Sign in to use this feature.

Years

Between: -

Subjects

remove_circle_outline
remove_circle_outline
remove_circle_outline
remove_circle_outline
remove_circle_outline
remove_circle_outline
remove_circle_outline
remove_circle_outline
remove_circle_outline

Journals

Article Types

Countries / Regions

Search Results (446)

Search Parameters:
Keywords = precision forestry

Order results
Result details
Results per page
Select all
Export citation of selected articles as:
16 pages, 5250 KB  
Article
Identification of Cypress Bark Beetle-Infested Cypress Based on LiDAR and RGB Imagery
by Ke Wu, Zhiqiang Li, Linpan Feng, Shali Shi, Liangying Zhang, Shixing Zhou, Sen Zhai and Lin Xiao
Forests 2026, 17(3), 328; https://doi.org/10.3390/f17030328 - 6 Mar 2026
Viewed by 165
Abstract
Forest pests and diseases are some of the major disturbances affecting the stability of forest ecosystems. Accurate identification of insect-infested trees is therefore crucial for assessing forest health and implementing precision forestry management. This study focuses on stand-level detection of cypress trees ( [...] Read more.
Forest pests and diseases are some of the major disturbances affecting the stability of forest ecosystems. Accurate identification of insect-infested trees is therefore crucial for assessing forest health and implementing precision forestry management. This study focuses on stand-level detection of cypress trees (Cupressus funebris Endl.) that were affected by the cypress bark beetle (Phloeosinus aubei Perris), and the framework enables individual tree segmentation, insect-infested tree detection, and stand infestation assessment. Firstly, individual trees were extracted from Light Detection and Ranging (LiDAR) point cloud data using the layer-stacking seed point algorithm. Based on the segmented tree crowns, four vegetation indices (Visible Atmospherically Resistant Index (VARI), Visible-band Difference Vegetation Index (VDVI), Red-Green Index (RGI), and Color Index of Vegetation Extraction (CIVE)) were calculated from Unmanned Aerial Vehicle (UAV) RGB imagery. Insect-infested cypress trees were extracted through threshold segmentation. Through visual interpretation, the optimal vegetation index was determined and the infestation rate at the stand level was calculated. Based on the above framework, a total of 1368 trees were identified in the cypress stand, with a segmentation Precision of 82.51%, a Recall of 80.00%, and an F1-score of 81.24%. RGI achieved the best performance (Precision = 100.00%, Recall = 86.96%, F1-score = 93.02%) and identified 20 infested trees, accounting for 1.46% of the cypress stand. Supplementary experiments further confirm the superiority of the RGI index and the μ ± 2σ thresholding method. These results demonstrate that the proposed method enables rapid detection of the infested cypress trees, effective monitoring of stand health and infestation severity, thereby supporting informed decision-making in pest control and forest management. Full article
Show Figures

Figure 1

15 pages, 1851 KB  
Article
First Attempts to Control Forest Pests Using Multi-Rotor Unmanned Aerial Spraying Systems (UASSs) in Forest Ecosystems
by Marius Paraschiv, Andrei Buzatu, Cosmin Paraschivoiu and Dănuț Chira
Drones 2026, 10(3), 181; https://doi.org/10.3390/drones10030181 - 6 Mar 2026
Viewed by 177
Abstract
Large-scale forest pest management has traditionally relied on aerial spraying; however, increasing regulatory restrictions and environmental concerns have limited its application in many regions. Unmanned Aerial Spraying System (UASS) platforms for aerial spraying have developed intensively in the last decade for pesticide application [...] Read more.
Large-scale forest pest management has traditionally relied on aerial spraying; however, increasing regulatory restrictions and environmental concerns have limited its application in many regions. Unmanned Aerial Spraying System (UASS) platforms for aerial spraying have developed intensively in the last decade for pesticide application in agricultural crops but remain scarcely explored within the forestry sector. This study evaluates the feasibility of UASS-based spraying platforms for forest pest control. We tested a multi-rotor agricultural UASS in two different forest conditions: broadleaf and conifer stands. Both biological and synthetic insecticides were sprayed against two contrasting forest pests, Lymantria dispar and Adelges laricis. Defoliation and infestation intensity were used to assess treatment efficacy post-application. Results indicated differences in operational productivity between forest stand types, with higher treatment efficacy observed for L. dispar. Despite the correct dosage delivered by the UASS, the target organism showed a limited biological response in the conifer pest. In conclusion the use of UASSs in forest ecosystems is conditioned by forest-specific factors; however, these technologies show potential to be aligned with interventions targeting early-stage pest outbreaks. Full article
Show Figures

Figure 1

27 pages, 4804 KB  
Article
Research on Forest Canopy Cover Estimation Method Based on MSG-UNet Using UAV Remote Sensing Data
by Hongbing Chen, Zhipeng Li, Mingming Li, Yuehui Song, Haoting Zhai, Junjie Liu, Hao Wu, Changji Wen and Yubo Zhang
Remote Sens. 2026, 18(5), 809; https://doi.org/10.3390/rs18050809 - 6 Mar 2026
Viewed by 119
Abstract
Forest canopy cover is a crucial indicator for measuring ecological functions. However, traditional plot-based measurement methods suffer from low efficiency and insufficient spatial continuity. Addressing issues in UAV RGB imagery—such as tree crown boundary adhesion, shadow interference, and texture confusion—this paper proposes a [...] Read more.
Forest canopy cover is a crucial indicator for measuring ecological functions. However, traditional plot-based measurement methods suffer from low efficiency and insufficient spatial continuity. Addressing issues in UAV RGB imagery—such as tree crown boundary adhesion, shadow interference, and texture confusion—this paper proposes a lightweight and edge-sensitive tree crown segmentation network. The model employs MobileNetV3-Large to replace the traditional U-Net encoder, significantly reducing parameter count and computational load while satisfying the potential for edge device deployment. In the decoding phase, a Semantic-guided Channel Compression and Focus (SCCF) module is designed to enhance semantic-guided channel compression and feature focusing. Furthermore, a Gradient-guided Morphological Tree Crown Attention Module (G-MTCAM) is proposed. By utilizing Gradient-Induced Center Difference Convolution (GI-CDC) and a variance-based statistical gating mechanism, this module constructs a dual-stream architecture for morphology and texture interaction, achieving precise cutting of tree crown boundaries and effective filtering of background noise. Additionally, a boundary-enhanced composite loss function is introduced to improve the accuracy of crown edge identification. Experimental results indicate that the proposed model achieves an IoU, Acc, and F1 score of 88.59%, 88.62%, and 93.77%, respectively. Compared to the classic U-Net, these represent improvements of 2.77%, 1.71%, and 1.44%, while the parameter count and computational cost are only 5.98 M and 6.71 GFLOPs. The forest Canopy Cover (CC) estimated based on the segmentation results shows high consistency with ground-based near-zenith canopy hemispherical percentage (CHP030, denoted as CCobs), with a correlation coefficient (R2) exceeding 0.90. This verifies the effectiveness of the method in forest canopy structure monitoring and provides technical support for the application of consumer-grade UAVs in forestry surveys. Full article
(This article belongs to the Section Forest Remote Sensing)
Show Figures

Figure 1

37 pages, 3912 KB  
Review
The Sweetener Innovation 4.0 Manifesto: How AI Is Architecting the Future of Functional Sweetness
by Ali Ayoub
Sustainability 2026, 18(5), 2488; https://doi.org/10.3390/su18052488 - 4 Mar 2026
Viewed by 326
Abstract
Sweeteners occupy a pivotal role in the global transition toward sustainable, health-aligned, and resource-efficient food systems. Conventional sucrose production carries significant environmental burdens, while escalating metabolic health concerns intensify demand for viable alternatives. This paper reframes sweeteners not as commodity ingredients, but as [...] Read more.
Sweeteners occupy a pivotal role in the global transition toward sustainable, health-aligned, and resource-efficient food systems. Conventional sucrose production carries significant environmental burdens, while escalating metabolic health concerns intensify demand for viable alternatives. This paper reframes sweeteners not as commodity ingredients, but as digitally engineered, biologically manufactured, and circularity-optimized materials within the emerging bioeconomy. Advances in artificial intelligence (AI), metabolic engineering, precision fermentation, and lignocellulosic valorization are fundamentally reshaping sweetener innovation. We introduce the Sweetener Innovation 4.0 framework, in which AI functions as the integrative engine linking molecular design, bioprocess optimization, and system-level sustainability. Across diverse sweetener classes, including steviol glycosides, mogrosides, rare sugars, sweet proteins, and forestry-derived polyols, AI accelerates discovery, improves metabolic flux control, optimizes downstream processing and enables more adaptive manufacturing systems. This digital–biological convergence is progressively decoupling sweetness production from land-intensive agriculture, reducing dependence on geographically constrained crops, and enabling resilient, low-carbon manufacturing pathways. Comparative life-cycle assessments highlight substantial sustainability gains, but also reveal persistent methodological gaps, particularly in accounting for downstream-processing energy and digital infrastructure emissions. Socioeconomic analysis further underscores the importance of equitable transitions, transparent labeling, and effective consumer communication as fermentation-derived sweeteners enter global markets. Looking forward, we identify key frontiers for Sweetener Innovation 4.0, including de novo AI-designed sweeteners, autonomous fermentation systems, carbon-negative feedstocks, personalized sweetness modulation, and integrated circular biorefineries. Together, these developments position sweeteners as a top domain for demonstrating how AI, biotechnology, and sustainability principles can jointly reshape ingredient development and industrial systems within the 21st-century circular-economy. Full article
(This article belongs to the Section Sustainable Food)
Show Figures

Figure 1

27 pages, 1491 KB  
Review
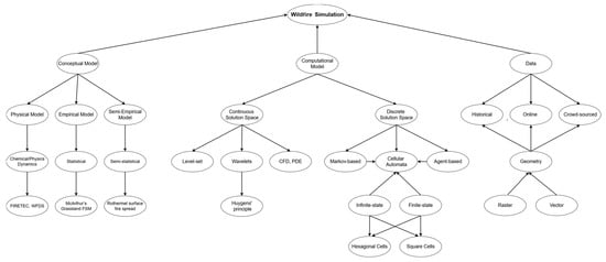
A Review of Two-Dimensional Cellular Automata Models for Wildfire Simulation: Methods, Capabilities, and Limitations
by Ioannis Karakonstantis and George Xylomenos
Fire 2026, 9(3), 108; https://doi.org/10.3390/fire9030108 - 2 Mar 2026
Viewed by 370
Abstract
Two-dimensional cellular automata (CA) models are widely used for wildfire simulation due to their clean representation of environment and fire mechanics and their computational efficiency. In this review we describe the mechanisms through which forestry fuel characteristics, topographic features, firefighting suppression strategies, fire [...] Read more.
Two-dimensional cellular automata (CA) models are widely used for wildfire simulation due to their clean representation of environment and fire mechanics and their computational efficiency. In this review we describe the mechanisms through which forestry fuel characteristics, topographic features, firefighting suppression strategies, fire spotting behavior and meteorological conditions are represented and integrated within these models. While these models are effective for large scale simulations, in which high precision is not critical, their reliance on discrete representations of space and time, along with simplified local state transition rules, introduces additional challenges and limitations. This review presents key methodologies, hybrid implementations, and model extensions of CA-based wildfire simulation models, highlighting their inherent strengths, limitations, and practical challenges. In addition, it provides a classification of the computational and simulation techniques applied to wildfire spread and behavior. Full article
(This article belongs to the Special Issue Firebreak Optimization in Fire Prevention)
Show Figures

Figure 1

25 pages, 4825 KB  
Article
Assessing Forest Habitat Structure with LiDAR Across Ungulate Management Gradients
by Claudia C. Jordan-Fragstein, Katharina Gungl, Dominik Seidel and Michael G. Müller
Forests 2026, 17(3), 298; https://doi.org/10.3390/f17030298 - 26 Feb 2026
Viewed by 254
Abstract
Ungulate browsing is a major driver of forest regeneration dynamics and habitat structure in managed temperate forests, influencing species composition, regeneration success, and long-term stand development. Traditional assessments of browsing impacts often rely on field-based indicators such as regeneration density or visual cover, [...] Read more.
Ungulate browsing is a major driver of forest regeneration dynamics and habitat structure in managed temperate forests, influencing species composition, regeneration success, and long-term stand development. Traditional assessments of browsing impacts often rely on field-based indicators such as regeneration density or visual cover, but these metrics provide limited insight into three-dimensional habitat structure. Mobile handheld LiDAR offers highly detailed measurements of forest structure, enabling objective and reproducible quantification of structural complexity that complements and extends conventional field-based methods. In this study, we applied handheld LiDAR as an innovative indicator for habitat structure within the ungulate browsing zone (<2 m height) to evaluate structural development across sites differing in management context. Paired fenced and unfenced plots (12 × 12 m) were surveyed within the WiWaldI project framework in 2019 and 2023 and compared across three hunting regimes representing different degrees of ungulate population management. Structural complexity was quantified by deriving box-counting dimensions from LiDAR point clouds, providing a measure of spatial arrangement and density relevant to ungulate–vegetation interactions. To support interpretation and ecological context, we complemented LiDAR indicators with streamlined field assessments. Based on this framework, we assessed whether forest structural complexity and visual cover differ among regions and over time, and whether ungulate browsing induces detectable structural differences between fenced whether structural differences between fenced and unfenced plots are detectable. We further examined the relative importance of tree species composition, plant architecture, and hunting regime as drivers of three-dimensional habitat structure. A simplified octant method characterized the spatial distribution of woody regeneration, while a silhouette-based approach quantified visual cover from the perspective of a standard ungulate profile. These auxiliary measures contextualize visual and spatial aspects of structure that LiDAR metrics capture with minimal observer bias. LiDAR studies have previously demonstrated potential for linking high-resolution structural data to ungulate habitat use, and our approach extends this by focusing on structural complexity as a habitat indicator. Results show a consistent increase in LiDAR-derived structural complexity between 2019 and 2023 across all regions. This increase occurred across management contexts and was not consistently explained by fencing or hunting regime effects, suggesting that site conditions, forest composition, and successional processes were dominant drivers during the observation period. Hunting regime showed no statistically significant and no consistent effect on structural complexity across regions or years. Visual cover metrics varied strongly among regions and species and declined over time. These findings suggest that three-dimensional habitat structure information has the potential to enhance the evaluation of ungulate impacts and may support evidence-based forest and wildlife management, particularly when interpreted in the context of site conditions and successional dynamics. Beyond ungulate impact assessment, the presented handheld LiDAR approach provides a scalable remote sensing framework for precision forestry by capturing three-dimensional structural attributes that are directly linked to forest stability, resilience, growth dynamics, and stand-level species mixing, thereby supporting evidence-based forest management recommendations. Full article
(This article belongs to the Section Forest Health)
Show Figures

Figure 1

22 pages, 2818 KB  
Article
Tree Geo-Positioning in Coniferous Forest Plots: A Comparison of Ground Survey and Laser Scanning Methods
by Lina Beniušienė, Donatas Jonikavičius, Monika Papartė, Marius Aleinikovas, Iveta Varnagirytė-Kabašinskienė, Ričardas Beniušis and Gintautas Mozgeris
Forests 2026, 17(2), 272; https://doi.org/10.3390/f17020272 - 18 Feb 2026
Viewed by 326
Abstract
Accurate spatial information on individual tree locations is essential for precision forestry, the integration of field and remote sensing data, and tree-level forest analyses. This study compared the positional accuracy and tree identification performance of four tree-mapping approaches: legacy paper maps, a pseudolite-based [...] Read more.
Accurate spatial information on individual tree locations is essential for precision forestry, the integration of field and remote sensing data, and tree-level forest analyses. This study compared the positional accuracy and tree identification performance of four tree-mapping approaches: legacy paper maps, a pseudolite-based field positioning system (TerraHärp), drone-based laser scanning, and mobile laser scanning (MLS). The analysis was conducted in five long-term experimental forest sites in Lithuania, comprising pine- and spruce-dominated stands with varying stand densities. Tree locations derived from legacy maps and the TerraHärp system were compared to assess systematic and random positional discrepancies. TerraHärp-derived tree positions were subsequently used as a reference to evaluate the laser scanning-based methods. Positional accuracy was assessed using Hotelling’s T2 test, root-mean-square error, and the National Standard for Spatial Data Accuracy (NSSDA), while spatial autocorrelation of deviations was examined using Moran’s I. The results indicated that discrepancies between TerraHärp and legacy maps were dominated by systematic horizontal shifts in the historical maps, whereas random positional variability was relatively small and consistent across stand types. Drone-based laser scanning showed a strong dependence of tree identification accuracy on stand density and mean tree diameter. Overall, CHM-based segmentation yielded more accurate tree identification than 3D point cloud segmentation, with mean F1-scores of 0.78 and 0.72, respectively. Positional accuracy varied by method, with the largest errors from CHM apexes and highest 3D point cloud points (mean NSSDA ≈ 1.8–2.0 m), improved accuracy using the lowest 3D cluster points (1.45–1.72 m), and the highest accuracy achieved using mobile laser scanning (mean NSSDA 0.76–0.90 m; >95% of trees within 1 m). These results demonstrate that pseudolite-based field mapping provides a reliable reference for high-precision tree location and for integrating field and laser scanning data in managed conifer stands. Full article
(This article belongs to the Section Forest Inventory, Modeling and Remote Sensing)
Show Figures

Figure 1

21 pages, 5271 KB  
Article
Spatial–Temporal Heterogeneity and Driving Mechanisms of the Relationship Between Vegetation Carbon Sequestration and Biogenic Volatile Organic Compounds (BVOC) Emissions in China
by Yibing Li, Xiaoxiu Lun, Panfei Fang, Shaodong Huang, Yuying Liang, Yujie Li, Pengfei Zheng, Jia Wang and Longhuan Wang
Plants 2026, 15(4), 564; https://doi.org/10.3390/plants15040564 - 11 Feb 2026
Viewed by 315
Abstract
Vegetation plays a dual role in the Earth’s climate system: it removes atmospheric CO2 through photosynthesis while emitting biogenic volatile organic compounds (BVOCs), which can weaken the net carbon sink and contribute to air pollution. To assess the long-term interplay between carbon [...] Read more.
Vegetation plays a dual role in the Earth’s climate system: it removes atmospheric CO2 through photosynthesis while emitting biogenic volatile organic compounds (BVOCs), which can weaken the net carbon sink and contribute to air pollution. To assess the long-term interplay between carbon uptake and BVOC emissions, and to clarify how vegetation characteristics and climate regulate this relationship, we developed a Biogenic Carbon Efficiency Index (BCEI). The BCEI integrates BVOC emissions with gross primary productivity (GPP) to quantify their spatial ratio, thereby capturing the concurrent “source” and “sink” attributes of vegetation. We characterize the spatiotemporal heterogeneity of the BCEI across China and identify its dominant environmental drivers. The BCEI decreases from southeast to northwest, and during 2001–2020 exhibited a declining trend over 78% of the country, with increases mainly in Southwest China and on the Shandong and Liaodong Peninsulas. Driver analyses indicate that variables linked to hydrothermal conditions, including temperature, precipitation, evapotranspiration, and soil moisture, primarily control BCEI variability. Across most regions, the BCEI is negatively correlated with soil moisture and precipitation, positively correlated with evapotranspiration, and shows regionally varying associations with temperature. These findings deepen understanding of vegetation’s dual role as a source and sink and its driving mechanisms, providing a theoretical basis for optimizing regional vegetation management strategies. Full article
(This article belongs to the Section Plant Ecology)
Show Figures

Figure 1

32 pages, 3612 KB  
Review
Catching the Elusive Phytophthora: A Review of Methods and Applications for Pathogen Detection and Identification Across Agricultural, Horticultural, Forestry and Ornamental Settings
by Viola Papini, Alessandra Benigno, Domenico Rizzo and Salvatore Moricca
BioTech 2026, 15(1), 17; https://doi.org/10.3390/biotech15010017 - 9 Feb 2026
Viewed by 563
Abstract
Species of the genus Phytophthora are among the most detrimental plant pathogens globally, representing a significant threat to global agriculture, horticulture, and forestry. These zoosporic oomycetes have historically caused devastating outbreaks, including, just to mention a few, late blight of potato in Ireland; [...] Read more.
Species of the genus Phytophthora are among the most detrimental plant pathogens globally, representing a significant threat to global agriculture, horticulture, and forestry. These zoosporic oomycetes have historically caused devastating outbreaks, including, just to mention a few, late blight of potato in Ireland; jarrah dieback of eucalyptus in Western Australia; ink disease of chestnut in Europe; sudden oak death and sudden larch death of coast live oak and tanoak in the Western US, and of Japanese larch in the UK. The environmental and ecological impacts of the diseases they cause result in significant economic costs that often have social repercussions. With the acceleration of globalization, enhancing the movement of plant material, in particular with the global live plant trade, the spread of Phytophthora to new, uncontaminated territories has intensified. Nurseries play a key role in the movement of these pathogens, the trade of contaminated stocks representing their major dissemination route. However valuable, conventional detection techniques, including baiting and direct isolation, are too slow and labour-intensive to meet current diagnostic requirements, particularly given the huge volumes of plants traded globally. This problem becomes even more acute when large volumes of potentially infectious plant material need to be processed in a short time frame, as it is often necessary to provide accurate and timely responses to interested parties. Early and precise detection is thus vital to avert outbreaks and mitigate long-term consequences. This review evaluates and contrasts the efficacy of novel detection methods against traditional approaches, emphasizing their significance in managing the escalating threat posed by Phytophthora spp. worldwide. Despite technological advances, critical challenges remain that limit the reliability and large-scale adoption of new diagnostic methods. Research still needs to bridge the gap between the laboratory and the field in terms of accuracy, sensitivity and diagnostic costs. Recent innovations focus on sensor technology and point-of-care (POC) devices for faster, more sensitive, and low-cost specific detection of Phytophthora spp. in plant matrices, water and soil. Enhancing diagnostic capabilities through these tools is crucial for protecting agricultural productivity, local economies, and natural ecosystems. Full article
(This article belongs to the Section Industry, Agriculture and Food Biotechnology)
Show Figures

Figure 1

20 pages, 3878 KB  
Article
TreeSeg-Net: An End-to-End Instance Segmentation Network for Leaf-Off Forest Point Clouds Using Global Context and Spatial Proximity
by Xingmei Xu, Ruihang Zhang, Shunfu Xiao, Jiayuan Li, Xinyue Zhang, Liying Cao, Helong Yu, Yuntao Ma, Jian Zhang and Xiyang Zhao
Plants 2026, 15(4), 525; https://doi.org/10.3390/plants15040525 - 7 Feb 2026
Viewed by 367
Abstract
Forest ecosystems play a pivotal role in maintaining the balance of the global carbon cycle and conserving biodiversity. High-density point clouds derived from unmanned aerial vehicle (UAV) structure from motion (SfM) and multi-view stereo (MVS) technologies offer a cost-effective solution for data acquisition. [...] Read more.
Forest ecosystems play a pivotal role in maintaining the balance of the global carbon cycle and conserving biodiversity. High-density point clouds derived from unmanned aerial vehicle (UAV) structure from motion (SfM) and multi-view stereo (MVS) technologies offer a cost-effective solution for data acquisition. These technologies have become efficient tools for facilitating precision forest resource management and extracting individual tree structural parameters. However, in complex forest scenarios during the leaf-off season, canopies exhibit unstructured branch network morphologies due to the absence of leaf occlusion, and adjacent crowns are heavily interlaced. Consequently, existing segmentation methods struggle to overcome challenges associated with fuzzy boundaries and instance adhesion. To address these challenges, this study proposes TreeSeg-Net, an end-to-end instance segmentation network designed to precisely separate individual trees directly from raw point clouds. The network incorporates a global context attention module (GCAM) to capture long-range feature dependencies, thereby compensating for the limitations of sparse convolution in perceiving global information. Simultaneously, a spatial proximity weighting module (SPWM) is designed. By introducing geometric center constraints and a distance penalty mechanism, this module effectively mitigates under-segmentation issues caused by the feature similarity of adjacent branches in high-canopy-density environments. Experimental results demonstrate that TreeSeg-Net achieves an average precision (AP) of 97.2% in instance segmentation tasks and a mean intersection over union (mIoU) of 99.7% in semantic segmentation tasks. Compared to mainstream networks, the proposed method exhibits superior segmentation accuracy, providing an efficient and automated technical solution for precise resource inventory in complex forest environments. Full article
Show Figures

Figure 1

19 pages, 4140 KB  
Article
Bamboo Forest Area Extraction and Clump Identification Using Semantic Segmentation and Instance Segmentation Models
by Keng-Hao Liu, Shih-Ji Lin, Che-Wei Hu and Chinsu Lin
Forests 2026, 17(2), 191; https://doi.org/10.3390/f17020191 - 1 Feb 2026
Viewed by 240
Abstract
This study addresses the need for effective bamboo monitoring in smart forestry as UAV imagery and AI-based methods continue to advance. Bambusa stenostachya (thorny bamboo), commonly found in the badland regions of southern Taiwan, spreads rapidly due to its strong reproductive capacity and [...] Read more.
This study addresses the need for effective bamboo monitoring in smart forestry as UAV imagery and AI-based methods continue to advance. Bambusa stenostachya (thorny bamboo), commonly found in the badland regions of southern Taiwan, spreads rapidly due to its strong reproductive capacity and extensive rhizome system, often causing forestland degradation and challenges to sustainable management. An automated detection approach is therefore required to capture bamboo dynamics and support forest resource assessment. We use a dual-component framework for detecting bamboo forests and individual bamboo clumps from high-resolution UAV orthomosaic imagery. The first component performs semantic segmentation using U-Net or SegFormer to extract bamboo forest areas and generate a corresponding forest mask. The second component independently applies instance segmentation using YOLOv8-Seg and Mask R-CNN to delineate and localize individual bamboo clumps. The dataset was collected from Compartment 43 of the Qishan Working Circle in Kaohsiung, Taiwan. Experimental results show strong model performance: bamboo forest segmentation achieved an F1-score of 0.9569, while bamboo clump instance segmentation reached a precision of 0.8232. These findings demonstrate the promising potential of deep learning-based segmentation techniques for improving bamboo detection and supporting operational forest monitoring. Full article
(This article belongs to the Special Issue Application of Machine-Learning Methods in Forestry)
Show Figures

Figure 1

27 pages, 6715 KB  
Article
Study on the Lagged Response Mechanism of Vegetation Productivity Under Atypical Anthropogenic Disturbances Based on XGBoost-SHAP
by Jingdong Sun, Longhuan Wang, Shaodong Huang, Yujie Li and Jia Wang
Remote Sens. 2026, 18(2), 300; https://doi.org/10.3390/rs18020300 - 16 Jan 2026
Viewed by 461
Abstract
The abrupt COVID-19 lockdown in early 2020 offered a unique natural experiment to examine vegetation productivity responses to sudden declines in human activity. Although vegetation often responds to environmental changes with time lags, how such lags operate under short-term, intensive disturbances remains unclear. [...] Read more.
The abrupt COVID-19 lockdown in early 2020 offered a unique natural experiment to examine vegetation productivity responses to sudden declines in human activity. Although vegetation often responds to environmental changes with time lags, how such lags operate under short-term, intensive disturbances remains unclear. This study combined multi-source environmental data with an interpretable machine learning framework (XGBoost-SHAP) to analyze spatiotemporal variations in net primary productivity (NPP) across the Beijing-Tianjin-Hebei region during the strict lockdown (March–May) and recovery (June–August) periods, using 2017–2019 as a baseline. Results indicate that: (1) NPP showed a significant increase during lockdown, with 88.4% of pixels showing positive changes, especially in central urban areas. During recovery, vegetation responses weakened (65.31% positive) and became more spatially heterogeneous. (2) Integrating lagged environmental variables improved model performance (R2 increased by an average of 0.071). SHAP analysis identified climatic factors (temperature, precipitation, radiation) as dominant drivers of NPP, while aerosol optical depth (AOD) and nighttime light (NTL) had minimal influence and weak lagged effects. Importantly, under lockdown, vegetation exhibited stronger immediate responses to concurrent temperature, precipitation, and radiation (SHAP contribution increased by approximately 7.05% compared to the baseline), whereas lagged effects seen in baseline conditions were substantially reduced. Compared to the lockdown period, anthropogenic disturbances during the recovery phase showed a direct weakening of their impact (decreasing by 6.01%). However, the air quality improvements resulting from the spring lockdown exhibited a significant cross-seasonal lag effect. (3) Spatially, NPP response times showed an “urban-immediate, mountainous-delayed” pattern, reflecting both the ecological memory of mountain systems and the rapid adjustment capacity of urban vegetation. These findings demonstrate that short-term removal of anthropogenic disturbances shifted vegetation responses toward greater immediacy and sensitivity to environmental conditions. This offers new insights into a “green window period” for ecological management and supports evidence-based, adaptive regional climate and ecosystem policies. Full article
Show Figures

Graphical abstract

54 pages, 8516 KB  
Review
Interdisciplinary Applications of LiDAR in Forest Studies: Advances in Sensors, Methods, and Cross-Domain Metrics
by Nadeem Fareed, Carlos Alberto Silva, Izaya Numata and Joao Paulo Flores
Remote Sens. 2026, 18(2), 219; https://doi.org/10.3390/rs18020219 - 9 Jan 2026
Viewed by 1231
Abstract
Over the past two decades, Light Detection and Ranging (LiDAR) technology has evolved from early National Aeronautics and Space Administration (NASA)-led airborne laser altimetry into commercially mature systems that now underpin vegetation remote sensing across scales. Continuous advancements in laser engineering, signal processing, [...] Read more.
Over the past two decades, Light Detection and Ranging (LiDAR) technology has evolved from early National Aeronautics and Space Administration (NASA)-led airborne laser altimetry into commercially mature systems that now underpin vegetation remote sensing across scales. Continuous advancements in laser engineering, signal processing, and complementary technologies—such as Inertial Measurement Units (IMU) and Global Navigation Satellite Systems (GNSS)—have yielded compact, cost-effective, and highly sophisticated LiDAR sensors. Concurrently, innovations in carrier platforms, including uncrewed aerial systems (UAS), mobile laser scanning (MLS), Simultaneous Localization and Mapping (SLAM) frameworks, have expanded LiDAR’s observational capacity from plot- to global-scale applications in forestry, precision agriculture, ecological monitoring, Above Ground Biomass (AGB) modeling, and wildfire science. This review synthesizes LiDAR’s cross-domain capabilities for the following: (a) quantifying vegetation structure, function, and compositional dynamics; (b) recent sensor developments encompassing ALS discrete-return (ALSD), and ALS full-waveform (ALSFW), photon-counting LiDAR (PCL), emerging multispectral LiDAR (MSL), and hyperspectral LiDAR (HSL) systems; and (c) state-of-the-art data processing and fusion workflows integrating optical and radar datasets. The synthesis demonstrates that many LiDAR-derived vegetation metrics are inherently transferable across domains when interpreted within a unified structural framework. The review further highlights the growing role of artificial-intelligence (AI)-driven approaches for segmentation, classification, and multitemporal analysis, enabling scalable assessments of vegetation dynamics at unprecedented spatial and temporal extents. By consolidating historical developments, current methodological advances, and emerging research directions, this review establishes a comprehensive state-of-the-art perspective on LiDAR’s transformative role and future potential in monitoring and modeling Earth’s vegetated ecosystems. Full article
(This article belongs to the Special Issue Digital Modeling for Sustainable Forest Management)
Show Figures

Graphical abstract

21 pages, 17692 KB  
Technical Note
In-Orbit Assessment of Image Quality Metrics for the LuTan-1 SAR Satellite Constellation
by Mingxia Zhang, Liyuan Liu, Aichun Wang, Qijin Han, Minghui Hou and Yanru Li
Remote Sens. 2026, 18(1), 180; https://doi.org/10.3390/rs18010180 - 5 Jan 2026
Viewed by 499
Abstract
LuTan-1(LT-1) is the first Chinese civil L-band satellite constellation for geohazard observation, comprising LT-1A and LT-1B satellites. By employing interferometric altimetry and differential deformation measurement technologies, it achieves high-precision topographic mapping and establishes sub-millimeter-level deformation monitoring capabilities. To meet the high-precision measurement requirements [...] Read more.
LuTan-1(LT-1) is the first Chinese civil L-band satellite constellation for geohazard observation, comprising LT-1A and LT-1B satellites. By employing interferometric altimetry and differential deformation measurement technologies, it achieves high-precision topographic mapping and establishes sub-millimeter-level deformation monitoring capabilities. To meet the high-precision measurement requirements for applications such as topographic surveying and deformation monitoring, this study systematically evaluates four categories of image quality metrics—geometric, radiometric, and polarimetric characteristics, as well as orbital and baseline quality—based on in-orbit test data from the twin satellites. The test results demonstrate that all image quality indicators of the LT-1 SAR satellites meet the design specifications, confirming that the imagery can provide robust spatial technical support for applications including geological hazard monitoring, land resource investigation, earthquake assessment, disaster prevention and mitigation, fundamental surveying and mapping, and forestry monitoring. Full article
(This article belongs to the Special Issue Spaceborne SAR Calibration Technology)
Show Figures

Graphical abstract

25 pages, 3663 KB  
Article
Spatiotemporal Dynamics and Driving Factors of Vegetation Gross Primary Productivity in a Typical Coastal City: A Case Study of Zhanjiang, China
by Yuhe Hu, Wenqi Jia, Jia Wang, Longhuan Wang and Yujie Li
Remote Sens. 2026, 18(1), 89; https://doi.org/10.3390/rs18010089 - 26 Dec 2025
Viewed by 560
Abstract
Coastal wetlands, situated at the critical land–sea ecotone, play a vital role in sustaining ecological balance and supporting human activities. Currently, these ecosystems face dual stresses from climate change and intensified anthropogenic activities, making the quantitative assessment of ecosystem functions—represented by Gross Primary [...] Read more.
Coastal wetlands, situated at the critical land–sea ecotone, play a vital role in sustaining ecological balance and supporting human activities. Currently, these ecosystems face dual stresses from climate change and intensified anthropogenic activities, making the quantitative assessment of ecosystem functions—represented by Gross Primary Productivity (GPP)—essential for their protection and management. However, a knowledge gap remains regarding coastal–urban complex ecosystems, and existing studies on coastal wetlands often overlook macro-environmental drivers beyond sea-level rise. This study leveraged the MOD17A2H V006 dataset to generate a 500 m GPP product for Zhanjiang City. We analyzed the spatiotemporal dynamics of GPP, utilized land use data to examine the evolution of coastal wetlands, and employed the Geodetector model to quantify the contributions of various factors to GPP in Zhanjiang and its coastal wetlands. The results indicate that: (1) GPP in Zhanjiang exhibited an overall steady upward trend, increasing at an average rate of 13.8 g C·m2·yr1. However, it displayed strong spatial heterogeneity, characterized by higher values in the southwest and lower values in the northern and coastal regions. (2) The land use pattern in Zhanjiang underwent significant transformations over the past two decades. Cropland and impervious surfaces expanded markedly, increasing by 194.6 km2 and 290.42 km2, respectively, while coastal wetland areas showed a continuous decline, with degraded and newly formed areas of 101.5 km2 and 42 km2, respectively. (3) The Geodetector results revealed that the q-value of Nighttime Light (NTL) increased from negligible values to over 0.1, emerging as a dominant driving factor. Although the driving force of anthropogenic activity factors on Zhanjiang and its coastal wetlands has steadily increased, natural factors currently remain the dominant forces. These findings unravel the driving mechanisms of natural and anthropogenic factors on GPP in Zhanjiang, providing valuable scientific evidence for the sustainable development of coastal ecosystems. Full article
(This article belongs to the Special Issue Application of Remote Sensing Technology in Wetland Ecology)
Show Figures

Figure 1

Back to TopTop