; Skidmore, A.K.; Isenburg, M.; Wang, T.; Hussin, Y.A. Generating Pit-free Canopy Height Models from Airborne Lidar. Photogramm. Eng. Remote Sens. 2014, 80, 863–872. [Google Scholar] [CrossRef]
- Zhang, C.; Qiu, F. Mapping Individual Tree Species in an Urban Forest Using Airborne Lidar Data and Hyperspectral Imagery. Photogramm. Eng. Remote Sens. 2012, 78, 1079–1087. [Google Scholar] [CrossRef]
- R Core Team. R: A Language and Environment for Statistical Computing; R Foundation for Statistical Computing: Vienna, Austria, 2019. [Google Scholar]
- Quinn, G.P.; Keough, M.J. Experimental Design and Data Analysis for Biologists; Cambridge University Press: Cambridge, UK, 2002. [Google Scholar]
- Mead, D.J. Sustainable Management of Pinus radiata Plantations; FAO Forestry Paper No. 170; FAO: Rome, Italy, 2013. [Google Scholar] [CrossRef]
- McTague, J.P.; Weiskittel, A.R. Evolution, history, and use of stem taper equations: A review of their development, application, and implementation. Can. J. For. Res. 2021, 51, 210–235. [Google Scholar] [CrossRef]
- Watt, P.; Watt, M.S. Development of a national model of Pinus radiata stand volume from lidar metrics for New Zealand. Int. J. Remote Sens. 2013, 34, 5892–5904. [Google Scholar] [CrossRef]
- Vastaranta, M.; Kankare, V.; Holopainen, M.; Yu, X.; Hyyppä, J.; Hyyppä, H. Combination of individual tree detection and area-based approach in imputation of forest variables using airborne laser data. ISPRS J. Photogramm. Remote Sens. 2012, 7, 73–79. [Google Scholar] [CrossRef]
- Koch, B.; Kattenborn, T.; Straub, C.; Vauhkonen, J. Segmentation of forest to tree objects. In Forestry Applications of Airborne Laser Scanning: Concepts and Case Studies; Springer: Dordrecht, The Netherlands, 2014; pp. 89–112. [Google Scholar]
- Latifi, H.; Fassnacht, F.E.; Müller, J.; Tharani, A.; Dech, S.; Heurich, M. Forest inventories by LiDAR data: A comparison of single tree segmentation and metric-based methods for inventories of a heterogeneous temperate forest. Int. J. Appl. Earth Obs. Geoinf. 2015, 42, 162–174. [Google Scholar] [CrossRef]
- Yin, D.; Wang, L. How to assess the accuracy of the individual tree-based forest inventory derived from remotely sensed data: A review. Int. J. Remote Sens. 2016, 37, 4521–4553. [Google Scholar] [CrossRef]
- Yun, T.; Jiang, K.; Li, G.; Eichhorn, M.P.; Fan, J.; Liu, F.; Chen, B.; An, F.; Cao, L. Individual tree crown segmentation from airborne LiDAR data using a novel Gaussian filter and energy function minimization-based approach. Remote Sens. Environ. 2021, 256, 112307. [Google Scholar] [CrossRef]
- White, J.C.; Tompalski, P.; Vastaranta, M.A.; Wulder, M.A.; Saarinen, N.P.; Stepper, C.; Coops, N.C. A Model Development and Application Guide for Generating an Enhanced Forest Inventory Using Airborne Laser Scanning Data and an Area-Based Approach; Canadian Wood Fibre Centre Information Report, No. FI-X-018; Natural Resources Canada: Victoria, BC, Canada, 2017. [Google Scholar]
- Kukkonen, M.; Maltamo, M.; Korhonen, L.; Packalen, P. Evaluation of UAS LiDAR data for tree segmentation and diameter estimation in boreal forests using trunk- and crown-based methods. Can. J. For. Res. 2022, 52, 674–684. [Google Scholar] [CrossRef]
- Novo-Fernández, A.; Barrio-Anta, M.; Recondo, C.; Cámara-Obregón, A.; López-Sánchez, C.A. Integration of National Forest Inventory and Nationwide Airborne Laser Scanning Data to Improve Forest Yield Predictions in North-Western Spain. Remote Sens. 2019, 11, 1693. [Google Scholar] [CrossRef]
- Kandare, K.; Dalponte, M.; Ørka, H.O.; Frizzera, L.; Næsset, E. Prediction of Species-Specific Volume Using Different In-ventory Approaches by Fusing Airborne Laser Scanning and Hyperspectral Data. Remote Sens. 2017, 9, 400. [Google Scholar] [CrossRef]
- Gonzalez-Ferreiro, E.; Arellano-Pérez, S.; Castedo-Dorado, F.; Hevia, A.; Vega, J.A.; Vega-Nieva, D.J.; Álvarez-González, J.G.; Ruiz-González, A.D. Modelling the vertical distribution of canopy fuel load using national forest inventory and low-density airbone laser scanning data. PLoS ONE 2017, 12, e0176114. [Google Scholar] [CrossRef]
- Bouvier, M.; Durrieu, S.; Fournier, R.A.; Renaud, J.-P. Generalizing predictive models of forest inventory attributes using an area-based approach with airborne LiDAR data. Remote. Sens. Environ. 2015, 156, 322–334. [Google Scholar] [CrossRef]
- Parker, R.C.; Glass, P.A. High- Versus Low-Density LiDAR in a Double-Sample Forest Inventory. South. J. Appl. For. 2004, 28, 205–210. [Google Scholar] [CrossRef]
- Packalen, P.; Strunk, J.; Packalen, T.; Maltamo, M.; Mehtätalo, L. Resolution dependence in an area-based approach to forest inventory with airborne laser scanning. Remote Sens. Environ. 2019, 224, 192–201. [Google Scholar] [CrossRef]
- Vastaranta, M.; Wulder, M.; White, J.; Pekkarinen, A.; Tuominen, S.; Ginzler, C.; Kankare, V.; Holopainen, M.; Hyyppä, J.; Hyyppä, H. Airborne laser scanning and digital stereo imagery measures of forest structure: Comparative results and implications to forest mapping and inventory update. Can. J. Remote Sens. 2013, 39, 382–395. [Google Scholar] [CrossRef]
- Barnes, C.; Balzter, H.; Barrett, K.; Eddy, J.; Milner, S.; Suárez, J.C. Individual Tree Crown Delineation from Airborne Laser Scanning for Diseased Larch Forest Stands. Remote Sens. 2017, 9, 231. [Google Scholar] [CrossRef]
- Kukkonen, M.; Maltamo, M.; Korhonen, L.; Packalen, P. Fusion of crown and trunk detections from airborne UAS based laser scanning for small area forest inventories. Int. J. Appl. Earth Obs. Geoinf. 2021, 100, 102327. [Google Scholar] [CrossRef]
- Dalponte, M.; Frizzera, L.; Ørka, H.O.; Gobakken, T.; Næsset, E.; Gianelle, D. Predicting stem diameters and aboveground biomass of individual trees using remote sensing data. Ecol. Indic. 2018, 85, 367–376. [Google Scholar] [CrossRef]
- Goldbergs, G.; Levick, S.R.; Lawes, M.; Edwards, A. Hierarchical integration of individual tree and area-based approaches for savanna biomass uncertainty estimation from airborne LiDAR. Remote Sens. Environ. 2018, 205, 141–150. [Google Scholar] [CrossRef]
- Ma, Z.; Pang, Y.; Wang, D.; Liang, X.; Chen, B.; Lu, H.; Weinacker, H.; Koch, B. Individual Tree Crown Segmentation of a Larch Plantation Using Airborne Laser Scanning Data Based on Region Growing and Canopy Morphology Features. Remote Sens. 2020, 12, 1078. [Google Scholar] [CrossRef]
- Leite, R.V.; Amaral, C.H.d.; Pires, R.d.P.; Silva, C.A.; Soares, C.P.B.; Macedo, R.P.; Silva, A.A.L.d.; Broadbent, E.N.; Mohan, M.; Leite, H.G. Estimating Stem Volume in Eucalyptus Plantations Using Airborne LiDAR: A Comparison of Area- and In-dividual Tree-Based Approaches. Remote Sens. 2020, 12, 1513. [Google Scholar] [CrossRef]
- Kathuria, A.; Turner, R.; Stone, C.; Duque-Lazo, J.; West, R. Development of an automated individual tree detection model using point cloud LiDAR data for accurate tree counts in a Pinus radiata plantation. Aust. For. 2016, 79, 126–136. [Google Scholar] [CrossRef]
- Kotivuori, E.; Maltamo, M.; Korhonen, L.; Strunk, J.L.; Packalen, P. Prediction error aggregation behaviour for remote sensing augmented forest inventory approaches. Forestry 2021, 94, 576–587. [Google Scholar] [CrossRef]
- Valbuena, R.; Packalen, P.; Mehtätalo, L.; García-Abril, A.; Maltamo, M. Characterizing forest structural types and shelter-wood dynamics from Lorenz-based indicators predicted by airborne laser scanning. Can. J. For. Res. 2013, 43, 1063–1074. [Google Scholar] [CrossRef]
- Peuhkurinen, J.; Tokola, T.; Plevak, K.; Sirparanta, S.; Kedrov, A.; Pyankov, S. Predicting Tree Diameter Distributions from Airborne Laser Scanning, SPOT 5 Satellite, and Field Sample Data in the Perm Region, Russia. Forests 2018, 9, 639. [Google Scholar] [CrossRef]
- Zięba-Kulawik, K.; Hawryło, P.; Wężyk, P.; Matczak, P.; Przewoźna, P.; Inglot, A.; Mączka, K. Improving methods to calculate the loss of ecosystem services provided by urban trees using LiDAR and aerial orthophotos. Urban For. Urban Green. 2021, 63, 127195. [Google Scholar] [CrossRef]
- Cabrera-Ariza, A.M.; Lara-Gómez, M.A.; Santelices-Moya, R.E.; Meroño de Larriva, J.-E.; Mesas-Carrascosa, F.-J. Individu-alization of Pinus radiata Canopy from 3D UAV Dense Point Clouds Using Color Vegetation Indices. Sensors 2022, 22, 1331. [Google Scholar] [CrossRef] [PubMed]





| Mean (min–max) | |
|---|---|
| Density (N, trees ha−1) | 447 (140–1320) |
| Assman´s dominant height (Ho, m) | 30.57 (15.12–37.25) |
| Basal area (G, m2 ha−1) | 26.71 (9.60–46.05) |
| Volume (V, m3 ha−1) | 287.52 (122.9–442.2) |
| Approach | Forest Attributes | Equation | R2 adj | Residual Standard Error | F-Statistic | p-Value |
|---|---|---|---|---|---|---|
| ABA | N (trees ha−1) | −627.278 + 11.356 V1 + 2098.761 V2 | 0.62 | 139.70 | 36.37 | <0.001 |
| ABA | G (m2 ha−1) | −4.4228 + 0.2352 V3 + 1.0143 V4 | 0.71 | 4.68 | 58.48 | <0.001 |
| ABA | Ho (m) | −3.36683 + 1.13876 V5 + 0.05687 V6 | 0.87 | 1.57 | 160.30 | <0.001 |
| ABA | V (m3 ha−1) | −348.959 + 10.649 V1 + 10.796 V5 | 0.79 | 42.62 | 89.81 | <0.001 |
| ITC | h (m) | 3.0805 + 0.9173 V5 − 0.279 V3 + 0.2169 V7 | 0.56 | 4.07 | 437.00 | <0.001 |
| ITC | dbh (mm) | 177.307 + 6.347 V7 − 1.5757 V8 + 2.9279 V1 | 0.39 | 74.92 | 83.49 | <0.001 |
| Errors | Forest Attributes | ABA | ITC |
|---|---|---|---|
| % RMSE | N (trees ha−1) | 29.89 | 19.68 |
| G (m2 ha−1) | 26.53 | 23.31 | |
| Ho (m) | 5.85 | 4.94 | |
| V (m3 ha−1) | 28.38 | 23.03 | |
| MAPE | N (trees ha−1) | 24.15 | 15.41 |
| G (m2 ha−1) | 20.82 | 19.05 | |
| Ho (m) | 4.51 | 3.56 | |
| V (m3 ha−1) | 22.27 | 18.64 |
| Forest Attributes | N (Trees ha−1) | ||
|---|---|---|---|
| <400 (n = 24) Mean (Min–Max) | 400–600 (n = 15) Mean (Min–Max) | >600 (n = 9) Mean (Min–Max) | |
| N (trees ha−1) | 291.7 (140–380) | 480 (420–560) | 806.7 (600–1320) |
| Ho (m) | 31.3 (21.7–36.9) | 30.4 (15.1–37.2) | 29.2 (21.4–33.9) |
| G (m2 ha−1) | 20.9 (9.7–30.1) | 29.2 (22.3–40.7) | 33.9 (31.0–46.1) |
| V (m3 ha−1) | 251.6 (110.1–403.6) | 319.7 (107.7–442.2) | 328.9 (167.5–399.4) |
| Forest Attributes | Trees ha−1 | Δ%RMSE (ABA–ITC) | Δ MAPE (ABA–ITC) |
|---|---|---|---|
| N (trees ha−1) | <400 | 18.5 | 15.0 |
| 400 to 600 | 9.5 | 7.8 | |
| >600 | −4.3 | −6.4 | |
| G (m2 ha−1) | <400 | 7.0 | 6.9 |
| 400 to 600 | 1.8 | −0.1 | |
| >600 | −8.8 | −8.8 | |
| Ho (m) | <400 | 0.0 | 0.5 |
| 400 to 600 | 2.6 | 1.8 | |
| >600 | 1.0 | 0.9 | |
| V (m3 ha−1) | <400 | 11.3 | 11.2 |
| 400 to 600 | −0.1 | −1.0 | |
| >600 | −7.9 | −9.0 |
Disclaimer/Publisher’s Note: The statements, opinions and data contained in all publications are solely those of the individual author(s) and contributor(s) and not of MDPI and/or the editor(s). MDPI and/or the editor(s) disclaim responsibility for any injury to people or property resulting from any ideas, methods, instructions or products referred to in the content. |
© 2023 by the authors. Licensee MDPI, Basel, Switzerland. This article is an open access article distributed under the terms and conditions of the Creative Commons Attribution (CC BY) license (https://creativecommons.org/licenses/by/4.0/).
Share and Cite
Lara-Gómez, M.Á.; Navarro-Cerrillo, R.M.; Clavero Rumbao, I.; Palacios-Rodríguez, G. Comparison of Errors Produced by ABA and ITC Methods for the Estimation of Forest Inventory Attributes at Stand and Tree Level in Pinus radiata Plantations in Chile. Remote Sens. 2023, 15, 1544. https://doi.org/10.3390/rs15061544
Lara-Gómez MÁ, Navarro-Cerrillo RM, Clavero Rumbao I, Palacios-Rodríguez G. Comparison of Errors Produced by ABA and ITC Methods for the Estimation of Forest Inventory Attributes at Stand and Tree Level in Pinus radiata Plantations in Chile. Remote Sensing. 2023; 15(6):1544. https://doi.org/10.3390/rs15061544
Chicago/Turabian StyleLara-Gómez, Miguel Ángel, Rafael M. Navarro-Cerrillo, Inmaculada Clavero Rumbao, and Guillermo Palacios-Rodríguez. 2023. "Comparison of Errors Produced by ABA and ITC Methods for the Estimation of Forest Inventory Attributes at Stand and Tree Level in Pinus radiata Plantations in Chile" Remote Sensing 15, no. 6: 1544. https://doi.org/10.3390/rs15061544
APA StyleLara-Gómez, M. Á., Navarro-Cerrillo, R. M., Clavero Rumbao, I., & Palacios-Rodríguez, G. (2023). Comparison of Errors Produced by ABA and ITC Methods for the Estimation of Forest Inventory Attributes at Stand and Tree Level in Pinus radiata Plantations in Chile. Remote Sensing, 15(6), 1544. https://doi.org/10.3390/rs15061544

